Use of Detached Leaf Inoculation Method for the Early Selection of Coffea arabica L. for Resistance to Hemileia vastatrix Berk and Broome
Abstract
1. Introduction
2. Materials and Methods
2.1. Location
2.2. Genotypes
2.3. Field Evaluations
2.4. Laboratory Evaluations
2.5. Experimental Design and Analysis
- -
- S (t) = survival function.
- -
- T = the most likely time at which symptoms develop in each genotype.
- -
- P (t) = the conditional probability function that describes the instantaneous risk for the symptom to develop at time t, from day 10 DAI to day 60 DAI.
3. Results
3.1. Incidence of CLR under Field Conditions
3.2. Probable Times of Symptom Onset under Controlled Conditions
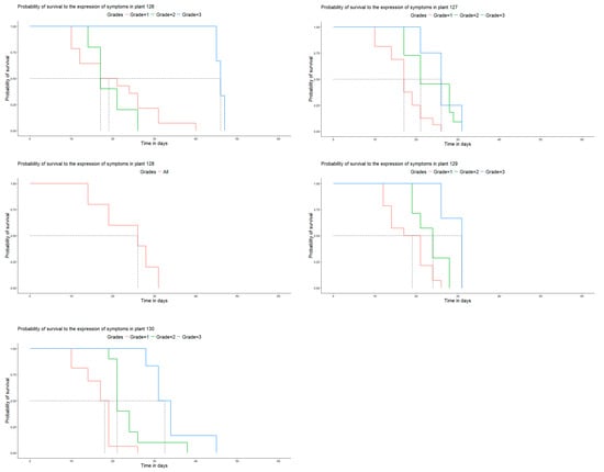
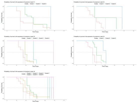
3.3. Probability of Survival to the Expression of CLR Symptoms in Coffee Population
4. Discussion
5. Conclusions
Author Contributions
Funding
Data Availability Statement
Acknowledgments
Conflicts of Interest
References
- Noronha Wagner, M.; Bettencourt, A.J. Genetic study of the resistance of Coffea spp. to leaf rust-Identification and behavior of four factors conditioning disease reaction in Coffea arabica to twelve physiologic races of Hemileia vastatrix. Can. J. Bot. 1967, 45, 2021–2031. [Google Scholar] [CrossRef]
- Flor, H.H. Inheritance of pathogenicity in Melampsora lini. Phytopathology 1942, 32, 653–669. [Google Scholar]
- do Céu Silva, M.; Rijo, L.; Rodrigues, C.J., Jr.; Vasconselos, M.I. Histological study of the heterozigosity effect of coffee resistance genes SH1 and SH4, SH5 towards Hemileia vastatrix. Broteria Genética 1992, XIII, 169–184. [Google Scholar]
- Eskes, A.B.; Carvalho, A. Variation for incomplete resistance to Hemileia vastatrix in Coffea arabica. Euphytica 1983, 32, 625–637. [Google Scholar] [CrossRef]
- Leguizamón Caicedo, J. Contribution a la Connaissnace de la Resistance Incomplete du Cafier arabica (Coffea arabica L.) a la Rouille Orangee (Hemileia vastatrix Berk. et Br.); IRCC: Montpellier, France, 1985. [Google Scholar]
- Castillo Zapata, J.; Leguizamón Caicedo, J. Viruelencia de Hemileia vastatrix determinada por medio de plantas diferenciales de café en Colombia. Cenicafé 1992, 43, 114–124. [Google Scholar]
- Rios, J.A.; Debona, D. Efeito epidemiológico da resistência de hospedeiro. In Resistência Genética de Plantas a Patógenos; Dallagnol, J.L., Ed.; UFPel: Pelotas, Brasil, 2018; p. 437. [Google Scholar]
- Ficke, A.; Cowger, C.; Bergstrom, G.; Brodal, G. Understanding Yield Loss and Pathogen Biology to Improve Disease Management: Septoria nodorum Blotch—A Case Study in Wheat. Plant Dis. 2018, 102, 696–707. [Google Scholar] [CrossRef]
- Toniutti, L.; Breitler, J.-C.; Etienne, H.; Campa, C.; Doulbeau, S.; Urban, L.; Lambot, C.; Pinilla, J.-C.H.; Bertrand, B. Influence of Environmental Conditions and Genetic Background of Arabica Coffee (C. arabica L.) on Leaf Rust (Hemileia vastatrix) Pathogenesis. Front. Plant Sci. 2017, 8, 2025. [Google Scholar] [CrossRef]
