Next Article in Journal
Sunflower Origin Identification Based on Multi-Source Information Fusion Technique of Kernel Extreme Learning Machine
Next Article in Special Issue
Physiological and Transcriptomic Characterization of Rice Genotypes under Drought Stress
Previous Article in Journal
Prohexadione Calcium and Gibberellin Improve Osmoregulation, Antioxidant Response and Ion Homeostasis to Alleviate NaCl Stress in Rice Seedlings
 
 
Font Type:
Arial Georgia Verdana
Font Size:
Aa Aa Aa
Line Spacing:
Column Width:
Background:
Article

Submergence Stress Reduces the Ability of Rice to Regulate Recovery after Disaster

1
Heilongjiang Province Hydraulic Research Institute, Harbin 150080, China
2
College of Agricultural Science and Engineering, Hohai University, Nanjing 210098, China
3
School of Water Conservancy & Civil Engineering, Northeast Agricultural University, Harbin 150030, China
*
Author to whom correspondence should be addressed.
Agronomy 2024, 14(6), 1319; https://doi.org/10.3390/agronomy14061319
Submission received: 20 May 2024 / Revised: 14 June 2024 / Accepted: 15 June 2024 / Published: 18 June 2024
(This article belongs to the Special Issue Rice Germplasm Innovation and Tolerance to Abiotic Stress)

Abstract

Flood submergence has devastating effects on agricultural production in China, with rice being particularly vulnerable to its impacts. Previous studies on rice submergence stress have primarily focused on immediate yield reduction and short-term growth. In this study, a submergence stress experiment was carried out by using the method of potted rice flooding. The growth recovery characteristics of rice under different submergence stress were analyzed through the continuous observation of rice growth after the disaster. The results showed that submergence stress had a persistent effect on rice growth, which persisted until the recovery period after the disaster. The recovery ability of rice plants decreased with the aggravation of stress, leading to increased damage to the plant. The average yield decreased by 17.07% and 15.56% due to submergence stress during the jointing and booting stage, respectively. The current study pointed out that the growth traits of and, furthermore, the mechanism of physiological changes in rice during the recovery period need to be explored in order to understand the effects of flooding stress on rice.

1. Introduction

In recent years, extreme rainfall such as short-term heavy rainfall and persistent rainfall have occurred frequently; there has been an irregular trend of rainfall (400–600 mm) compared to the past 50 years, resulting in more serious flood submergence [1,2]. Flood submergence in northeastern China has mainly been distributed across the Heilongjiang River, Songhua River, Nenjiang River and Liaohe River. Owing to the interaction of the westerlies and the subtropical circulation in Heilongjiang Province, rainfall manifested in heavy rains and storms during summer from 1971 to 2016 [3]. The adverse impact of floods on food crop production could be a key agroclimatic factor for future food security in these Chinese provinces.
Submergence stress may affect the growth and development of rice, leading to changes in growth indicators such as tiller number, plant height and dry matter accumulation. A change in tiller number reflects the sensitivity and ability of rice plants to regenerate under submergence stress. A previous study showed that submergence stress increased the tiller number of rice plants [4]. So this trait can help genotype selection where genotypes with low tillering can tolerate submergence stress. The growth morphology of water-tolerant plants has been closely correlated with light availability for the upper canopy [5], and light intensity also correlates with plant height [6,7,8]. Research on the effect of submergence stress on rice internode elongation revealed that rice stems and leaves elongated and emerged above the water surface for respiration, thereby alleviating the adverse effects of hypoxia on plant tissues [7]. Submergence stress promoted stem elongation to enable plants to access sufficient oxygen above the water surface for respiration [6,7,8,9], consequently improving crop survival rates [10]. Meng et al. [11] noted that submergence stress during the heading and flowering stage enhanced the growth of rice stems, with total submergence yielding a more significant effect. Wang et al. [12] also observed a significant reduction in green leaves and leaf area index under submergence stress. Overall, rice plants experienced stem elongation and decreased leaf dry matter accumulation due to submergence stress. The morphological changes in rice plants under submergence stress were characterized by slow growth and reduced dry matter accumulation [13]. Submergence stress affected the growth indexes of rice, such as tiller, plant height, leaf area and dry matter accumulation, and ultimately affected crop yield and led to yield reduction [14]. According to Shao et al., rice at the heading and flowering stages was very sensitive to flooding, and the yield was reduced by more than 45% after 2 d of flooding [15]. The jointing and booting stage is particularly critical for rice growth and development. Submergence stress during this stage can result in pollination damage, loss of young panicles, poor panicle growth and stem degeneration. Therefore, it is important to assess the impact of submergence stress on rice yield during the jointing and booting stage.
Previous studies on the effects of submergence stress on crop growth and yield have discussed the sensitivity of crops to submergence stress and the sensitive period, such as the four-leaf stage of maize and the jointing stage of wheat, which were most sensitive to submergence stress [16,17]. Ding et al. [18] showed that submergence at the stem elongation stage had the most serious impact on winter wheat, and the grain weight after submergence had the greatest reduction in yield, rather than the number of grains per spike. Collaku et al. [19] found that the yield loss of wheat was a combined effect of reduced grain number and tiller number. The main reason for the inconsistency between the most sensitive period of submergence stress and the period of yield reduction was that the most sensitive period of submergence stress may also be the fastest recovery period of crops after submergence stress relief. Previous studies have only focused on the impact of flooding, whereas crop recovery after submergence stress needs more data. The effect of submergence stress on the different growth stages of rice not only affects a specific period of time but also results from the combined effects of flooding and rice recovery. Therefore, the mechanism of crop dry matter accumulation and distribution, and its effect on yield structure under submergence stress at the growth and development stage, needs further study.
Flood submergence, especially during the rainy season, is one of the main factors affecting rice production [20]. Studying the growth mechanism of rice under submergence stress is crucial for ensuring the safety and stability of rice production. Previous studies have mainly focused on the final yield of rice and the growth of short-duration plants after submergence stress, with limited reports on the growth changes in rice during the recovery period after submergence. In Heilongjiang, flood submergence is most common between July and August, coinciding with the key growth period of rice. More than 70% of crop grain yield comes from photosynthesis after heading, indicating that the recovery of rice after flooding has a significant impact on yield [21]. However, it is not clear whether the growth of rice during the recovery period is compensated for or reduced. Therefore, it is crucial to reveal the effect of submergence stress on the late growth and development of rice during the key growth period to further understand the mechanisms of rice submergence stress. In this study, the main rice variety in the study area was used as the test object. The changes in stem and tiller number, plant height, leaf area index and dry matter after the release of stress were observed through the submergence test at the jointing and booting stage. The growth traits of rice were revealed and the mechanism of yield reduction was further clarified in the recovery period after flooding. This study may explore the formulation of disaster reduction and avoidance measures after rice flood submergence.

