Evaluation of Quinoa Varieties for Adaptability and Yield Potential in Low Altitudes and Correlation with Agronomic Traits
Abstract
1. Introduction
2. Materials and Methods
2.1. Seed Material and Experimental Conditions
2.2. Seed Sowing and Experimental Design
2.3. Determination of Agronomic Traits
2.3.1. Green Leaf Area Per Quinoa Plant
weight per unit green leaf area
2.3.2. Root System Characteristics
2.3.3. Dry Matter Mass
2.3.4. Stalk Characteristics
2.4. Yield and Panicle Architecture
2.5. Harvest Index (%)
2.6. Data Analysis
3. Results
3.1. Yield Cluster Analysis
3.2. Differences in Agronomic Traits of Low-, Medium-, and High-Yield Quinoa Cultivars across Growth Stages
3.2.1. Plant Height
3.2.2. Green Leaf Area Per Plant
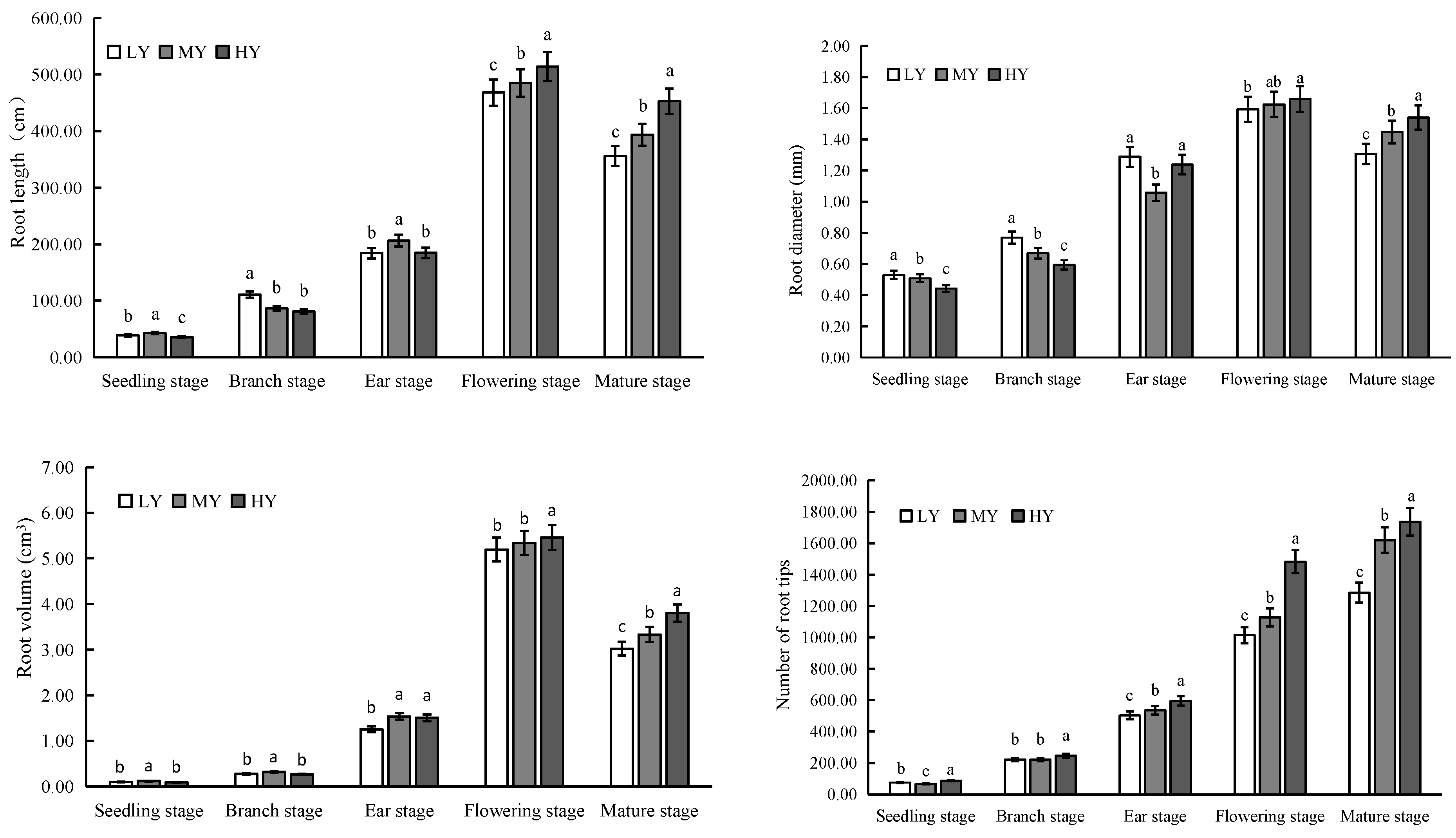
3.2.3. Root Characteristics
3.2.4. Dry Matter Accumulation
3.3. Stem Strength and Yield Traits of Low-, Medium-, and High-Yield Quinoa Cultivars at Maturity
3.3.1. Stem Characteristics
3.3.2. Panicle Characteristics
3.3.3. Yield and Component Factors
3.4. Correlation Analysis between Yield and Agronomic Traits
3.5. Structural Equation Modeling of Yield and Agronomic Traits
4. Conclusions
Author Contributions
Funding
Data Availability Statement
Conflicts of Interest
References
- Navruz-Varli, S.; Sanlier, N. Nutritional and health benefits of quinoa (Chenopodium quinoa Willd.). J. Cereal Sci. 2016, 69, 371–376. [Google Scholar] [CrossRef]
- Vilcacundo, R.; Hernández-Ledesma, B. Nutritional and biological value of quinoa (Chenopodium quinoa Willd.). Curr. Opin. Food Sci. 2017, 14, 1–6. [Google Scholar] [CrossRef]
- Etaati, M.; Ardakani, M.R.; Bagheri, M.; Paknejad, F.; Golzardi, F. Grain Yield, Nutritional Value and Fatty Acids Profile of Quinoa (Chenopodium quinoa Willd.) Genotypes in Semi-arid Climatic Condition. Gesunde Pflanz. 2022, 75, 993–1002. [Google Scholar] [CrossRef]
- Jan, N.; Hussain, S.Z.; Naseer, B.; Bhat, T.A. Amaranth and quinoa as potential nutraceuticals: A review of anti-nutritional factors, health benefits and their applications in food, medicinal and cosmetic sectors. Food Chem. X 2023, 18, 100687. [Google Scholar] [CrossRef] [PubMed]
- Jianxin, S.; Yao, T. Effect of extrusion temperature on characteristic amino acids, fatty acids, organic acids, and phenolics of white quinoa based on metabolomics. Food Res. Int. 2023, 169, 112761. [Google Scholar]
- Ramos-Pacheco, B.S.; Choque-Quispe, D.; Ligarda-Samanez, C.A.; Solano-Reynoso, A.M.; Palomino-Rincón, H.; Choque-Quispe, Y.; Peralta-Guevara, D.E.; Moscoso-Moscoso, E.; Aiquipa-Pillaca, Á.S. Effect of Germination on the Physicochemical Properties, Functional Groups, Content of Bioactive Compounds, and Antioxidant Capacity of Different Varieties of Quinoa (Chenopodium quinoa Willd.) Grown in the High Andean Zone of Peru. Foods 2024, 13, 417. [Google Scholar] [CrossRef]
