Effects of Warming and No-Tillage on Soil Carbon, Nitrogen, Phosphorus and Potassium Contents and pH of an Alpine Farmland in Tibet
Abstract
1. Introduction
2. Materials and Methods
2.1. Experiment Design and Observations
2.2. Soil Sampling and Analysis
2.3. Calculations and Statistical Analysis
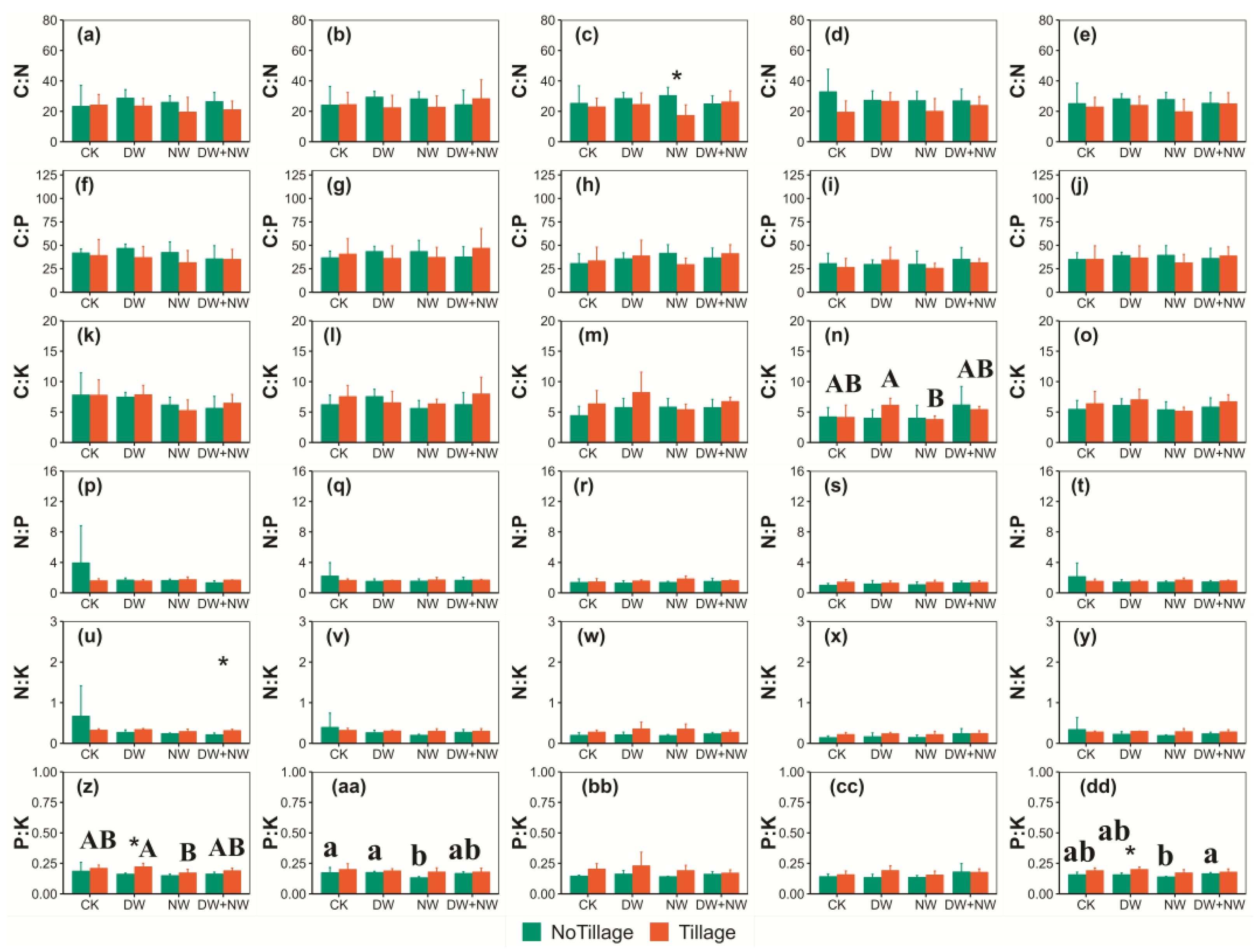
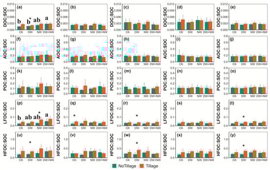
3. Results
4. Discussion
4.1. No-Tillage Effects
4.2. Warming Effects
4.3. Interactive Effects of No-Tillage and Warming
5. Conclusions
Supplementary Materials
Author Contributions
Funding
Data Availability Statement
Conflicts of Interest
References
- Han, F.; Yu, C.; Fu, G. Non-growing/growing season non-uniform-warming increases precipitation use efficiency but reduces its temporal stability in an alpine meadow. Front. Plant Sci. 2023, 14, 1090204. [Google Scholar] [CrossRef] [PubMed]
- Huang, S.; Fu, G. Impacts of climate change and human activities on plant species α-diversity across the Tibetan grasslands. Remote Sens. 2023, 15, 2947. [Google Scholar] [CrossRef]
- Wang, J.; Li, M.; Yu, C.; Fu, G. The change in environmental variables linked to climate change has a stronger effect on aboveground net primary productivity than does phenological change in alpine grasslands. Front. Plant Sci. 2022, 12, 798633. [Google Scholar] [CrossRef] [PubMed]
- van Wesenbeeck, C.F.A.; Keyzer, M.A.; van Veen, W.C.M.; Qiu, H. Can China’s overuse of fertilizer be reduced without threatening food security and farm incomes? Agric. Syst. 2021, 190, 103093. [Google Scholar] [CrossRef]
- Dhankher, O.P.; Foyer, C.H. Climate resilient crops for improving global food security and safety. Plant Cell Environ. 2018, 41, 877–884. [Google Scholar] [CrossRef] [PubMed]
- Myers, S.S.; Smith, M.R.; Guth, S.; Golden, C.D.; Vaitla, B.; Mueller, N.D.; Dangour, A.D.; Huybers, P. Climate change and global food systems: Potential impacts on food security and undernutrition. Annu. Rev. Public Health 2017, 38, 259–277. [Google Scholar] [CrossRef] [PubMed]
- Liu, X.; Shi, Z.J.; Bai, H.; Zhang, J.E.; Sun, D.L.; Chen, Y.T. Soil carbon sequestration in paddy field and its simultaneous mineralization to supply available nutrients for the crops are affected by no-tillage with straw management: A meta-analysis. Appl. Soil Ecol. 2023, 188, 104850. [Google Scholar] [CrossRef]
- Lin, J.S.; Sarto, M.V.M.; Carter, T.L.; Peterson, D.E.; Gura, C.; Mino, L.; Rohrs, M.; Lucas, H.; Clark, J.; Rice, C.W. Soil organic carbon, aggregation and fungi community after 44 years of no-till and cropping systems in the Central Great Plains, USA. Arch. Microbiol. 2023, 205, 84. [Google Scholar] [CrossRef] [PubMed]
- Hashimi, R.; Kaneko, N.; Komatsuzaki, M. Impact of no-tillage on soil quality and crop yield in Asia: A meta-analysis. Land Degrad. Dev. 2023, 34, 1004–1018. [Google Scholar] [CrossRef]
- Morugán-Coronado, A.; Linares, C.; Gómez-López, M.D.; Faz, A.; Zornoza, R. The impact of intercropping, tillage and fertilizer type on soil and crop yield in fruit orchards under Mediterranean conditions: A meta-analysis of field studies. Agric. Syst. 2020, 178, 102736. [Google Scholar] [CrossRef]
- Li, Y.; Song, D.; Liang, S.; Dang, P.; Qin, X.; Liao, Y.; Siddique, K.H.M. Effect of no-tillage on soil bacterial and fungal community diversity: A meta-analysis. Soil Tillage Res. 2020, 204, 104721. [Google Scholar] [CrossRef]
- Yan, G.X.; Wang, J.Q.; Luo, T.T.; Chen, W.W.; Shao, Y.; Li, C.X. A meta-analysis of no-tillage effects on greenhouse gas emissions from wheat-based rotation cropping agroecosystem in China. Chin. Geogr. Sci. 2023, 33, 503–511. [Google Scholar] [CrossRef]
