Innovative Fertiliser Based on Urea and Ammonium Nitrate Solution with Potassium Thiosulphate as a Crucial Factor in Shaping Plant Yield and Its Parameters
Abstract
1. Introduction
2. Materials and Methods
2.1. Methodological Assumptions
2.2. Laboratory and Statistical Analysis Methods
3. Results
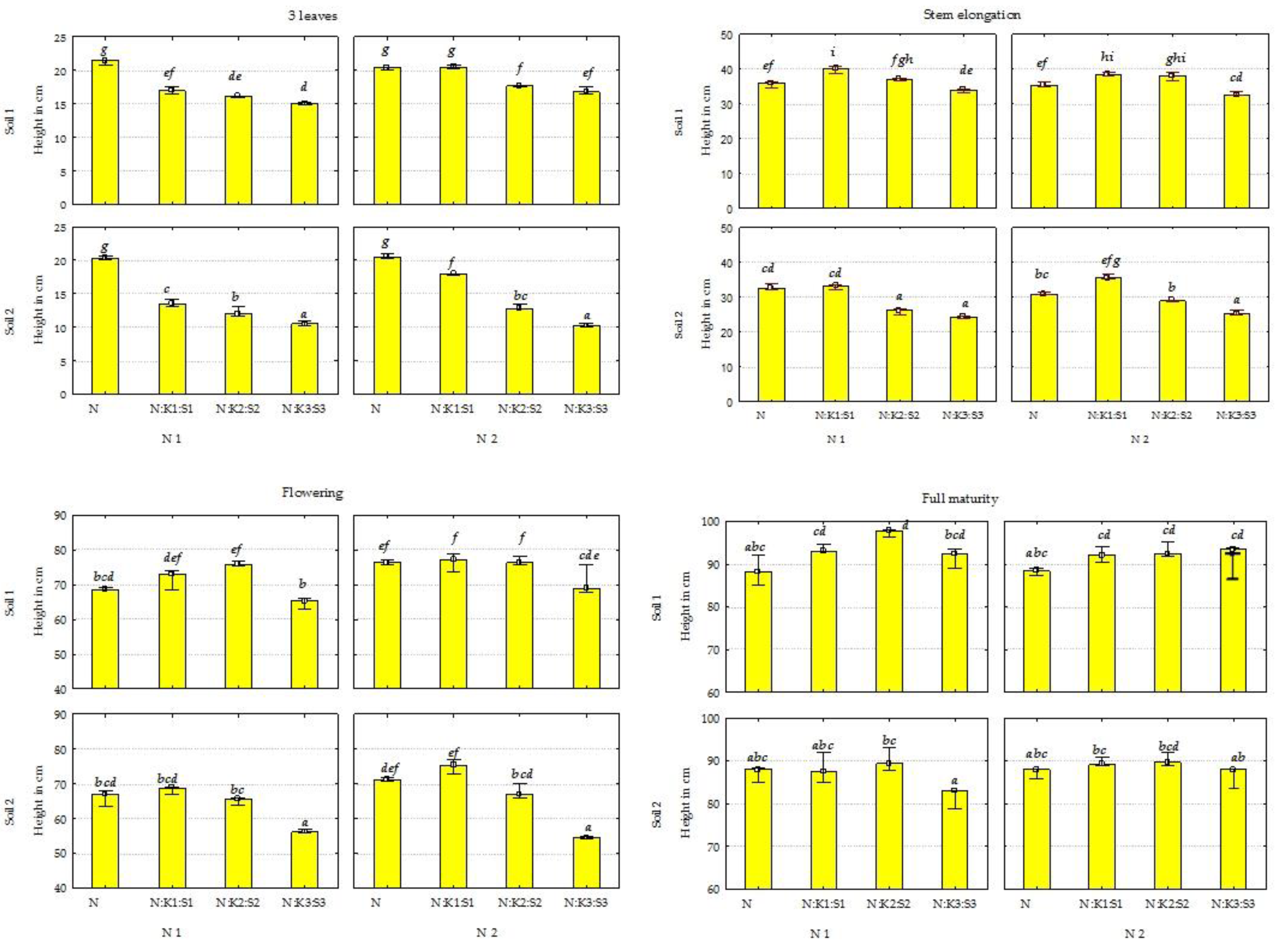
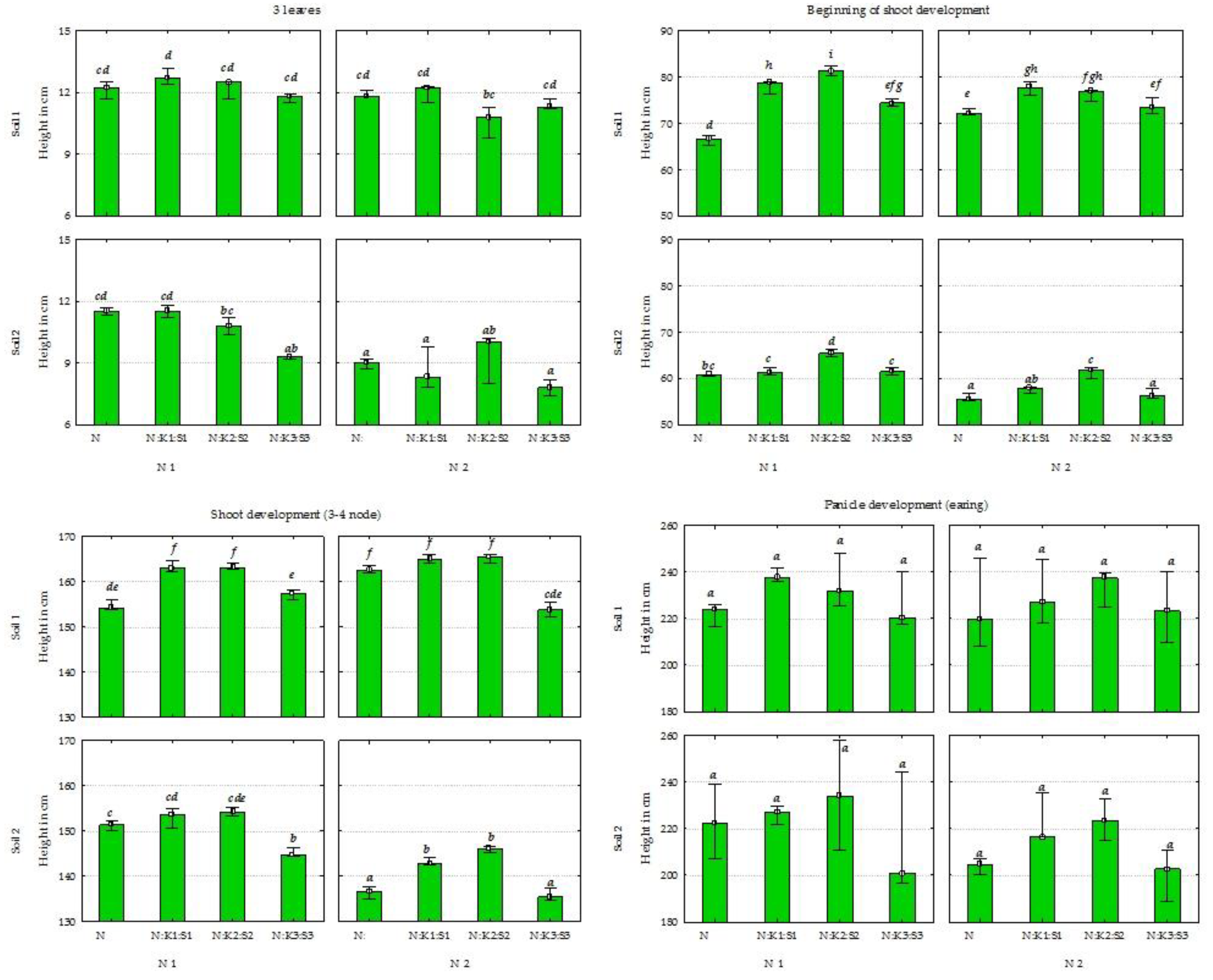
3.1. Plant Height
3.1.1. Spring Wheat
3.1.2. Spring Rape
3.1.3. Maize
3.2. Crop Yield
3.2.1. Spring Wheat Yield
3.2.2. Spring Rape Yield
3.2.3. Maize Yield
3.3. The Weight of 1000 Grains (Seeds) of the Crops
3.3.1. Spring Wheat
3.3.2. Spring Rape
3.4. PCA Analysis and the Percentage of Variability Observed
3.4.1. Spring Wheat
3.4.2. Spring Rape
3.4.3. Maize
4. Discussion
5. Conclusions
Author Contributions
Funding
Institutional Review Board Statement
Data Availability Statement
Acknowledgements
Conflicts of Interest
References
- Fageria, N.K.; Moreira, A. The role of mineral nutrition on root growth of crop plants. Adv. Agron. 2011, 110, 251–331. [Google Scholar] [CrossRef]
- Wyszkowski, M.; Brodowska, M.S. Phytoextraction with maize of soil contaminated with copper after application of mineral and organic amendments. Agronomy 2020, 10, 1597. [Google Scholar] [CrossRef]
- Wyszkowski, M.; Wyszkowska, J.; Borowik, A.; Kordala, N. Sewage sludge as a tool in limiting the content of trace elements in Avena sativa L. on the soil polluted with diesel oil. Materials 2021, 14, 4003. [Google Scholar] [CrossRef] [PubMed]
- Kurzemann, F.R.; Plieger, U.; Probst, M.; Spiegel, H.; Sandén, T.; Ros, M.; Insam, H. Long-term fertilization affects soil microbiota, improves yield and benefits soil. Agronomy 2020, 10, 1664. [Google Scholar] [CrossRef]
- Brodowska, M.S.; Wyszkowski, M.; Kordala, N. Use of organic materials to limit the potential negative effect of nitrogen on maize in different soils. Materials 2022, 15, 5755. [Google Scholar] [CrossRef] [PubMed]
- Lehtinen, T.; Dersch, G.; Söllinger, J.; Baumgarten, A.; Schlatter, N.; Aichberger, K.; Spiegel, H. Long-term amendment of four different compost types on a loamy silt Cambisol: Impact on soil organic matter, nutrients and yields. Arch. Agron. Soil Sci. 2017, 63, 663–673. [Google Scholar] [CrossRef]
- Geisseler, D.; Scow, K.M. Long-term effects of mineral fertilizers on soil microorganisms—A review. Soil Biol. Biochem. 2014, 75, 54–63. [Google Scholar] [CrossRef]