2. Materials and Methods

2.1. Experimental Site

The experiments were conducted from May to September in 2020 and 2021 at the Station of National Agriculture Irrigation Experiment in Qingan County (127°30′04″ E, 46°52′41″ N, Altitude 182.5 m), which is in the southwestern part of Heilongjiang Province, northeastern China (Figure 1). The area has a cold temperate continental monsoon climate. The daily variation in meteorological data, such as average maximum temperature, minimum temperature and rainfall during the rice growth period (2002~2021), is shown in Figure 2. The soil present in the experimental area was a typical permeable paddy soil derived from black soil. The soil bulk density was 1.01 g/cm3 and the pH was 6.45. The mass ratio of soil organic matter was 37.5 g/kg. Soil total nitrogen was 13.2 g/kg, total phosphorus was 15.25 g/kg and total potassium was 20.22 g/kg. Alkali-hydrolyzed nitrogen was 198.29 mg/kg, available phosphorus was 37.43 mg/kg and available potassium was 112.13 mg/kg.

2.2. Experimental Design

In this study, a pot experiment was conducted to simulate the flooding process in a flooded pool. Each pot had a radius of 0.16 m and a depth of 0.37 m, with a 5 cm thick filter layer covering the bottom. The soil in the pot was backfilled in 10 cm layers to ensure that its bulk density matched that of the original soil. The main factors of the experiment were flooding depth and flooding duration. The flood submergence in Heilongjiang Province was mostly basin-based, and a large area of rice in the plain area on both sides of the river was submerged [11,12,15]. Three common submergence depths were studied, including 1/3 plant height (1/3 h), 2/3 plant height (2/3 h) and 3/3 plant height (3/3 h). The flooding duration was 3, 5 and 7 d, respectively. The experiment used a comprehensive design method, with a total of 10 treatments including a non-flooding control. Each treatment included 3 replicates. All other conditions during the experiment were kept natural (Figure 3). The process of submerging the rice was carried out in a pool designed at different depths to simulate submergence depth, with geotextiles laid inside the pool to prevent water leakage. During the jointing and booting stage, pots were placed in the pool according to the submergence stress treatment requirements, and the rice was removed at the end of flooding and harvested after reaching maturity. Except for the submergence treatment, all experimental pots were managed according to typical field planting methods.

2.3. Experimental Materials

The rice variety used in the experiment was Longdao 18 (Variety No.: CNA20130632.7). The conventional japonica rice varieties approved and released in 2014 have a growth period of about 140 days, a plant height of about 98 cm, a panicle length of about 22 cm and an average yield of 9088 kg/hm2. The rice seedlings were raised in a seedbed during the early part of April and subsequently transplanted into the main paddy field in late May. The spacing between individual rice plants, known as hill spacing, was set at 0.25 m × 0.20 m to ensure proper plant development and growth. Agronomic measures such as fertilization were consistent with local conventional planting management. Specific fertilization practices were implemented and are detailed in Table 1.