- Pérez, C.P.; Pozza, E.A.; Pozza, A.A.; de Freitas, A.S.; Silva, M.G.; Gomes Guimarães, D.D. Impact of nitrogen and potassium on coffee rust. Eur. J. Plant Pathol. 2019, 155, 219–229. [Google Scholar] [CrossRef]
- Ghufron Rosyady, M.; Anom Wijaya, K.; Wulanjari, D.; Wafa, A. Role of Mineral Elements to Induce the Resistance of Arabica Coffee against Rust Disease at Lowland Area. E3S Web Conf. 2020, 142, 3. [Google Scholar] [CrossRef]
- Eskes, A.B.; Toma-Braghini, M. The effect of leaf age on incomplete resistance of coffee to Hemileia vastatrix. Neth. J. Plant Pathol. 1982, 88, 219–230. [Google Scholar] [CrossRef]
- Marla, S.R.; Chu, K.; Chintamanani, S.; Multani, D.S.; Klempien, A.; DeLeon, A.; Bong-Suk, K.; Dunkle, L.D.; Dilkes, B.P.; Johal, G.S. Adult plant resistance in maize to northern leaf spot is a feature of partial loss-of-function alleles of Hm1. PLoS Pathog. 2018, 14, e1007356. [Google Scholar] [CrossRef]
- Ning, Y.; Liu, W.; Wang, G.L. Balancing Immunity and Yield in Crop Plants. Trends Plant Sci. 2017, 22, 1069–1079. [Google Scholar] [CrossRef] [PubMed]
- Li, W.; Chern, M.; Yin, J.; Wang, J.; Chen, X. Recent advances in broad-spectrum resistance to the rice blast disease. Curr. Opin. Plant Biol. 2019, 50, 114–120. [Google Scholar] [CrossRef] [PubMed]
- Countinho, T.A.; Rijkenberg, F.J.; van Asch, M. The effect of leaf age on infection of Coffea genotypes by Hemileia vastatrix. Plant Pathol. 1994, 43, 97–103. [Google Scholar] [CrossRef]
- Alvarado Alvarado, G. El Café y la roya: Estrategias de Resistencia Incompleta; FNC–Cenicafé: Chinchiná, Colombia, 2011. [Google Scholar]
- DaMatta, F.M. Ecophysiological constraints on the production of shaded and unshaded coffee: A review. Field Crops Res. 2004, 86, 99–114. [Google Scholar] [CrossRef]
- Romero Guerrero, G.; Herrera Pinilla, J.C.; Ligarreto Moreno, G.A.; Alvarado Alvarado, G. Análisis genético de la resistencia incompleta a Hemileia vastatrix en progenies de Caturra x Híbrido de Timor. Cenicafé 2008, 59, 103–119. [Google Scholar]
- Liebig, T.; Ribeyre, F.; Läderach, P.; Poehling, H.-M.; Asten, P.V.; Avelino, J. Interactive effects of altitude, microclimate and shading system on coffee leaf rust. J. Plant Interact. 2019, 14, 407–415. [Google Scholar] [CrossRef]
- Belachew, K.; Senbeta, G.A.; Garedew, W.; Barreto, R.W.; Del Ponte, E.M. Altitude is the main driver of coffee leaf rust epidemics: A large-scale survey in Ethiopia. Trop. Plant Pathol. 2020, 45, 511–521. [Google Scholar] [CrossRef]
- Merle, I.; Pico, J.; Granados, E.; Boudrot, A.; Tixier, P.; Filho, E.d.M.V.; Cilas, C.; Avelino, J. Unraveling the Complexity of Coffee Leaf Rust Behavior and Development in Different Coffea arabica Agroecosystems. Phytopathology 2020, 110, 418–427. [Google Scholar] [CrossRef]
- Vasco, G.B.; Pozza, E.A.; Silva, M.G.; Pozza, A.A.; Chaves, E. Interaction of K and B in the intensity of coffee rust in nutrient solution. Coffee Sci. 2018, 13, 238–244. [Google Scholar] [CrossRef]