- Li, Z.X.; Zhang, Q.Y.; Li, Z.; Qiao, Y.F.; Du, K.; Yue, Z.W.; Tian, C.; Leng, P.F.; Cheng, H.F.; Chen, G.; et al. Responses of soil greenhouse gas emissions to no-tillage: A global meta-analysis. Sustain. Prod. Consum. 2023, 36, 479–492. [Google Scholar] [CrossRef]
- Mondal, S.; Chakraborty, D. Global meta-analysis suggests that no-tillage favourably changes soil structure and porosity. Geoderma 2022, 405, 115443. [Google Scholar] [CrossRef]
- Bregaglio, S.; Mongiano, G.; Ferrara, R.M.; Ginaldi, F.; Lagomarsino, A.; Rana, G. Which are the most favourable conditions for reducing soil CO2 emissions with no-tillage? Results from a meta-analysis. Int. Soil Water Conserv. Res. 2022, 10, 497–506. [Google Scholar] [CrossRef]
- Hou, R.X.; Ouyang, Z.; Wilson, G.V.; Li, Y.S.; Li, H.X. Response of carbon dioxide emissions to warming under no-Till and conventional till systems. Soil Sci. Soc. Am. J. 2014, 78, 280–289. [Google Scholar] [CrossRef]
- Chu, D.; Zhang, Y.; Zhao, J.; Xie, X. Effects of nighttime soil warming and no-tillage on soybean growth and the utilization of N and P. Chin. J. Agrometeorol. 2014, 35, 42–47. [Google Scholar]
- Zhang, X.; Yang, Z.; Li, Y.; Xie, X.; Zhang, Y. Effects of no-tillage on soil carbon mineralization under nighttime warming. Jiangsu J. Agric. Sci. 2018, 34, 540–545. [Google Scholar]
- Li, Y.; Liu, E.; Dong, J.; Zhang, Y.; Luo, X.; Yang, S.; Liu, F.; Wu, X. Effect of no-tillage and nighttime warming condition on N mineralization and nitrification rates in cropland soil. Soil Fertil. Sci. China 2016, 69, 54–58. [Google Scholar]
- Hou, R.X.; Xu, X.L.; Ouyang, Z. Effect of experimental warming on nitrogen uptake by winter wheat under conventional tillage versus no-till systems. Soil Tillage Res. 2018, 180, 116–125. [Google Scholar] [CrossRef]
- Hou, R.X.; Gong, H.R.; Ouyang, Z.; Dorodnikov, M.; Kuzyakov, Y. Fast labile carbon and litter exhaustion under no-tillage after 5-year soil warming. Catena 2023, 231, 107337. [Google Scholar] [CrossRef]
- Tu, C.; Li, F.D.; Qiao, Y.F.; Zhu, N.; Gu, C.K.; Zhao, X. Effect of experimental warming on soil respiration under conventional tillage and no-tillage farmland in the North China Plain. J. Integr. Agric. 2017, 16, 967–979. [Google Scholar] [CrossRef]
- Hou, R.X.; Ouyang, Z.; Han, D.R.; Wilson, G.V. Effects of field experimental warming on wheat root distribution under conventional tillage and no-tillage systems. Ecol. Evol. 2018, 8, 2418–2427. [Google Scholar] [CrossRef] [PubMed]
- Li, J.; Zhang, X.; Zhou, W.J.; Tu, Z.X.; Yang, S.; Xia, T.L.; Chen, Z.X.; Du, Y. Intelligent films based on highland barley β-glucan/highland barley prolamin incorporated with black rice bran anthocyanins. Food Packag. Shelf Life 2023, 39, 101146. [Google Scholar] [CrossRef]
- Xie, J.J.; Hong, Y.; Gu, Z.B.; Cheng, L.; Li, Z.F.; Li, C.M.; Ban, X.F. Highland Barley Starch: Structures, Properties, and Applications. Foods 2023, 12, 387. [Google Scholar] [CrossRef] [PubMed]
- Zhong, Z.M.; Zhang, G.Y.; Fu, G. Response of soil bacteria community to experiment warming in three agroecosystems of the Tibet. Glob. Ecol. Conserv. 2024, 50, e02837. [Google Scholar] [CrossRef]
- Zhong, Z.; Fu, G. Response of soil fungal species, phylogenetic and functional diversity to diurnal asymmetric warming in an alpine agricultural ecosystem. Agr. Ecosyst. Environ. 2022, 335, 107993. [Google Scholar] [CrossRef]
- Zhong, Z.; Zhang, G.; Fu, G. Effect of experiment warming on soil fungi community of Medicago sativa, Elymus nutans and Hordeum vulgare in Tibet. J. Fungi 2023, 9, 885. [Google Scholar] [CrossRef] [PubMed]
