Abstract
Water deficit and soil salinization are the primary abiotic stress factors hindering maize growth. To assess the effect of water and salt stress on xylem embolism in maize and investigate the relationship between drought resistance and xylem vulnerability, a greenhouse experiment was designed using two maize cultivars, Zhengdan 958 (drought-resistant) and Denghai 605 (drought-sensitive). Four treatments were included: control (CK), water deficit (WD), salt stress (SS), and combined water and salt stress (WS). Various hydraulic characteristic indicators, such as stem xylem water potential, leaf xylem water potential, the specific hydraulic conductivity () and percentage loss of conductivity (PLC), were analyzed. Specific hydraulic conductivity curves and vulnerability curves were constructed, and the hydraulic safety margin (HSM) of the xylem was determined based on stomatal conductance (). The results indicated that the hydraulic conductivity and embolism resistance of maize xylem were not correlated. Compared to Denghai 605, Zhengdan 958 had lower maximum specific hydraulic conductivity and values (xylem water potential at 50% PLC) in all treatments, indicating lower water transport capacity but stronger resistance to embolism. Under single-cultivar conditions, salt stress had a greater inhibitory effect on and HSM in maize xylem compared to water deficit; thus, more severe embolism was found under salt stress. Under different treatment conditions, Zhengdan 958 had a larger HSM than Denghai 605, showing a wider water transport safety range and overall superior water transport security. To summarize, water and salt stress inhibited the water transport efficiency of the xylem in maize stems, and stronger drought-resistant cultivars showed greater resistance to embolism and larger hydraulic safety margins.
1. Introduction
Maize is a widely cultivated and versatile crop. It is the third most important cereal, after wheat and rice in terms of sown area and total production [1]. Due to its high nutritional content and application in various products, maize is an important part of the global agricultural food system. However, throughout its growth process, maize continuously faces various environmental stresses [2], among which soil salinization and water deficit are the most common abiotic stress factors [3]. These stress factors often decrease photosynthesis, transpiration, and yield, affecting not only the growth morphology of maize but also influencing all metabolic processes [4]. Therefore, effective water and salt management is essential to ensure optimal maize yield and quality [5]. Thus, monitoring the water status of maize can facilitate efficient irrigation management during crop growth [6]. Among various available methods, constructing embolism vulnerability curves and hydraulic safety margins (HSM) by measuring the percentage loss of conductivity (PLC) in the xylem is a superior technique [7,8,9], as it is more convenient and accurate compared to soil water content and soil water potential. It also highlights the significance of the hydraulic performance of the xylem in maize growth.
Water movement in plant tissues occurs against gravity, and within the xylem, water exists as a continuous column under negative pressure [10]. The strong cohesive forces between water molecules enable the water column to withstand tension generated by transpiration from the leaves [11,12]. The water column under negative pressure generally exists in a metastable state. The degree of this negative pressure is influenced by factors such as plant height, soil moisture content, plant transpiration rate, atmospheric water potential and soil-plant hydraulic path resistance [11,13]. Changes in the growth environment of the plant, such as drought or salt stress, which alter the transpiration requirements of plants or the effectiveness of soil moisture, can induce xylem embolism [14,15,16].
When tension within the xylem reaches a critical threshold due to drought, air is drawn into the xylem vessels (or tracheids) through the pit membranes, causing the continuous water column to rupture and gradually expand, resulting in embolism formation [17,18]. In the context of climate change, salt stress in agricultural soils interacts with drought stress. Imposing osmotic stress decreases the hydraulic conductivity of plant roots, reducing intercellular water transport and inducing embolism [19,20]. If the stress persists, the hydraulic conductivity of the xylem gradually decreases until failure, which severely affects the photosynthetic performance of the plant, leading to organ death [21,22]. Under stress, the water potential of maize is disrupted, characterized by a decrease in dehydration tolerance and photosynthetic activity. This triggers internal signal transduction cascades, leading to self-hydraulic adjustments and the loss of K+ and Cl− in the cells of the xylem and phloem, followed by a decrease in stomatal aperture in maize. This process ensures a water potential balance in the xylem, which prevents the formation of xylem embolism [23,24].
To quantitatively visualize the extent of xylem embolism in plant tissues, Sperry and Tyree [25,26,27] established the xylem “vulnerability curve” (VC). Based on the PLC and the corresponding water potential, this curve was used to assess the embolism vulnerability and drought resistance of the plant xylem. It can be used to elucidate the relationship between xylem water potential and the degree of embolism, providing crucial information for studying plant water transport and hydraulic regulation strategies. However, when determining the actual degree of xylem embolism and hydraulic regulation strategies in the plant xylem, VC curves have certain limitations [28,29,30]. Therefore, the concept of xylem HSM was proposed to evaluate the risk level of plant hydraulic regulation strategies [31,32]; it can better explain the connection between plant gas exchange processes and the occurrence of embolism.
However, researchers often focus on the impact of a single abiotic stress on plants; while, in fact, crops typically experience stress in the form of combined stress during their growth [33,34]. Since plant responses to combined stress cannot be inferred from a single stress factor, more attention should be paid to the effects and mechanisms of combined stress on plants. Current research on xylem embolism primarily involves woody plants, and researchers generally believe that there is a trade-off between water transport capacity and embolism resistance in woody plants [35,36,37,38,39], so does maize, as a graminaceous plant, behave the same way among varieties with different drought resistance? However, there are limited reports on understanding the drought resistance of maize based on the hydraulic performance of xylem [36,40], and so further research is needed. To improve the yield and quality of maize under stress, the tolerance/resistance of the xylem to embolism needs to be evaluated. In order to investigate the relationship between drought resistance and xylem vulnerability in maize varieties, and the effect of water and salt stress on xylem embolism in maize, we analyzed the tolerance of two maize cultivars to water and salt stress using several factors, including photosynthetic performance, hydraulic characteristic indicators and HSM. Following initial screening, two maize cultivars, Denghai 605 and Zhengdan 958, with different drought resistances, were used to assess the vulnerability of xylem embolism and elucidate potential differences in drought resistance. The analysis of xylem HSM under different conditions of water and salt stress was performed to comprehensively understand xylem hydraulic regulation strategies. Our study provided a new perspective for comprehending the drought adaptability of different maize cultivars. It may also provide a theoretical foundation and data support for the cultivation and management of maize in arid and saline–alkali soils.
2. Materials and Methods
2.1. Overview of the Study Area
The experiment was conducted from March 2020 to July 2022 in the Key Laboratory of Crop Water Use and Regulation at the Institute of Farmland Irrigation, Chinese Academy of Agricultural Sciences. The experiments were conducted in an FYS-20 model controlled-environment chamber (113°47′ E, 35°09′ N; altitude: 78.8 m) (Figure 1). The chamber covered an area of 20 m2 and allowed environmental factors, such as temperature, humidity, light duration and intensity, and CO2 concentration, to be controlled artificially. The temperature in the controlled-environment chamber was set at 35 °C/25 °C (day/night), with 14 h of light per day (6:00 a.m. to 20:00 p.m.), light intensity of 600 µmol/(m2·s), and air humidity of 30–50%, and the atmospheric water potential () is −954 to −1712.