2.4. Measurement Items and Methods

The submergence stress treatment was imposed during the jointing and booting stage of the rice plants, and the subsequent growth indices were monitored following the alleviation of the submergence stress (the 3rd, 7th, 18th, 33rd, and 51st d). Additionally, the yield components were assessed at the yellow ripe stage. Three pots of rice were selected for each treatment to observe tiller number, plant height, leaf area index (LAI) and yield. Each treatment selected 1 pot of rice to measure dry matter, with a total of 5 pots.
Plant height was measured as the distance from the field surface to the highest leaf tip before heading, and to the top of the panicle after heading. The length and width of each leaf were measured to calculate the LAI Formula (1) by integrating every single leaf area.
L A I = 0.83 × ρ × 1 3 1 n l i j × b i j 3
where ρ is the plant density, n is the number of measured leaves of each plant and l and b are the length and width of rice leaves, respectively.
The stem, leaf and spike were dried in an oven at 105 °C for 30 min and then at 80 °C for 48 h to achieve a constant weight. The dry matter content was determined using an electronic balance (accuracy 0.001 g). Various yield components, including the number of panicles, spikelet number per panicle, average seed setting and 1000-grain weight, were assessed using 3 randomly selected plants from each pot. At the end of the growing period, the grain yield was measured from all pots to determine the overall yield performance.

2.5. Statistical Analysis

All the experiments were performed in three replications to eliminate any bias. SPSS 19.0 software (IBM SPSS Statistics, Chicago, IL, USA) was used for significance analysis. The different lowercase letters indicate significant differences (p ≤ 0.05) according to the least significant difference test. And the figure was generated using Origin 2022 (OriginLab Corporation, Northampton, MA, USA).

3. Results

3.1. Tiller Number

It was observed that the tiller number was higher under submergence stress compared to the control, indicating an increase in tiller number after flooding (Figure 4). Most of these new tillers were ineffective tillers. Notably, the tiller of rice declined after 18 d of submergence stress (heading and flowering stage), and the decrease in tiller number under different treatments exceeded that of the control. The effective tillers decreased with increasing flooding depth and duration.

3.2. Plant Height

After submergence stress relief, the rice plant height was found to be higher in the treatment compared to the control (p ≤ 0.05) (Figure 5). Furthermore, an increase in submergence stress intensity resulted in an even greater plant height. This rapid growth in plant height indicates a response to stress. However, after 18 d of stress relief, adverse effects on rice growth became apparent, primarily in the form of growth inhibition. The disparity in rice plant height between each treatment and the control lessened over time and eventually became insignificant.

3.3. Leaf Area Index

The LAI of rice in the submergence treatment was observed to be higher than that of the control on the 3rd and 7th d after the relief of submergence stress (p ≤ 0.05) (Figure 6). This rapid leaf growth, which extended above the water surface for photosynthesis and respiration, aided in the adaptation of rice to the flooded environment. However, leaf apoptosis commenced on the 18th d after the alleviation of submergence stress, leading to a gradual decrease in the LAI of rice. The impact of submergence stress on rice growth became pronounced, with the LAI of rice significantly lower than that of the control.

3.4. Dry Matter

The dry matter under each stress treatment was higher than that of the control on the 3 and 7 d after stress relief (p ≤ 0.05) (Figure 7). The increased dry matter accumulation predominantly directed a substantial amount of carbon assimilates towards stem and leaf growth, thereby reducing the carbon assimilates available for plant recovery growth and yield formation in the later stages. This effect was more perceptible as the flooding stress intensified. The dry matter of each flooding treatment gradually equaled that of the control on the 18th d after stress relief (heading and flowering stage), subsequently declining to varying degrees. As the growth period progressed, the disparity in dry matter between the submergence stress treatment and the control became more pronounced due to the disappearance of ineffective tillers, weak plant height growth and leaf decline. The dry matter decreased compared to the control with an increase in stress intensity.