- Wang, F.; Tang, J.; Li, Z.; Xiang, J.; Wang, L.; Tian, L.; Jiang, L.; Luo, Y.; Hou, E.; Shao, X. Warming reduces the production of a major annual forage crop on the Tibetan Plateau. Sci. Total Environ. 2021, 798, 149211. [Google Scholar] [CrossRef] [PubMed]
- Sun, W.; Li, S.; Wang, J.; Fu, G. Effects of grazing on plant species and phylogenetic diversity in alpine grasslands, Northern Tibet. Ecol. Eng. 2021, 170, 106331. [Google Scholar] [CrossRef]
- Rui, Y.C.; Wang, S.P.; Xu, Z.H.; Wang, Y.F.; Chen, C.R.; Zhou, X.Q.; Kang, X.M.; Lu, S.B.; Hu, Y.G.; Lin, Q.Y.; et al. Warming and grazing affect soil labile carbon and nitrogen pools differently in an alpine meadow of the Qinghai-Tibet Plateau in China. J. Soil Sediment. 2011, 11, 903–914. [Google Scholar] [CrossRef]
- Zhang, G.; Fu, G. Changes in soil organic carbon, total nitrogen and total phosphorus in 2000–2020 and their driving mechanisms in Tibetan alpine grasslands. Glob. Planet. Chang. 2024, 239, 104484. [Google Scholar] [CrossRef]
- Li, P.; Ying, D.; Li, J.; Deng, J.J.; Li, C.K.; Tian, S.Y.; Zhao, G.; Wu, C.F.; Jiao, J.G.; Jiang, M.; et al. Global-scale no-tillage impacts on soil aggregates and associated carbon and nitrogen concentrations in croplands: A meta-analysis. Sci. Total Environ. 2023, 881, 163570. [Google Scholar] [CrossRef] [PubMed]
- Sims, A.L.; Schepers, J.S.; Olson, R.A.; Power, J.F. Irrigated corn yield and nitrogen accumulation response in a comparison of no-till and conventional till: Tillage and surface-residue variables. Agron. J. 1998, 90, 630–637. [Google Scholar] [CrossRef]
- Caseldine, C.R. A critical evaluation of soil salinization, waterlogging, and agricultural productive capacity in Hohokam irrigation of the Phoenix Basin, Arizona, USA. J. Environ. Qual. 2023, 52, 799–813. [Google Scholar] [CrossRef] [PubMed]
- Tessema, N.; Yadeta, D.; Kebede, A.; Ayele, G.T. Soil and Irrigation Water Salinity, and Its Consequences for Agriculture in Ethiopia: A Systematic Review. Agriculture 2023, 13, 109. [Google Scholar] [CrossRef]
- Dong, J.F.; Wang, S.P.; Niu, H.S.; Cui, X.Y.; Li, L.F.; Pang, Z.; Zhou, S.T.; Wang, K. Responses of soil microbes and their interactions with plant community after nitrogen and phosphorus addition in a Tibetan alpine steppe. J. Soil Sediment. 2020, 20, 2236–2247. [Google Scholar] [CrossRef]
- Bird, J.A.; Herman, D.J.; Firestone, M.K. Rhizosphere priming of soil organic matter by bacterial groups in a grassland soil. Soil Biol. Biochem. 2011, 43, 718–725. [Google Scholar] [CrossRef]
- Hong, S.B.; Gan, P.; Chen, A.P. Environmental controls on soil pH in planted forest and its response to nitrogen deposition. Environ. Res. 2019, 172, 159–165. [Google Scholar] [CrossRef] [PubMed]
- Zhang, J.W.; Wu, X.F.; Shi, Y.J.; Jin, C.J.; Yang, Y.H.; Wei, X.W.; Mu, C.S.; Wang, J.F. A slight increase in soil pH benefits soil organic carbon and nitrogen storage in a semi-arid grassland. Ecol. Indic. 2021, 130, 108037. [Google Scholar] [CrossRef]
- Mondal, S.; Chakraborty, D. Soil nitrogen status can be improved through no-tillage adoption particularly in the surface soil layer: A global meta-analysis. J. Clean. Prod. 2022, 366, 132874. [Google Scholar] [CrossRef]
- Liu, X.T.; Wu, X.P.; Liang, G.P.; Zheng, F.J.; Zhang, M.N.; Li, S.P. A global meta-analysis of the impacts of no-tillage on soil aggregation and aggregate-associated organic carbon. Land Degrad. Dev. 2021, 32, 5292–5305. [Google Scholar] [CrossRef]
