Next Article in Journal
Water Infiltration and Evaporation Process with ATP Addition in Newly Reclaimed Soil
Next Article in Special Issue
Environmental Constraints Mitigation Directly Drove the Diversifications of Fungal Community and Functional Profile in Amended Coastal Salt-Affected Soils
Previous Article in Journal
Influence of Population Biomass Accumulation During Different Growth Periods on Agronomic Traits and Cotton Yield
Previous Article in Special Issue
Isolation, Characterization, and Optimization of Culture Medium for Local Straw-Degrading Bacteria from Northeastern Black Soils of China
 
 
Font Type:
Arial Georgia Verdana
Font Size:
Aa Aa Aa
Line Spacing:
Column Width:
Background:
Article

Arbuscular Mycorrhizae Affect Soil Nitrogen Fertilizer Utilization, Denitrification Functional Genes, and N2O Emissions During Biochar Amendment

1
College of Agriculture, Henan University of Science and Technology, Luoyang 471023, China
2
Luoyang Seed Industry Development Center, Luoyang 471023, China
*
Author to whom correspondence should be addressed.
Agronomy 2024, 14(11), 2627; https://doi.org/10.3390/agronomy14112627
Submission received: 8 October 2024 / Revised: 28 October 2024 / Accepted: 4 November 2024 / Published: 7 November 2024

Abstract

Arbuscular mycorrhizal fungi (AMF) can form symbionts with plant roots, acquire soil nitrogen, and affect nitrous oxide (N2O) production. Biochar, as a soil additive for the management of agricultural soil, affects soil nitrogen (N) utilization and plant growth. However, how AMF regulates soil N unitization, the denitrification process, and N2O emissions in plant–soil systems remains largely unknown, particularly under the biochar amendment. In this study, a microcosm experiment was conducted to investigate the impacts of different mycorrhizal treatments (CK: neither AMF hyphae nor plant roots; AMF: only AMF hyphae; AMF + R: AMF hyphae and plant roots) on plant growth, soil N fertilizer utilization, N2O production and consumption, functional gene abundance, and N2O emission at two biochar addition levels (B0: no biochar; B1: biochar addition rate of 10 g·kg−1 soil) in a maize planting soil system. The results revealed that AMF alone and AMF with plant root treatments enhanced the fresh weight of maize plants by 10.15% and 19.23% and decreased soil inorganic N contents by 33.28% and 75.56%, respectively. The combination of biochar, AMF, and plant roots showed the largest increase in maize plant biomass. The AMF and AMF with root treatments all significantly decreased the nirS + nirK/nosZ ratio and N2O emissions at two biochar levels. The presence of AMF and plant roots during biochar amendment showed the smallest nirS + nirK/nosZ ratio and N2O emissions. The AMF combined with biochar and AMF and plant roots combined with biochar treatments increased nirS + nirK/nosZ by 24.32% and 26.90% and decreased N2O accumulation emission by 21.12% and 38.13%, respectively. The results imply that biochar, AMF, and plant roots reduced N2O emissions directly by reducing soil N and increasing soil N unitization efficiency and indirectly by shifting the N2O production and consumption gene abundance in agroecosystems. These findings suggest that the addition of biochar and AMF and/or the presence of plant roots can interact to alleviate soil N2O emissions by manipulating plant inorganic N acquisition and the soil denitrification process.