- Eskes, A.B.; Da Costa, W.M. Characterization of incomplete resistance to Hemileia vastatrix in the icatu coffee population. Euphytica 1983, 32, 649–657. [Google Scholar] [CrossRef]
- Zadoks, J.C. A case of race differentiation of brown rust on mature plants of wheat. Neth. J. Plant Pathol. 1963, 69, 145–167. [Google Scholar] [CrossRef]
- Eskes, A.B. The use of leaf disk inoculations in assessing resistance to coffee leaf rust (Hemileia vastatrix). Neth. J. Plant Pathol. 1982, 88, 127–141. [Google Scholar] [CrossRef]
- Scherm, H.; Ojiambo, P.S. Applications of Survival Analysis in Botanical Epidemiology. Phytopathology 2004, 94, 1022–1026. [Google Scholar] [CrossRef] [PubMed]
- Kaplan, E.L.; Meier, P. Nonparametric Estimation from Incomplete Observation. J. Am. Stat. Assoc. 1958, 53, 45–481. [Google Scholar] [CrossRef]
- Romano, A.; Stevanato, P. Germination Data Analysis by Time-to-Event Approaches. Plants 2020, 9, 617. [Google Scholar] [CrossRef] [PubMed]
- Madden, L.V.; Nault, L.R. Differential Pathogenicity of Corn Stunting Mollicutes to Leafhopper Vectors in Dalbulus and Baldulus species. Phytopathology 1983, 73, 1608–1614. [Google Scholar] [CrossRef]
- Westra, G.A.A.; Arneson, C.P.; Slack, S.A. Effect of Interaction of Inoculum Dose, Cultivar, and Geographic Location on the Development of Foliar Symptoms of Bacterial Ring of Potato. Ecol. Epidemiol. 1994, 84, 410–415. [Google Scholar] [CrossRef]
- Jules, E.S.; Kauffman, M.J.; Ritts, W.D.; Carroll, A.L. Spread of an Invasive Pathogen over a Variable Landscape: A Nonnative Root Rot on Port Orford Cedar. Ecology 2002, 83, 3167–3181. [Google Scholar] [CrossRef]
- Neher, D.A.; Wilkinson, H.T.; Augspurger, C.K. Progression of damping-off epidemics in Glycine populations of even-age and mixed-age structure. Can. J. Bot. 1992, 70, 1032–1038. [Google Scholar] [CrossRef]
- Stalpers, L.J.; Kaplan, E.L.; Edward, L. Kaplan and the Kaplan-Meier Survival Curve. J. Br. Soc. Hist. Math. 2018, 33, 109–135. [Google Scholar] [CrossRef]
- Eskes, A.B.; Toma Braghini, M. Assessment methods for resistance to coffee leaf rust (Hemileia vastatrix Berk. and Br.). FAO-Plant-Prot.-Bull. 1981, 29, 56–66. [Google Scholar]
- do Céu Silva, M.; Nicole, M.; Guerra Guimaraes, L.; Rodrigues, C.J., Jr. Hypersensitive cell death and post-haustorial defence responses arrest the orange rust (Hemileia vastatrix) growth in resistant coffee leaves. Physiol. Mol. Plant Pathol. 2002, 60, 169–183. [Google Scholar] [CrossRef]
- Andersen, E.J.; Ali, S.; Byamukama, E.; Yen, Y.; Nepal, M.P. Disease Resistance Mechanisms in Plants. Genes 2018, 9, 339. [Google Scholar] [CrossRef] [PubMed]
- Albert, M.; Axtell, M.J.; Timko, M.P. Mechanisms of resistance and virulence in parasitic plant–host interactions. Plant Physiol. 2021, 185, 1282–1291. [Google Scholar] [CrossRef] [PubMed]