3.5. Yield

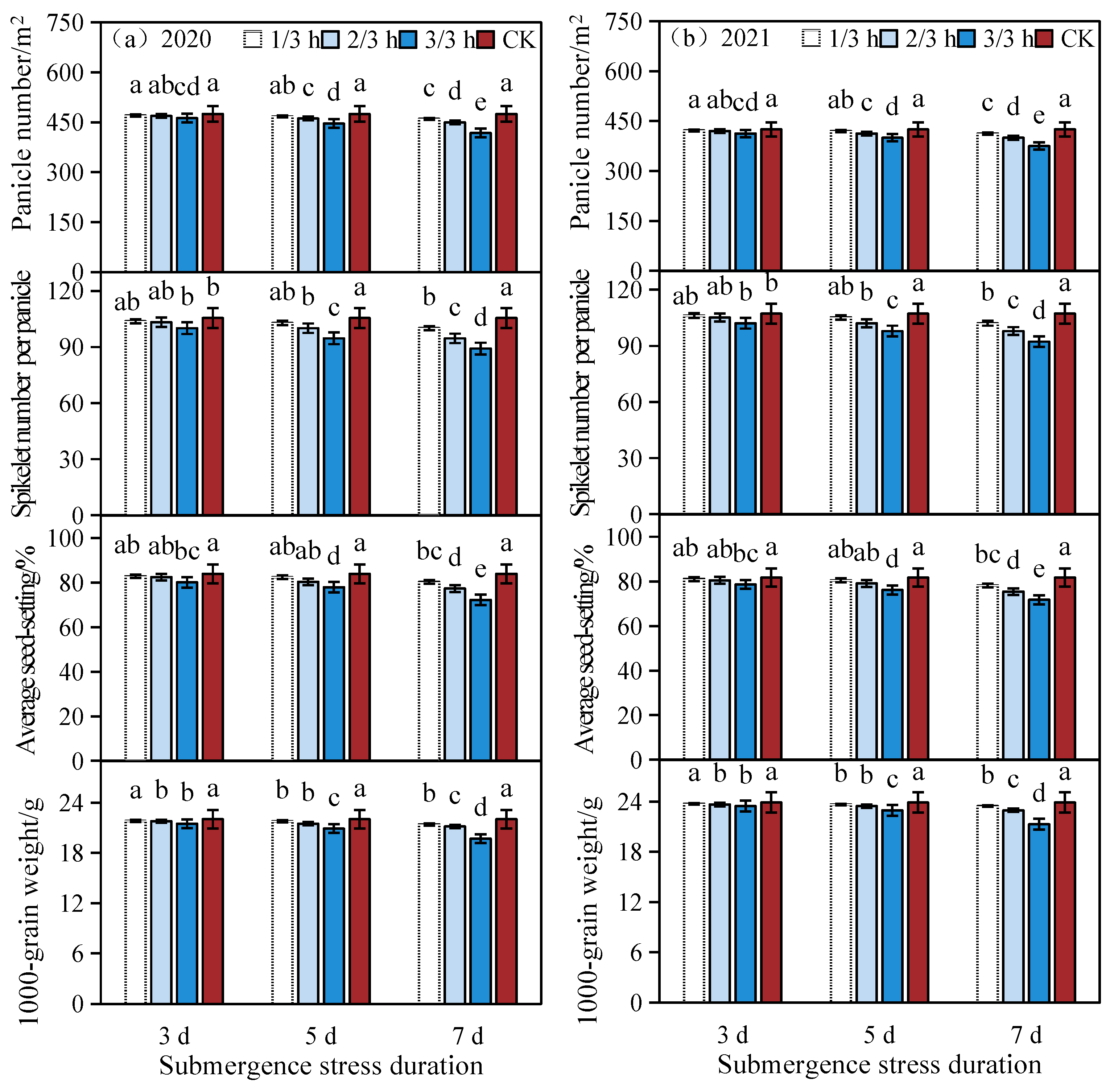
The effective panicle number exhibited a significant decrease with the intensification of stress (p ≤ 0.05) (Figure 8), as the submergence stress notably impacted the growth and pollen development of rice panicles. The number of grains per spike significantly decreased (p ≤ 0.05), with an increase in stress intensity during submergence. The total submergence treatment caused a significant decrease (p ≤ 0.05) in seed setting rate due to damage to the male and female organs before heading. The supply of photosynthesis and assimilation products was hindered after submergence stress, impacting grain filling during the later growth stages. The 1000-grain weight decreased with increased flooding depth and duration (p ≤ 0.05), thereby affecting the overall rice yield.
The yield under submergence stress was significantly lower than the control (p ≤ 0.05), with average yield reductions of 17.07% and 15.56% in 2020 and 2021, respectively (Figure 9). Different flooding depths had significantly varying impacts on yield, with the 3/3 h treatment showing the most severe effect. However, some leaves of rice at 1/3 h and 2/3 h flood depths were still able to carry out photosynthesis, offering resistance to short-term submergence stress. At the same flooding depth, the rice yield also significantly decreased with longer flooding durations (p ≤ 0.05). The data indicated that flooding for less than 3 d had a similar impact on yield, with an average decrease of 8.30% and 7.17% in 2020 and 2021, respectively, while there was a sharp decrease in rice yield with flooding for more than 3 d.