Figure 1.
Schematic diagram of the experimental location.
2.2. Experimental Materials
The maize cultivars Zhengdan 958 (stronger drought resistance) and Denghai 605 (weaker drought resistance) were tested in this study by conducting a barrel experiment on soil culture. The dimensions of the pot are 20 cm in length, 20 cm in width, and 50 cm in height, with a 5 cm diameter hole at the bottom to enhance air circulation and prevent water accumulation inside the pot. The soil type was loam, obtained from the top 0–40 cm layer of the field, air-dried, sieved through 5 mm mesh, and then, filled into pots with a soil bulk density of 1.35 g/cm3, each pot contains 24 kg of dry soil. Soil bulk density () is determined using the cutter ring method, and the calculation formula is as follows:
where is soil bulk density (g/cm3); is the mass of oven-dried soil sample; is the volume of the cutter ring.
Before sowing, take the top 0–10 cm layer of the pot for mixing fertilizer, take out the soil and put it in a basin, weigh 2.5 g of compound fertilizer (180 kg N/hm2, the standard of basal fertilizer application in local experimental field) completely dissolved in 100 mL of deionized water, pour it evenly on the soil surface, and backfill it into the pot to its original bulk density after mixing it well. The proportions of clay, silt, and sand in the experimental soil were 3.81%, 43.14%, and 53.05%, respectively. Soil nutrient indicators for the soil layer 0–40 cm deep are presented in Table 1, where “d” denotes soil depth, “ω” represents the mass fraction of soil components, and “EC” indicates soil electrical conductivity.
Table 1.
Soil physical and chemical properties.
2.3. Experimental Design
The experiment included four treatments: drought stress (WD), salt stress (SS), combined water and salt stress (WS), and control (CK). In the CK treatment, plants were irrigated with plain water, and soil moisture was maintained at 70–75% of field capacity, for drought stress (WD), plain water irrigation was performed, with soil moisture controlled at 50–55%. In salt stress (SS) treatment, plants were irrigated with a 50 mmol/L NaCl solution [41,42], with moisture maintained at 70–75%, and the combined water and salt stress (WS) treatment, irrigation was performed with a 50 mmol/L NaCl solution, with soil moisture controlled at 50–55%. Each treatment had 5 replicates (Table 2).
Table 2.
Experimental design of water stress and salt stress.
Before sowing, the soil moisture content for all treatment groups was adjusted to 70–75% to ensure healthy seedling growth, thus avoiding soil moisture content being too high or too low resulting in too wet or too dry soil in the pot, which could affect seed germination. After sowing, the soil moisture content was tested every two days by the oven-drying method to ensure that the lower limit of the soil moisture content was between 70 and 75% and manually irrigated with 1/2 Hoagland nutrient solution formulated as Ca(NO3)2·4H2O (0.59 g/L), KNO3 (0.253 g/L), KH2PO4 (0.068 g/L), MgSO4·7H2O (0.347 g/L), and trace elements (0.5 mL/L). The nutrient solution required during the treatment period was measured using a portable pH meter, and the pH was adjusted to 5.8–6.2 with dilute hydrochloric acid. Water and salinity stress induction was started one week before entering the jointing stage for all replicates. After initiating the treatment, the Hoagland nutrient solution was replaced by water and NaCl solution for irrigation, and the soil moisture was maintained within the target range for each treatment group; the whole treatment period lasts 3 weeks.
2.4. Sampling, Measurement, and Calculation Methods
2.4.1. Leaf Sample Collection
Leaf samples were collected between 8:00 a.m. and 9:00 a.m. The middle portion of the fully expanded upper leaves was selected for measurement, and samples were collected while submerged in water. After soaking the leaves in water overnight, the saturated weight of the leaves was measured. Next, the water potential was determined using a pressure chamber. Then, the leaves were removed and left to air-dry indoors. The mass and the water potential of the leaves were measured at regular intervals until the samples were severely wilted and could no longer be measured [43,44].
2.4.2. Stem Segment Sample Collection
Stem segment samples were collected from the ear position of the plant. The leaves attached to the stem segment to be measured were wrapped in aluminum foil, placed in a foam box with ice, and kept in equilibrium to maintain the water potential balance between the leaves and stem segments. The water potential of the stem segment was estimated by measuring the water potential of the wrapped leaves. Subsequently, the sample was dehydrated indoors for different durations, with measurements taken at various intervals [43,44].
2.4.3. Leaf Stomatal Gas Exchange Parameters
The photosynthetic rate, transpiration rate, and stomatal conductance of leaves were measured using a Li-6400 Portable Photosynthetic System (Li-COR, Huntingdon Beach, CA, USA) between 9:30 a.m. and 11:30 a.m. Leaves with consistent growth, facing in the same direction, and fully expanded were selected for measurement. Three sets of data were collected for each leaf, and the average values were calculated. Three plants were measured for each treatment.
2.4.4. Hydraulic Conductance of the Stem Xylem
Xylem hydraulic conductivity and degree of embolism were measured using a XYLEM-Plus measurement system. The hydraulic conductivity was measured at intervals, and the water potential was measured simultaneously [43,45]. The formula used to calculate the percentage of hydraulic conductivity loss PLC is as follows:
If PLC = 0, indicating , the xylem is not embolized. In contrast, if PLC = 100%, K’ = 0, indicating that all vessels are embolized [18,19]. The degree of embolism is quantified using the percentage loss of hydraulic conductance (PLC).
The specific hydraulic conductivity represented by , indicates the ratio of hydraulic conductivity to the cross-sectional area of the stem segment. The formula used for calculating is as follows:
2.4.5. Simulation of Specific Conductivity Curve
The specific conductivity () of the xylem in stems of plants refers to the conductivity per unit cross-sectional area of the stem segment. It reflects the efficiency of water transport in the xylem. When the cross-sectional area of the stem segment is constant, a higher indicates greater water transport efficiency in the plant. The curve can be simulated using the Weibull function as follows:
where is the water potential in the xylem of the stem; is the absolute value of the negative xylem pressure corresponding to a PLC of 63.4%; and is the slope of the curve when the negative pressure in the xylem is equal to −b.
2.4.6. Simulation of the Embolism Vulnerability Curve
Embolism vulnerability in the xylem is generally represented by the xylem water potential () corresponding to a 50% loss in PLC. A lower indicates stronger resistance to embolism; thus, it is a crucial indicator for assessing the ability of a plant to resist embolism. The embolism vulnerability curve is simulated using the Weibull function:
2.4.7. Hydraulic Safety Margin (HSM)
The HSM for the maize leaf xylem is constructed by correlating leaf stomatal conductance () with xylem PLC, which represents the safety of water transport in the xylem. The stomatal conductance is fitted with an S-shaped curve:
where is the water potential of leaf xylem; is the water potential when stomata are closed (10%).