- Dumschott, K.; Wuyts, N.; Alfaro, C.; Castillo, D.; Fiorani, F.; Zurita-Silva, A. Morphological and Physiological Traits Associated with Yield under Reduced Irrigation in Chilean Coastal Lowland Quinoa. Plants 2022, 11, 323. [Google Scholar] [CrossRef]
- Merino, J.; Pedreros, A.; Fischer, S.; López, M.D. Effect of post-emergence herbicides on stress indicators in quinoa. Chil. J. Agric. Res. 2020, 80, 21–29. [Google Scholar] [CrossRef]
- McGinty, E.M.; Murphy, K.M.; Hauvermale, A.L. Seed Dormancy and Preharvest Sprouting in Quinoa (Chenopodium quinoa/italic Willd). Plants 2021, 10, 458. [Google Scholar] [CrossRef]
- Mu, H.; Xue, S.; Sun, Q.; Shi, J.; Zhang, D.; Wang, D.; Wei, J. Research progress of quinoa seeds (Chenopodium quinoa Wild.): Nutritional components, technological treatment, and application. Foods 2023, 12, 2087. [Google Scholar] [CrossRef]
- Sun, S.L.; Zhu, Z.D.; Zhang, J.L.; Mei, L. Outbreak of Choanephora stem rot caused by Choanephora cucurbitarum on quinoa (Chenopodium quinoa) in China. Plant Dis. 2018, 102, 2379. [Google Scholar] [CrossRef]
- Wang, Z.; Fu, X. Scheme simulation and predictive analysis of water environment carrying capacity in Shanxi Province based on system dynamics and DPSIR model. Ecol. Indic. 2023, 154, 110862. [Google Scholar] [CrossRef]
- Zhang, Y.; Liu, B.; Sui, R. Evaluation and Driving Determinants of the Coordination between Ecosystem Service Supply and Demand: A Case Study in Shanxi Province. Appl. Sci. 2023, 13, 9262. [Google Scholar] [CrossRef]
- Achim, W.; Frank, L.; Andreas, H. Plant phenotyping: From bean weighing to image analysis. Plant Methods 2015, 11, 14. [Google Scholar]
- de Souza Campos, P.M.; Meier, S.; Morales, A.; Lavanderos, L.; Nahuelcura, J.; Ruiz, A.; López-García, Á.; Seguel, A. New Insights into the Phosphorus Acquisition Capacity of Chilean Lowland Quinoa Roots Grown under Low Phosphorus Availability. Plants 2022, 11, 3043. [Google Scholar] [CrossRef]
- Li, R.; Zeng, Y.; Xu, J.; Wang, Q.; Wu, F.; Cao, M.; Lan, H.; Liu, Y.; Lu, Y. Genetic variation for maize root architecture in response to drought stress at the seedling stage. Breed. Sci. 2015, 65, 298–307. [Google Scholar] [CrossRef]
- Asplund, L.; Bergkvist, G.; Weih, M. Functional traits associated with nitrogen use efficiency in wheat. Acta Agric. Scand. Sect. B—Soil Plant Sci. 2015, 66, 153–169. [Google Scholar] [CrossRef]