- Głąb, T.; Gondek, K. The influence of soil compaction and N fertilization on physico-chemical properties of Mollic Fluvisol soil under red clover/grass mixture. Geoderma 2014, 226–227, 204–212. [Google Scholar] [CrossRef]
- Kosiorek, M.; Wyszkowski, M. Remediation of cobalt-contaminated soil using manure, clay, charcoal, zeolite, calcium oxide, main crop (Hordeum vulgare L.), and after-crop (Synapis alba L.). Minerals 2020, 10, 429. [Google Scholar] [CrossRef]
- Kosiorek, M.; Wyszkowski, M. Macroelement content in plants after amendment application to cobalt-contaminated soil. J. Soils Sediments 2021, 21, 1769–1784. [Google Scholar] [CrossRef]
- Wang, X.; Xing, Y. Effects of mulching and nitrogen on soil nitrate-N distribution, leaching and nitrogen use efficiency of maize (Zea mays L.). PLoS ONE 2016, 11, e0161612. [Google Scholar] [CrossRef] [PubMed]
- Fernandez, J.A.; DeBruin, J.; Messina, C.D.; Ciampitti, I.A. Late-season nitrogen fertilization on maize yield: A meta-analysis. Field Crops Res. 2020, 247, 107586. [Google Scholar] [CrossRef]
- Nikolajsen, M.T.; Pacholski, A.S.; Sommer, S.G. Urea ammonium nitrate solution treated with inhibitor technology: Effects on ammonia emission reduction, wheat yield, and inorganic N in soil. Agronomy 2020, 10, 161. [Google Scholar] [CrossRef]
- Wyszkowski, M.; Kordala, N.; Brodowska, M. Role of humic acids-based fertilisers and nitrogen fertilisers in the regulation of the macroelement content in maize biomass. J. Elem. 2023, 28, 1289–1309. [Google Scholar] [CrossRef]
- Gagnon, B.; Ziadi, N.; Grant, C. Urea fertilizer forms affect grain corn yield and nitrogen use efficiency. Can. J. Soil Sci. 2012, 92, 341–351. [Google Scholar] [CrossRef]
- Wang, L.; Xue, C.; Pan, X.; Chen, F.; Liu, Y. Application of controlled-release urea enhances grain yield and nitrogen use efficiency in irrigated rice in the Yangtze River Basin, China. Front. Plant Sci. 2018, 9, 999. [Google Scholar] [CrossRef] [PubMed]
- Liu, S.; Wang, X.; Yin, X.; Savoy, H.J.; McClure, A.; Essington, M.E. Ammonia volatilization loss and corn nitrogen nutrition and productivity with efficiency enhanced UAN and urea under no-tillage. Sci. Rep. 2019, 9, 6610. [Google Scholar] [CrossRef] [PubMed]