The simulation results obtained from the S-shaped curve provide the maximum stomatal conductance (). Stomatal conductance decreases as leaf water potential drops, and when decreases to 10% of , leaf stomata are considered to be shut. At this point, the corresponding water potential is denoted as , and represents the water potential at which the loss of leaf xylem conductivity is 50%. The difference between the water potential at stomatal closure and is used to represent the HSM of the leaf xylem. The formula used for calculating HSM is as follows:
2.5. Data Analysis
All experimental data were analyzed and sorted in Microsoft Excel 2019. SPSS 20.0 (SPSS Inc., Chicago, IL, USA) was used for statistical analysis. The Kolmogorov–Smirnov test was applied first to justify the normality of the data. If data were normally distributed, statistical analysis was performed using the one-way ANOVA test with 5% as the level of significance. If data were not normally distributed, a non-parametric test was applied. The LSD Test and Duncan’s Multiple New Range Test were used to compare differences between the maize cultivars and among different treatments. All differences were considered to be statistically significant at p < 0.05. All figures were generated using Origin Pro 2022 (Origin Lab Corp., Redmond, MA, USA).
3. Results
3.1. Xylem-Specific Hydraulic Conductivity Curve
The specific hydraulic conductivity curves () of the stem xylem for the two maize cultivars are shown in Figure 2. These curves were modeled using the Weibull function (Equation (4)), and the maximum specific conductivity () was obtained when the stem xylem water potential was 0 (Table 3). The curves of ZD 958 and DH 605 showed similar trends under different treatments, displaying an S-shaped curve, but with differences in (Figure 2). Under water stress alone, for WD958 and WD605 decreased by 8.9% and 15.4%, respectively, compared to the of the control groups CK958 and CK605. Under salt stress alone, for SS958 and SS605 decreased by 12.5% and 18.5%, respectively. Under combined water and salt stress, for WS958 and WS605 decreased by 35.7% and 33.8%, respectively. All treatments showed significant differences in compared to that in CK (p < 0.05), which indicated a notable inhibitory effect of water and salt stress on the stem xylem conductivity in maize. In all four treatments, for DH 605 was higher than that for ZD 958, with average values of 0.54 and 0.47 Kg s−1 MPa−1 m−1, respectively. DH 605 exhibited a 14.9% higher average specific conductivity than ZD 958, suggesting a higher efficiency of water transport in the stem xylem of DH 605. In the Weibull function, the parameter b represents the vulnerability of the xylem to embolism, with smaller b values indicating greater vulnerability. The b values in both maize cultivars followed the order CK > WD > SS > WS (Table 3). In all four treatments, the b values for DH 605 were smaller than those for ZD 958, with average b values of 1.04 and 1.23, respectively. DH 605 showed an 18.3% lower average b value than ZD 958 (p < 0.05), which indicated that DH 605 had a higher vulnerability to xylem embolism.
Figure 2.
Specific conductivity curves of two maize cultivarsunder different treatments.
Table 3.
The parameters of the Weibull function and in stems of DH605 and ZD958.
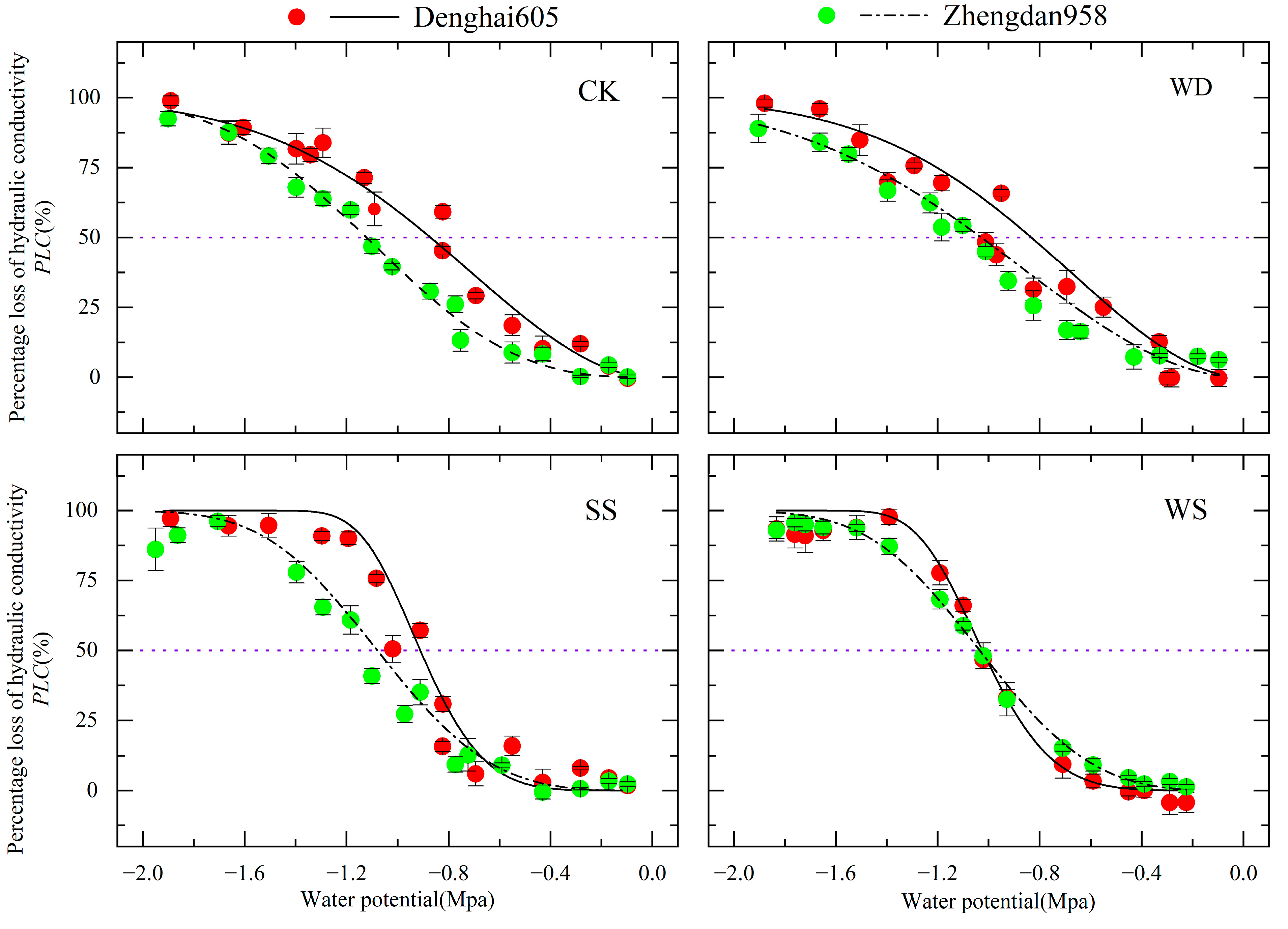
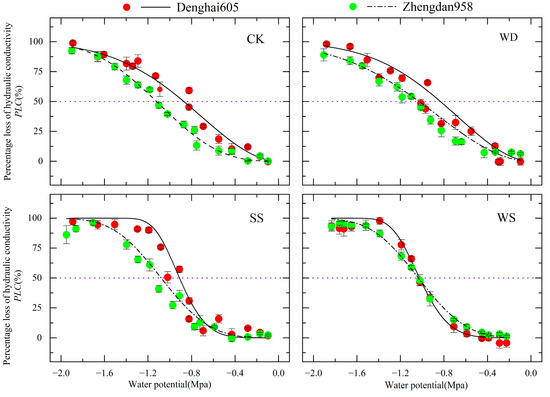
3.2. Vulnerability Curves for Stem Xylem Embolism
The vulnerability curves (VC) for stem xylem embolism in the two maize cultivars exposed to different treatments are shown in Figure 3, and the simulation results obtained using the Weibull function (Equation (5)) are presented in Table 3. The VC curves for both maize cultivars showed that the PLC increased as water potential decreased (Figure 3). The simulation results indicated that the c values for the salt treatment groups (SS and WS) were significantly higher than those for the single water treatment groups (CK and WD) (Table 3), aligning with a more pronounced trend in SS and WS treatments compared to the CK and WD treatments. represents the water potential at which significant xylem embolism occurs. A smaller indicates that significant embolism occurs at lower water potential, making embolism formation more challenging. Compared to that in the control groups (CK958 and CK605), increased by 3.4% and 4.4% in the WD958 and WD605 groups, by 7.7% and 8.9% in the SS958 and SS605 groups, and by 13.7% and 14.4% in the WS958 and WS605 groups. The differences were significant compared to the control groups (p < 0.05). The decreasing gradient in across treatments showed CK > WD > SS > WS, which indicated that water and salt stress could increase the critical water potential at which significant embolism occurred, increasing the chances of severe embolism. In all four treatment groups, for ZD 958 was lower than that for DH 605, with average values of −1.1 and −0.91 MPa, respectively. ZD 958 exhibited an average reduction of 34.1% compared to DH 605 (p < 0.05), which suggested that ZD 958 had stronger resistance to embolism.