- Gaju, O.; DeSilva, J.; Carvalho, P.; Hawkesford, M.J.; Griffiths, S.; Greenland, A.; Foulkes, M.J. Leaf photosynthesis and associations with grain yield, biomass and nitrogen-use efficiency in landraces, synthetic-derived lines and cultivars in wheat. Field Crops Res. 2016, 193, 1–15. [Google Scholar] [CrossRef]
- Woo, H.R.; Kim, H.J.; Lim, P.O.; Nam, H.G. Leaf Senescence: Systems and Dynamics Aspects. Annu. Rev. Plant Biol. 2019, 70, 347–376. [Google Scholar] [CrossRef]
- Ali, S.; Chattha, M.U.; Hassan, M.U.; Khan, I.; Chattha, M.B.; Iqbal, B.; Rehman, M.; Nawaz, M.; Amin, M.Z. Growth, Biomass Production, and Yield Potential of Quinoa (Chenopodium quinoa Willd.) as Affected by Planting Techniques Under Irrigated Conditions. Int. J. Plant Prod. 2020, 14, 427–441. [Google Scholar] [CrossRef]
- Jorfi, A.; Alavifazel, M.; Gilani, A.; Ardakani, M.R.; Lak, S. Yield and morpho-physiological performance of quinoa (Chenopodium quinoa) genotypes as affected by phosphorus and zinc. J. Plant Nutr. 2022, 45, 2432–2446. [Google Scholar] [CrossRef]
- Wang, N.; Wang, F.; Shock, C.C.; Meng, C.; Qiao, L. Effects of Management Practices on Quinoa Growth, Seed Yield, and Quality. Agronomy 2020, 10, 445. [Google Scholar] [CrossRef]
- Berry, P.M.; Spink, J.H.; Gay, A.P.; Craigon, J. A comparison of root and stem lodging risks among winter wheat cultivars. J. Agric. Sci. 2003, 141, 191–202. [Google Scholar] [CrossRef]
- Khan, S.; Anwar, S.; Kuai, J.; Ullah, S.; Fahad, S.; Zhou, G. Optimization of nitrogen rate and planting density for improving yield, nitrogen use efficiency, and lodging resistance in oilseed rape. Front. Plant Sci. 2017, 8, 246598. [Google Scholar] [CrossRef] [PubMed]
- Manjarres-Hernández, E.H.; Morillo-Coronado, A.C.; Ojeda-Pérez, Z.Z.; Cárdenas-Chaparro, A.; Arias-Moreno, D.M. Characterization of the yield components and selection of materials for breeding programs of quinoa (Chenopodium quinoa Willd.). Euphytica 2021, 217, 101. [Google Scholar] [CrossRef]
- Manjarres-Hernández, E.H.; Arias-Moreno, D.M.; Morillo-Coronado, A.C.; Ojeda-Pérez, Z.Z.; Cárdenas-Chaparro, A. Phenotypic Characterization of Quinoa (Chenopodium quinoa Willd.) for the Selection of Promising Materials for Breeding Programs. Plants 2021, 10, 1339. [Google Scholar] [CrossRef]
- Hussain, M.I.; Muscolo, A.; Ahmed, M.; Asghar, M.A.; Al-Dakheel, A.J. Agro-morphological, yield and quality traits and interrelationship with yield stability in quinoa (Chenopodium quinoa Willd.) genotypes under saline marginal environment. Plants 2020, 9, 1763. [Google Scholar] [CrossRef] [PubMed]