- Haddaway, N.R.; Hedlund, K.; Jackson, L.E.; Kätterer, T.; Lugato, E.; Thomsen, I.K.; Jorgensen, H.B.; Isberg, P.E. How does tillage intensity affect soil organic carbon? A systematic review. Environ. Evid. 2017, 6, 30. [Google Scholar] [CrossRef]
- Abdalla, K.; Chivenge, P.; Ciais, P.; Chaplot, V. No-tillage lessens soil CO2 emissions the most under arid and sandy soil conditions: Results from a meta-analysis. Biogeosciences 2016, 13, 3619–3633. [Google Scholar] [CrossRef]
- Huang, J.; Gu, M.; Xu, S.; Yang, W.; Jiang, L. Effects of no-tillage and rice-seedling casting with rice straw returning on content of nitrogen, phosphorus and potassium of soil profiles. Sci. Agric. Sin. 2012, 45, 2648–2657. [Google Scholar]
- Zhang, J.; Dang, Y.; Zhao, G.; Wang, L.; Fan, T.; Li, S.; Lei, K. Effect of no-tillage with film and stubble residues on soil nutrients, microbial populations and enzyme activity in dryland maize fields. Acta Pratac. Sin. 2020, 29, 123–133. [Google Scholar]
- Jiang, X.-J.; Xie, D.-T. Combining Ridge with No-Tillage in Lowland Rice-Based Cropping System: Long-Term Effect on Soil and Rice Yield. Pedosphere 2009, 19, 515–522. [Google Scholar] [CrossRef]
- Passaris, N.; Flower, K.C.; Ward, P.R.; Cordingley, N. Effect of crop rotation diversity and windrow burning of residue on soil chemical composition under long-term no-tillage. Soil Tillage Res. 2021, 213, 105153. [Google Scholar] [CrossRef]
- Daryanto, S.; Wang, L.; Jacinthe, P.A. Meta-analysis of phosphorus loss from no-till soils. J. Environ. Qual. 2017, 46, 1028–1037. [Google Scholar] [CrossRef] [PubMed]
- Mrabet, R.; Ibno-Namr, K.; Bessam, F.; Saber, N. Soil chemical quality changes and implications for fertilizer management after 11 years of no-tillage wheat production systems in semiarid Morocco. Land Degrad. Dev. 2001, 12, 505–517. [Google Scholar] [CrossRef]
- Wulanningtyas, H.S.; Gong, Y.T.; Li, P.R.; Sakagami, N.; Nishiwaki, J.; Komatsuzaki, M. A cover crop and no-tillage system for enhancing soil health by increasing soil organic matter in soybean cultivation. Soil Tillage Res. 2021, 205, 104749. [Google Scholar] [CrossRef]
- Li, Y.; Li, Z.; Cui, S.; Zhang, Q.P. Trade-off between soil pH, bulk density and other soil physical properties under global no-tillage agriculture. Geoderma 2020, 361, 114099. [Google Scholar] [CrossRef]
- Peixoto, D.S.; da Silva, L.D.M.; de Melo, L.B.B.; Azevedo, R.P.; Araújo, B.C.L.; de Carvalho, T.S.; Moreira, S.G.; Curi, N.; Silva, B.M. Occasional tillage in no-tillage systems: A global meta-analysis. Sci. Total Environ. 2020, 745, 140887. [Google Scholar] [CrossRef] [PubMed]
- López-Garrido, R.; Madejón, E.; León-Camacho, M.; Girón, I.; Moreno, F.; Murillo, J.M. Reduced tillage as an alternative to no-tillage under Mediterranean conditions: A case study. Soil Tillage Res. 2014, 140, 40–47. [Google Scholar] [CrossRef]
- Montes-Borrego, M.; Navas-Cortés, J.A.; Landa, B.B. Linking microbial functional diversity of olive rhizosphere soil to management systems in commercial orchards in southern Spain. Agric. Ecosyst. Environ. 2013, 181, 169–178. [Google Scholar] [CrossRef]
- Rukshana, F.; Butterly, C.R.; Baldock, J.A.; Xu, J.M.; Tang, C. Model organic compounds differ in priming effects on alkalinity release in soils through carbon and nitrogen mineralisation. Soil Biol. Biochem. 2012, 51, 35–43. [Google Scholar] [CrossRef]
- Rosolem, C.A. Exchangeable Basic Cations and Nitrogen Distribution in Soil as Affected by Crop Residues and Nitrogen. Braz. Arch. Biol. Technol. 2011, 54, 441–450. [Google Scholar] [CrossRef]
- Tian, D.; Niu, S. A global analysis of soil acidification caused by nitrogen addition. Environ. Res. Lett. 2015, 10, 024019. [Google Scholar] [CrossRef]