Figure 3.
Xylem vulnerability curves () of two maize cultivars under different treatments.
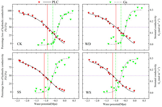
3.3. Hydraulic Safety Margins in Leaf Xylem
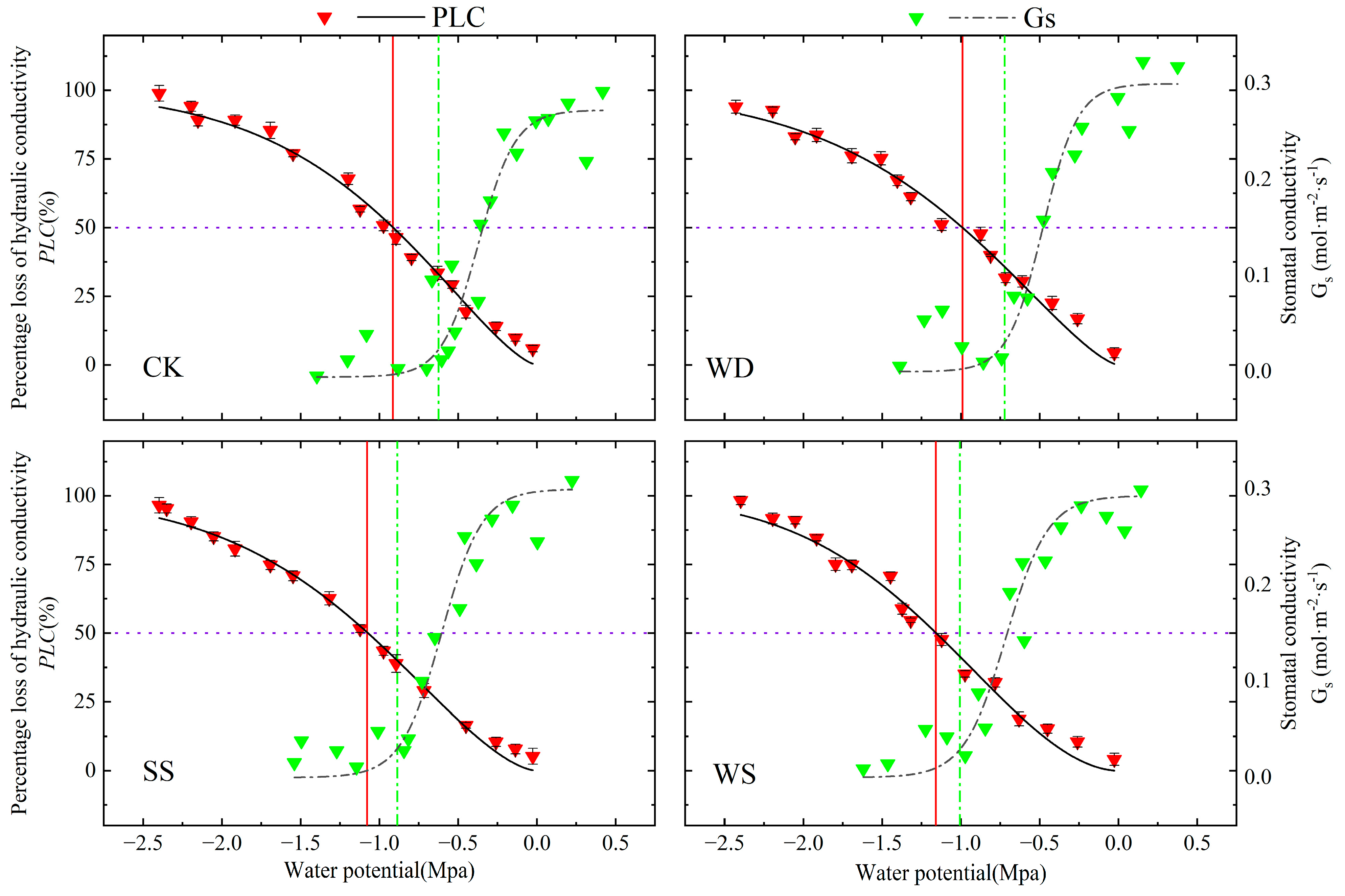
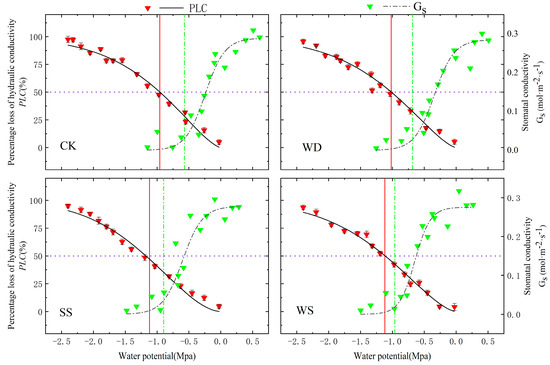
Figure 4 shows the multi-day average changes of various gas exchange parameters of DH605 and ZD958 under water and salt stress. The stress treatments had a significant inhibitory effect on the photosynthetic rate, transpiration rate, and stomatal conductance of leaves (p < 0.05). The stronger the photosynthetic performance of leaves, the more water plants consume, and the stronger the transpiration tension within the xylem, resulting in a greater leaf–root water potential difference. Under water and salt stress, various gas exchange parameters showed a gradient change of CK > WD and SS > WS, showing an overall trend of high moisture content treatment > low moisture content treatment, and non-salt treatment > salt treatment. The vulnerability curves for leaf xylem embolism and the curves depicting stomatal conductance variation with leaf water potential for DH 605 and ZD 958 are shown in Figure 5 and Figure 6, respectively. The HSM (Equation (6)) for leaf xylem is presented in Table 4. The trends in curve variations were similar for DH 605 and ZD 958 (Figure 5 and Figure 6), but the water potentials () corresponding to stomatal closure differed under different treatments. The changes in for both maize cultivars followed the order CK > WD > SS > WS (Table 4), indicating a significant increase in the water potential at which stomatal closure occurred due to water and salt stress. The same trend was observed for . Compared to CK958 and CK605, the three stress treatment groups showed reductions of 13.2%, 42.2%, and 44.6%, respectively, for the HSM in ZD 958; in DH 605, HSM decreased by 7.3%, 33.6%, and 47.4%, respectively. The reductions in the HSM for the salt treatment groups (SS and WS) were 72.9% and 77.7% higher than those for the water treatment groups (WD), which indicated that salt stress had a stronger effect on hydraulic safety than water stress. In all four treatment groups, ZD 958 consistently exhibited higher HSM than DH 605, with average values of 0.23 MPa and 0.29 MPa, respectively. ZD 958 had a 25.9% higher average HSM than DH 605, demonstrating a broader safe water transport range and greater hydraulic safety.