- Shah, S.S.; Shi, L.; Li, Z.; Ren, G.; Zhou, B.; Qin, P. Yield, Agronomic and Forage Quality Traits of Different Quinoa (Chenopodium quinoa Willd.) Genotypes in Northeast China. Agronomy 2020, 10, 1908. [Google Scholar] [CrossRef]
- Nguyen, L.V.; Bertero, D.; Hoang, D.T.; Long, N.V. Variation in quinoa roots growth responses to drought stresses. J. Agron. Crop Sci. 2021, 208, 830–840. [Google Scholar] [CrossRef]
- Mengistu, G.; Aleme, M.; Bogale, A.; Tulu, D.; Faji, M.; Terefe, G.; Mohammed, K. Dry matter yield and nutritive quality of alfalfa (Medicago sativa L.) cultivars grown in sub-humid areas in Ethiopia. Cogent Food Agric. 2022, 8, 2154854. [Google Scholar] [CrossRef]
- Taaime, N.; El Mejahed, K.; Choukr-Allah, R.; Bouabid, R.; Oukarroum, A.; El Gharous, M. Optimization of macronutrients for improved grain yield of quinoa (Chenopodium quinoa Wild.) crop under semi-arid conditions of Morocco. Front. Plant Sci. 2023, 14, 1146658. [Google Scholar] [CrossRef]
- Gómez, M.B.; Curti, R.N.; Bertero, H.D. Seed weight determination in quinoa (Chenopodium quinoa Willd.). J. Agron. Crop Sci. 2022, 208, 243–254. [Google Scholar] [CrossRef]
- Rauf, S.; Sadaqat, H.A. Effect of organic amendments on the microbial populations of the rhizosphere of quinoa cultivation (Chenopodium quinoa Willd.) in the South Altiplano of Bolivia. J. Selva Andin. Biosph. 2019, 7, 32–43. [Google Scholar]
- Wu, Q.; Bai, X.; Zhao, W.; Shi, X.; Xiang, D.; Wan, Y.; Wu, X.; Sun, Y.; Zhao, J.; Peng, L.; et al. Investigation into the underlying regulatory mechanisms shaping inflorescence architecture in Chenopodium quinoa. BMC Genom. 2019, 20, 658. [Google Scholar] [CrossRef] [PubMed]
- Almeida, D.M.; Oliveira, M.M.; Saibo, N.J. Regulation of Na+ and K+ homeostasis in plants: Towards improved salt stress tolerance in crop plants. Genet. Mol. Biol. 2017, 40, 326–345. [Google Scholar] [CrossRef] [PubMed]
- Awad, W.; Byrne, P.F.; Reid, S.D.; Comas, L.H.; Haley, S.D. Great plains winter wheat varies for root length and diameter under drought stress. Agron. J. 2018, 110, 226–235. [Google Scholar] [CrossRef]
- Fu, Y.; Li, P.; Mounkaila Hamani, A.K.; Wan, S.; Gao, Y.; Wang, X. Effects of Single and Combined Drought and Salinity Stress on the Root Morphological Characteristics and Root Hydraulic Conductivity of Different Winter Wheat Varieties. Plants 2023, 12, 2694. [Google Scholar] [CrossRef] [PubMed]
- Sarropoulou, V.; Dimassi-Theriou, K.; Therios, I.; Koukourikou-Petridou, M. Melatonin enhances root regeneration, photosynthetic pigments, biomass, total carbohydrates and proline content in the cherry rootstock PHL-C (Prunus avium × Prunus cerasus). Plant Physiol. Biochem. 2012, 61, 162–168. [Google Scholar] [CrossRef] [PubMed]
