Assessing the Sustainability of Miscanthus and Willow as Global Bioenergy Crops: Current and Future Climate Conditions (Part 1)
Abstract
1. Introduction
2. Materials and Methods
2.1. Soil Data
2.2. Crop Data
2.3. Climate Data
2.4. MiscanFor/SalixFor Models
2.5. Carbon Emissions Intensity (CI)
2.6. Energy Use Efficiency (EUE)
3. Results
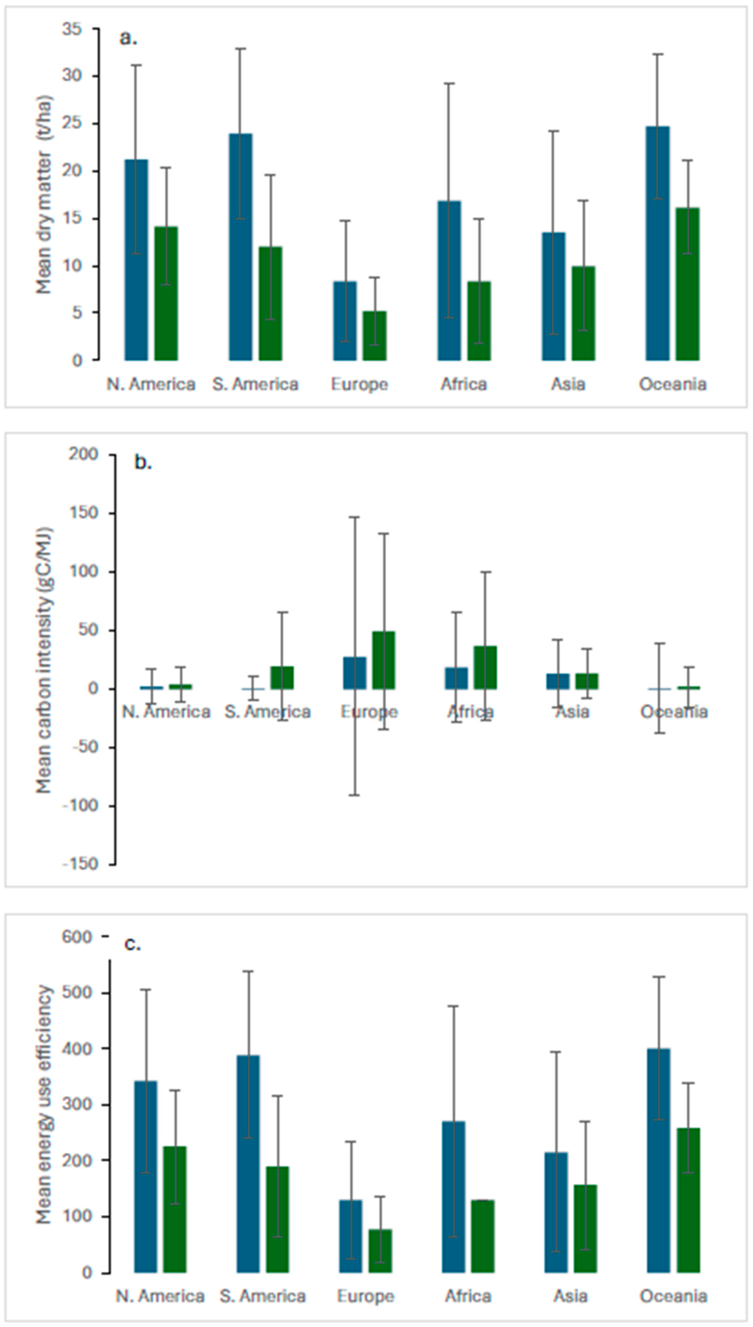
3.1. Biomass Productivity
3.1.1. Biomass Productivity for Miscanthus and Willow Under Current Climate Conditions
3.1.2. Biomass Productivity for Miscanthus and Willow Under A1FI and B1 Climate Scenarios
3.2. Carbon Emissions Intensity (CI)
3.2.1. Carbon Emissions Intensity for Miscanthus and Willow Under Current Climate Conditions
3.2.2. Carbon Emissions Intensity for Miscanthus and Willow Under A1FI and B1 Climate Scenarios
3.3. Energy Use Efficiency (EUE)
3.3.1. Energy Use Efficiency for Miscanthus and Willow Under Current Climate Conditions
3.3.2. Energy Use Efficiency for Miscanthus and Willow Under A1FI and B1 Climate Scenarios
4. Discussion
4.1. Biomass Productivity
4.1.1. Biomass Productivity of Miscanthus and Willow Under Current Climate Conditions
4.1.2. Biomass Productivity of Miscanthus and Willow Under Future Climate Conditions
4.2. Carbon Emissions Intensity (CI)
4.2.1. Carbon Emissions Intensity for Miscanthus and Willow Under Current Climate Conditions
4.2.2. Carbon Emissions Intensity for Miscanthus and Willow Under Future Climate Conditions
4.3. Energy Use Efficiency (EUE)
4.3.1. Energy Use Efficiency for Miscanthus and Willow Under Current Climate Conditions
4.3.2. Energy Use Efficiency for Miscanthus and Willow Under Future Climate Conditions
5. Conclusions
Author Contributions
Funding
Data Availability Statement
Conflicts of Interest
References
- Karp, A.; Shield, I. Bioenergy from plants and the sustainable yield challenge. New Phytol. 2008, 179, 15–32. [Google Scholar] [CrossRef] [PubMed]
- Clifton-Brown, J.; Hastings, A.; Mos, M.; McCalmont, J.P.; Ashman, C.; Awty-Carroll, D.; Cerazy, J.; Chiang, Y.-C.; Cosentino, S.; Cracroft-Eley, W.; et al. Progress in upscaling Miscanthus biomass production for the European bioeconomy with seed-based hybrids. Glob. Chang. Biol. Bioenergy 2017, 9, 6–17. [Google Scholar] [CrossRef]
- Clifton-Brown, J.; Harfouche, A.; Casler, M.D.; Dylan Jones, H.; Macalpine, W.J.; Murphy-Bokern, D.; Smart, L.B.; Adler, A.; Ashman, C.; Awty-Carroll, D.; et al. Breeding progress in the perennial biomass crop Miscanthus. Glob. Chang. Biol. Bioenergy 2018, 9, 205–214. [Google Scholar]