Figure 4.
Gas exchange parameters under water and salt stress of DH605 and ZD958. Error bars indicate standard errors (n = 3) of mean. Different letters within a treatment indicates significant differences (p < 0.05) between treatments.
Figure 5.
The curves of leaf-specific conductivity and stomatal conductance in leaf of DH605. The horizontal dotted line represents 50% PLC; The vertical solid line represents the water potential corresponding to 50% PLC (); The vertical dotted line represents the water potential when the leaf stomata are closed ().
Figure 6.
The curves of leaf-specific conductivity and stomatal conductance in leaf of ZD958.
Table 4.
The parameters of the Weibull function of maize in different treatments.
4. Discussion
Generally, a mutually restrictive trade-off relationship occurs between water transport capacity and embolism resistance in woody plants, suggesting that as the water transport efficiency of the xylem increases, the resistance to embolism decreases [46,47,48]. Whether a similar relationship exists among maize cultivars with different levels of drought resistance is not clear. To investigate the interplay between drought resistance, water transport capacity, and embolism resistance, we conducted experiments using ZD 958, which has stronger drought resistance, and DH 605, which has weaker drought resistance. We found that DH 605 had significantly higher maximum specific conductivity () than ZD 958 in all four treatment groups (p < 0.05). Contrary to expectations, the variety with stronger drought resistance showed lower xylem-specific conductivity than the variety with weaker drought resistance. This occurred probably because of the anatomic structural differences in the xylem of the two maize cultivars. The number of vessels and the diameter of these vessels were higher in DH 605 than in ZD 958 [49]. According to the Hagen–Poiseuille equation, water conductivity is proportional to the fourth power of the vessel diameter and is cumulatively related to the number of vessels [50,51]. Therefore, the water conductivity of DH 605 was higher than that of ZD 958. This finding suggested the presence of a trade-off between drought resistance and water transport capacity in maize cultivars.
Based on the “air-seeding” theory, embolism formation is primarily determined by micropores on pit membranes between vessels, and micropores with larger diameters increase the chances of embolism formation. The larger vessel diameter in DH 605 increased the probability of larger micropores on pit membranes, and they also decreased the mechanical strength of vessel walls, making it less resistant to cavitation compared to ZD 958. We confirmed this based on the b-value of the Weibull function (which represents the vulnerability of the xylem to embolism) which was smaller in DH 605 than in ZD 958 by 18.3% (on average). A lower indicates stronger resistance to embolism. In all treatments, ZD 958 showed lower values than DH 605. ZD 958 demonstrated stronger resistance to embolism, indicating a correlation between drought resistance and xylem embolism resistance. These findings matched the results obtained by Cochard [52], which indicated that cultivars with stronger drought resistance have greater resistance to cavitation and adaptability to drought. The differences in hydraulic performance between the cultivars reflected their distinct water-use strategies; DH 605 maximizes water uptake through a high-water transport capacity in the absence of embolism, whereas, ZD 958 relies on a low-water transport capacity to delay embolism occurrence.
Drought and saline growth environments significantly inhibit plant growth [53,54]. By affecting the photosynthesis of crops, they disrupt the water potential balance within the xylem [55], triggering cavitation and leading to xylem embolism, ultimately affecting the yield and quality of crops [13,56]. Therefore, water potential and PLC are the most closely related parameters related to xylem embolism. Our results indicated that PLC in both maize cultivars increased with a decrease in the water potential, following the order WS > SS > WD > CK concerning the severity of embolism. This finding suggested that water and salt stress increased the severity of xylem embolism. The Weibull simulation results for b and c values also showed the same trend for the changes in both cultivars, and the order of changes in the values was CK > WD > SS > WS. Additionally, the c values were significantly higher for the salt treatment groups (SS and WS) than for the water treatment groups (CK and WD), indicating a faster increase in PLC. This highlighted that compared to water stress, salt stress is more likely to induce cavitation, leading to more severe embolism.
Water–salt stress causes changes in the stability of the soil-plant-atmosphere continuum, affecting the water uptake process from the soil to the root system, causing a disruption of the water potential balance within the xylem, which in turn affects the photosynthetic system of the crop [57]. Atmospheric water potential affects the way stomatal opening and closing are regulated, and stomatal conductance directly reflects the state of stomatal opening and closing; this stomatal activity causes transpiration tension, and it has the most significant impact on the water potential balance in the xylem [58] and it is the gas exchange parameter most closely related to the risk assessment of xylem embolism [59]. Therefore, a combined curve of stomatal conductance () and PLC was selected to assess the risk level of imbalance in xylem tension, represented by the HSM. In this study, HSM was significantly higher in the CK group than in the other treatment groups. The HSM of the three stress treatment groups decreased by 7.3% to 47.4%, showing a gradient that followed the order CK > WD > SS > WS. The decrease in HSM was significantly higher under salt-related stress than under stress unrelated to salt, which indicated that water–salt stress significantly decreased the HSM of the xylem, leading to a substantial increase in xylem embolism risk and a severe effect on the water transport safety of maize. Additionally, other studies reported a close relationship between values and HSM, where smaller values were found to be associated with larger HSM and stronger drought resistance [9,60]. In our study, the values of Zhengdan958 were consistently smaller than those of Denghai605, and the HSM of Zhengdan958 was consistently larger than that of Denghai605, following the gradient change where smaller values were associated with larger HSM values. The average values of the HSM for the two cultivars were 0.23 MPa and 0.29 MPa, and the average HSM of Zhengdan958 was 25.9% higher than that of Denghai605. Thus, Zhengdan958 showed overall higher water transport safety and a wider hydraulic safety range.