- Li, H.; Mei, X.; Nangia, V.; Guo, R.; Liu, Y.; Hao, W.; Wang, J. Effects of different nitrogen fertilizers on the yield, water- and nitrogen-use efficiencies of drip-fertigated wheat and maize in the North China Plain. Agricult. Water Manag. 2021, 243, 106474. [Google Scholar] [CrossRef]
- Fageria, N.K.; Moreira, A. Yield and yield components of upland rice as influenced by nitrogen sources. J. Plant Nutr. 2011, 34, 361–370. [Google Scholar] [CrossRef]
- Ariraman, R.; Kumar, A.P.; Selvakumar, S.; Sowmya, S.; Mansingh, M.D.I. Effect of sulphur nutrition on growth parameters, yield parameters, yield, nutrient uptake, quality and economics of maize: A review. J. Pharmacogn. Phytochem. 2020, 9, 1632–1636. [Google Scholar] [CrossRef]
- Jahnson, R.; Vishwakarma, K.; Hossen, M.D.S.; Kumar, V.; Shackira, A.M.; Puthur, J.T.; Abdi, G.; Sarraf, M.; Hasanuzzaman, M. Potassium in plants: Growth regulation, signaling, and environmental stress tolerance. Plant Physiol. Biochem. 2022, 172, 56–69. [Google Scholar] [CrossRef] [PubMed]
- Khan, S.A.; Mulvaney, R.L.; Ellsworth, T.R. The potassium paradox: Implications for soil fertility, crop production and human health. Renew. Agric. Food Syst. 2014, 29, 3–27. [Google Scholar] [CrossRef]
- Wang, M.; Zheng, Q.; Shen, Q.; Guo, S. The critical role of potassium in plant stress response. Int. J. Mol. Sci. 2013, 14, 7370. [Google Scholar] [CrossRef] [PubMed]
- Hřivna, L.; Kotková, B.; Burešová, I. Effect of sulphur fertilization on yield and quality of wheat grain. Cereal Res. Commun. 2024, 43, 344–352. [Google Scholar] [CrossRef]
- Shah, S.H.; Islam, S.; Mohammad, F. Sulphur as a dynamic mineral element for plants: A review. J. Soil Sci. Plant Nutr. 2022, 22, 2118–2143. [Google Scholar] [CrossRef]
- Skwierawska, M.; Benedycka, Z.; Jankowski, K.; Skwierawski, A. Sulphur as a fertiliser component determining crop yield and quality. J. Elem. 2016, 2016. 21, 609–623. [Google Scholar] [CrossRef]
- Assefa, M.; Johnson, S.; Nyambilila, A.; Tekalign, M. Wheat response to applied nitrogen, sulfur, and phosphorous in three representative areas of the central highlands of Ethiopia. Int. J. Plant Soil Sci. 2015, 8, 1–11. [Google Scholar]
- Spring Wheat cv. Harenda. Top Farms Agro Sp. z o.o. Available online: https://www.topfarms-nasiona.pl/produkty/seeds/spring-wheat/harenda-2 (accessed on 6 April 2024).