- Clifton-Brown, J.; Alexopoulou, E.; Bauer, A.; Meyer, L.; Kiesel, A. Perennial biomass cropping and use: Shaping the policy ecosystem in European countries. Glob. Chang. Biol. Bioenergy 2023, 15, 538–558. [Google Scholar] [CrossRef]
- Heaton, E.A.; Flavell, R.B.; Mascia, P.N.; Thomas, S.R.; Dohleman, F.G.; Long, S.P. Herbaceous energy crop development: Recent progress and future prospects. Curr. Opin. Biotechnol. 2008, 19, 202–209. [Google Scholar] [CrossRef]
- Nunn, M.; Karp, A.; Clifton-Brown, J. Environmental influences on the growing season duration and ripening of diverse Miscanthus germplasm grown in six countries. Front. Plant Sci. 2017, 8, 907. [Google Scholar] [CrossRef] [PubMed]
- Olena, N.; Sokolov, I.; Zubkov, S. Yield performance and stability of Miscanthus giganteus in a trial across Ukraine. Agric. For. Meteorol. 2017, 247, 125–134. [Google Scholar]
- Clifton-Brown, J.; Breuer, J.; Jones, M.B. Carbon mitigation by the energy crop, Miscanthus. Glob. Chang. Biol. 2007, 13, 2296–2307. [Google Scholar] [CrossRef]
- Valentine, J.; Smith, P.; Upton, J. The role of biomass in renewable energy and its implications for land use. J. Sustain. Agric. 2011, 35, 503–516. [Google Scholar]
- Don, A.; Osborne, B.; Hastings, A.; Skiba, U.; Carter, M.S.; Drewer, J.; Flessa, H.; Freibauer, A.; Hyvonen, N.; Jones, M.B.; et al. Land-use change to bioenergy production in Europe: Implications for the greenhouse gas balance and soil carbon. Glob. Chang. Biol. Bioenergy 2012, 4, 372–391. [Google Scholar] [CrossRef]
- Aylott, M.J.; Casella, E.; Tubby, I.; Street, N.R.; Smith, P.; Taylor, G. Yield and spatial supply of bioenergy poplar and willow short-rotation coppice in the UK. New Phytol. 2008, 178, 358–370. [Google Scholar] [CrossRef] [PubMed]
- Dimitriou, I.; Aronsson, P. Willow short-rotation coppice for energy and environmental benefits in agriculture. For. Ecol. Manag. 2011, 261, 193–203. [Google Scholar]
- Hastings, A.; Mos, M.; Yesufu, J.A.; McCalmont, J.; Schwarz, K.; Shafei, R.; Ashman, C.; Scheule, H.; Concentini, S.; Scallici, G.; et al. Economic and Environmental Assessment of Seed and Rhizome Propagated Miscanthus in the UK. Front. Plant Sci. 2017, 8, 1058. [Google Scholar] [CrossRef]
- Intergovernmental Panel on Climate Change (IPCC). Climate Change 2021: The Physical Science Basis. Contribution of Working Group I to the Sixth Assessment Report of the Intergovernmental Panel on Climate Change; Masson-Delmotte, V., Zhai, P., Pirani, A., Connors, S.L., Péan, C., Berger, S., Caud, N., Chen, Y., Goldfarb, L., Gomis, M.I., et al., Eds.; Cambridge University Press: Cambridge, UK, 2021. [Google Scholar]
