Effect of Biochar Types and Rates on SOC and Its Active Fractions in Tropical Farmlands of China
Abstract
1. Introduction
2. Materials and Methods
2.1. Experimental Site and Design
2.2. Soil Sampling and Index Determination
2.3. Mineralizable Carbon Determination
2.4. Statistical Analysis
3. Results
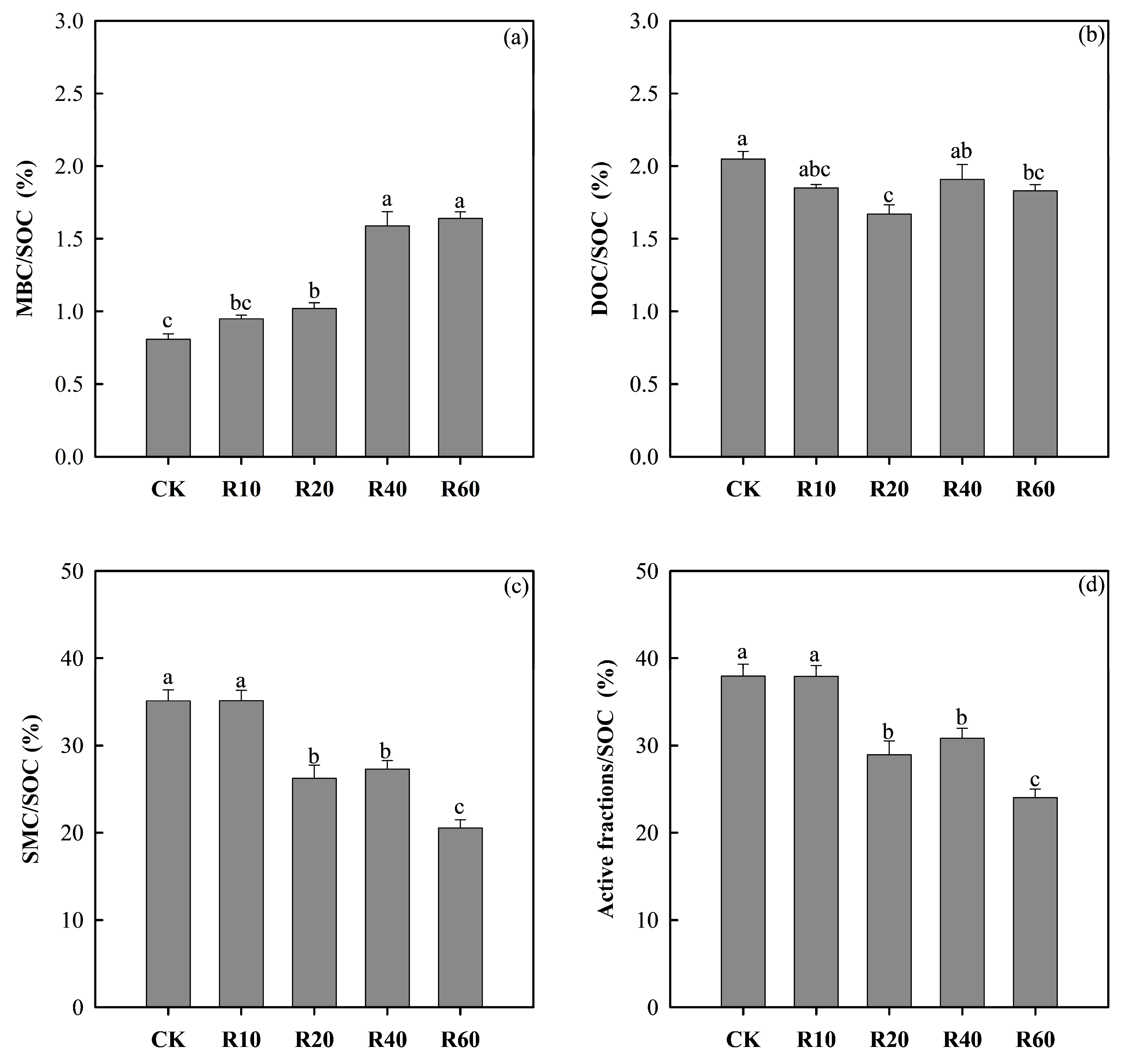
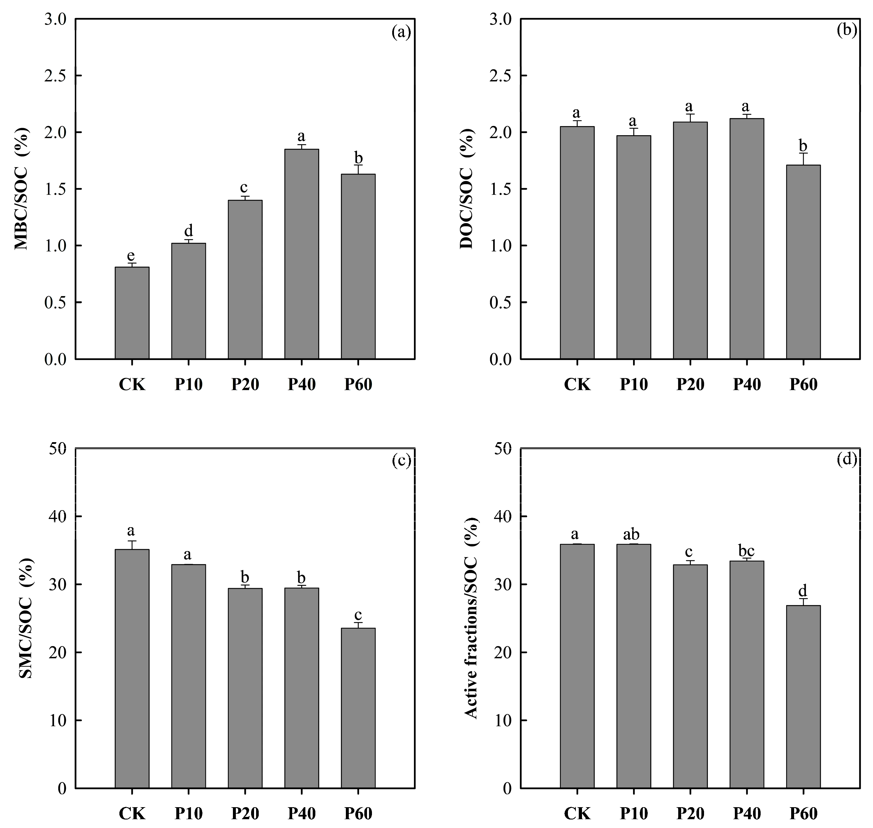
3.1. Changes in SOC and Active Fraction Contents
3.2. Changes in SOC and Active Fraction Stocks
3.3. Changes in SOC Stability
3.4. Change in Physicochemical Properties and Enzyme Activities of Soil with Biochar Addition
3.5. Correlations among Active Carbon Fractions, Carbon Stability, and Soil Properties
4. Discussion
4.1. Effects of Biochar Application on SOC Contents and Stocks in Tropical Farmlands
4.2. Effects of Biochar on the Active Fractions of SOC in Tropical Farmlands
4.3. Effect of Biochar on SOC Stability in Tropical Farmlands
5. Conclusions
Supplementary Materials
Author Contributions
Funding
Institutional Review Board Statement
Informed Consent Statement
Data Availability Statement
Conflicts of Interest
Abbreviations
References
- World Population Review. 2021. Available online: https://worldpopulationreview.com/country-rankings/tropical-countries (accessed on 12 December 2021).
- Anda, M.; Shamshuddin, J.; Ishak, C. Improving chemical properties of a highly weathered soil using finely ground basalt rocks. Catena 2015, 124, 147–161. [Google Scholar] [CrossRef]