1. Introduction

Nitrous oxide (N2O) is a potent greenhouse gas that can destroy the ozone layer in the stratosphere and cause climate warming [1,2]. Due to the large amount of nitrogen (N) fertilizer applied, agricultural soils have become the main emission source of N2O, accounting for about 60% of the global anthropogenic N2O emission [3]. The production of soil N2O mainly comes from soil nitrification and denitrification processes [4,5]. In the process of soil nitrification, microorganisms in the soil oxidize the ammonium salt (NH4+) to nitrite (NO2) or nitrate (NO3), and N2O is produced mainly by the oxidation of hydroxylamine (NH2OH) to NO2. The microorganisms involved in this process are the ammonia-oxidized archaea (AOA) and ammonia-oxidizing bacteria (AOB), which are encoded by the ammonia mono oxygen-enzyme gene (amoA). Denitrification is the main N2O emission source in agricultural soils [6]. In the denitrification process, nitrogen oxides (NO3 and NO2) are reduced to N2O and N2 by various reductases, among which nitrite reductase and nitrous oxide reductase are key, and rate-limiting enzymes in soil denitrification [6,7]. The nirS and nirK genes encode nitrite reductases, which produce N2O, and nosZ genes encode N2O reductases that reduce N2O to N2 [8]. Therefore, the ratio of nirS + nirK/nosZ has been used as an indicator for N2O emission potential [9].
Arbuscular mycorrhizal fungi (AMF) are a kind of beneficial soil microorganisms, which are widespread and can form symbionts with the plant roots of over 80% of the land plants [10]. AMF can help plant roots obtain soil nutrients and absorb photosynthates from host plants [11]. Plant roots combined with AMF play a vital role in the soil N cycles and significantly affect the absorption and mineralization of N [12,13]. Yet, only a few researchers have studied the impacts of plant roots and AMF on soil N2O emission, and they have produced different results. For instance, Zhang et al. [14] revealed that plant roots combined with AMF suppressed soil N2O emission by changing the N cycling microbial community. Bender et al. [15] also revealed that the AMF significantly reduced soil N2O emission by shifting the key gene abundance of N2O emission. Qiu et al. [9] reported that AMF combined with plant roots reduced the nirK gene abundance and the (nirK + nirS)/nosZ ratio, decreasing soil N2O emission. Changes in soil denitrifiers play a major controlling role in the emission of N2O. However, some studies indicated that plant roots and AMF may increase soil N2O emission by producing more root exudates and labile carbon from plant roots, which supply high carbon for denitrifiers to stimulate denitrification [16,17]. Therefore, the impacts of plant roots and AMF on the denitrification process and shifting soil N2O emission need further investigation.
Biochar is a carbon-rich solid material produced through the high-temperature cracking of crop straw, firewood, weeds, and feces in the absence of oxygen conditions [18]. In recent years, biochar has been used as a soil additive for the management of agricultural soil, which produced important impacts on soil quality, crop yield, carbon sequestration, and greenhouse gas emissions [2,14,19,20]. Previous studies have indicated that biochar addition can regulate the nitrification and denitrification process by facilitating biofilm formation and retaining soil moisture [21,22]. Biochar application can reduce N leaching from soil and activate N fixation by increasing soil carbon sequestration [23,24]. Moreover, biochar amendment can increase the soil cation exchange and enhance the adsorption of soil NH4+-N, thus reducing soil inorganic N content and inhibiting the nitrification process [25,26]. In addition, biochar could promote soil O2 content to restrain the denitrification process and reduce N2O emission [27,28]. However, few studies have explicitly examined the effects of AMF and plant roots on denitrifying genes and N2O emissions, particularly in biochar amendment. Some recent studies have shown that biochar has a special effect on soil microbes, such as AMF [29,30,31,32]. For example, a crop straw-derived biochar application can improve soil physicochemical characteristics and facilitate the germination and growth of AMF spores [33,34], and biochar can regulate plant fungal signal substances that affect the germination and hyphal branching of AMF [35,36]. Zhang et al. [37] also showed that biochar may indirectly influence AMF by affecting the activity of phosphorus bacteria in soil. Yet, it remains largely unexplored how plant roots associated with AMF affect N utilization and N2O emission under biochar application. Therefore, the microcosm experiment was conducted to investigate the impacts of AMF, plant roots, and biochar on plant growth, soil N utilization, soil denitrification, and N2O emission in maize planting soil systems. We hypothesized that (1) the biochar addition would enhance the growth of AMF mycelial, increase the activity of AMF mycelial microorganisms, and promote the absorption and transfer of effective nitrogen to plants to reduce the substrate concentration of denitrification microorganisms and then affect the soil denitrification process and N2O emissions, and (2) the combined of biochar, AMF, and plant roots would reduce N2O-producing gene abundance and increase soil N utilization, corresponding to decreases in N2O emission.