5. Conclusions
- (1)
- In maize cultivars with varying levels of drought resistance, the drought-resistant ZD 958 showed lower water transport efficiency in the leaf xylem compared to the drought-sensitive DH 605. However, ZD 958 showed a stronger ability to resist cavitation in the xylem compared to DH 605. The drought resistance of maize cultivars showed no direct correlation with water transport efficiency but was closely associated with the ability to resist cavitation. Higher water transport efficiency might be more prone to inducing cavitation, suggesting that stronger drought resistance in a variety is associated with a greater ability to resist cavitation.
- (2)
- Water–salt stress increased the values and PLC in both the stem and leaf xylem, increasing the susceptibility of the xylem to cavitation. Overall, the severity of cavitation followed a gradient of WS > SS > WD > CK. Different stress conditions resulted in different degrees of cavitation, with salt stress inducing more severe cavitation compared to water stress. The degree of xylem cavitation was greater under salt stress.
- (3)
- During stomatal closure, the water potential () of DH 605 and ZD 958 was higher than the water potential during severe cavitation (). Maize can maintain normal water transport by closing leaf stomata to halt transpiration, ensuring that xylem potential remains higher than the potential at which severe cavitation occurs (). We found that both cultivars adopt the same hydraulic regulation strategy, but ZD 958 showed higher hydraulic safety, with a broader safe water transport range, indicating stronger adaptability to arid and saline–alkali environments.
Author Contributions
Conceptualization, methodology, S.G. and Q.W.; writing—original draft preparation, Q.W.; writing—review and editing, Q.W., S.G. and Y.L.; software, Y.H.; validation, H.L.; formal analysis, Q.W.; data curation, Q.W. and H.L.; project administration, Y.L. All authors have read and agreed to the published version of the manuscript.
Funding
This research was funded by the National Natural Science Foundation of China (No. 52179015), Key Technologies R&D and Promotion Program of Henan Province (Grant No. 212102110031).
Data Availability Statement
Data is contained within the article.
Acknowledgments
We fully appreciate the editors and all anonymous reviewers for their constructive comments on this manuscript.
Conflicts of Interest
The authors declare no conflicts of interest.
References
- Sheikh, F.A.; Dar, Z.A.; Sofi, P.A.; Lone, A.A. Recent advances in breeding for abiotic stress (drought) tolerance in maize. Int. J. Curr. Microbiol. App. Sci. 2017, 6, 2226–2243. [Google Scholar]
- Zhu, T.; Li, L.; Duan, Q.; Liu, X.; Chen, M. Progress in our understanding of plant responses to the stress of heavy metal cadmium. Plant Signal. Behav. 2021, 16, 1836884. [Google Scholar] [CrossRef] [PubMed]
- Raja, V.; Wani, U.M.; Wani, Z.A.; Jan, N.; Kottakota, C.; Reddy, M.K.; Kaul, T.; John, R. Pyramiding ascorbate–glutathione pathway in Lycopersicum esculentum confers tolerance to drought and salinity stress. Plant Cell Rep. 2022, 41, 619–637. [Google Scholar] [CrossRef] [PubMed]
- Valenzuela, F.J.; Reineke, D.; Leventini, D.; Chen, C.C.L.; Barrett-Lennard, E.G.; Colmer, T.D.; Dodd, I.C.; Shabala, S.; Brown, P.; Bazihizina, N. Plant responses to heterogeneous salinity: Agronomic relevance and research priorities. Ann. Bot. 2022, 129, 499–518. [Google Scholar] [CrossRef] [PubMed]
- Liu, M.; Paredes, P.; Shi, H.; Ramos, T.B.; Dou, X.; Dai, L.; Pereira, L.S. Impacts of a shallow saline water table on maize evapotranspiration and groundwater contribution using static water table lysimeters and the dual Kc water balance model SIMDualKc. Agric. Water Manag. 2022, 273, 107887. [Google Scholar] [CrossRef]
- Wan, W.; Liu, Z.; Li, K.; Wang, G.; Wu, H.; Wang, Q. Drought monitoring of the maize planting areas in Northeast and North China Plain. Agric. Water Manag. 2021, 245, 106636. [Google Scholar] [CrossRef]
- Jacob, V.; Choat, B.; Churchill, A.C.; Zhang, H.; Barton, C.V.M.; Krishnananthaselvan, A.; Post, A.K.; Power, S.A.; Medlyn, B.E.; Tissue, D.T. High safety margins to drought-induced hydraulic failure found in five pasture grasses. Plant Cell Environ. 2022, 45, 1631–1646. [Google Scholar] [CrossRef]
- Tavares, J.V.; Oliveira, R.S.; Mencuccini, M.; Signori-Müller, C.; Pereira, L.; Diniz, F.C.; Gilpin, M.; Zevallos, M.J.M.; Yupayccana, C.A.S.; Acosta, M.; et al. Basin-wide variation in tree hydraulic safety margins predicts the carbon balance of Amazon forests. Nature 2023, 617, 111–117. [Google Scholar] [CrossRef]
- Tan, F.-S.; Song, H.-Q.; Fu, P.-L.; Chen, Y.-J.; Siddiq, Z.; Cao, K.-F.; Zhu, S.-D. Hydraulic safety margins of co-occurring woody plants in a tropical karst forest experiencing frequent extreme droughts. Agric. Forest Meteorol. 2020, 292, 108107. [Google Scholar] [CrossRef]
- Sakurai, G.; Miklavcic, S.J. On the efficacy of water transport in leaves. A coupled xylem-phloem model of water and solute transport. Front. Plant Sci. 2021, 12, 615457. [Google Scholar] [CrossRef]
- Johnson, D.M.; Katul, G.; Domec, J.C. Catastrophic hydraulic failure and tipping points in plants. Plant Cell Environ. 2022, 45, 2231–2266. [Google Scholar] [CrossRef]
- Li, D.; Yan, M.; Liang, H.; Li, Z.; Zhang, S. Exogenous Calcium Induces Different Hydraulic Strategies in Response to Osmotic Stress in Maize Seedlings. Plants 2023, 12, 1999. [Google Scholar] [CrossRef] [PubMed]
- Gul, M.U.; Paul, A.; Chehri, A. Hydrotropism: Understanding the impact of water on plant movement and adaptation. Water 2023, 15, 567. [Google Scholar] [CrossRef]