- Li, J.B.; Hu, W.; Chau, H.W.; Beare, M.; Cichota, R.; Teixeira, E.; Moore, T.; Di, H.; Cameron, K.; Guo, J.; et al. Response of nitrate leaching to no-tillage is dependent on soil, climate, and management factors: A global meta-analysis. Glob. Chang. Biol. 2023, 29, 2172–2187. [Google Scholar] [CrossRef] [PubMed]
- Wang, M.R.; Dungait, J.A.J.; Wei, X.M.; Ge, T.D.; Hou, R.X.; Ouyang, Z.; Zhang, F.S.; Tian, J. Long-term warming increased microbial carbon use efficiency and turnover rate under conservation tillage system. Soil Biol. Biochem. 2022, 172, 108770. [Google Scholar] [CrossRef]
- Hou, R.X.; Ouyang, Z.; Maxim, D.; Wilson, G.; Kuzyakov, Y. Lasting effect of soil warming on organic matter decomposition depends on tillage practices. Soil Biol. Biochem. 2016, 95, 243–249. [Google Scholar] [CrossRef]
- Chen, Y.; Feng, J.; Yuan, X.; Zhu, B. Effects of warming on carbon and nitrogen cycling in alpine grassland ecosystems on the Tibetan Plateau: A meta-analysis. Geoderma 2020, 370, 114363. [Google Scholar] [CrossRef]
- Bai, E.; Li, S.L.; Xu, W.H.; Li, W.; Dai, W.W.; Jiang, P. A meta-analysis of experimental warming effects on terrestrial nitrogen pools and dynamics. New Phytol. 2013, 199, 441–451. [Google Scholar] [CrossRef] [PubMed]
- Lu, M.; Zhou, X.H.; Yang, Q.; Li, H.; Luo, Y.Q.; Fang, C.M.; Chen, J.K.; Yang, X.; Li, B. Responses of ecosystem carbon cycle to experimental warming: A meta-analysis. Ecology 2013, 94, 726–738. [Google Scholar] [CrossRef] [PubMed]
- Hu, W.; Tan, J.; Shi, X.; Lock, T.R.; Kallenbach, R.L.; Yuan, Z. Nutrient addition and warming alter the soil phosphorus cycle in grasslands: A global meta-analysis. J. Soil Sediment. 2022, 22, 2608–2619. [Google Scholar] [CrossRef]
- Zhang, X.Z.; Shen, Z.X.; Fu, G. A meta-analysis of the effects of experimental warming on soil carbon and nitrogen dynamics on the Tibetan Plateau. Appl. Soil Ecol. 2015, 87, 32–38. [Google Scholar] [CrossRef]
- Tu, C.; Li, F.D. Responses of greenhouse gas fluxes to experimental warming in wheat season under conventional tillage and no-tillage fields. J. Environ. Sci. 2017, 54, 314–327. [Google Scholar] [CrossRef] [PubMed]
- Blanco-Canqui, H.; Ruis, S.J. No-tillage and soil physical environment. Geoderma 2018, 326, 164–200. [Google Scholar] [CrossRef]
- Tu, C.; Li, F. Responses of soil CH4 fluxes to simulated warming in conventional tillage and no-tillage systems. J. Agro-Environ. Sci. 2016, 35, 1788–1796. [Google Scholar]





| 0–5 cm | 5–15 cm | 15–25 cm | 25–35 cm | |||||||||
|---|---|---|---|---|---|---|---|---|---|---|---|---|
| W | NT | W × NT | W | NT | W × NT | W | NT | W × NT | W | NT | W × NT | |
| SOC | 0.72 | 1.17 | 0.23 | 0.26 | 0.09 | 0.80 | 0.91 | 0.12 | 1.01 | 0.86 | 0.45 | 0.35 |
| TN | 0.88 | 0.42 | 1.07 | 0.57 | 0.21 | 0.88 | 0.83 | 1.90 | 0.40 | 0.56 | 1.79 | 0.20 |
| TP | 0.49 | 5.30 * | 1.93 | 0.65 | 0.56 | 1.71 | 1.85 | 0.11 | 0.14 | 0.81 | 0.25 | 0.27 |
| TK | 2.04 | 6.92 * | 0.13 | 2.66 | 12.57 * | 2.00 | 1.81 | 16.02 * | 1.02 | 1.22 | 12.92 * | 1.74 |
| AN | 0.60 | 0.51 | 0.76 | 0.22 | 5.89 * | 0.24 | 0.30 | 5.48 * | 0.26 | 0.62 | 4.91 * | 0.37 |
| AP | 0.52 | 7.86 * | 0.74 | 0.90 | 0.28 | 1.15 | 1.70 | 0.86 | 1.02 | 2.13 | 0.02 | 0.52 |
| AK | 0.57 | 4.00 | 1.05 | 1.62 | 0.03 | 0.83 | 0.50 | 1.39 | 0.24 | 1.22 | 1.21 | 1.26 |
| pH | 1.54 | 0.05 | 0.94 | 0.42 | 1.21 | 0.11 | 0.78 | 0.01 | 0.04 | 0.40 | 0.30 | 0.64 |
| DOC | 3.38 * | 7.67 * | 3.78 * | 0.17 | 0.44 | 0.61 | 0.84 | 2.98 | 0.15 | 1.18 | 0.47 | 0.81 |
| AOC | 0.95 | 1.63 | 0.21 | 1.28 | 0.16 | 0.25 | 0.61 | 0.49 | 0.04 | 0.94 | 0.11 | 0.25 |