- Alexander, P.; Moran, D.; Smith, P.; Hastings, A.; Wang, S.; Sunnenberg, G.; Lovett, A.; Tallis, M.J.; Casella, E.; Taylor, G.; et al. Estimating UK perennial energy crop supply using farm scale models with spatially disaggregated data. Glob. Chang. Biol. Bioenergy 2014, 6, 142–155. [Google Scholar] [CrossRef]
- von Hellfeld, R.; Hastings, A.; Kam, J.; Rowe, R.; Clifton-Brown, J.; Donnison, I.; Shepherd, A. Expanding the Miscanthus market in the UK: Growers in profile and experience, benefits and drawbacks of the bioenergy crop. Glob. Chang. Biol. Bioenergy 2022, 14, 1205–1218. [Google Scholar] [CrossRef] [PubMed]
- Sims, R.E.H.; Mabee, W.; Saddler, J.N.; Taylor, M. An overview of second-generation biofuel technologies. Int. Energy Agen. Bioen. 2006, 16, 591–608. [Google Scholar] [CrossRef] [PubMed]
- Hastings, A.; Clifton-Brown, J.; Wattenbach, M.; Mitchell, C.P.; Stampfl, P.; Smith, P. Future energy potential of Miscanthus in Europe. GCB Bioenergy 2009, 1, 180–196. [Google Scholar] [CrossRef]
- Hastings, A.; Clifton-Brown, J.; Lewandowski, I. The potential of Miscanthus as a sustainable energy crop. Biofuels Bioprod. Biorefin. 2014, 8, 123–134. [Google Scholar]
- Pogson, M.; Richards, M.; Dondini, M.; Jones, E.; Hastings, A.; Smith, P. ELUM: User-friendly spatial modelling tool predicts net soil greenhouse gas balance of bioenergy land-use change in UK up to 2050. Environ. Model. Softw. 2016, 84, 458–466. [Google Scholar] [CrossRef]
- Richards, M.; Pogson, M.; Dondini, M.; Jones, E.O.; Hastings, A.; Henner, D.; Tallis, M.; Casella, E.; Matthews, R.; Henshall, P.; et al. High-resolution spatial modelling of greenhouse gas emissions from land-use change to energy crops in the United Kingdom. Glob. Chang. Biol. Bioenergy 2017, 9, 627–644. [Google Scholar] [CrossRef]
- Shepherd, J.G.; Niero, M.; Hastings, A. Evaluating Miscanthus and willow short-rotation coppice as biomass feedstocks under changing climates. Agric. Syst. 2020, 184, 102924. [Google Scholar]
- Zang, X.; Heaton, E.; Wang, G. Modeling the impact of climate change on biomass yield of Miscanthus and willow in China. Agric. For. Meteorol. 2020, 284, 107873. [Google Scholar]
- Littleton, E.; Hastings, A.; Clifton-Brown, J. Long-term climate resilience of Miscanthus: Implications for bioenergy policy and feedstock security in the UK. Glob. Chang. Biol. Bioenergy 2021, 13, 232–245. [Google Scholar]
- European Environment Agency (EEA). CORINE Land Cover 2000 (CLC2000): Technical Guidelines; EEA: Copenhagen, Denmark, 2002; Available online: https://www.eea.europa.eu (accessed on 1 May 2024).