- Spring Rape cv. Lumen. Rapool-Ring GmbH. Available online: https://www.rapool.pl/varieties/235_LUMEN_F1 (accessed on 6 April 2024).
- Maize cv. Kadryl. MHR Poland. Available online: https://sklep.mhr.com.pl/strona-glowna/349-nasiona-kukurydzy-pastewnej-kadryl.html (accessed on 6 April 2024).
- PN-R-04032; Soil and Mineral Materials—Sampling and Determination of Particle Size Distribution. Polish Committee for Standardization: Warszawa, Poland, 1998.
- ISO 10390; Soil Quality—Determination of Ph. International Organization for Standardization: Geneva, Switzerland, 2005.
- ISO 11261; Soil quality—Determination of Total Nitrogen—Modified Kjeldahl Method. International Organization for Standardization: Geneva, Switzerland, 1995.
- PN-R-04023; Chemical and Agricultural Analysis—Determination of the Content of Available Phosphorus in Mineral Soils. Polish Standards Committee: Warszawa, Poland, 1996.
- PN-R-04022; Chemical and agricultural analysis—Determination of the Content Available Potassium in Mineral Soils. Polish Standards Committee: Warszawa, Poland, 1996.
- Boratyński, K.; Grom, A.; Ziętecka, M. Research on the content of sulphur in soil. Part I. Methodological investigations on sulphate sulphur determinations. Rocz. Gleboz. 1975, 26, 121–139. [Google Scholar]
- TIBCO Software Inc. Statistica (Data Analysis Software System). Version 13. 2017. Available online: https://www.tibco.com/ (accessed on 28 December 2023).
- Lestingi, A.; Bovera, F.; De Giorgio, D.; Ventrella, D.; Tateo, A. Effects of tillage and nitrogen fertilisation on triticale grain yield, chemical composition and nutritive value. J. Sci. Food Agric. 2010, 90, 2440–2446. [Google Scholar] [CrossRef]
- Li, J.; Hu, W.; Lu, Z.; Meng, F.; Cong, R.; Li, X.; Ren, T.; Lu, J. Imbalance between nitrogen and potassium fertilization influences potassium deficiency symptoms in winter oilseed rape (Brassica napus L.) leaves. Crop J. 2021, 10, 565–567. [Google Scholar] [CrossRef]
- Gebreslassie, H.B. Effect of potassium fertilizer on crop production. J. Nat. Sci. Res. 2016, 6, 81–86. Available online: https://core.ac.uk/download/pdf/234656325.pdf (accessed on 26 February 2024).
- Dawson, A.E.; Bedford, A.J.; Hamilton, R.T.; Shand, M.J. The effect of potassium fertilisation and timing on potassium uptake, grain yield and grain quality in a spring sown wheat crop. Agron. N. Z. 2018, 48, 372–389. Available online: https://www.agronomysociety.org.nz/files/ASNZ_2018_02._K_fertilisation_on_spring_wheat.pdf (accessed on 29 September 2021).
- Prajapati, K.; Modi, H.A. The importance of potassium in plant growth—A review. Indian J. Plant Sci. 2012, 1, 177–186. [Google Scholar]
- Yawson, D.O.; Kwakye, P.K.; Armah, F.A.; Frimpong, K.A. The dynamics of potassium (K) inrepresentative soil series of Ghana. ARPN Agric. Biol. Sci. 2011, 6, 48–55. Available online: http://www.arpnjournals.com/jabs/research_papers/rp_2011/jabs_0111_233.pdf (accessed on 26 February 2024).
- Zečevic, V.; Knezevic, D.; Boskovic, J.; Milenkovic, S. Effect of nitrogen and ecological factors on quality of winter triticale cultivars. Genetika 2010, 42, 465–474. [Google Scholar] [CrossRef]
- Geesing, D.; Diacono, M.; Schmidhalter, U. Site-specific effects of variable water supply and nitrogen fertilisation on winter wheat. J. Plant Nutr. Soil Sci. 2014, 177, 509–523. [Google Scholar] [CrossRef]
- Bielski, S. Yields of winter triticale under the influence of nitrogen fertilisation and fungicide application. Pol. J. Natur. Sc. 2015, 30, 337–348. [Google Scholar]
- Ferrise, R.; Triossi, A.; Stratonovitch, P.; Bindi, M.; Martre, P. Sowing date and nitrogen fertilisation effects on dry matter and nitrogen dynamics for durum wheat: An experimental and simulation study. Field Crops Res. 2010, 117, 245–257. [Google Scholar] [CrossRef]
- Samborski, S.; Gozdowski, D.; Rozbicki, J. Effect of nitrogen fertilisation on grain quality of traditional and short straw winter triticale varieties. Fragm. Agron. 2008, 25, 372–389. [Google Scholar]
- Alderfasi, A.A.; Refay, Y.A. Integrated use of potassium fertilizer and water schedules on growth and yield of two wheat genotypes under arid environment in Saudi Arabia 1—Effect on growth characters. Am. Eurasian J. Agric. Environ. Sci. 2010, 9, 239–247. Available online: http://www.idosi.org/aejaes/jaes9(3)/3.pdf (accessed on 29 September 2021).