| POC | 0.10 | 0.00 | 0.71 | 0.89 | 1.18 | 0.84 | 1.58 | 2.21 | 3.97 * | 0.26 | 0.47 | 0.58 |
| LFOC | 3.93 * | 15.71 * | 0.06 | 0.30 | 13.55 * | 1.00 | 1.53 | 4.13 | 0.78 | 0.49 | 0.90 | 0.10 |
| HFOC | 0.61 | 10.83 * | 0.31 | 2.35 | 0.41 | 0.54 | 0.55 | 3.05 | 1.64 | 2.93 | 8.71 * | 0.78 |
| C:N | 0.27 | 2.17 | 0.35 | 0.08 | 0.43 | 0.65 | 0.24 | 3.23 | 1.46 | 0.24 | 4.20 | 0.89 |
| C:P | 0.54 | 2.10 | 0.39 | 0.11 | 0.00 | 0.75 | 0.55 | 0.01 | 0.98 | 0.56 | 0.26 | 0.37 |
| C:K | 2.19 | 0.01 | 0.27 | 0.70 | 1.22 | 0.93 | 1.25 | 3.75 | 0.97 | 1.96 | 0.18 | 1.07 |
| N:P | 0.91 | 0.67 | 1.02 | 0.43 | 0.09 | 0.49 | 0.64 | 3.36 | 0.53 | 0.23 | 3.63 | 0.48 |
| N:K | 1.39 | 0.11 | 1.24 | 0.91 | 0.21 | 0.56 | 0.38 | 10.58 * | 0.77 | 1.03 | 4.05 | 0.41 |
| P:K | 1.91 | 7.60 * | 0.56 | 1.62 | 5.08 * | 0.58 | 0.69 | 6.93 * | 0.54 | 1.31 | 2.80 | 0.92 |
| AN:AP | 0.90 | 0.11 | 0.60 | 0.34 | 5.51 * | 0.23 | 0.65 | 5.36 * | 0.34 | 0.57 | 4.75 * | 0.26 |
| AN:AK | 0.62 | 0.13 | 0.79 | 0.13 | 6.14 * | 0.35 | 0.23 | 6.75 * | 0.24 | 0.45 | 5.79 * | 0.20 |
| AP:AK | 0.66 | 0.06 | 0.17 | 2.37 | 0.05 | 1.89 | 3.27 * | 3.61 | 1.70 | 3.57 * | 1.71 | 0.53 |
| DOC:SOC | 3.35 * | 6.39 * | 0.80 | 0.35 | 2.25 | 2.09 | 1.52 | 1.01 | 0.62 | 0.60 | 0.50 | 0.26 |
| AOC:SOC | 0.76 | 0.06 | 0.16 | 0.38 | 0.49 | 0.95 | 0.10 | 0.00 | 0.39 | 0.71 | 0.00 | 0.10 |
| POC:SOC | 0.57 | 0.56 | 0.62 | 0.29 | 0.84 | 1.08 | 0.09 | 1.37 | 1.51 | 0.13 | 0.06 | 0.15 |
| LFOC:SOC | 3.53 * | 12.24 * | 0.42 | 0.35 | 13.80 * | 0.60 | 0.36 | 7.52 * | 0.19 | 0.72 | 4.30 * | 0.44 |
| HFOC:SOC | 1.14 | 8.07 * | 0.67 | 1.58 | 0.99 | 1.49 | 1.04 | 6.61 * | 1.11 | 0.64 | 7.34 * | 0.02 |
| Variable | Treatment | 0–5 cm | 5–15 cm | 15–25 cm | 25–35 cm |
|---|---|---|---|---|---|
| SOC | CK | 31.75 a | 30.61 a | 24.66 a | 19.36 a |
| DW | 33.29 a | 30.87 a | 26.71 a | 21.62 a | |
| DW + NW | 28.27 a | 34.06 a | 31.21 a | 24.33 a | |
| NW | 28.58 a | 30.59 a | 25.94 a | 18.84 a | |
| TN | CK | 2.18 a | 1.60 a | 1.10 a | 0.81 a |
| DW | 1.30 a | 1.22 a | 1.02 a | 0.83 a | |
| DW + NW | 1.20 a | 1.33 a | 1.23 a | 0.97 a | |
| NW | 1.31 a | 1.24 a | 1.17 a | 0.85 a | |
| TP | CK | 0.80 a | 0.81 a | 0.80 a | 0.68 a |
| DW | 0.82 a | 0.79 a | 0.72 a | 0.68 a | |
| DW + NW | 0.81 a | 0.81 a | 0.81 a | 0.73 a | |
| NW | 0.78 a | 0.77 a | 0.73 a | 0.69 a | |
| TK | CK | 4.28 a | 4.56 a | 4.75 a | 4.67 a |
| DW | 4.39 a | 4.39 a | 4.14 a | 4.43 a | |
| DW + NW | 4.70 a | 4.76 a | 4.95 a | 4.35 a | |
| NW | 5.01 a | 5.18 a | 4.63 a | 4.89 a | |
| AN | CK | 40.88 a | 42.6 a | 37.35 a | 23.45 a |
| DW | 86.17 a | 42.56 a | 38.95 a | 30.38 a | |
| DW + NW | 57.40 a | 58.95 a | 55.8 a | 42.67 a | |
| NW | 40.83 a | 41.68 a | 35.43 a | 20.57 a | |
| AP | CK | 60.77 a | 60.44 a | 58.69 a | 46.67 a |
| DW | 55.13 a | 53.67 a | 50.83 a | 42.37 ab | |
| DW + NW | 55.89 a | 53.17 a | 48.40 a | 41.53 ab | |
| NW | 58.49 a | 52.81 a | 50.42 a | 39.08 b | |
| AK | CK | 59.72 a | 41.95 a | 40.38 a | 36.83 a |
| DW | 65.24 a | 41.72 a | 44.17 a | 43.14 a | |
| DW + NW | 57.76 a | 50.95 a | 44.30 a | 44.11 a | |
| NW | 71.84 a | 44.50 a | 39.37 a | 38.74 a | |
| pH | CK | 7.14 a | 6.92 a | 6.98 a | 7.06 a |
| DW | 6.98 a | 6.96 a | 7.03 a | 7.15 a | |
| DW + NW | 6.94 a | 6.93 a | 7.07 a | 7.09 a | |
| NW | 6.96 a | 6.86 a | 6.94 a | 7.11 a | |
| DOC | CK | 62.26 b | 69.98 a | 76.39 a | 71.44 a |
| DW | 62.67 b | 66.63 a | 71.63 a | 71.60 a | |
| DW + NW | 73.91 a | 67.31 a | 69.99 a | 82.08 a | |
| NW | 65.14 ab | 70.74 a | 74.98 a | 76.25 a | |
| AOC | CK | 4.58 a | 4.88 a | 4.1 a | 3.42 a |