- Mitchell, T.D.; Carter, T.R.; Jones, P.D.; Hulme, M. A Comprehensive Set of High-Resolution Grids of Monthly Climate for Europe and the Globe: The Observed Record (1901–2002) and 16 Scenarios (2001–2100); Working Paper 55; Tyndall Centre for Climate Change Research: Norwich, UK, 2004. [Google Scholar]
- Nakićenović, N.; Alcamo, J.; Davis, G.; de Vries, B.; Fenhann, J.; Gaffin, S.; Gregory, K.; Grubler, A.; Jung, T.Y.; Kram, T.; et al. Special Report on Emission Scenarios: A Special Report of Working Group III of the Intergovernmental Panel on Climate Change; Cambridge University Press: Cambridge, UK, 2000. [Google Scholar]
- Hastings, A.; Clifton-Brown, J.; Wattenbach, M.; Mitchell, C.P.; Stampfl, P.; Smith, P. The development of MISCANFOR, a new Miscanthus crop growth model: Towards more robust yield predictions under different climatic and soil conditions. GCB Bioenergy 2009, 1, 154–170. [Google Scholar] [CrossRef]
- Clifton-Brown, J.C.; Lewandowski, I. Water use efficiency and biomass partitioning of three different Miscanthus genotypes with limited and unlimited water supply. Ann. Bot. 2000, 86, 191–200. [Google Scholar] [CrossRef]
- Shepherd, A.; Awty-Carroll, D.; Kam, J.; Ashman, C.; Magenau, E.; Martani, E.; Kontek, M.; Ferrarini, A.; Amaducci, S.; Davey, C.; et al. Novel Miscanthus hybrids-Modelling productivity on marginal land in Europe using dynamics of canopy development determined by light interception. Glob. Chang. Biol. Bioenergy 2023, 15, 444–461. [Google Scholar] [CrossRef]
- Jensen, E.; Squance, M.; Thomas-Jones, S.; Farrar, K.; Huang, L.; Kind, R.; Clifton-Brown, J.; Donnison, I.; Hastings, A. Understanding the value of hydrothermal time on flowering in the Miscanthus species. Asp. Appl. Biol. 2011, 112, 181–189. [Google Scholar]
- Jensen, E.; Farrar, K.; Thomas-Jones, S.; Hastings, A.; Donnison, I.; Clifton-Brown, J. Characterisation of flowering time diversity in Miscanthus species. Glob. Chang. Biol. Bioenergy 2011, 3, 387–400. [Google Scholar] [CrossRef]
- Clifton-Brown, J.; Robson, P.; Sanderson, R.; Hastings, A.; Valentine, J.; Donnison, I. Thermal requirements for seed germination in Miscanthus compared with Switchgrass (Panicum virgatum), Reed canary grass (Phalaris arundinaceae), Maize (Zea mays), and rye grass (Lolium perenne). Glob. Chang. Biol. Bioenergy 2011, 3, 375–386. [Google Scholar] [CrossRef]
- Searle, S.Y.; Malins, C.J. Will energy crop yields meet expectations? Biomass Bioenergy 2014, 65, 3–12. [Google Scholar] [CrossRef]
- Lewandowski, I.; Scurlock, J.M.O.; Lindvall, E.; Christou, M. The development and current status of perennial rhizomatous grasses as energy crops in the US and Europe. Biomass Bioenergy 2003, 25, 335–361. [Google Scholar] [CrossRef]
- Fischer, G.; Hizsnyik, E.; Prieler, S.; van Velthuizen, H. Assessment of Biomass Potentials for Biofuel Feedstock Production in Europe: Methodology and Results; International Institute for Applied Systems Analysis: Laxenburg, Austria, 2010. [Google Scholar]
- Xu, Y.; Moore, N.; Thompson, J. Climate impacts on biomass productivity in temperate regions: A case study in Northern Europe. J. Biomass Res. 2020, 12, 240–258. [Google Scholar]