- Aown, M.; Raza, S.; Saleem, M.F.; Anjum, S.A.; Khaliq, T.; Wahid, M.A. Foliar application of potassium under water deficit conditions improved the growth and yield of wheat (Triticum aestivum L.). J. Anim. Plant Sci. 2012, 22, 431–437. Available online: http://www.thejaps.org.pk/docs/v-22-2/32.pdf (accessed on 29 September 2021).
- Niu, J.; Zhang, W.; Chen, X.; Li, C.; Zhang, F.; Jiang, L.; Liu, Z.; Xiao, K.; Assaraf, M.; Imas, P. Potassium fertilization on maize under different production practices in the North China plain. Agron. J. 2011, 103, 822–829. [Google Scholar] [CrossRef]
- Zhang, H.M.; Yang, X.Y.; He, X.H.; Xu, M.G.; Huang, S.M.; Liu, H.; Wang, B.R. Effect of long-term potassium fertilization on crop yield and potassium efficiency and balance under wheat-maize rotation in China. Pedosphere 2011, 21, 154–163. [Google Scholar] [CrossRef]
- Lai, C.H.; Settinayake, A.R.H.; Yeo, W.S.; Lau, S.W.; Jang, T.K. Crop nutrients review and the impact of fertilizer of the plantation in Malaysia: A mini-review. Comm. Soil Sci. Plant Anal. 2019, 50, 2089–2105. [Google Scholar] [CrossRef]
- Coskun, D.; Britto, D.T.; Kronzucker, H.J. The nitrogen–potassium intersection: Membranes, metabolism, and mechanism. Plant Cell Environ. 2016, 10, 2029–2041. [Google Scholar] [CrossRef] [PubMed]
- Mirsoleimani, A.; Najafi-Ghiri, M.; Heydari, H.; Farokhzadeh, S. Effect of nitrogen, phosphorus and potassium deficiencies on some morphological and physiological properties and nutrient uptake by two almond rootstocks. Folia Hortic. 2021, 33, 235–247. [Google Scholar] [CrossRef]
- Yang, D.; Zhao, J.; Bi, C.; Li, L.; Wang, Z. Transcriptome and proteomics analysis of wheat seedling roots reveals that increasing NH4+/NO3– ratio induced root lignification and reduced nitrogen utilization. Front. Plant Sci. 2022, 12, 797260. [Google Scholar] [CrossRef]
- Hao, D.-L.; Zhou, J.-Y.; Li, L.; Qu, J.; Li, X.-H.; Chen, R.-R.; Kong, W.-Y.; Li, D.-D.; Li, J.-J.; Guo, H.-L.; et al. An appropriate ammonium: Nitrate ratio promotes the growth of centipedegrass: Insight from physiological and micromorphological analyses. Front. Plant Sci. 2023, 14, 1324820. [Google Scholar] [CrossRef]










| Parameter | Soil 1 | Soil 2 |
|---|---|---|
| Granulometric composition | Sand | Loamy sand |
| Sand > 0.05 mm (%) | 91.9 | 77.6 |
| Silt 0.002–0.05 mm (%) | 7.4 | 19.9 |
| Clay < 0.002 mm (%) | 0.7 | 2.5 |
| pH value in 1 M KCl dm−3 | 6.17 | 5.73 |
| Total nitrogen (g kg−1 DM) | 0.672 | 1.120 |
| Available phosphorus (mg P kg−1 DM) | 14.83 | 22.16 |
| Available potassium (mg K kg−1 DM) | 102.0 | 145.0 |
| Sulphur (mg S-SO4 kg−1 DM) | 18.97 | 15.92 |
| N:K:S | N:K:S Ratio | Series with N 1 Dose | Series with N 2 Dose | ||||||
|---|---|---|---|---|---|---|---|---|---|
| N | P2O5 | K2O | S | N | P2O5 | K2O | S | ||
| Spring wheat (Triticum aestivum L.) | |||||||||
| N | 1:0:0 | 140 | 60 | 0 | 0 | 105 | 60 | 0 | 0 |
| N:K1:S1 | 1:0.5:0.3 | 140 | 60 | 70 | 42 | 105 | 60 | 53 | 31.5 |
| N:K2:S2 | 1:0.7:0.5 | 140 | 60 | 98 | 70 | 105 | 60 | 74 | 52.5 |
| N:K3:S3 | 1:0.9:0.6 | 140 | 60 | 126 | 84 | 105 | 60 | 95 | 63 |
| Spring rape (Brassica napus L. var. napus) | |||||||||
| N | 1:0:0 | 160 | 80 | 0 | 0 | 120 | 80 | 0 | 0 |
| N:K1:S1 | 1:0.5:0.3 | 160 | 80 | 80 | 54 | 120 | 80 | 60 | 36 |