| DW | 5.40 a | 5.42 a | 4.56 a | 3.58 a | |
| DW + NW | 5.27 a | 4.89 a | 4.87 a | 3.55 a | |
| NW | 5.06 a | 4.74 a | 4.26 a | 2.60 a | |
| POC | CK | 3.62 a | 3.32 a | 2.59 a | 1.98 a |
| DW | 3.74 a | 3.07 a | 2.69 a | 2.33 a | |
| DW + NW | 3.84 a | 3.87 a | 3.60 a | 2.25 a | |
| NW | 4.08 a | 3.24 a | 2.84 a | 2.18 a | |
| LFOC | CK | 1.01 b | 1.04 a | 0.81 a | 0.57 a |
| DW | 1.19 ab | 1.13 a | 0.74 a | 0.68 a | |
| DW + NW | 1.70 a | 1.13 a | 1.07 a | 0.74 a | |
| NW | 1.27 ab | 1.21 a | 0.77 a | 0.76 a | |
| HFOC | CK | 7.62 a | 6.89 b | 5.96 a | 3.74 b |
| DW | 8.61 a | 7.05 b | 8.34 a | 6.20 a | |
| DW + NW | 9.20 a | 7.91 ab | 6.83 a | 6.03 a | |
| NW | 9.37 a | 10.86 a | 7.88 a | 5.22 ab | |
| C:N | CK | 23.63 a | 24.18 a | 24.00 a | 26.05 a |
| DW | 26.00 a | 25.75 a | 26.38 a | 26.84 a | |
| DW + NW | 23.61 a | 26.23 a | 25.42 a | 25.30 a | |
| NW | 22.63 a | 25.36 a | 23.73 a | 23.44 a | |
| C:P | CK | 40.33 a | 38.50 a | 31.88 a | 28.35 a |
| DW | 41.69 a | 39.56 a | 37.02 a | 31.84 a | |
| DW + NW | 35.16 a | 42.09 a | 38.71 a | 33.11 a | |
| NW | 36.79 a | 40.09 a | 35.33 a | 27.46 a | |
| C:K | CK | 7.77 a | 6.86 a | 5.36 a | 4.16 a |
| DW | 7.63 a | 7.02 a | 6.96 a | 5.04 a | |
| DW + NW | 6.02 a | 7.09 a | 6.22 a | 5.77 a | |
| NW | 5.69 a | 5.95 a | 5.59 a | 3.87 a | |
| N:P | CK | 2.75 a | 1.91 a | 1.39 a | 1.20 a |
| DW | 1.61 a | 1.56 a | 1.41 a | 1.21 a | |
| DW + NW | 1.49 a | 1.65 a | 1.54 a | 1.32 a | |
| NW | 1.67 a | 1.61 a | 1.59 a | 1.21 a | |
| N:K | CK | 0.50 a | 0.35 a | 0.24 a | 0.18 a |
| DW | 0.30 a | 0.28 a | 0.28 a | 0.20 a | |
| DW + NW | 0.26 a | 0.28 a | 0.25 a | 0.24 a | |
| NW | 0.26 a | 0.25 a | 0.27 a | 0.18 a | |
| P:K | CK | 0.20 a | 0.19 a | 0.17 a | 0.15 a |
| DW | 0.19 a | 0.18 a | 0.19 a | 0.16 a | |
| DW + NW | 0.17 a | 0.17 a | 0.16 a | 0.18 a | |
| NW | 0.16 a | 0.15 a | 0.16 a | 0.14 a | |
| AN:ANP | CK | 0.62 a | 0.62 a | 0.56 a | 0.52 a |
| DW | 1.55 a | 0.83 a | 0.78 a | 0.71 a | |
| DW + NW | 0.94 a | 1.02 a | 1.05 a | 1.05 a | |
| NW | 0.64 a | 0.75 a | 0.63 a | 0.57 a | |
| AN:AK | CK | 0.65 a | 0.92 a | 0.88 a | 0.57 a |
| DW | 1.36 a | 0.91 a | 0.86 a | 0.66 a | |
| DW + NW | 0.93 a | 1.17 a | 1.20 a | 0.96 a | |
| NW | 0.63 a | 0.98 a | 0.91 a | 0.6 a | |
| AP:AK | CK | 1.03 a | 1.48 a | 1.53 a | 1.38 a |
| DW | 0.87 a | 1.35 ab | 1.17 b | 1.00 b | |
| DW + NW | 0.97 a | 1.09 b | 1.13 b | 0.98 b | |
| NW | 0.96 a | 1.21 ab | 1.32 ab | 1.03 b | |
| DOC:SOC | CK | 0.0021 b | 0.0024 a | 0.0035 a | 0.0042 a |
| DW | 0.0019 b | 0.0023 a | 0.0029 a | 0.0035 a | |
| DW + NW | 0.0028 a | 0.0021 a | 0.0024 a | 0.0037 a | |
| NW | 0.0025 ab | 0.0024 a | 0.0031 a | 0.0044 a | |
| AOC:SOC | CK | 0.16 a | 0.17 a | 0.17 a | 0.20 a |
| DW | 0.17 a | 0.19 a | 0.18 a | 0.17 a | |
| DW + NW | 0.21 a | 0.16 a | 0.16 a | 0.15 a | |
| NW | 0.20 a | 0.16 a | 0.18 a | 0.15 a | |
| POC:SOC | CK | 0.12 a | 0.11 a | 0.11 a | 0.11 a |
| DW | 0.11 a | 0.11 a | 0.11 a | 0.11 a | |
| DW + NW | 0.14 a | 0.13 a | 0.12 a | 0.10 a | |
| NW | 0.16 a | 0.11 a | 0.11 a | 0.12 a | |
| LFOC:SOC | CK | 0.03 b | 0.04 a | 0.03 a | 0.03 a |
| DW | 0.04 b | 0.04 a | 0.03 a | 0.03 a | |
| DW + NW | 0.07 a | 0.04 a | 0.03 a | 0.03 a | |
| NW | 0.05 ab | 0.04 a | 0.03 a | 0.04 a | |
| HFOC:SOC | CK | 0.27 a | 0.23 a | 0.26 a | 0.23 a |
| DW | 0.27 a | 0.26 a | 0.30 a | 0.29 a | |
| DW + NW | 0.36 a | 0.26 a | 0.22 a | 0.27 a | |
| NW | 0.37 a | 0.36 a | 0.31 a | 0.31 a |
| 0–5 cm | 5–15 cm | 15–25 cm | 25–35 cm | |||||
|---|---|---|---|---|---|---|---|---|
| No-Tillage | Tillage | No-Tillage | Tillage | No-Tillage | Tillage | No-Tillage | Tillage | |