- Liu, L.H.; Wang, W.W.; He, H.A.; Nie, N.L. Correlation of Leaf and Root Senescence During Ripening in Dry Seeded and Transplanted Rice. Rice Sci. 2018, 25, 279–285. [Google Scholar]
- Ye, J.; Yang, W.; Li, Y.; Wang, S.; Yin, L.; Deng, X. Seed Pre-Soaking with Melatonin Improves Wheat Yield by Delaying Leaf Senescence and Promoting Root Development. Agronomy 2020, 10, 84. [Google Scholar] [CrossRef]
- Ma, S.C.; Duan, A.W.; Ma, S.T.; Yang, S.J. Effect of Early-Stage Regulated Deficit Irrigation on Stem Lodging Resistance, Leaf Photosynthesis, Root Respiration and Yield Stability of Winter Wheat under Post-Anthesis Water Stress Conditions. Irrig. Drain. 2016, 65, 673–681. [Google Scholar] [CrossRef]
- Jobson, M.E.; Johnston, E.R.; Oiestad, J.A.; Martin, J.M.; Giroux, M.J. The Impact of the Wheat Rht-B1b Semi-Dwarfing Allele on Photosynthesis and Seed Development Under Field Conditions. Front. Plant Sci. 2019, 10, 388208. [Google Scholar] [CrossRef]
- Jahan, E.; Sharwood, R.E.; Tissue, D.T. Effects of leaf age during drought and recovery on photosynthesis, mesophyll conductance and leaf anatomy in wheat leaves. Front. Plant Sci. 2023, 14, 1091418. [Google Scholar] [CrossRef]
- Kretzler, B.; Rodrigues Gabriel Sales, C.; Karady, M.; Carmo-Silva, E.; Dodd, I.C. Maintenance of Photosynthesis as Leaves Age Improves Whole Plant Water Use Efficiency in an Australian Wheat Cultivar. Agronomy 2020, 10, 1102. [Google Scholar] [CrossRef]
- Gao, Z.; Wang, Y.; Tian, G.; Zhao, Y.; Li, C.; Cao, Q.; Han, R.; Shi, Z.; He, M. Plant height and its relationship with yield in wheat under different irrigation regime. Irrig. Sci. 2020, 38, 365–371. [Google Scholar] [CrossRef]
- Muhammad, A.; Hao, H.; Xue, Y.; Alam, A.; Bai, S.; Hu, W.; Sajid, M.; Hu, Z.; Samad, R.A.; Li, Z.; et al. Survey of wheat straw stem characteristics for enhanced resistance to lodging. Cellulose 2020, 27, 2469–2484. [Google Scholar] [CrossRef]
- Wang, D.; Ding, W.H.; Feng, S.W.; Hu, T.Z.; Li, G.; Li, X.H.; Yang, Y.Y.; Ru, Z.G. Stem characteristics of different wheat cultivars and their relationship with lodging resistance. Chin. J. Appl. Ecol. 2016, 27, 1496–1502. [Google Scholar] [CrossRef]





| Sr. No. | Variety No. | Apical Leaf Color | Spike Color | Sr. No. | Variety No. | Apical Leaf Color | Spike Color |
|---|---|---|---|---|---|---|---|
| 1 | JQ-00955 | Green | Green | 17 | JQ-00685 | White | Green |
| 2 | JQ-00987 | Green | White | 18 | JQ-02259 | Green | White |
| 3 | JQ-00679 | Green | Green | 19 | JQ-00783 | Green | Green |
| 4 | JQ-00764 | Green | Indipink | 20 | JQ-00080 | White | Green |