- Ménard, D.; Blaschek, L.; Kriechbaum, K.; Lee, C.C.; Serk, H.; Zhu, C.; Lyubartsev, A.; Nuoendagula; Bacsik, Z.; Bergström, L. Plant biomechanics and resilience to environmental changes are controlled by specific lignin chemistries in each vascular cell type and morphotype. Plant Cell 2022, 34, 4877–4896. [Google Scholar] [CrossRef] [PubMed]
- Mantova, M.; Herbette, S.; Cochard, H.; Torres-Ruiz, J.M. Hydraulic failure and tree mortality: From correlation to causation. Trend Plant Sci. 2022, 27, 335–345. [Google Scholar] [CrossRef] [PubMed]
- Cao, H.; Ding, R.; Kang, S.; Du, T.; Tong, L.; Zhang, Y.; Chen, J.; Shukla, M.K. Drought, salt, and combined stresses in plants: Effects, tolerance mechanisms, and strategies. Adv. Agron. 2023, 178, 107–163. [Google Scholar]
- Schenk, H.J.; Steppe, K.; Jansen, S. Nanobubbles: A new paradigm for air-seeding in xylem. Trend Plant Sci. 2015, 20, 199–205. [Google Scholar] [CrossRef]
- Johnson, K.M.; Lucani, C.; Brodribb, T.J. In vivo monitoring of drought-induced embolism in Callitris rhomboidea trees reveals wide variation in branchlet vulnerability and high resistance to tissue death. New Phytol. 2022, 233, 207–218. [Google Scholar] [CrossRef]
- Hassani, A.; Azapagic, A.; Shokri, N. Predicting long-term dynamics of soil salinity and sodicity on a global scale. Proc. Natl. Acad. Sci. USA 2020, 117, 33017–33027. [Google Scholar] [CrossRef]
- Isayenkov, S.V.; Maathuis, F.J.M. Plant salinity stress: Many unanswered questions remain. Front. Plant Sci. 2019, 10, 80. [Google Scholar] [CrossRef]
- Li, X.; Xi, B.; Wu, X.; Choat, B.; Feng, J.; Jiang, M.; Tissue, D. Unlocking drought-induced tree mortality: Physiological mechanisms to modeling. Front. Plant Sci. 2022, 13, 835921. [Google Scholar] [CrossRef]
- Miyashita, K.; Tanakamaru, S.; T Maitani, K.K. Recovery responses of photosynthesis, transpiration, and stomatal conductance in kidney bean following drought stress. Environ. Exp. Bot. 2005, 53, 205–214. [Google Scholar] [CrossRef]
- Qi, Y.; Zhang, Q.; Hu, S.; Wang, R.; Wang, H.; Zhang, K.; Zhao, H.; Ren, S.; Yang, Y.; Zhao, F. Effects of high temperature and drought stresses on growth and yield of summer maize during grain filling in North China. Agriculture 2022, 12, 1948. [Google Scholar] [CrossRef]
- Anami, S.; De Block, M.; Machuka, J.; Van Lijsebettens, M. Molecular improvement of tropical maize for drought stress tolerance in sub-Saharan Africa. Crit. Rev. Plant Sci. 2009, 28, 16–35. [Google Scholar] [CrossRef]
- Sperry, J.S.; Tyree, M.T.; Donnelly, J.R. Vulnerability of xylem to embolism in a mangrove vs an inland species of rhizophoraceae. Physiol. Plant. 1988, 74, 276–283. [Google Scholar] [CrossRef]
- Tyree, M.T.; Zimmermann, M.H.; Tyree, M.T.; Zimmermann, M.H. Xylem dysfunction: When cohesion breaks down. In Xylem Structure and the Ascent of Sap; Springer: Berlin/Heidelberg, Germany, 2002; pp. 89–141. [Google Scholar]
- Venturas, M.D.; Sperry, J.S.; Hacke, U.G. Plant xylem hydraulics: What we understand, current research, and future challenges. J. Integr. Plant Biol. 2017, 59, 356–389. [Google Scholar] [CrossRef] [PubMed]
- Loepfe, L.; Martinez-Vilalta, J.; Piñol, J.; Mencuccini, M. The relevance of xylem network structure for plant hydraulic efficiency and safety. J. Theor. Biol. 2007, 247, 788–803. [Google Scholar] [CrossRef]
- Lens, F.; Gleason, S.M.; Bortolami, G.; Brodersen, C.; Delzon, S.; Jansen, S. Functional xylem characteristics associated with drought-induced embolism in angiosperms. New Phytol. 2022, 236, 2019–2036. [Google Scholar] [CrossRef]
- Creek, D.; Lamarque, L.J.; Torres-Ruiz, J.M.; Parise, C.; Burlett, R.; Tissue, D.T.; Delzon, S. Xylem embolism in leaves does not occur with open stomata: Evidence from direct observations using the optical visualization technique. J. Exp. Bot. 2020, 71, 1151–1159. [Google Scholar] [CrossRef]
- Yan, C.-L.; Ni, M.-Y.; Cao, K.-F.; Zhu, S.-D. Leaf hydraulic safety margin and safety–efficiency trade-off across angiosperm woody species. Biol. Lett. 2020, 16, 20200456. [Google Scholar] [CrossRef]
- Chen, Z.; Li, S.; Wan, X.; Liu, S. Strategies of tree species to adapt to drought from leaf stomatal regulation and stem embolism resistance to root properties. Front. Plant Sci. 2022, 13, 926535. [Google Scholar] [CrossRef] [PubMed]
- Mittler, R. Abiotic stress, the field environment and stress combination. Trend Plant Sci. 2006, 11, 15–19. [Google Scholar] [CrossRef] [PubMed]
- Suzuki, N.; Rivero, R.M.; Shulaev, V.; Blumwald, E.; Mittler, R. Abiotic and biotic stress combinations. New Phytol. 2014, 203, 32–43. [Google Scholar] [CrossRef] [PubMed]
- Zhang, Q.W.; Zhu, S.D.; Jansen, S.; Cao, K.F. Topography strongly affects drought stress and xylem embolism resistance in woody plants from a karst forest in Southwest China. Funct. Ecol. 2021, 35, 566–577. [Google Scholar] [CrossRef]
- Chen, Y.J.; Maenpuen, P.; Zhang, Y.J.; Barai, K.; Katabuchi, M.; Gao, H.; Kaewkamol, S.; Tao, L.B.; Zhang, J.L. Quantifying vulnerability to embolism in tropical trees and lianas using five methods: Can discrepancies be explained by xylem structural traits? New Phytol. 2021, 229, 805–819. [Google Scholar] [CrossRef] [PubMed]
- Wu, M.; Zhang, Y.; Oya, T.; Marcati, C.R.; Pereira, L.; Jansen, S. Root xylem in three woody angiosperm species is not more vulnerable to embolism than stem xylem. Plant Soil 2020, 450, 479–495. [Google Scholar] [CrossRef]
- Johnson, K.M.; Brodersen, C.; Carins-Murphy, M.R.; Choat, B.; Brodribb, T.J. Xylem embolism spreads by single-conduit events in three dry forest angiosperm stems. Plant Physiol. 2020, 184, 212–222. [Google Scholar] [CrossRef]
- Chen, Z.; Zhu, S.; Zhang, Y.; Luan, J.; Li, S.; Sun, P.; Wan, X.; Liu, S. Tradeoff between storage capacity and embolism resistance in the xylem of temperate broadleaf tree species. Tree Physiol. 2020, 40, 1029–1042. [Google Scholar] [CrossRef]