- Bruun, T.B.; Elberling, B.; de Neergaard, A.; Magid, J. Organic Carbon Dynamics in Different Soil Types After Conversion of Forest to Agriculture. Land Degrad. Dev. 2015, 26, 272–283. [Google Scholar] [CrossRef]
- Li, T.; Hong, X.; Liu, S.; Wu, X.; Fu, S.; Liang, Y.; Li, J.; Li, R.; Zhang, C.; Song, X.; et al. Cropland degradation and nutrient overload on Hainan Island: A review and synthesis. Environ. Pollut. 2022, 313, 120100. [Google Scholar] [CrossRef] [PubMed]
- Nyssen, J.; Frankl, A.; Zenebe, A.; Poesen, J.; Deckers, J. Environmental Conservation for Food Production and Sustainable Livelihood in Tropical Africa. Land Degrad. Dev. 2015, 26, 629–631. [Google Scholar] [CrossRef]
- Brassard, P.; Godbout, S.; Raghavan, V. Soil biochar amendment as a climate change mitigation tool: Key parameters and mechanisms involved. J. Environ. Manag. 2016, 181, 484–497. [Google Scholar] [CrossRef]
- Hussain, M.; Farooq, M.; Nawaz, A.; Al-Sadi, A.M.; Solaiman, Z.M.; Alghamdi, S.S.; Ammara, U.; Ok, Y.S.; Siddique, K.H.M. Biochar for crop production: Potential benefits and risks. Eur. J. Soil Sci. 2017, 49, 685–716. [Google Scholar] [CrossRef]
- IBI, Standardized Product Definition and Product Testing Guidelines for Biochar That Is Used in Soil. 2012. Available online: https://biochar-international.org/ibi-biochar-standards (accessed on 15 December 2021).