| 5 | JQ-01347 | Green | Green | 21 | JQ-02267 | Lilac | Purple |
| 6 | JQ-02284 | Green | White | 22 | JQ-02275 | White | Green |
| 7 | JQ-01525 | Purple | Purple | 23 | JQ-00984 | Purple | Lilac |
| 8 | JQ-01778 | Green | Green | 24 | JQ-00174 | White | Green |
| 9 | JQ-00920 | Lilac | Purple | 25 | JQ-02319 | Green | Green |
| 10 | JQ-01141 | White | White | 26 | JQ-00623 | Lilac | Purple |
| 11 | JQ-00988 | Green | Green | 27 | JQ-02307 | Lilac | Purple |
| 12 | JQ-01961 | Green | Green | 28 | JQ-00317 | White | Indipink |
| 13 | JQ-00952 | Green | Green | 29 | JQ-00573 | White | Green |
| 14 | JQ-02342 | White | Indipink | 30 | JQ-00294 | Pink | Pink |
| 15 | JQ-00740 | Green | Green | 31 | JQ-00425 | Green | Green |
| 16 | JQ-00927 | Green | Green | 32 | JQ-01238 | Green | Indipink |
| April | May | June | July | August | September | |
|---|---|---|---|---|---|---|
| Precipitation (mm) | 10.8 | 13.9 | 75.6 | 79.8 | 92.0 | 58.7 |
| Average temperature (°C) | 12.78 | 18.80 | 23.27 | 24.16 | 23.33 | 21.21 |
| Assignment | Standard |
|---|---|
| 1 | Most dispersive |
| 2 | More dispersive |
| 3 | Dispersive |
| 4 | Tight |
| 5 | Tighter |
| 6 | Tightest |
| Type | Seeding Stage | Branch Stage | Ear stage | Flowering Stage | Maturity Stage | |||||
|---|---|---|---|---|---|---|---|---|---|---|
| Average | CV | Average | CV | Average | CV | Average | CV | Average | CV | |
| LY | 35.36 a | 5.55% | 72.11 b | 8.43% | 144.57 a | 18.26% | 454.98 a | 16.16% | 128.42 b | 16.19% |
| MY | 38.19 a | 7.62% | 85.41 a | 6.31% | 133.05 b | 17.05% | 434.81 ab | 16.69% | 156.53 ab | 12.08% |
| HY | 37.11 a | 4.31% | 82.75 a | 9.47% | 143.58 a | 13.66% | 410.70 b | 11.12% | 181.80 a | 11.03% |
| Type | Seeding Stage | Branching Stage | Ear Stage | Flowering Stage | Maturity Stage | |||||
|---|---|---|---|---|---|---|---|---|---|---|
| Average | CV | Average | CV | Average | CV | Average | CV | Average | CV | |
| LY | 64.50 a | 3.06% | 632.50 a | 10.49% | 2088.00 c | 22.19% | 5647.50 c | 28.95% | 9736.50 c | 15.73% |
| MY | 55.50 b | 4.92% | 477.00 c | 15.61% | 2194.50 b | 16.37% | 7489.50 b | 17.03% | 15388.50 b | 16.83% |
| HY | 54.00 b | 3.11% | 545.50 b | 10.30% | 2512.50 a | 11.41% | 9736.50 a | 12.52% | 18247.50 a | 10.61% |
| Type | Stem Thickness (mm) | Stem Base Hardness (Kpa) | Mid-Stem Hardness (Kpa) | Stress Value of Stem Section (N) | ||||
|---|---|---|---|---|---|---|---|---|
| Average | CV | Average | CV | Average | CV | Average | CV | |
| LY | 9.65 a | 19.75% | 346.22 b | 16.79% | 268.63 b | 12.11% | 9.17 c | 19.14% |
| MY | 10.13 a | 7.48% | 339.71 b | 35.68% | 284.34 b | 6.66% | 10.82 b | 9.05% |