2. Materials and Methods

2.1. Biochar, AMF Inocula, Soil, and Plant Preparation

The biochar was produced from wheat straw pyrolyzed under 500 °C in anaerobic conditions for 2 h, and the heating rate was 20 °C min−1 (Sanli New Energy Co. Ltd., Shangqiu, China). The organic C and N contents were measured using a Perkin-Elmer 2400 CHN elemental analyzer (Perk-Elmer Co. Ltd., Norwalk, CT, USA). The total K content was determined using acid digestion and elemental analysis through atomic adsorption spectroscopy (Thermo Fisher Scientific Co. Ltd., Waltham, MA, USA). The available P was extracted using 0.5 mol L−1 NaHCO3 and measured colorimetrically (Beijing Puxi General Instrument Co. LTD., Beijing, China). The pH was measured for a 1:5 (w/v) suspension of biochar and deionized water with a compound glass electrode. The surface area and pore size were measured using a TriStar II 3020 automated surface area and pore size analyzer (Micromeritics Co. Ltd., Atlanta, GA, USA). The basic biochar properties were surface area at 8.9 m2 g−1, average pore size at 3.14 nm, total pore volume at 0.015 cm3 g−1, organic C content at 46.76%, total N content at 0.59%, available P content at 0.89 g kg−1, K content at 2.72%, and pH at 10.4.
The AMF inoculum, Rhizophagus intraradices BJ09, and Funneliformis mosseae BJ04A were purchased from the Beijing Academy of Agriculture and Forestry Sciences. The inocula were pot-cultured with Sudangrass [Sorghum sudanese (Piper) Stapf.] in the autoclaved (121 °C for 2 h) mixture of zeolite and river sand at 4:1 (w/w) in the greenhouse for four months. The ratio of the substrate and AMF inoculum was 100:1 (w/w). The temperature was maintained at 16–25 °C, with regular watering to maintain plant growth. The AMF inocula contains spores (approximately 30 spores per g−1 of substrate), mycelium, and fine root segments.
Surface horizon soil (0–20 cm) was collected from agricultural soil at Henan University of Science and Technology (34°38″ N, 112°28″ E), Luoyang, China, on 5 May 2020. The soil was air-dried and passed through a 5 mm sieve for the microcosm experiment. The soil had a pH of 7.2, 14.09 g kg−1 of organic matter, 53.76 mg kg−1 of available N, 10.18 mg kg−1 of available P, and 112.74 mg kg−1 of available K. The planted crop was maize (Zea mays L. var. Zhengdan-958).

2.2. Experimental Design

2.2.1. Microcosm Experiment

The microcosm experiment was established as a completely randomized trial with two biochar levels and three mycorrhizal levels, making a total of six treatments. The two levels of biochar were no biochar application (B0) and biochar addition rate of 10 g·kg−1 soil (B1). To insulate the impact of AMF hyphae alone or AMF hyphae with roots on N2O emission, the plexiglass mesocosms (45 cm length, 15 cm width, 18 cm depth) were constructed and separated into three identical compartments by different mesh membrane sizes to create different mycorrhizal treatments as follows: 0.45 μm pore size nylon mesh (neither AMF nor plant roots, CK) (Figure 1A), 20 μm pore size nylon mesh (only AMF hyphae can grow through, AMF) (Figure 1B), and 1.6 mm pore size nylon mesh (AMF hyphae and plant roots can penetrate through, AMF + R) (Figure 1C). The three meshes used in this experiment all allow water, soluble C, and N produced by plant roots to pass through. Each compartment of half of the plexiglass mesocosms was filled with 3.0 kg of soil evenly mixed with 100 g of AMF inoculum. Meanwhile, each compartment of the other half of the plexiglass mesocosms was filled with 3.0 kg of an even mixture of soil and the prepared biochar at a rate of 10 g·kg−1, as well as 100 g AMF of inoculum. Each treatment had four replicates, and there was a total of 24 plexiglass mesocosms. The two compartments at the left and right of the plexiglass mesocosm were named as host compartments, in which maize was planted, and the compartment in the middle of the plexiglass mesocosm was designated as the test compartment, in which N2O emission was measured (Figure 1).

2.2.2. Plant Growth Conditions

The experiment was conducted in the greenhouse at Henan University of Science and Technology from 10 May to 3 August 2020. The air temperature in the greenhouse ranged between 24.2 °C and 36.4 °C. Two maize seeds were sown in the host compartment at the left and right of the plexiglass mesocosms on 10 May 2020 and thinned to one plant on the seventh day after germination. At the jointing stage of maize, the 10.21% abundance of 15N labeled urea fertilizer was hole-applied into each test compartment of plexiglass mesocosms to achieve a rate of 180 kg N ha−1 soil. The plexiglass mesocosms were placed randomly; deionized water was periodically watered for host compartments with plants, as needed. The test compartments without plants were also watered with a small amount of deionized water and usually were observed to ensure that plant roots and AMF could pass through the mesh.

2.3. Measurements

2.3.1. Measurement of Plant Biomass, N Contents, and Root AMF Colonization

The maize plants were harvested after 85 days of growth. The aboveground parts and roots were sampled as described by Zhang et al. [14]. The fresh weight of the maize aboveground parts and roots was determined with an electronic balance. Then, the aboveground parts were dried to obtain a stable weight and ground to measure the N contents. The total N contents were determined using the micro-Kjeldahl method after digestion with H2SO4-H2O2. The 15N abundance of the maize plant was determined using the isotope mass spectrometer (Elementar Analysensystems GmbH Inc., Langenselbold, Germany). Fresh fibrous roots (≤2 mm in diameter) were cut into 1 cm root segments, which were put into the test tube, added 10% KOH(w/v) for digestion, and then stained with acid fuchsin. The root AMF colonization was observed under a microscope (100×) using the gridline intersection method [38].