- Grutzmacher, P.; Puga, A.; Bibar, M.; Coscione, A.; Packer, A.P.; Andrade, C. Carbon stability and mitigation of fertilizer induced N2O emissions in soil amended with biochar. Sci. Total Environ. 2018, 625, 1459. [Google Scholar] [CrossRef]
- Joseph, S.; Peacocke, C.; Lehmann, J.; Munroe, P. Developing a biochar classification and test methods. In Biochar for Environmental Management: Science and Technology, 1st ed.; Routledge: Abingdon-on-Thames, UK, 2009. [Google Scholar] [CrossRef]
- Sohi, S.; Krull, E.; Lopez-Capel, E.; Bol, R. A Review of Biochar and Its Use and Function in Soil. Adv. Agron. 2010, 105, 47–82. [Google Scholar] [CrossRef]
- Xia, S.; Jeyakumar, P.; Rinklebe, J.; Ok, Y.S.; Bolan, N.; Wang, H. A critical review on bioremediation technologies for Cr (VI)-contaminated soils and wastewater. Crit. Rev. Environ. Sci. Technol. 2019, 49, 1027–1078. [Google Scholar] [CrossRef]
- Laird, D.A. The Charcoal Vision: A Win-Win-Win Scenario for Simultaneously Producing Bioenergy, Permanently Sequestering Carbon, while Improving Soil and Water Quality. Agron. J. 2008, 100, 178–181. [Google Scholar] [CrossRef]
- Lehmann, J.; Gaunt, J.; Rondon, M. Bio-char Sequestration in Terrestrial Ecosystems—A Review. Mitig. Adapt. Strateg. Glob. Change 2006, 11, 403–427. [Google Scholar] [CrossRef]
- Marris, E. Black is the new green. Nature 2006, 442, 624–626. [Google Scholar] [CrossRef] [PubMed]
- Schmidt, H.P.; Andrés, A.C.; Hagemann, N.; Werner, C.; Gerten, D.; Lucht, W.; Kammann, C. Pyrogenic carbon capture and storage. GCB Bioenergy 2019, 11, 573–591. [Google Scholar] [CrossRef]
- Zhang, A.; Bian, R.; Pan, G.; Cui, L.; Hussain, Q.; Li, L.; Zheng, J.; Zheng, J.; Zhang, X.; Han, X.; et al. Effects of biochar amendment on soil quality, crop yield and greenhouse gas emission in a Chinese rice paddy: A field study of 2 consecutive rice growing cycles. Field Crops Res. 2012, 127, 153–160. [Google Scholar] [CrossRef]
- Nobile, C.; Lebrun, M.; Védère, C.; Honvault, N.; Aubertin, M.-L.; Faucon, M.-P.; Girardin, C.; Houot, S.; Kervroëdan, L.; Dulaurent, A.-M.; et al. Biochar and compost addition increases soil organic carbon content and substitutes P and K fertilizer in three French cropping systems. Agron. Sustain. Dev. 2022, 42, 119. [Google Scholar] [CrossRef]
- Verheijen, F.; Jeffery, S.; Prodana, M.; Bastos, A.; Abalos, D.; Van Groenigen, J.W.; Hungate, B. Biochar boosts tropical but not temperate crop yields. Environ. Res. Lett. 2017, 12, 053001. [Google Scholar] [CrossRef]
- Chen, M.W.; Jin, X.; Li, C.; Yuan, H.Y.; Lan, C.J.; Li, C.J.; Li, C.Z. Effects of Biochar Application on Basic Physicochemical Properties and Enzyme Activities of Dry Red Soil. Chin. J. Soil Sci. 2022, 53, 919. [Google Scholar] [CrossRef]
- Dong, X.; Singh, B.P.; Li, G.; Lin, Q.; Zhao, X. Biochar application constrained native soil organic carbon accumulation from wheat residue inputs in a long-term wheat-maize cropping system. Agric. Ecosyst. Environ. 2018, 252, 200–207. [Google Scholar] [CrossRef]
- Yin, Y.; He, X.; Gao, R.; Ma, H.; Yang, Y. Effects of Rice Straw and Its Biochar Addition on Soil Labile Carbon and Soil Organic Carbon. J. Integr. Agric. 2014, 13, 491–498. [Google Scholar] [CrossRef]
- Han, L.; Sun, K.; Yang, Y.; Xia, X.; Li, F.; Yang, Z.; Xing, B. Biochar’s stability and effect on the content, composition of soil organic carbon. Geoderma 2020, 364, 114184. [Google Scholar] [CrossRef]
- Bi, Y.; Cai, S.; Wang, Y.; Zhao, X.; Wang, S.; Xing, G.; Zhu, Z. Structural and microbial evidence for different soil carbon sequestration after four-year successive biochar application in two different paddy soils. Chemosphere 2020, 254, 126881. [Google Scholar] [CrossRef] [PubMed]
- Liu, S.; Kong, F.; Li, Y.; Jiang, Z.; Xi, M.; Wu, J. Mineral-ions modified biochars enhance the stability of soil aggregate and soil carbon sequestration in a coastal wetland soil. Catena 2020, 193, 104618. [Google Scholar] [CrossRef]
- Wu, L.; Zheng, H.; Wang, X. Effects of soil amendments on fractions and stability of soil organic matter in saline-alkaline paddy. J. Environ. Manag. 2021, 294, 112993. [Google Scholar] [CrossRef] [PubMed]