4. Discussion

4.1. Analysis of Rice Yield Reduction

Flooding stress has a significant effect on the number of stems and tillers in rice [11]. In this paper, it was found that the tiller number increased under partial flooding treatment, which is consistent with previous research results [4]. A previous study found that the tiller number after 2, 4 and 12 d of flooding during the tillering stage was lower than the control at 20 d after the total flooding treatment [12]. This study found that the ineffective tillers gradually wilted in the late growth stage. Flooding stress aggravated the decrease in tiller number as the growth period continued, which was similar to the above research results. The data of this study show that a large number of ineffective tillers consume more carbon, resulting in lower seed-setting rate and 1000-grain weight, adversely affecting yield formation. Previous studies have shown that plant height decreased with increasing stress during the middle and later tillering stages, with shortened internode length [22]. Wang et al. [12] observed a decrease in plant height in the short term following flooding, but the height before maturity was higher than that of the control group. This study found that the rapid growth of plant height under submergence is a stress response, but growth becomes slower in the later growth stages, which is contrary to the above research. This is mainly due to the different growth periods of the study. The jointing and booting stage is the key period for the growth of rice plant height, and the internodes are greatly elongated. The leaves eventually stretch out of the water for photosynthesis and respiration to maintain their own growth and development, which is the physiological mechanism of rice to adapt to the flooded environment. But when submergence stress is relieved, the elongation rate is lower than the control due to growth inhibition under submergence stress, affecting heading speed, heading delay and plant height irregularity, leading to a reduced gap between the plant height and the control. Previous studies have shown that submergence stress leads to the apoptosis of most rice leaves [14], while, in this study, the LAI under severe flooding stress (3/3 h) was lower than the control, and this difference gradually increased with flooding durations. This may be due to the enhanced synthesis and entrapment of ethylene under submergence, which accelerates the senescence of underwater leaves [23]. A reduction in leaf area is more unfavorable to photosynthesis. It was noted that cotton plants displayed strong self-regulation and recovery ability during the growth recovery process after the relief of submergence stress, quickly regaining growth through rapid dry matter synthesis [24]. Submergence stress inhibited rice dry matter accumulation. Dry matter continued to increase, but the growth rate was slower than the control. The change in dry matter accumulation of rice after flooding is different from that of cotton, which may be due to differences in the plant recovery mechanism between aquatic crops and dryland crops after flooding. Jiang et al. [25] demonstrated that the redistribution amount and percentage of dry matter stored in the vegetative organs of wheat decreased under submergence stress, and the carbon assimilates transferred to grains also significantly decreased by 26.5%. An analysis of the test data showed that submergence stress during the jointing and booting stage increased the accumulation of dry matter in rice leaves and stems, and decreased the carbon assimilates that aid growth and yield formation in the later stage, thus inhibiting dry matter accumulation during the growth recovery process. This may be the root cause of yield reduction under submergence stress at the jointing and booting stage.

4.2. Paddy Flood Submergence Prevention and Control Measures

Farmland flood submergence is caused by high field water or groundwater level. Therefore, the development of farmland drainage technology has always been an effective measure for controlling farmland flood submergence. In this study, shallow flooding (1/3 h) at the jointing and booting stage caused relatively little harm to rice (less than 10% yield reduction), and complete flooding for 3 d had little effect on rice yield. Previous studies showed that short-term flooding with a flooding depth less than the plant height had little effect on rice yield [26]. Rice can adapt to flooding environments because of its tolerance to flooding. Short-term flooding has little effect on yield, so a certain depth of paddy field should be discharged in time when flooding occurs. The resilience of rice after flooding gradually weakened with the extension of flood duration, and an increase in flooding depth seriously affected rice yield. Emerick et al. also believed that rice was a semi-aquatic plant that generally thrives with partial submergence. However, excessive and prolonged submergence can limit growth and yield [27]. Therefore, paddy fields should be drained to 1/3 h when floods are encountered in actual production, and the flooding duration should not exceed 3 d.
The adjustment technology of crop planting structure and mode was to change the growth environment by adjusting the types and planting patterns of flood-prone crops, so as to achieve the purpose of flood submergence prevention and mitigation [28]. This study suggests that rice varieties with tall plants and long leaves should be selected to reduce the impact of submergence on rice growth and yield in flood-prone areas. Islam et al. optimized the plant spacing and density for hybrid rice, obtaining the highest yield under submergence [29]. The regulation technology of crop submergence stress is to alleviate the harm degree of flood stress to crop growth using a biological regulator or biochemical agent [30]. In recent years, with the continuous development of molecular breeding technology, many new varieties with flood tolerance have been cultivated by using molecular markers and cloning technology for crop flood tolerance traits [31]. These are the main means of flood prevention and control against the vulnerability of disaster-bearing bodies in the future.

4.3. Limitations and Prospects

The authors of a previous study believed that plants would not only be stressed during flooding, but also suffer severe oxidative damage and rapid dehydration during sinking [32]. The rapid entry of oxygen into the plant after dehydration produced excessive reactive oxygen species, which could cause oxidative stress [33]. Previous studies have shown that submergence stress has a certain physiological effect on rice. In this study, the effect of submergence stress on rice growth continued until the recovery period after the disaster, mainly manifesting as a reduction in rice growth indexes. This study only focused on the apparent growth traits of rice and did not monitor the changes in physiological indexes in rice recovery in the period after the relief of submergence stress. The response mechanism of rice plants to submergence stress needs further study in order to evaluate the submergence tolerance of rice and analyze the mechanism of submergence, providing a theoretical basis for the breeding of submergence-resistant rice varieties.