- Smith, P.; Bustamante, M.; Ahammad, H.; Clark, H.; Dong, H.; Elsiddig, E.A.; Haberl, H.; Harper, R.; House, J.; Jafari, M.; et al. Agriculture, Forestry and Other Land Use (AFOLU). In Climate Change 2019: Impacts, Adaptation, and Vulnerability; Cambridge University Press: Cambridge, UK, 2019. [Google Scholar]
- Johnson, F.; Evans, J.; Carpenter, S. Water scarcity and agriculture: Adaptation strategies under climate change scenarios. Agric. Water Manag. 2021, 255, 107015. [Google Scholar]
- Thornley, J.H.M.; Cannell, M.G.R. Willow productivity in tropical climates: Modelling responses to climate change. Tree Physiol. 2018, 28, 385–396. [Google Scholar]
- Williams, M.; Jones, C.D.; Roberts, D.L. Challenges for high-latitude biomass production under climate change. Environ. Res. Lett. 2022, 17, 064018. [Google Scholar]
- Jenkins, B.M.; Singhania, A.; Sutter, J. Biomass power generation in the United States: A survey of the past, present, and future. Renew. Sustain. Energy Rev. 2017, 80, 160–179. [Google Scholar]
- Hill, J.; Nelson, E.; Tilman, D.; Polasky, S.; Tiffany, D. Environmental, economic, and energetic costs and benefits of biodiesel and ethanol biofuels. Proc. Natl. Acad. Sci. USA 2006, 103, 11206–11210. [Google Scholar] [CrossRef]
- Fritsche, U.R.; de Wit, M.; van den Broek, R. Sustainability of Bioenergy: Technical Support Document for the Evaluation of Bioenergy Policies; European Commission: Brussels, Belgium, 2015. [Google Scholar]
- Fargione, J.; Hill, J.; Tilman, D.; Polasky, S.; Hawthorne, P. Land clearing and the biofuel carbon debt. Science 2008, 319, 1235–1238. [Google Scholar] [CrossRef] [PubMed]
- Searchinger, T.; Heimlich, R.; Houghton, R.A.; Dong, F.; Elobeid, A.; Scoville, J. Use of US croplands for biofuels increases greenhouse gases through emissions from land-use change. Science 2008, 319, 1238–1240. [Google Scholar] [CrossRef]
- DeFries, R.S.; Asner, G.P.; Brady, M. A land cover change and carbon flux model for the Brazilian Amazon. Glob. Chang. Biol. 2004, 10, 825–837. [Google Scholar]
- Johnson, H.; Kim, J.; Lee, M. Impact of Climate Change on Carbon Intensity in Agroecosystems. Clim. Dyn. 2022, 58, 78–92. [Google Scholar]
- Brown, T.; Jones, L.; Patel, S. Future Scenarios of Carbon Intensity for Bioenergy Crops. Glob. Chang. Biol. 2023, 29, 1120–1134. [Google Scholar]
- Lee, M.; Zhang, Y.; Smith, K. Mitigation Strategies and Their Effect on Carbon Intensity in a Lower-Emission Future. J. Environ. Manag. 2024, 281, 123–134. [Google Scholar]
- Adams, R.; Smith, K.; Zhang, Y. Regional Variability in Carbon Intensity and Its Implications for Sustainable Agriculture. Environ. Sci. Policy 2023, 132, 25–39. [Google Scholar]
- Zhang, Y.; Johnson, H.; Brown, T. Adapting Agricultural Practices to Reduce Carbon Intensity. Sustainability 2024, 16, 978–992. [Google Scholar]
- Rowe, R.L.; Street, N.R.; Taylor, G. Identifying potential environmental impacts of large-scale deployment of dedicated bioenergy crops in the UK. Renew. Sustain. Energy Rev. 2009, 13, 271–290. [Google Scholar] [CrossRef]
- Dohleman, F.G.; Heaton, E.A.; Long, S.P. Miscanthus × giganteus yields and the impact of climate change on its productivity. Glob. Chang. Biol. 2009, 15, 897–907. [Google Scholar]
- McCalmont, J.P.; Hastings, A.; McNamara, N.P.; Richter, G.M.; Robson, P.; Donnison, I.S.; Clifton-Brown, J. Environmental costs and benefits of growing Miscanthus for bioenergy in the UK. GCB Bioenergy 2017, 9, 489–507. [Google Scholar] [CrossRef] [PubMed]