- Fang, Y.; Singh, B.P.; Singh, B. Temperature sensitivity of biochar and native carbon mineralisation in biochar-amended soils. Agric. Ecosyst. Environ. 2014, 191, 158–167. [Google Scholar] [CrossRef]
- Keith, A.; Singh, B.; Singh, B.P. Interactive Priming of Biochar and Labile Organic Matter Mineralization in a Smectite-Rich Soil. Environ. Sci. Technol. 2011, 45, 9611–9618. [Google Scholar] [CrossRef] [PubMed]
- Kuzyakov, Y.; Subbotina, I.; Chen, H.; Bogomolova, I.; Xu, X. Black carbon decomposition and incorporation into soil microbial biomass estimated by 14C labeling. Soil Biol. Biochem. 2009, 41, 210–219. [Google Scholar] [CrossRef]
- Rahman, M.A.; Kader, M.A.; Jahiruddin, M.; Islam, M.R.; Solaiman, Z.M. Carbon mineralization in subtropical alluvial arable soils amended with sugarcane bagasse and rice husk biochars. Pedosphere 2022, 32, 475. [Google Scholar] [CrossRef]
- Odugbenro, G.; Liu, Z.; Sun, Y. Dynamics of C and N in a clay loam soil amended with biochar and corn straw. Indian J. Agric. Sci. 2019, 53, 675–680. [Google Scholar] [CrossRef]
- Chen, S.; Xu, C.; Yan, J.; Zhang, X.; Zhang, X.; Wang, D. The influence of the type of crop residue on soil organic carbon fractions: An 11-year field study of rice-based cropping systems in southeast China. Agric. Ecosyst. Environ. 2016, 223, 261–269. [Google Scholar] [CrossRef]
- Haynes, R.J. Labile organic matter fractions as central components of the quality of agricultural soils: An overview. Adv. Agron. 2005, 85, 221–268. [Google Scholar] [CrossRef]
- de Brito, G.S.; Bautista, S.; López-Poma, R.; Pivello, V.R. Labile soil organic carbon loss in response to land conversion in the Brazilian woodland savanna (cerradão). Biogeochemistry 2019, 144, 31–46. [Google Scholar] [CrossRef]
- Melero, S.; Madejon, E.; Ruiz, J.C.; Herencia, J.F. Chemical and biochemical properties of a clay soil under dryland agriculture system as affected by organic fertilization. Eur. J. Agron. 2007, 26, 327–334. [Google Scholar] [CrossRef]
- Zhang, W.; Wang, X.; Lu, T.; Zhao, Y. Influences of soil properties and hydrological processes on soil carbon dynamics in the cropland of North China Plain. Agric. Ecosyst. Environ. 2020, 295, 106886. [Google Scholar] [CrossRef]
- Liang, Z.; Jin, X.; Zhai, P.; Zhao, Y.; Cai, J.; Li, S.; Yang, S.; Li, C.; Li, C. Combination of organic fertilizer and slow-release fertilizer increases pineapple yields, agronomic efficiency and reduces greenhouse gas emissions under reduced fertilization conditions in tropical areas. J. Clean. Prod. 2022, 343, 131054. [Google Scholar] [CrossRef]
- IUSS Working Group WRB. World Reference Base for Soil Resources 2014, Update 2015 International Soil Classification System for Naming Soils and Creating Legends for Soil Maps. In World Soil Resources Reports No. 106; FAO: Rome, Italy, 2015; Available online: https://www.fao.org/3/i3794en/I3794en.pdf (accessed on 1 January 2023).
- Pansu, M.; Gautheyrou, J. Organic and Total C, N (H, O, S) Analysis. In Handbook of Soil Analysis; Springer: Berlin/Heidelberg, Germany, 2006. [Google Scholar] [CrossRef]
- de Rooij, G. Methods of Soil Analysis: Part 4. Physical Methods. Vadose Zone J. 2004, 3, 722–723. [Google Scholar] [CrossRef]
- Richard, H.L.; Donald, L.S. Methods of Soil Analysis. Part 3. Chemical Methods; Book Series No. 5; Soil Science of America and American Society of Agronomy: Madison, WI, USA, 1996. [Google Scholar]
- Vance, E.D.; Brookes, P.C.; Jenkinson, D.S. Microbial biomass measurements in forest soils: The use of the chloroform fumigation-incubation method in strongly acid soils. Soil Biol. Biochem. 1987, 19, 697–702. [Google Scholar] [CrossRef]
- Shukla, G.; Varma, A. Soil Enzyme: The State-of-Art. In Soil Enzymology. Soil Biology; Shukla, G., Varma, A., Eds.; Springer: Berlin/Heidelberg, Germany, 2011; Volume 22. [Google Scholar] [CrossRef]
- Guo, L.B.; Gifford, R.M. Soil carbon stocks and land use change: A meta analysis. Glob. Change Biol. 2002, 8, 345–360. [Google Scholar] [CrossRef]