5. Conclusions

This study analyzed the growth and recovery traits of rice under different submergence stress conditions. This study found that mild submergence stress had relatively little effect on rice tillers, plant height, leaf area and dry matter accumulation. However, this study also highlighted that the recovery ability of rice was weakened with increasing submergence stress, ultimately leading to greater damage and reductions in yield. Further study on the phenotyping and genotyping of rice during the recovery period in other genotypes, along with submergence-tolerant genotypes, can help us better understand the potential mechanism of rice yield under this abiotic stress.

Author Contributions

Conceptualization, Y.Y. and Y.M.; data curation, Y.Y.; investigation, Y.Y.; methodology, Y.Y.; resources, Y.Y. and Y.M.; writing—original draft preparation, Y.Y.; writing—review and editing, Y.M., P.C. and K.C. All authors have read and agreed to the published version of the manuscript.

Funding

This research was funded by the Research Business Expenses of Heilongjiang Provincial Research Institutes: CZKYF2023-1-C031; the Natural Science Foundation of Heilongjiang Province: LH2019E122; and the Postdoctoral Fellowship Program of CPSF: GZC20230668.

Data Availability Statement

The original contributions presented in the study are included in the article, further inquiries can be directed to the corresponding author.

Conflicts of Interest

The authors declare no conflicts of interest.