- Silva, M.D.C.; Guerra-Guimarães, L.; Diniz, I.; Loureiro, A.; Azinheira, H.; Pereira, A.P.; Tavares, S.; Batista, D.; Várzea, V. An Overview of the Mechanisms Involved in Coffee-Hemileia vastatrix Interactions: Plant and Pathogen Perspectives. Agronomy 2022, 12, 326. [Google Scholar] [CrossRef]
- Simardeep, K.; Kumar Samota, M.; Choudhary, M.; Choudhary, M.; Pandey, A.K.; Sharma, A.; Thakur, J. How do plants defend themselves against pathogens-Biochemical mechanisms and genetic interventions. Physiol. Mol. Biol. Plants 2022, 28, 485–504. [Google Scholar] [CrossRef] [PubMed]
- Gill, U.S.; Lee, S.; Mysore, K.S. Host Versus Nonhost Resistance: Distinct Wars with Similar Arsenals. Phytopathology 2015, 105, 580–587. [Google Scholar] [CrossRef] [PubMed]
- Eskes, A.B. Resistance. In Coffee Rust: Epidemiology, Resistance and Management; Kushalappa, A.C., Eskes, A.B., Eds.; Boca CRC Press, Inc.: Ratón, FL, USA, 1989; p. 345. [Google Scholar]
- Zambolim, L.; Teixeira Caixeta, E. An Overview of Physiological Specialization of Coffee Leaf Rust–New Designation of Pathotypes. Int. J. Curr. Res. 2021, 13, 15564–15575. [Google Scholar] [CrossRef]
- Eskes, A.B. The effect of light intensity on incomplete resistance of coffee to Hemileia vastatrix. Neth. J. Plant Pathol. 1982, 88, 191–202. [Google Scholar] [CrossRef]
- Capucho, A.S.; Caixeta, E.T.; Zambolim, E.M.; Zambolim, L. Herança da resistência do Híbrido de Timor UFV 443-03 à ferrugem-do-cafeeiro. Pesqui. Agropecuária Bras. 2009, 44, 276–282. [Google Scholar] [CrossRef]
- Parvatha Reddy, P. Variety Mixtures/Cultivar Mixtures/Multilines. In Recent Advances in Crop Protection; Springer: New Delhi, India, 2013; pp. 201–221. [Google Scholar] [CrossRef]
- Chai, Y.; Pardey, P.G.; Silverstein, K.T. Scientific selection: A century of increasing crop varietal diversity in US wheat. Proc. Natl. Acad. Sci. USA 2022, 119, e2210773119. [Google Scholar] [CrossRef] [PubMed]
- Castro, D.G.; de Moura, A.M.; Alves, N.B.; Tomé, L.M.; Botelho, F.B.S.; Neto, A.R.; de Souza, D.C. Multiline aiming at phenotypic stability and rice blast resistance. Biosci. J. 2022, 38, e38100. [Google Scholar] [CrossRef]
- Flórez, C.P.; Arias, J.C.; Cortina, H.; Moncada-Botero, M.; Quiroga-Cardona, J.; Molina, D.M.; García-López, J.C. Variedades Castillo® Zonales. Resistencia a la roya con mayor productividad. Avances Técnicos Cenicafé. 2018, 489, 1–8. [Google Scholar] [CrossRef]









| Population | CLR Incidence in Field | ||||||||||
|---|---|---|---|---|---|---|---|---|---|---|---|
| 0 | 1 | 2 | 3 | 4 | 5 | 6 | 7 | 8 | 9 | Total Plants | |
| 1. [(Caturra × CCC.32) × (Caturra × CCC.66)] × CX.2385 | 5 | ||||||||||
| 2. CX.2385 × [(Caturra × CCC.32) × (Caturra × CCC.66)] | 1 | 9 | 10 | ||||||||
| 3. [Catuaí × (Caturra × CCC.66)] × CX.2385 | 1 | 4 | 5 | ||||||||
| Total Plants | 1 | 1 | 18 | 20 | |||||||
| Population | Plant | Percentages of Involvement in the Scale of Increasing Injuries | ||||||