| N:K2:S2 | 1:0.7:0.5 | 160 | 80 | 112 | 80 | 120 | 80 | 84 | 60 |
| N:K3:S3 | 1:0.9:0.6 | 160 | 80 | 144 | 108 | 120 | 80 | 108 | 72 |
| Maize (Zea mays L.) | |||||||||
| N:K:S | 1:0:0 | 160 | 80 | 0 | 0 | 120 | 80 | 0 | 0 |
| N:K1:S1 | 1:0.8:0.5 | 160 | 80 | 128 | 80 | 120 | 80 | 96 | 60 |
| N:K2:S2 | 1:1.1:0.7 | 160 | 80 | 176 | 112 | 120 | 80 | 132 | 84 |
| N:K3:S3 | 1:1.4:1 | 160 | 80 | 224 | 160 | 120 | 80 | 168 | 120 |
| N:K:S (C) | Soil Kind (A) | Nitrogen Dose (B) | |||||||
|---|---|---|---|---|---|---|---|---|---|
| Soil 1 | Soil 2 | ||||||||
| Nitrogen Dose (B) | |||||||||
| N 1 | N 2 | Average | N 1 | N 2 | Average | N 1 | N 2 | Average | |
| Spring wheat grain fresh matter (FM) yield | |||||||||
| N | 43.33 | 39.30 | 41.32 | 38.35 | 36.54 | 37.45 | 40.84 | 37.92 | 39.38 |
| N:K1:S1 | 51.03 | 41.43 | 46.23 | 43.82 | 40.71 | 42.27 | 47.43 | 41.07 | 44.25 |
| N:K2:S2 | 54.64 | 44.81 | 49.73 | 47.46 | 44.56 | 46.01 | 51.05 | 44.69 | 47.87 |
| N:K3:S3 | 55.54 | 39.85 | 47.70 | 42.79 | 34.75 | 38.77 | 49.17 | 37.30 | 43.23 |
| Average | 51.14 | 41.35 | 46.24 | 43.11 | 39.14 | 41.12 | 47.12 | 40.24 | 43.68 |
| LSD0.01 | A—3.44, B—3.44, C—4.87, A × B—n.s., A × C—n.s., B × C—n.s., A × B × C—n.s. | ||||||||
| Spring wheat grain dry matter (DM)yield | |||||||||
| N | 39.56 | 35.85 | 37.71 | 35.02 | 33.36 | 34.19 | 37.29 | 34.61 | 35.95 |
| N:K1:S1 | 45.80 | 37.74 | 41.77 | 40.32 | 37.14 | 38.73 | 43.06 | 37.44 | 40.25 |
| N:K2:S2 | 46.52 | 40.74 | 43.63 | 43.41 | 40.34 | 41.88 | 44.97 | 40.54 | 42.75 |
| N:K3:S3 | 46.84 | 36.10 | 41.47 | 39.09 | 30.12 | 34.61 | 42.97 | 33.11 | 38.04 |
| Average | 44.68 | 37.61 | 41.14 | 39.46 | 35.24 | 37.35 | 42.07 | 36.42 | 39.25 |
| LSD0.01 | A—2.98, B—2.98, C—4.21, A × B—n.s., A × C—n.s., B × C—n.s., A × B × C—n.s. | ||||||||
| Spring wheat straw fresh matter (FM) yield | |||||||||
| N | 74.83 | 55.25 | 65.04 | 52.36 | 45.61 | 48.99 | 63.60 | 50.43 | 57.01 |
| N:K1:S1 | 79.94 | 66.31 | 73.13 | 56.55 | 51.06 | 53.81 | 68.25 | 58.69 | 63.47 |
| N:K2:S2 | 88.85 | 66.44 | 77.65 | 60.72 | 53.45 | 57.09 | 74.79 | 59.95 | 67.37 |
| N:K3:S3 | 81.74 | 59.21 | 70.48 | 50.61 | 49.22 | 49.92 | 66.18 | 54.22 | 60.20 |
| Average | 81.34 | 61.80 | 71.57 | 55.06 | 49.84 | 52.45 | 68.20 | 55.82 | 62.01 |
| LSD0.01 | A—2.15, B—2.15, C—3.04, A × B—3.04, A × C—n.s., B × C—n.s., A × B × C—n.s. | ||||||||
| Spring wheat straw dry matter (DM) yield | |||||||||
| N | 58.53 | 45.45 | 51.99 | 42.15 | 36.66 | 39.41 | 50.34 | 41.06 | 45.70 |
| N:K1:S1 | 60.38 | 54.15 | 57.27 | 46.26 | 40.77 | 43.52 | 53.32 | 47.46 | 50.39 |
| N:K2:S2 | 66.49 | 53.20 | 59.85 | 48.63 | 42.23 | 45.43 | 57.56 | 47.72 | 52.64 |
| N:K3:S3 | 60.55 | 47.32 | 53.94 | 39.03 | 36.47 | 37.75 | 49.79 | 41.90 | 45.84 |
| Average | 61.49 | 50.03 | 55.76 | 44.02 | 39.03 | 41.53 | 52.75 | 44.53 | 48.64 |
| LSD0.01 | A—1.95, B—1.95, C—2.76, A × B—2.76, A × C—n.s., B × C—n.s., A × B × C—n.s. | ||||||||
| N:K:S (C) | Soil Kind (A) | Nitrogen Dose (B) | |||||||
|---|---|---|---|---|---|---|---|---|---|
| Soil 1 | Soil 2 | ||||||||
| Nitrogen Dose (B) | |||||||||
| N 1 | N 2 | Average | N 1 | N 2 | Average | N 1 | N 2 | Average | |
| Spring rape seed fresh matter yield | |||||||||
| N | 25.65 | 30.44 | 28.05 | 33.11 | 32.80 | 32.96 | 29.38 | 31.62 | 30.50 |