References

  1. Khalil, M.I.; Hassan, M.M.; Samanta, S.C.; Chowdhury, A.K.; Hassan, M.Z.; Ahmed, N.U.; Somaddar, U.; Ghosal, S.; Robin, A.H.K.; Nath, U.K. Unraveling the genetic enigma of rice submergence tolerance: Shedding light on the role of ethylene response factor-encoding gene SUB1A-1. Plant Physiol. Biochem. 2024, 206, 108224. [Google Scholar] [CrossRef] [PubMed]
  2. Kundzewicz, Z.; Su, B.; Wang, Y.; Xia, J.; Huang, J.; Jiang, T. Flood risk and its reduction in China. Adv. Water Resour. 2019, 130, 37–45. [Google Scholar] [CrossRef]
  3. Zhang, Y.H. Preliminary study on flood disaster in China. J. High. Commun. (Nat. Sci. Ed.) 2000, 13, 44–46. [Google Scholar]
  4. Juraimi, A.S.; Saiful, A.H.; Begum, M.; Anuar, A.R.; Azmi, M. Influence of Flooding Intensity and Duration on Rice Growth and Yield. Pertanika J. Trop. Agric. Ence 2009, 32, 195–208. [Google Scholar]
  5. Middelobe, A.L.; Markager, S. Depth limits and minimum light requirements of freshwater macrophytes. Freshwater Biol. 1997, 137, 553–568. [Google Scholar] [CrossRef]
  6. Jackson, M.B. Ethylene-promoted elongation: An adaptation to submergence stress. Ann. Bot. 2008, 101, 229–248. [Google Scholar] [CrossRef] [PubMed]
  7. Hirano, T.; Koshimura, N. Growth and distribution of photo assimilates in floating rice under submergence. Jpn. J. Trop. Agric. 1995, 39, 177–183. [Google Scholar]
  8. Naoyoshi, K.; Osamu, I.; Jun-Ichi, S. Relationship between shoot elongation and dry matter weight during submergence in Oryza sativa L. and O. glaberrima Steud. rice cultivars. Plant Prod. Sci. 2008, 11, 316–323. [Google Scholar]
  9. Ito, O.; Ella, E.; Kawano, N. Physiological basis of submergence tolerance in rainfed lowland rice ecosystem. Field Crop Res. 1999, 64, 75–90. [Google Scholar] [CrossRef]
  10. Jackson, M.B. Ethylene and responses of plants to soil submergence and submergence. Annu. Rev. Plant Physiol. 1985, 36, 145–174. [Google Scholar] [CrossRef]
  11. Meng, Y.; Yu, S.E.; Yu, Y.M.; Jiang, L.X. Flooding depth and duration concomitantly influence the growth traits and yield of rice. Irrig. Drain. 2022, 71, 94–107. [Google Scholar] [CrossRef]
  12. Wang, B.; Zhou, Y.J.; Xu, Y.Z.; Chen, G.; Hu, Q.F.; Wu, W.G.; Huo, X.M. Effects of different flooding time on growth dynamics and yield of mid-season rice at tillering stage. China Rice 2014, 20, 68–72. [Google Scholar]
  13. Engelaar, W.M.H.G.; Matsumaru, T.; Yoneyama, T. Combined effects of soil submergence and compaction on rice (Oryza sativa L.) growth, soil aeration, soil N transformations and 15N discrimination. Biol. Fertil. Soils 2000, 32, 484–493. [Google Scholar] [CrossRef]
  14. Yoko, H.; Keisuke, N.; Motoyuki, A. Rice growth adapting to deepwater. Curr. Opin. Plant Biol. 2011, 14, 100–105. [Google Scholar]
  15. Shao, C.X.; Pan, X.B.; Li, J.W.; Wei, P.; Zhang, X.T.; Hu, Q.; Ren, J.H. Effects of flood duration at different growth stages on growth, development and yield composition of rice. Trans. Chin. Soc. Agric. Eng. 2019, 35, 133–141. [Google Scholar]
  16. Yan, B.; Dai, Q.j.; Liu, X.Z. Accumulation of superoxide radical in corn leaves during waterlogging. Acta Bot. Sin. 1995, 7, 738–744. [Google Scholar]
  17. Li, J.C.; Chang, J.; Wei, F.Z. Relationship between waterlogging physiology and production in winter wheat. Plant Physiolofy Commun. 1997, 33, 304–312. [Google Scholar]
  18. Ding, J.F.; Liang, P.; Wu, P.; Zhu, M.; Li, C.Y.; Zhu, X.K.; Guo, W.S. Identifying the critical stage near anthesis for waterlogging on wheat yield and its components in the Yangtze River Basin, China. Agronomy 2020, 10, 130. [Google Scholar] [CrossRef]
  19. Collaku, A.; Harrison, S.A. Losses in wheat due to waterlogging. Crop Sci. 2002, 42, 444–450. [Google Scholar] [CrossRef]
  20. Basu, S.; Kumari, S.; Kumar, G. Sub1 QTL confers submergence tolerance in rice through nitro-oxidative regulation and phytohormonal signaling. Plant Physiol. Biochem. 2024, 211, 108682. [Google Scholar] [CrossRef]
  21. Yoshida, S. Physiological aspect of grain yield. Ann. Rev. Plant Physiol. 1972, 23, 437–464. [Google Scholar] [CrossRef]
  22. Ren, Z. Effects of Submergence Stress at Different Growth Stages on Rice Growth, Yield and Quality and Its Physiological Mechanism. Master’s Thesis, Yangzhou University, Yangzhou, China, 2022. [Google Scholar]
  23. Sudhanshu, S.; Mackill, D.J.; Ismail, A.M. Physiological basis of tolerance to complete submergence in rice involves genetic factors in addition to the SUB1 gene. AoB Plants 2014, 6, 428–429. [Google Scholar]
  24. Zhang, Y.J. Different Responses of Cotton to Submergence Stress at Different Growth Stages and Its Physiological Mechanism. Ph.D. Thesis, Shandong University, Jinan, China, 2017. [Google Scholar]
  25. Jiang, M.; Xuan, S.L.; Muneer, M.A.; Sun, B.; Shi, C.L.; Liu, F.S.; Wu, R.Y.; Glade, T.; Murty, T.S. Response of dry matter partition and yield components to waterlogging and sunlight shortage in different growth stages of wheat. Nat. Hazards 2022, 110, 1133–1152. [Google Scholar] [CrossRef]
  26. Ji, J.H.; Huo, Z.G.; Tang, L.S.; Du, Y.D.; Hu, F. Effects of flooding during early rice filling stage on physical and chemical properties of flag leaves, yield and quality. China Rice Sci. 2016, 30, 181–192. [Google Scholar]
  27. Emerick, K.; Ronald, P.C. Sub1 rice: Engineering rice for climate change. Cold Spring Harb. Perspect. Biol. 2019, 11, a034637. [Google Scholar] [CrossRef] [PubMed]