| SOC | 32.04 | 28.91 | 32.03 | 31.04 | 27.64 | 26.62 | 21.94 | 20.13 |
| TN | 1.66 | 1.34 | 1.40 | 1.29 | 1.06 | 1.20 | 0.80 | 0.93 |
| TP | 0.78 b | 0.83 a | 0.80 | 0.79 | 0.77 | 0.76 | 0.70 | 0.69 |
| TK | 4.90 a | 4.29 b | 5.10 a | 4.35 b | 5.14 a | 4.10 b | 4.99 a | 4.18 b |
| AN | 46.43 | 66.21 | 24.82 b | 68.08 a | 21.83 b | 61.94 a | 15.43 b | 43.10 a |
| AP | 52.57 b | 62.57 a | 54.02 | 56.03 | 50.48 | 53.69 | 42.54 | 42.28 |
| AK | 55.29 | 71.99 | 44.47 | 45.09 | 44.18 | 39.93 | 42.44 | 38.97 |
| pH | 7.01 | 7.00 | 6.96 | 6.88 | 7.00 | 7.01 | 7.09 | 7.12 |
| DOC | 61.91 b | 70.09 a | 67.05 | 70.28 | 70.47 | 76.03 | 73.76 | 76.92 |
| AOC | 5.31 | 4.84 | 5.03 | 4.93 | 4.60 | 4.29 | 3.37 | 3.21 |
| ROC | 3.82 | 3.82 | 3.17 | 3.57 | 3.20 | 2.66 | 2.29 | 2.09 |
| LFOC | 1.00 b | 1.58 a | 0.90 b | 1.35 a | 0.72 | 0.97 | 0.63 | 0.74 |
| HFOC | 7.03 b | 10.38 a | 7.79 | 8.56 | 6.00 | 8.51 | 4.33 b | 6.26 a |
| C:N | 25.99 | 21.95 | 26.41 | 24.35 | 27.15 | 22.61 | 28.43 a | 22.39 b |
| C:P | 41.49 | 35.49 | 40.12 | 40.00 | 35.96 | 35.52 | 31.11 | 29.27 |
| C:K | 6.75 | 6.81 | 6.38 | 7.08 | 5.41 | 6.65 | 4.58 | 4.84 |
| N:P | 2.13 | 1.62 | 1.72 | 1.65 | 1.37 | 1.59 | 1.12 | 1.34 |
| N:K | 0.35 | 0.31 | 0.28 | 0.30 | 0.21 b | 0.31 a | 0.17 b | 0.23 a |
| P:K | 0.16 b | 0.20 a | 0.16 b | 0.18 a | 0.15 b | 0.20 a | 0.15 | 0.17 |
| AN:AP | 0.86 | 1.01 | 0.47 b | 1.15 a | 0.44 b | 1.06 a | 0.37 b | 1.05 a |
| AN:AK | 0.81 | 0.97 | 0.58 b | 1.41 a | 0.52 b | 1.40 a | 0.37 b | 1.02 a |
| AP:AK | 0.97 | 0.95 | 1.29 | 1.27 | 1.20 | 1.38 | 1.03 | 1.16 |
| DOC:SOC | 0.0020 b | 0.0026 a | 0.00 | 0.00 | 0.00 | 0.00 | 0.00 | 0.00 |
| AOC:SOC | 0.18 | 0.19 | 0.16 | 0.18 | 0.17 | 0.17 | 0.17 | 0.17 |
| POC:SOC | 0.13 | 0.15 | 0.11 | 0.13 | 0.12 | 0.10 | 0.11 | 0.11 |
| LFOC:SOC | 0.03 b | 0.06 a | 0.03 b | 0.05 a | 0.03 b | 0.04 a | 0.03 b | 0.04 a |
| HFOC:SOC | 0.24 b | 0.40 a | 0.25 | 0.30 | 0.22 b | 0.33 a | 0.22 b | 0.33 a |
Disclaimer/Publisher’s Note: The statements, opinions and data contained in all publications are solely those of the individual author(s) and contributor(s) and not of MDPI and/or the editor(s). MDPI and/or the editor(s) disclaim responsibility for any injury to people or property resulting from any ideas, methods, instructions or products referred to in the content. |
© 2024 by the authors. Licensee MDPI, Basel, Switzerland. This article is an open access article distributed under the terms and conditions of the Creative Commons Attribution (CC BY) license (https://creativecommons.org/licenses/by/4.0/).
Share and Cite
Zhong, Z.; Qin, Y.; Zhang, G.; Fu, G. Effects of Warming and No-Tillage on Soil Carbon, Nitrogen, Phosphorus and Potassium Contents and pH of an Alpine Farmland in Tibet. Agronomy 2024, 14, 1327. https://doi.org/10.3390/agronomy14061327
Zhong Z, Qin Y, Zhang G, Fu G. Effects of Warming and No-Tillage on Soil Carbon, Nitrogen, Phosphorus and Potassium Contents and pH of an Alpine Farmland in Tibet. Agronomy. 2024; 14(6):1327. https://doi.org/10.3390/agronomy14061327
Chicago/Turabian StyleZhong, Zhiming, Yong Qin, Guangyu Zhang, and Gang Fu. 2024. "Effects of Warming and No-Tillage on Soil Carbon, Nitrogen, Phosphorus and Potassium Contents and pH of an Alpine Farmland in Tibet" Agronomy 14, no. 6: 1327. https://doi.org/10.3390/agronomy14061327
APA StyleZhong, Z., Qin, Y., Zhang, G., & Fu, G. (2024). Effects of Warming and No-Tillage on Soil Carbon, Nitrogen, Phosphorus and Potassium Contents and pH of an Alpine Farmland in Tibet. Agronomy, 14(6), 1327. https://doi.org/10.3390/agronomy14061327