| N:K1:S1 | 45.04 | 34.29 | 39.67 | 40.37 | 33.08 | 36.73 | 42.71 | 33.69 | 38.20 |
| N:K2:S2 | 45.08 | 30.38 | 37.73 | 41.89 | 33.97 | 37.93 | 43.49 | 32.18 | 37.83 |
| N:K3:S3 | 48.64 | 32.13 | 40.39 | 38.94 | 33.69 | 36.32 | 43.79 | 32.91 | 38.35 |
| Average | 41.10 | 31.81 | 36.46 | 38.58 | 33.39 | 35.98 | 39.84 | 32.60 | 36.22 |
| LSD0.01 | A—n.s., B—4.15, C—5.87, A × B—n.s., A × C—n.s., B × C—n.s., A × B × C—n.s. | ||||||||
| Spring rape seed dry matter yield | |||||||||
| N | 15.72 | 18.83 | 17.28 | 20.56 | 21.44 | 21.00 | 18.14 | 20.14 | 19.14 |
| N:K1:S1 | 28.75 | 23.65 | 26.20 | 24.84 | 22.31 | 23.58 | 26.80 | 22.98 | 24.89 |
| N:K2:S2 | 29.79 | 23.84 | 26.82 | 27.27 | 21.35 | 24.31 | 28.53 | 22.60 | 25.56 |
| N:K3:S3 | 29.43 | 20.85 | 25.14 | 25.61 | 21.04 | 23.33 | 27.52 | 20.95 | 24.23 |
| Average | 25.92 | 21.79 | 23.86 | 24.57 | 21.54 | 23.05 | 25.25 | 21.66 | 23.46 |
| LSD0.01 | A—n.s., B—2.41, C—3.41, A × B—n.s., A × C—n.s., B × C—4.83, A × B × C—n.s. | ||||||||
| Spring rape straw fresh matter yield | |||||||||
| N | 267.00 | 217.07 | 242.04 | 226.90 | 221.45 | 224.18 | 246.95 | 219.26 | 233.11 |
| N:K1:S1 | 272.84 | 220.52 | 246.68 | 232.07 | 226.90 | 229.49 | 252.46 | 223.71 | 238.08 |
| N:K2:S2 | 273.27 | 231.63 | 252.45 | 253.24 | 218.85 | 236.05 | 263.26 | 225.24 | 244.25 |
| N:K3:S3 | 270.96 | 214.55 | 242.76 | 251.41 | 214.23 | 232.82 | 261.19 | 214.39 | 237.79 |
| Average | 271.02 | 220.94 | 245.98 | 240.91 | 220.36 | 230.63 | 255.96 | 220.65 | 238.31 |
| LSD0.01 | A—7.22, B—7.22, C—10.22, A × B—n.s., A × C—n.s., B × C—14.45, A × B × C—n.s. | ||||||||
| Spring rape straw dry matter yield | |||||||||
| N | 105.60 | 80.98 | 93.29 | 88.44 | 82.05 | 85.25 | 97.02 | 81.52 | 89.27 |
| N:K1:S1 | 112.39 | 86.32 | 99.36 | 103.75 | 81.25 | 92.50 | 108.07 | 83.79 | 95.93 |
| N:K2:S2 | 106.36 | 93.26 | 99.81 | 103.01 | 77.76 | 90.39 | 104.69 | 85.51 | 95.10 |
| N:K3:S3 | 96.74 | 77.61 | 87.18 | 97.85 | 86.87 | 92.36 | 97.30 | 82.24 | 89.77 |
| Average | 105.27 | 84.54 | 94.91 | 98.26 | 81.98 | 90.12 | 101.77 | 83.26 | 92.52 |
| LSD0.01 | A—3.90, B—3.90, C—5.52, A × B—n.s., A × C—7.80, B × C—n.s., A × B × C—11.04 | ||||||||
| N:K:S (C) | Soil Kind (A) | Nitrogen Dose (B) | |||||||
|---|---|---|---|---|---|---|---|---|---|
| Soil 1 | Soil 2 | ||||||||
| Nitrogen Dose (B) | |||||||||
| N 1 | N 2 | Average | N 1 | N 2 | Average | N 1 | N 2 | Average | |
| Maize above-ground parts fresh matter yield | |||||||||
| N | 881.2 | 768.5 | 824.9 | 868.4 | 830.5 | 849.5 | 874.8 | 799.5 | 837.2 |
| N:K1:S1 | 1014.4 | 785.3 | 899.9 | 959.7 | 956.5 | 958.1 | 987.1 | 870.9 | 929.0 |
| N:K2:S2 | 990.8 | 808.3 | 899.6 | 1030.4 | 975.3 | 1002.9 | 1010.6 | 891.8 | 951.2 |
| N:K3:S3 | 814.7 | 714.3 | 764.5 | 882.6 | 966.8 | 924.7 | 848.7 | 840.6 | 844.6 |
| Average | 925.3 | 769.1 | 847.2 | 935.3 | 932.3 | 933.8 | 930.3 | 850.7 | 890.5 |
| LSD0.01 | A—28.5, B—28.5, C—40.4, A × B—40.4, A × C—57.1, B × C—57.1, A × B × C—n.s. | ||||||||
| Maize above-ground parts dry matter yield | |||||||||
| N | 164.2 | 131.7 | 148.0 | 141.1 | 122.0 | 131.6 | 152.7 | 126.9 | 139.8 |
| N:K1:S1 | 187.3 | 137.3 | 162.3 | 148.2 | 145.0 | 146.6 | 167.8 | 141.2 | 154.5 |
| N:K2:S2 | 187.4 | 138.9 | 163.2 | 152.5 | 154.2 | 153.4 | 170.0 | 146.6 | 158.3 |
| N:K3:S3 | 145.9 | 103.7 | 124.8 | 125.6 | 159.0 | 142.3 | 135.8 | 131.4 | 133.6 |