- Paulus, S.; Maloney, M. Adaptability of Willow and Miscanthus under changing climatic conditions. J. Biomass Bioenergy 2013, 54, 62–70. [Google Scholar]
- Williams, P. Energy Use in Agriculture: Renewable vs. Fossil Fuels. Energy Agric. Rev. 2018, 12, 99–110. [Google Scholar] [CrossRef]













| Miscanthus | |||||||
|---|---|---|---|---|---|---|---|
| Indicator | Scenario | Minimum | Maximum | Mean | Median | SD | Changes Due to Climate Change (%) |
| DM | Baseline | 0.02 | 45.99 | 19.92 | 24.20 | 10.80 | - |
| A1F1 | 0.04 | 42.96 | 17.03 | 18.77 | 11.14 | −15 | |
| B1 | 0.05 | 47.90 | 18.24 | 21.38 | 11.47 | −8 | |
| CI | Baseline | −5.50 | 5607.38 | 7.84 | −1.99 | 52.10 | - |
| A1F1 | −5.56 | 3339.75 | 17.12 | −0.31 | 51.77 | 118 | |
| B1 | −5.55 | 3079.89 | 16.72 | −1.05 | 56.87 | 113 | |
| EUE | Baseline | 0.05 | 21.29 | 14.45 | 17.45 | 5.61 | - |
| A1F1 | 0.07 | 20.93 | 13.01 | 15.72 | 6.05 | −10 | |
| B1 | 0.09 | 21.50 | 13.48 | 16.61 | 6.13 | −7 | |
| Willow | |||||||
| DM | Baseline | 0.07 | 29.98 | 10.44 | 10.44 | 6.97 | - |
| A1F1 | 0.21 | 28.02 | 9.15 | 8.09 | 6.74 | −12 | |
| B1 | 0.02 | 31.03 | 9.66 | 8.79 | 6.96 | −7 | |
| CI | Baseline | −5.29 | 1445.77 | 25.56 | 4.81 | 57.51 | - |
| A1F1 | −5.32 | 1885.43 | 41.91 | 8.54 | 95.54 | 64 | |
| B1 | −5.32 | 8442.78 | 40.23 | 7.34 | 98.28 | 57 | |
| EUE | Baseline | 0.12 | 18.83 | 10.22 | 11.15 | 5.07 | - |
| A1F1 | 0.40 | 18.40 | 9.31 | 9.75 | 5.10 | −9 | |
| B1 | 0.03 | 19.05 | 9.62 | 10.27 | 5.19 | −6 | |
Disclaimer/Publisher’s Note: The statements, opinions and data contained in all publications are solely those of the individual author(s) and contributor(s) and not of MDPI and/or the editor(s). MDPI and/or the editor(s) disclaim responsibility for any injury to people or property resulting from any ideas, methods, instructions or products referred to in the content. |
© 2024 by the authors. Licensee MDPI, Basel, Switzerland. This article is an open access article distributed under the terms and conditions of the Creative Commons Attribution (CC BY) license (https://creativecommons.org/licenses/by/4.0/).
Share and Cite
Abdalla, M.; Hastings, A.; Campbell, G.; Chen, H.; Smith, P. Assessing the Sustainability of Miscanthus and Willow as Global Bioenergy Crops: Current and Future Climate Conditions (Part 1). Agronomy 2024, 14, 3020. https://doi.org/10.3390/agronomy14123020
Abdalla M, Hastings A, Campbell G, Chen H, Smith P. Assessing the Sustainability of Miscanthus and Willow as Global Bioenergy Crops: Current and Future Climate Conditions (Part 1). Agronomy. 2024; 14(12):3020. https://doi.org/10.3390/agronomy14123020
Chicago/Turabian StyleAbdalla, Mohamed, Astley Hastings, Grant Campbell, Heyu Chen, and Pete Smith. 2024. "Assessing the Sustainability of Miscanthus and Willow as Global Bioenergy Crops: Current and Future Climate Conditions (Part 1)" Agronomy 14, no. 12: 3020. https://doi.org/10.3390/agronomy14123020
APA StyleAbdalla, M., Hastings, A., Campbell, G., Chen, H., & Smith, P. (2024). Assessing the Sustainability of Miscanthus and Willow as Global Bioenergy Crops: Current and Future Climate Conditions (Part 1). Agronomy, 14(12), 3020. https://doi.org/10.3390/agronomy14123020