  28. Bhaduri, D.; Chakraborty, K.; Nayak, A.K.; Shahid, M.; Srivastava, A.K. Alteration in plant spacing improves submergence tolerance in Sub1 and non-Sub1 rice by better light interception and effective carbohydrate utilisation under stress. Funct. Plant Biol. 2020, 47, 891–903. [Google Scholar] [CrossRef] [PubMed]
  29. Islam, M.S.; Rashid, M.M.; Mondal, M.K.; Nath, S.C.; Karim, M.R. Effect of planting density on the performance of hybrid rice (Oryza sativa L.) under waterlogged condition. Agriculturists 2013, 11, 109–113. [Google Scholar] [CrossRef]
  30. Singh, S.K.; Singh, V.N.; Singh, D.P. Effect of nursery nutrient management on yield and economics of Swarna and Swarna-Sub 1 in submergence prone ecosystem of eastern Uttar Pradesh. AkiNik Publ. 2018, 7, 3517–3521. [Google Scholar]
  31. Kumar, A.; Nayak, A.K.; Hanjagi, P.S.; Kumari, K.; Vijayakumar, S.; Mohanty, S.; Tripathi, R.; Panneerselvam, P. Submergence stress in rice: Adaptive mechanisms, coping strategies and future research needs. Environ. Exp. Bot. 2021, 186, 104448. [Google Scholar] [CrossRef]
  32. Tong, S.; Kjær, J.E.; Peralta, L.L.; Pellegrini, E.; Song, Z.; Pedersen, O.; Herzog, M. Responses of key root traits in the genus Oryza to soil flooding mimicked by stagnant, deoxygenated nutrient solution. Exp. Bot. 2023, 74, 2112–2126. [Google Scholar] [CrossRef]
  33. Yuan, L.B.; Chen, M.X.; Wang, L.N.; Sasidharan, R.; Voesenek, L.A.; Xiao, S. Multistress resilience in plants recovering from submergence. Plant Biotechnol. 2023, 21, 466–481. [Google Scholar] [CrossRef] [PubMed]
Figure 1. Study area.
Figure 1. Study area.
Agronomy 14 01319 g001
Figure 2. Diurnal variation in rainfall and temperature during rice growth period.
Figure 2. Diurnal variation in rainfall and temperature during rice growth period.
Agronomy 14 01319 g002
Figure 3. Test layout diagram (The green in the figure is rice plant).
Figure 3. Test layout diagram (The green in the figure is rice plant).
Agronomy 14 01319 g003
Figure 4. Tiller number. The different lowercase letters indicate significant differences (p ≤ 0.05) according to the least significant difference test.
Figure 4. Tiller number. The different lowercase letters indicate significant differences (p ≤ 0.05) according to the least significant difference test.
Agronomy 14 01319 g004
Figure 5. Plant height. The different lowercase letters indicate significant differences (p ≤ 0.05) according to the least significant difference test.
Figure 5. Plant height. The different lowercase letters indicate significant differences (p ≤ 0.05) according to the least significant difference test.
Agronomy 14 01319 g005
Figure 6. Rice LAI. The different lowercase letters indicate significant differences (p ≤ 0.05) according to the least significant difference test.
Figure 6. Rice LAI. The different lowercase letters indicate significant differences (p ≤ 0.05) according to the least significant difference test.
Agronomy 14 01319 g006
Figure 7. Dry matter accumulation. The different lowercase letters indicate significant differences (p ≤ 0.05) according to the least significant difference test.
Figure 7. Dry matter accumulation. The different lowercase letters indicate significant differences (p ≤ 0.05) according to the least significant difference test.
Agronomy 14 01319 g007
Figure 8. Rice yield components. The different lowercase letters indicate significant differences (p ≤ 0.05) according to the least significant difference test.
Figure 8. Rice yield components. The different lowercase letters indicate significant differences (p ≤ 0.05) according to the least significant difference test.
Agronomy 14 01319 g008
Figure 9. Rice yield. The different lowercase letters indicate significant differences (p ≤ 0.05) according to the least significant difference test.
Figure 9. Rice yield. The different lowercase letters indicate significant differences (p ≤ 0.05) according to the least significant difference test.
Agronomy 14 01319 g009
Table 1. Fertilization of rice in the pot.
Table 1. Fertilization of rice in the pot.
Fertilizer TimeVarieties and Amounts (g/Pot)
Urea (N: 46%)Phosphorus PentoxidePotassium Chloride
Base fertilizer
(9 May 2020; 16 May 2021)
8.528.286.14
Tillering fertilizer
(25 May 2020; 1 June 2021)
3.7900
Spike fertilizer
(31 July 2020; 7 August 2021)
6.6306.14
Disclaimer/Publisher’s Note: The statements, opinions and data contained in all publications are solely those of the individual author(s) and contributor(s) and not of MDPI and/or the editor(s). MDPI and/or the editor(s) disclaim responsibility for any injury to people or property resulting from any ideas, methods, instructions or products referred to in the content.

Share and Cite

MDPI and ACS Style

Yu, Y.; Meng, Y.; Chen, P.; Cao, K. Submergence Stress Reduces the Ability of Rice to Regulate Recovery after Disaster. Agronomy 2024, 14, 1319. https://doi.org/10.3390/agronomy14061319

AMA Style

Yu Y, Meng Y, Chen P, Cao K. Submergence Stress Reduces the Ability of Rice to Regulate Recovery after Disaster. Agronomy. 2024; 14(6):1319. https://doi.org/10.3390/agronomy14061319

Chicago/Turabian Style

Yu, Yanmei, Yan Meng, Peng Chen, and Kaihua Cao. 2024. "Submergence Stress Reduces the Ability of Rice to Regulate Recovery after Disaster" Agronomy 14, no. 6: 1319. https://doi.org/10.3390/agronomy14061319

APA Style

Yu, Y., Meng, Y., Chen, P., & Cao, K. (2024). Submergence Stress Reduces the Ability of Rice to Regulate Recovery after Disaster. Agronomy, 14(6), 1319. https://doi.org/10.3390/agronomy14061319

Note that from the first issue of 2016, this journal uses article numbers instead of page numbers. See further details here.

Article Metrics

Back to TopTop