| Average | 171.2 | 127.9 | 149.6 | 141.9 | 145.1 | 143.5 | 156.5 | 136.5 | 146.5 |
| LSD0.01 | A—n.s., B—12.0, C—17.0, A × B—17.0, A × C—n.s., B × C—n.s., A × B × C—n.s. | ||||||||
| N:K:S (C) | Soil Kind (A) | Nitrogen Dose (B) | |||||||
|---|---|---|---|---|---|---|---|---|---|
| Soil 1 | Soil 2 | ||||||||
| Nitrogen Dose (B) | |||||||||
| N 1 | N 2 | Average | N 1 | N 2 | Average | N 1 | N 2 | Average | |
| Spring wheat weight of 1000 grains | |||||||||
| N | 45.27 | 44.13 | 44.70 | 44.13 | 44.60 | 44.37 | 44.70 | 44.37 | 44.53 |
| N:K1:S1 | 50.53 | 47.13 | 48.83 | 46.73 | 50.07 | 48.40 | 48.63 | 48.60 | 48.62 |
| N:K2:S2 | 48.80 | 47.27 | 48.04 | 47.60 | 47.80 | 47.70 | 48.20 | 47.54 | 47.87 |
| N:K3:S3 | 47.53 | 46.33 | 46.93 | 46.13 | 48.00 | 47.07 | 46.83 | 47.17 | 47.00 |
| Average | 48.03 | 46.22 | 47.12 | 46.15 | 47.62 | 46.88 | 47.09 | 46.92 | 47.00 |
| LSD0.01 | A—n.s., B—n.s., C—n.s., A × B—n.s., A × C—n.s., B × C—n.s., A × B × C—n.s. | ||||||||
| Spring rape weight of 1000 seeds | |||||||||
| N | 4.550 | 4.793 | 4.672 | 5.783 | 5.313 | 5.548 | 5.167 | 5.053 | 5.110 |
| N:K1:S1 | 4.588 | 4.964 | 4.776 | 4.933 | 4.604 | 4.769 | 4.761 | 4.784 | 4.772 |
| N:K2:S2 | 4.665 | 3.681 | 4.173 | 4.742 | 4.574 | 4.658 | 4.704 | 4.128 | 4.416 |
| N:K3:S3 | 5.203 | 4.880 | 5.042 | 4.562 | 4.547 | 4.555 | 4.883 | 4.714 | 4.798 |
| Average | 4.752 | 4.580 | 4.666 | 5.005 | 4.760 | 4.882 | 4.878 | 4.670 | 4.774 |
| LSD0.01 | A—0.353, B—n.s., C—0.500, A × B—n.s., A × C—n.s., B × C—n.s., A × B × C—n.s. | ||||||||
Disclaimer/Publisher’s Note: The statements, opinions and data contained in all publications are solely those of the individual author(s) and contributor(s) and not of MDPI and/or the editor(s). MDPI and/or the editor(s) disclaim responsibility for any injury to people or property resulting from any ideas, methods, instructions or products referred to in the content. |
© 2024 by the authors. Licensee MDPI, Basel, Switzerland. This article is an open access article distributed under the terms and conditions of the Creative Commons Attribution (CC BY) license (https://creativecommons.org/licenses/by/4.0/).
Share and Cite
Wyszkowski, M.; Brodowska, M.S.; Karsznia, M. Innovative Fertiliser Based on Urea and Ammonium Nitrate Solution with Potassium Thiosulphate as a Crucial Factor in Shaping Plant Yield and Its Parameters. Agronomy 2024, 14, 802. https://doi.org/10.3390/agronomy14040802
Wyszkowski M, Brodowska MS, Karsznia M. Innovative Fertiliser Based on Urea and Ammonium Nitrate Solution with Potassium Thiosulphate as a Crucial Factor in Shaping Plant Yield and Its Parameters. Agronomy. 2024; 14(4):802. https://doi.org/10.3390/agronomy14040802
Chicago/Turabian StyleWyszkowski, Mirosław, Marzena S. Brodowska, and Monika Karsznia. 2024. "Innovative Fertiliser Based on Urea and Ammonium Nitrate Solution with Potassium Thiosulphate as a Crucial Factor in Shaping Plant Yield and Its Parameters" Agronomy 14, no. 4: 802. https://doi.org/10.3390/agronomy14040802
APA StyleWyszkowski, M., Brodowska, M. S., & Karsznia, M. (2024). Innovative Fertiliser Based on Urea and Ammonium Nitrate Solution with Potassium Thiosulphate as a Crucial Factor in Shaping Plant Yield and Its Parameters. Agronomy, 14(4), 802. https://doi.org/10.3390/agronomy14040802