|---|---|---|---|---|---|---|---|---|
| Grade 1 | Grade 2 | Grade 3 | Grade 4 | Grade 5 | Grade 6 | Grade 7 | ||
| 1 | 31 | 93.80 | 87.50 | 6.30 | ||||
| 32 | 100.00 | 27.30 | 9.40 | |||||
| 33 | 93.80 | 62.50 | 37.50 | 3.90 | 0.80 | |||
| 34 | 100.00 | 87.50 | 43.80 | 0.80 | ||||
| 35 | 100.00 | 75.00 | 62.50 | 6.30 | 5.50 | 5.50 | 5.50 | |
| 2 | 51 | 100.00 | 100.00 | 75.00 | 46.10 | 44.50 | 40.60 | 29.70 |
| 52 | 87,50 | 62.50 | 37.50 | |||||
| 53 | 100.00 | 81.30 | 63.30 | 18.00 | 6.30 | 0.80 | ||
| 54 | 100.00 | 81.30 | 37.50 | |||||
| 55 | 100.00 | 100.00 | 100.00 | |||||
| 61 | 100.00 | 100.00 | 62.50 | |||||
| 62 | 100.00 | 87.50 | 56.30 | |||||
| 63 | 100.00 | 43.80 | 12.50 | |||||
| 64 | 93.80 | 50.00 | 21.90 | |||||
| 65 | 100.00 | 93.80 | ||||||
| 3 | 126 | 87.50 | 31.30 | 18.80 | ||||
| 127 | 100.00 | 68.80 | 25.00 | |||||
| 128 | 32.80 | |||||||
| 129 | 87.50 | 43.80 | 18.80 | |||||
| 130 | 100.00 | 62.50 | 37.50 | |||||
| Caturra variety | 100.00 | 100.00 | 100.00 | 78.10 | 78.10 | 78.10 | 77.30 | |
| CX.2385 line | 100.00 | 100.00 | 87.50 | 26.60 | 25.80 | 24.20 | 24.20 | |
Disclaimer/Publisher’s Note: The statements, opinions and data contained in all publications are solely those of the individual author(s) and contributor(s) and not of MDPI and/or the editor(s). MDPI and/or the editor(s) disclaim responsibility for any injury to people or property resulting from any ideas, methods, instructions or products referred to in the content. |
© 2024 by the authors. Licensee MDPI, Basel, Switzerland. This article is an open access article distributed under the terms and conditions of the Creative Commons Attribution (CC BY) license (https://creativecommons.org/licenses/by/4.0/).
Share and Cite
Quiroga-Cardona, J.; López-Monsalve, L.F.; Várzea, V.M.P.; Flórez-Ramos, C.P. Use of Detached Leaf Inoculation Method for the Early Selection of Coffea arabica L. for Resistance to Hemileia vastatrix Berk and Broome. Agronomy 2024, 14, 1283. https://doi.org/10.3390/agronomy14061283
Quiroga-Cardona J, López-Monsalve LF, Várzea VMP, Flórez-Ramos CP. Use of Detached Leaf Inoculation Method for the Early Selection of Coffea arabica L. for Resistance to Hemileia vastatrix Berk and Broome. Agronomy. 2024; 14(6):1283. https://doi.org/10.3390/agronomy14061283
Chicago/Turabian StyleQuiroga-Cardona, Julio, Luisa Fernanda López-Monsalve, Vítor Manuel Pinto Várzea, and Claudia Patricia Flórez-Ramos. 2024. "Use of Detached Leaf Inoculation Method for the Early Selection of Coffea arabica L. for Resistance to Hemileia vastatrix Berk and Broome" Agronomy 14, no. 6: 1283. https://doi.org/10.3390/agronomy14061283
APA StyleQuiroga-Cardona, J., López-Monsalve, L. F., Várzea, V. M. P., & Flórez-Ramos, C. P. (2024). Use of Detached Leaf Inoculation Method for the Early Selection of Coffea arabica L. for Resistance to Hemileia vastatrix Berk and Broome. Agronomy, 14(6), 1283. https://doi.org/10.3390/agronomy14061283