- Kuzyakov, Y.; Bogomolova, I.; Glaser, B. Biochar stability in soil: Decomposition during eight years and transformation as assessed by compound-specific 14C analysis. Soil Biol. Biochem. 2014, 70, 229–236. [Google Scholar] [CrossRef]
- Vaccari, F.P.; Baronti, S.; Lugato, E.; Genesio, L.; Castaldi, S.; Fornasier, F.; Miglietta, F. Biochar as a strategy to sequester carbon and increase yield in durum wheat. Eur. J. Agron. 2011, 34, 231–238. [Google Scholar] [CrossRef]
- Paymaneh, Z.; Gryndler, M.; Konvalinková, T.; Benada, O.; Borovička, J.; Bukovská, P.; Püschel, D.; Řezáčová, V.; Sarcheshmehpour, M.; Jansa, J. Soil Matrix Determines the Outcome of Interaction Between Mycorrhizal Symbiosis and Biochar for Andropogon gerardii Growth and Nutrition. Front. Microbiol. 2018, 9, 2862. [Google Scholar] [CrossRef]
- Ye, J.; Joseph, S.D.; Ji, M.; Nielsen, S.; Mitchell, D.R.G.; Donne, S.; Horvat, J.; Wang, J.; Munroe, P.; Thomas, T. Chemolithotrophic processes in the bacterial communities on the surface of mineral-enriched biochars. ISME J. 2017, 11, 1087–1101. [Google Scholar] [CrossRef] [PubMed]
- Yu, J.; Deem, L.M.; Crow, S.E.; Deenik, J.; Penton, C.R. Comparative Metagenomics Reveals Enhanced Nutrient Cycling Potential after 2 Years of Biochar Amendment in a Tropical Oxisol. Appl. Environ. Microbiol. 2019, 85, 1. [Google Scholar] [CrossRef]
- Zheng, J.; Chen, J.; Pan, G.; Liu, X.; Zhang, X.; Li, L.; Bian, R.; Cheng, K.; Jinwei, Z. Biochar decreased microbial metabolic quotient and shifted community composition four years after a single incorporation in a slightly acid rice paddy from southwest China. Sci. Total Environ. 2016, 571, 206–217. [Google Scholar] [CrossRef]
- Lin, H.; Zhou, M.; Zeng, F.; Xu, P.; Ma, S.; Zhang, B.; Li, Z.; Wang, Y.; Zhu, B. How do soil organic carbon pool, stock and their stability respond to crop residue incorporation in subtropical calcareous agricultural soils? Agric. Ecosyst. Environ. 2022, 332, 107927. [Google Scholar] [CrossRef]
- Rumpel, C.; Koegel-Knabner, I. Deep soil organic matter—A key but poorly understood component of terrestrial C cycle. Plant Soil 2011, 338, 143–158. [Google Scholar] [CrossRef]
- Rowe, R.L.; Keith, A.M.; Elias, D.; Dondini, M.; Smith, P.; Oxley, J.; McNamara, N.P. Initial soil C and land-use history determine soil C sequestration under perennial bioenergy crops. GCB Bioenergy 2016, 8, 1046–1060. [Google Scholar] [CrossRef]
- Yang, K.; Zhu, J.; Zhang, M.; Yan, Q.; Sun, O.J. Soil microbial biomass carbon and nitrogen in forest ecosystems of Northeast China: A comparison between natural secondary forest and larch plantation. J. Plant Ecol. 2010, 3, 175–182. [Google Scholar] [CrossRef]
- Farrell, M.; Kuhn, T.K.; Macdonald, L.M.; Maddern, T.M.; Murphy, D.V.; Hall, P.A.; Singh, B.P.; Baumann, K.; Krull, E.S.; Baldock, J.A. Microbial utilisation of biochar-derived carbon. Sci. Total Environ. 2013, 465, 288–297. [Google Scholar] [CrossRef]
- Oladele, S.; Adeyemo, A.; Adegaiye, A.; Awodun, M. Effects of biochar amendment and nitrogen fertilization on soil microbial biomass pools in an Alfisol under rain-fed rice cultivation. Biochar 2019, 1, 163–176. [Google Scholar] [CrossRef]
- Smith, J.L.; Collins, H.P.; Bailey, V.L. The effect of young biochar on soil respiration. Soil Biol. Biochem. 2010, 42, 2345–2347. [Google Scholar] [CrossRef]
- Chagas, J.K.M.; de Figueiredo, C.C.; Ramos, M.L.G. Biochar increases soil carbon pools: Evidence from a global meta-analysis. J. Environ. Manag. 2022, 305, 114403. [Google Scholar] [CrossRef] [PubMed]
- Liu, S.; Zhang, Y.; Zong, Y.; Hu, Z.; Wu, S.; Zhou, J.; Jin, Y.; Zou, J. Response of soil carbon dioxide fluxes, soil organic carbon and microbial biomass carbon to biochar amendment: A meta-analysis. GCB Bioenergy 2016, 8, 392–406. [Google Scholar] [CrossRef]
- Lehmann, J.; Rillig, M.C.; Thies, J.; Masiello, C.A.; Hockaday, W.C.; Crowley, D. Biochar effects on soil biota—A review. Soil Biol. Biochem. 2011, 43, 1812–1836. [Google Scholar] [CrossRef]
- Cassidy, M.B.; Lee, H.; Trevors, J.T. Environmental applications of immobilized microbial cells: A review. J. Ind. Microbiol. Biot. 1996, 16, 79–101. [Google Scholar] [CrossRef]