- Mohammadi Alagoz, S.; Zahra, N.; Hajiaghaei Kamrani, M.; Asgari Lajayer, B.; Nobaharan, K.; Astatkie, T.; Siddique, K.H.M.; Farooq, M. Role of root hydraulics in plant drought tolerance. J. Plant Growth Regul. 2023, 42, 6228–6243. [Google Scholar] [CrossRef]
- Carpýcý, E.B.; Celýk, N.; Bayram, G. Effects of salt stress on germination of some maize (Zea mays L.) cultivars. Afr. J. Biotechnol. 2009, 8, 4918–4922. [Google Scholar]
- Olayinka, B.U.; Abdulkareem, K.A.; Abdulbaki, A.S.; Alsamadany, H.; Alzahrani, Y.; Isiaka, K.; Ayinla, A.; Kolawole, O.S.; Idowu, A.O.; Odudu, F.U. Effects of priming on germination and biochemical attributes of three maize lines under nacl stress condition. Bioagro 2022, 34, 233–244. [Google Scholar] [CrossRef]
- Yu, J.R.; Wan, C.Y.; Zhu, S.D. Hydraulic vulnerability segmentation in woody plant species from tropical and subtropical karst forests. J. Plant Ecol. 2023, 47, 1576–1584. [Google Scholar]
- Gleason, S.M.; Wiggans, D.R.; Bliss, C.A.; Comas, L.H.; Cooper, M.; DeJonge, K.C.; Young, J.S.; Zhang, H. Coordinated decline in photosynthesis and hydraulic conductance during drought stress in Zea mays. Flora 2017, 227, 1–9. [Google Scholar] [CrossRef]
- Liu, J.; Kang, S.; Davies, W.J.; Ding, R. Elevated [CO2] alleviates the impacts of water deficit on xylem anatomy and hydraulic properties of maize stems. Plant Cell Environ. 2020, 43, 563–578. [Google Scholar] [CrossRef]
- Tyree, M.T.; Davis, S.D.; Cochard, H. Biophysical perspectives of xylem evolution: Is there a tradeoff of hydraulic effichÎncy for vulnerability to dysfunction? IAWA J. 1994, 15, 335–360. [Google Scholar] [CrossRef]
- De Guzman, M.E.; Santiago, L.S.; Schnitzer, S.A.; Álvarez-Cansino, L. Trade-offs between water transport capacity and drought resistance in neotropical canopy liana and tree species. Tree Physiol. 2017, 37, 1404–1414. [Google Scholar] [CrossRef] [PubMed]
- Weithmann, G.; Link, R.M.; Banzragch, B.E.; Würzberg, L.; Leuschner, C.; Schuldt, B. Soil water availability and branch age explain variability in xylem safety of European beech in Central Europe. Oecologia 2022, 198, 629–644. [Google Scholar] [CrossRef]
- Zhao, L.M. Hydarulic Architecture Traits in Maize and Sorghum of Differing Drought Resistance. Master’s Thesis, Northwest A&F University, Xianyang, China, 2012. [Google Scholar]
- Ma, C.; Zhang, X.; Yao, Q.; Zhou, B.; Wang, Q.; Shao, M. Comparison of Xylem Anatomy and Hydraulic Properties in Black Locust Trees at Two Growth Stages in Semiarid China. Forests 2024, 15, 116. [Google Scholar] [CrossRef]
- Zhang, Y.J.; Hochberg, U.; Rockwell, F.E.; Ponomarenko, A.; Chen, Y.J.; Manandhar, A.; Graham, A.C.; Holbrook, N.M. Xylem conduit deformation across vascular plants: An evolutionary spandrel or protective valve? New Phytol. 2023, 237, 1242–1255. [Google Scholar] [CrossRef]
- Cochard, H.; Coll, L.; Le Roux, X.; Ameglio, T. Unraveling the effects of plant hydraulics on stomatal closure during water stress in walnut. Plant Physiol. 2002, 128, 282–290. [Google Scholar] [CrossRef]
- Alam, H.; Khattak, J.Z.K.; Ksiksi, T.S.; Saleem, M.H.; Fahad, S.; Sohail, H.; Ali, Q.; Zamin, M.; El-Esawi, M.A.; Saud, S. Negative impact of long-term exposure of salinity and drought stress on native Tetraena mandavillei L. Physiol. Plant. 2021, 172, 1336–1351. [Google Scholar] [CrossRef] [PubMed]
- Abdelaal, K.; AlKahtani, M.; Attia, K.; Hafez, Y.; Király, L.; Künstler, A. The role of plant growth-promoting bacteria in alleviating the adverse effects of drought on plants. Biology 2021, 10, 520. [Google Scholar] [CrossRef] [PubMed]
- Goto, K.; Yabuta, S.; Ssenyonga, P.; Tamaru, S.; Sakagami, J.-I. Response of leaf water potential, stomatal conductance and chlorophyll content under different levels of soil water, air vapor pressure deficit and solar radiation in chili pepper (Capsicum chinense). Sci. Hortic. 2021, 281, 109943. [Google Scholar] [CrossRef]
- Kamatchi, K.A.M.; Anitha, K.; Kumar, K.A.; Senthil, A.; Kalarani, M.K.; Djanaguiraman, M. Impacts of combined drought and high-temperature stress on growth, physiology, and yield of crops. Plant Physiol. Rep. 2023, 1–9. [Google Scholar] [CrossRef]
- Xue, F.; Liu, W.; Cao, H.; Song, L.; Ji, S.; Tong, L.; Ding, R. Stomatal conductance of tomato leaves is regulated by both abscisic acid and leaf water potential under combined water and salt stress. Physiol. Plant. 2021, 172, 2070–2078. [Google Scholar] [CrossRef]
- Knipfer, T.; Bambach, N.; Hernandez, M.I.; Bartlett, M.K.; Sinclair, G.; Duong, F.; Kluepfel, D.A.; McElrone, A.J. Predicting stomatal closure and turgor loss in woody plants using predawn and midday water potential. Plant Physiol. 2020, 184, 881–894. [Google Scholar] [CrossRef] [PubMed]
- Fan, D.-Y.; Dang, Q.-L.; Xu, C.-Y.; Jiang, C.-D.; Zhang, W.-F.; Xu, X.-W.; Yang, X.-F.; Zhang, S.-R. Stomatal sensitivity to vapor pressure deficit and the loss of hydraulic conductivity are coordinated in Populus euphratica, a desert phreatophyte species. Front. Plant Sci. 2020, 11, 1248. [Google Scholar] [CrossRef]
- Dayer, S.; Herrera, J.C.; Dai, Z.; Burlett, R.; Lamarque, L.J.; Delzon, S.; Bortolami, G.; Cochard, H.; Gambetta, G.A. The sequence and thresholds of leaf hydraulic traits underlying grapevine varietal differences in drought tolerance. J. Exp. Bot. 2020, 71, 4333–4344. [Google Scholar] [CrossRef]
Disclaimer/Publisher’s Note: The statements, opinions and data contained in all publications are solely those of the individual author(s) and contributor(s) and not of MDPI and/or the editor(s). MDPI and/or the editor(s) disclaim responsibility for any injury to people or property resulting from any ideas, methods, instructions or products referred to in the content. |
© 2024 by the authors. Licensee MDPI, Basel, Switzerland. This article is an open access article distributed under the terms and conditions of the Creative Commons Attribution (CC BY) license (https://creativecommons.org/licenses/by/4.0/).