| HY | 10.72 a | 12.60% | 393.59 a | 12.73% | 303.35 a | 5.96% | 11.52 a | 4.17% |
| Type | Main Stem Ear Length (cm) | Main Stem Ear Width (cm) | Panicle Compactness | |||
|---|---|---|---|---|---|---|
| Average | CV | Average | CV | Average | CV | |
| LY | 34.28 c | 18.14% | 16.47 a | 15.34% | 3.17 c | 5.25% |
| MY | 37.08 b | 13.33% | 13.07 b | 10.58% | 4.25 b | 4.01% |
| HY | 43.04 a | 11.91% | 11.91 c | 5.62% | 5.10 a | 2.85% |
| Type | Effective Branching Number | Thousand Seed Weight (g) | Yield (kg ha–1) | Harvest Index (%) | |||
|---|---|---|---|---|---|---|---|
| Average | CV | Average | CV | Average | CV | ||
| LY | 37.05 a | 6.42% | 1.90 c | 17.35% | 932.56 c | 30.85% | 8.77 c |
| MY | 30.69 b | 2.73% | 2.49 b | 2.49% | 1853.78 b | 6.94% | 10.93 b |
| HY | 26.88 c | 5.93% | 2.96 a | 8.32% | 2781.61 a | 12.17% | 13.15 a |
Disclaimer/Publisher’s Note: The statements, opinions and data contained in all publications are solely those of the individual author(s) and contributor(s) and not of MDPI and/or the editor(s). MDPI and/or the editor(s) disclaim responsibility for any injury to people or property resulting from any ideas, methods, instructions or products referred to in the content. |
© 2024 by the authors. Licensee MDPI, Basel, Switzerland. This article is an open access article distributed under the terms and conditions of the Creative Commons Attribution (CC BY) license (https://creativecommons.org/licenses/by/4.0/).
Share and Cite
Tang, P.; Ren, A.; Jiang, Z.; Wang, R.; Cui, K.; Wu, X.; Sun, M.; Gao, Z.; Anwar, S. Evaluation of Quinoa Varieties for Adaptability and Yield Potential in Low Altitudes and Correlation with Agronomic Traits. Agronomy 2024, 14, 852. https://doi.org/10.3390/agronomy14040852
Tang P, Ren A, Jiang Z, Wang R, Cui K, Wu X, Sun M, Gao Z, Anwar S. Evaluation of Quinoa Varieties for Adaptability and Yield Potential in Low Altitudes and Correlation with Agronomic Traits. Agronomy. 2024; 14(4):852. https://doi.org/10.3390/agronomy14040852
Chicago/Turabian StyleTang, Peng, Aixia Ren, Zhijun Jiang, Rongzhen Wang, Kaiyuan Cui, Xiangyun Wu, Min Sun, Zhiqiang Gao, and Sumera Anwar. 2024. "Evaluation of Quinoa Varieties for Adaptability and Yield Potential in Low Altitudes and Correlation with Agronomic Traits" Agronomy 14, no. 4: 852. https://doi.org/10.3390/agronomy14040852
APA StyleTang, P., Ren, A., Jiang, Z., Wang, R., Cui, K., Wu, X., Sun, M., Gao, Z., & Anwar, S. (2024). Evaluation of Quinoa Varieties for Adaptability and Yield Potential in Low Altitudes and Correlation with Agronomic Traits. Agronomy, 14(4), 852. https://doi.org/10.3390/agronomy14040852