- Rivera-Utrilla, J.; Bautista-Toledo, I.; Ferro-Garcia, M.A.; Moreno-Castilla, C. Activated carbon surface modifications by adsorption of bacteria and their effect on aqueous lead adsorption. J. Chem. Technol. Biotechnol. 2001, 76, 1209–1215. [Google Scholar] [CrossRef]
- Uchimiya, M.; Ohno, T.; He, Z. Pyrolysis temperature-dependent release of dissolved organic carbon from plant, manure, and biorefinery wastes. J. Anal. Appl. Pyrolysis. 2013, 104, 84–94. [Google Scholar] [CrossRef]
- Feng, Z.; Fan, Z.; Song, H.; Li, K.; Lu, H.; Liu, Y.; Cheng, F. Biochar induced changes of soil dissolved organic matter: The release and adsorption of dissolved organic matter by biochar and soil. Sci. Total Environ. 2021, 783, 147091. [Google Scholar] [CrossRef] [PubMed]
- Qiu, H.; Liu, J.; Boorboori, M.R.; Li, D.; Chen, S.; Ma, X.; Cheng, P.; Zhang, H. Effect of biochar application rate on changes in soil labile organic carbon fractions and the association between bacterial community assembly and carbon metabolism with time. Sci. Total Environ. 2023, 855, 158876. [Google Scholar] [CrossRef] [PubMed]
- Lin, Y.; Munroe, P.; Joseph, S.; Henderson, R.; Ziolkowski, A. Water extractable organic carbon in untreated and chemical treated biochars. Chemosphere 2012, 87, 151–157. [Google Scholar] [CrossRef]
- de Wit, H.; Groseth, T.; Mulder, J. Predicting Aluminum and Soil Organic Matter Solubility Using the Mechanistic Equilibrium Model WHAM. Soil Sci. Soc. Am. J. 2001, 65, 1089–1100. [Google Scholar] [CrossRef]
- Kang, H.; Kwon, M.J.; Kim, S.; Lee, S.; Jones, T.G.; Johncock, A.C.; Haraguchi, A.; Freeman, C. Biologically driven DOC release from peatlands during recovery from acidification. Nat. Commun. 2018, 9, 3807. [Google Scholar] [CrossRef]
- Oulehle, F.; Jones, T.G.; Burden, A.; Cooper, M.D.A.; Lebron, I.; Zielinski, P.; Evans, C.D. Soil-solution partitioning of DOC in acid organic soils: Results from a UK field acidification and alkalization experiment. Eur. J. Soil Sci. 2013, 64, 787–796. [Google Scholar] [CrossRef]
- Nakhavali, M.; Lauerwald, R.; Regnier, P.; Guenet, B.; Chadburn, S.; Friedlingstein, P. Leaching of dissolved organic carbon from mineral soils plays a significant role in the terrestrial carbon balance. Glob. Change Biol. 2021, 27, 1083–1096. [Google Scholar] [CrossRef]
- Munda, S.; Nayak, A.K.; Kumar, A.; Bhaduri, D.; Chatterjee, D.; Jangde, H.K.; Shahid, M.; Bhattacharyya, P.; Tripathi, R.; Mohanty, S.; et al. Dynamics of soil organic carbon mineralization and C fractions in paddy soil on application of rice husk biochar. Biomass Bioenergy 2018, 115, 1–9. [Google Scholar] [CrossRef]
- Jobbagy, E.G.; Jackson, R.B. The vertical distribution of soil organic carbon and its relation to climate and vegetation. Ecol. Appl. 2000, 10, 423–436. [Google Scholar] [CrossRef]
- Schimel, J.P.; Wetterstedt, J.; Holden, P.A.; Trumbore, S.E. Drying/rewetting cycles mobilize old C from deep soils from a California annual grassland. Soil Biol. Biochem. 2011, 43, 1101–1103. [Google Scholar] [CrossRef]
- Alekseev, I.; Abakumov, E. Soil organic carbon stocks and stability of organic matter in permafrost-affected soils of Yamal region, Russian Arctic. Geoderma Reg. 2022, 28, e00454. [Google Scholar] [CrossRef]
- Zimmerman, A.R.; Gao, B.; Ahn, M.-Y. Positive and negative carbon mineralization priming effects among a variety of biochar-amended soils. Soil Biol. Biochem. 2011, 43, 1169–1179. [Google Scholar] [CrossRef]
- Bailey, V.L.; Fansler, S.J.; Smith, J.L.; Bolton, H. Reconciling apparent variability in effects of biochar amendment on soil enzyme activities by assay optimization. Soil Biol. Biochem. 2011, 43, 296–301. [Google Scholar] [CrossRef]
- Joseph, S.D.; Camps-Arbestain, M.; Lin, Y.; Munroe, P.; Chia, C.H.; Hook, J.; van Zwieten, L.; Kimber, S.; Cowie, A.; Singh, B.P.; et al. An investigation into the reactions of biochar in soil. Soil Res. 2010, 48, 501–515. [Google Scholar] [CrossRef]
- Jones, D.L.; Murphy, D.V.; Khalid, M.; Ahmad, W.; Edwards-Jones, G.; DeLuca, T.H. Short-term biochar-induced increase in soil CO2 release is both biotically and abiotically mediated. Soil Biol. Biochem. 2011, 43, 1723–1731. [Google Scholar] [CrossRef]
- Weng, Z.; Van Zwieten, L.; Singh, B.P.; Kimber, S.; Morris, S.; Cowie, A.; Macdonald, L.M. Plant-biochar interactions drive the negative priming of soil organic carbon in an annual ryegrass field system. Soil Biol. Biochem. 2015, 90, 111–121. [Google Scholar] [CrossRef]
- Pignatello, J.; Kwon, S.; Lu, Y. Effect of Natural Organic Substances on the Surface and Adsorptive Properties of Environmental Black Carbon (Char): Attenuation of Surface Activity by Humic and Fulvic Acids. Environ. Sci. Technol. 2006, 40, 7757–7763. [Google Scholar] [CrossRef] [PubMed]
- Schimmelpfennig, S.; Glaser, B. One step forward toward characterization: Some important material properties to distinguish biochars. J. Environ. Qual. 2012, 41, 1001–1013. [Google Scholar] [CrossRef] [PubMed]
- Leng, L.; Huang, H.; Li, H.; Li, J.; Zhou, W. Biochar stability assessment methods: A review. Sci. Total Environ. 2019, 647, 210–222. [Google Scholar] [CrossRef] [PubMed]
- Spokas, K.A. Review of the stability of biochar in soils: Predictability of O:C molar ratios [Review]. Carbon Manag. 2010, 1, 289–303. [Google Scholar] [CrossRef]
- Ghorbani, M.; Konvalina, P.; Neugschwandtner, R.W.; Soja, G.; Bárta, J.; Chen, W.; Amirahmadi, E. How do different feedstocks and pyrolysis conditions effectively change biochar modification scenarios? A critical analysis of engineered biochars under H2O2 oxidation. Energy Convers. Manag. 2024, 300, 117924. [Google Scholar] [CrossRef]
- Yang, Y.; Sun, K.; Han, L.; Chen, Y.; Liu, J.; Xing, B. Biochar stability and impact on soil organic carbon mineralization depend on biochar processing, aging and soil clay content. Soil Biol. Biochem. 2022, 169, 108657. [Google Scholar] [CrossRef]
- Kolb, S.E.; Fermanich, K.J.; Dornbush, M.E. Effect of Charcoal Quantity on Microbial Biomass and Activity in Temperate Soils. Soil Sci. Soc. Am. J. 2009, 73, 1173–1181. [Google Scholar] [CrossRef]
- Lehmann, J.; Kleber, M. The contentious nature of soil organic matter. Nature 2015, 528, 60–68. [Google Scholar] [CrossRef]
- Zhang, J.; Zhang, X.; Sun, H.; Wang, C.; Zhou, S. Carbon sequestration and nutrients improvement meditated by biochar in a 3-year vegetable rotation system. J. Soils Sediments 2022, 22, 1385–1396. [Google Scholar] [CrossRef]
- Eykelbosh, A.J.; Johnson, M.S.; Couto, E.G. Biochar decreases dissolved organic carbon but not nitrate leaching in relation to vinasse application in a Brazilian sugarcane soil. J. Environ. Manag. 2015, 149, 9–16. [Google Scholar] [CrossRef] [PubMed]
- George, J.; Singh, R.; Patra, A.; Kumar, A. Soil carbon pools and carbon management index under different land use systems in the Central Himalayan region. Acta Agric. Scand. 2013, 63, 200–205. [Google Scholar] [CrossRef]








| Property | Soil | Rice Hull Biochar | Peanut Shell Biochar |
|---|---|---|---|
| Sand% | 77.81 | - | - |
| Silt% | 18.89 | - | - |
| Clay% | 3.30 | - | - |
| SOC (g kg−1) | 4.00 | - | - |
| Alkali hydrolyzed nitrogen (mg kg−1) | 34.24 | - | - |
| Available phosphorus (mg kg−1) | 187.50 | - | - |
| Available potassium (mg kg−1) | 183.79 | - | - |
| EC (μS cm−1) | - | 1445 | 1375 |
| pH | 5.97 | 9.83 | 10.05 |
| Carbon content (%) | - | 43.42 | 39.66 |
| Hydrogen content (%) | - | 1.68 | 1.73 |
| Oxygen content (%) | - | 14.75 | 15.11 |
| Nitrogen content (%) | - | 0.71 | 1.40 |
| C:N | - | 25.85 | 28.33 |
| O:C | - | 0.25 | 0.29 |
| H:C | - | 0.47 | 0.52 |
| (O+N):C | - | 0.27 | 0.32 |
| Variables | F (p) Values | ||||||||
|---|---|---|---|---|---|---|---|---|---|
| Factors | SOC | MBC | DOC | SMC | SOC Stocks | MBC Stocks | DOC Stocks | SMC Stocks | |
| Biochar type | 5.443 (0.023) | 7.862 (0.007) | 1398.609 (<0.001) | 0.009 (0.925) | 0.535 (0.468) | 11.022 (0.002) | 13.211 (0.001) | 5.333 (0.024) | |
| Application rates | 41.105 (<0.001) | 321.791 (<0.001) | 145.764 (<0.001) | 18.365 (<0.001) | 21.581 (<0.001) | 220.728 (<0.001) | 31.193 (<0.001) | 29.291 (<0.001) | |
| Biochar type * Application rates | 1.64 (0.176) | 2.395 (0.06) | 15.43 (<0.001) | 10.469 (<0.001) | 1.332 (0.268) | 5.781 (0.001) | 20.014 (<0.001) | 0.631 (0.624) | |
| Biochar Type | Rates | Basic Physicochemical Properties | Soil Enzyme Activities | |||||||||
|---|---|---|---|---|---|---|---|---|---|---|---|---|
| pH | Soil Moisture Content (%) | Soil Bulk Density (g cm−3) | Total Nitrogen (g kg−1) | Total Phosphorus (g kg−1) | Available Phosphorus (mg kg−1) | Available Potassium (mg kg−1) | Suc (μg g−1 h−1) | Ure (μg g−1 h−1) | A Pho (mg g−1 10 h−1) | Cat (mL g−1 0.5 h−1) | ||
| Rice hull biochar | CK | 5.89 ± 0.14 a | 8.93 ± 0.05 b | 1.94 ± 0.02 a | 0.57 ± 0.02 d | 0.30 ± 0.01 ab | 128.17 ± 3.42 bc | 61.62 ± 3.24 d | 78.47 ± 1.48 b | 4.74 ± 0.21 b | 0.28 ± 0.02 c | 0.29 ± 0.0 c |
| R10 | 5.98 ± 0.14 a | 10.79 ± 0.3 a | 1.87 ± 0.03 ab | 0.69 ± 0.01 b | 0.31 ± 0.01 ab | 129.23 ± 0.87 bc | 74.72 ± 1.18 c | 120.32 ± 8.83 a | 5.15 ± 0.63 ab | 0.31 ± 0.01 bc | 0.45 ± 0.0 a | |
| R20 | 5.94 ± 0.1 a | 10.73 ± 0.38 a | 1.75 ± 0.03 b | 0.62 ± 0.01 cd | 0.31 ± 0.01 ab | 142.97 ± 1.06 ab | 76.06 ± 4.73 c | 85.41 ± 5.4 b | 6.19 ± 0.12 a | 0.36 ± 0.01 a | 0.39 ± 0.0 b | |
| R40 | 5.78 ± 0.04 a | 10.65 ± 0.23 a | 1.79 ± 0.03 b | 0.65 ± 0.02 bc | 0.28 ± 0.01 b | 125.85 ± 3.19 c | 109.93 ± 1.18 b | 89.47 ± 3.13 b | 5.44 ± 0.18 ab | 0.32 ± 0.01 b | 0.37 ± 0.0 b | |
| R60 | 5.98 ± 0.27 a | 11.46 ± 0.18 a | 1.87 ± 0.07 ab | 0.77 ± 0.02 a | 0.35 ± 0.03 a | 152.9 ± 9.93 a | 137.14 ± 3.86 a | 93.36 ± 5.09 b | 5.06 ± 0.32 ab | 0.32 ± 0.01 b | 0.38 ± 0.0 b | |
| Peanut shell biochar | CK | 5.89 ± 0.14 a | 8.93 ± 0.05c | 1.94 ± 0.02 b | 0.57 ± 0.02 c | 0.30 ± 0.01 ab | 128.17 ± 3.42 ab | 61.62 ± 3.24 c | 78.47 ± 1.48 d | 4.74 ± 0.21 c | 0.28 ± 0.02 b | 0.29 ± 0.0 c |
| P10 | 5.76 ± 0.28 a | 9.84 ± 0.1 b | 2.05 ± 0.01 a | 0.55 ± 0.01 b | 0.28 ± 0.01 ab | 110.52 ± 2.85 b | 70.95 ± 2.61 bc | 106.85 ± 2.04 b | 6.85 ± 0.27 ab | 0.3 ± 0.01 b | 0.38 ± 0.0 b | |
| P20 | 5.89 ± 0.34 a | 10.96 ± 0.24 a | 1.85 ± 0.03 b | 0.67 ± 0.01 c | 0.27 ± 0.02 b | 144.45 ± 5.13 a | 78.72 ± 6.12 b | 67.41 ± 2.8 e | 4.72 ± 0.49 c | 0.28 ± 0.01 b | 0.43 ± 0.0 b | |
| P40 | 5.91 ± 0.33 a | 11.07 ± 0.35 a | 1.94 ± 0.07 b | 0.59 ± 0.02 c | 0.33 ± 0.03 a | 138.64 ± 16.4 ab | 82.39 ± 3.2 b | 94.09 ± 4.08 c | 6.14 ± 0.16 b | 0.3 ± 0.01 b | 0.39 ± 0.0 b | |
| P60 | 6.03 ± 0.21 a | 11.67 ± 0.22 a | 1.75 ± 0.01 c | 0.81 ± 0.01 a | 0.31 ± 0.01 ab | 137.74 ± 11.67 ab | 138.58 ± 0.62 a | 135.16 ± 3.29 a | 7.29 ± 0.16 a | 0.35 ± 0.01 a | 0.52 ± 0.0 a | |
Disclaimer/Publisher’s Note: The statements, opinions and data contained in all publications are solely those of the individual author(s) and contributor(s) and not of MDPI and/or the editor(s). MDPI and/or the editor(s) disclaim responsibility for any injury to people or property resulting from any ideas, methods, instructions or products referred to in the content. |
© 2024 by the authors. Licensee MDPI, Basel, Switzerland. This article is an open access article distributed under the terms and conditions of the Creative Commons Attribution (CC BY) license (https://creativecommons.org/licenses/by/4.0/).
Share and Cite
Chen, M.; Liu, D.; Shao, X.; Li, S.; Jin, X.; Qi, J.; Liu, H.; Li, C.; Li, C.; Li, C. Effect of Biochar Types and Rates on SOC and Its Active Fractions in Tropical Farmlands of China. Agronomy 2024, 14, 676. https://doi.org/10.3390/agronomy14040676
Chen M, Liu D, Shao X, Li S, Jin X, Qi J, Liu H, Li C, Li C, Li C. Effect of Biochar Types and Rates on SOC and Its Active Fractions in Tropical Farmlands of China. Agronomy. 2024; 14(4):676. https://doi.org/10.3390/agronomy14040676
Chicago/Turabian StyleChen, Mingwan, Daquan Liu, Xujie Shao, Shoupeng Li, Xin Jin, Jincun Qi, Hong Liu, Chen Li, Changjiang Li, and Changzhen Li. 2024. "Effect of Biochar Types and Rates on SOC and Its Active Fractions in Tropical Farmlands of China" Agronomy 14, no. 4: 676. https://doi.org/10.3390/agronomy14040676
APA StyleChen, M., Liu, D., Shao, X., Li, S., Jin, X., Qi, J., Liu, H., Li, C., Li, C., & Li, C. (2024). Effect of Biochar Types and Rates on SOC and Its Active Fractions in Tropical Farmlands of China. Agronomy, 14(4), 676. https://doi.org/10.3390/agronomy14040676