2.3.2. Measurement of Soil N2O Emissions

The N2O gas samples were collected from the test compartment using the static chamber method [39]. Gas samples were collected from 1 day after fertilization (DAF) and discontinuously collected at 1–5, 7, 9, 11, 13, 18, and 21–28 DAF. The concentrations of N2O were measured using gas chromatography (Agilent 7890A, Agilent Technologies Co. Ltd., Santa Clara, CA, USA). The calculations of N2O fluxes and cumulative emissions by the research of Gao et al. [40].

2.3.3. Soil Sampling and Analyses

After the maize plants were harvested, soil samples of the test compartment were collected, and the visible residues and plant roots were carefully removed. Some of the soil samples were stored in a −80 °C refrigerator for soil DNA extraction, and the remainder of the soil was stored in a 4 °C refrigerator for soil total nitrogen, soil 15N abundance, NH4+-N, and NO3-N measurements. The soil total nitrogen, NH4+-N, and NO3-N contents were measured using a continuous flow analyzer (SEAL Analytic, Norderstedt, Germany). The soil 15N abundance was determined in a similar manner as that described for the plants’ 15N mensurate.

2.3.4. Soil DNA Extracted and Denitrification Functional Gene Abundances

A total of 0.5 g of the soil samples stored in the −80 °C refrigerator to extract soil DNA were taken according to the method and procedure of the Fast DNA SPIN Kit for Soil (MP Biomedicals Co. Ltd., Santa Ana, CA, USA). After extraction, the integrity of the proposed DNA fragments was measured using 1% agarose gel electrophoresis. The extracted DNA purity and concentration were measured using an ultraviolet spectrophotometer (Thermo Fisher Scientific Co. Ltd., Waltham, MA, USA). The abundances of the nirS, nirK, and nosZ genes were measured through quantitative real-time polymerase chain reaction (qPCR) (Applied Biosystems, Waltham, MA, USA). The qPCR primers are given in Table 1.

2.4. Calculation of Nitrogen Utilization

The 15N utilization efficiency by plants (NUE), 15N retention rate by soil (NRR), and 15N loss rate (NLR) were calculated according to the following formulas used by Robinson [44].
NUE   or   NRR % = × 100
NLR % = 100 - NUE - NRR
N 1 = N 0 × A
A %   = APC ( 15 N ) C × 100
where NUE is the 15N utilization efficiency for maize plants, NRR is the 15N retention rate for soil, and NLR is the 15N loss rate, which is calculated according to Equations (3) and (4). N1 is the 15N contents from 15N urea in the plant or soil (g·kg−1), N2 is the total 15N contents from 15N urea (g·kg−1), N0 refers to total N contents in the plant or soil (g kg−1), A is the percentages of 15N amount from 15N urea of total N in the plant or soil (%), APC (15N) is the 15N-atom percent excess of the plant or soil (%), and C is the 15N-atom percent excess of labeled 15N urea (%).

2.5. Statistical Analysis

All the data analyses were performed using SPSS 25.0 software. The significance was tested using analysis of variance (ANOVA) and LSD for multiple comparisons. Two-way ANOVA was used to analyze the significance of biochar and AMF effects. Correlations among plant biomass, AMF, soil NH4+-N and NO3-N, abundance of denitrification functional genes, and N2O emission were analyzed by using Pearson’s correlation.

3. Results

3.1. Maize Plant Biomass, Soil Inorganic N Contents, and AMF Colonization of Roots

Both biochar application and AMF significantly affected maize biomass (Table 2 and Table 3). Compared with no biochar input, the biochar application significantly increased maize biomass under the same treatment. Compared with the CK, the AMF and AMF + R treatments all significantly enhanced the growth traits of fresh weight (p < 0.05) under two biochar application levels (Table 1).
Compared with the CK, the AMF and AMF + R treatments all decreased the AMF colonization rate of maize roots under both biochar application levels (Table 2 and Table 3). The AMF and AMF + R treatments reduced the average AMF colonization rate by 1.87% and 5.68%, respectively. There was no significant difference in the AMF colonization rate between the AMF and AMF + R treatments (Table 2). Compared with no biochar input, the biochar application showed a trend of increasing root AMF colonization. Compared with no biochar input, the CK, AMF, and AMF + R treatments enhanced the AMF colonization rate by 9.64%, 10.93%, and 13.68%, respectively, at the B1 input level.
Compared to B0 addition, B1 application significantly reduced the average soil NH4+-N and NO3-N contents by 16.43% and 22.62% (Table 2). Compared with the CK, the AMF and AMF + R treatments significantly decreased soil NH4+-N and NO3-N contents at two biochar input levels. The AMF and AMF + R treatments at the B0 level reduced the soil NH4+-N contents by 10.78% and 14.71%, respectively, and the NO3-N contents by 38.96% and 78.73%, respectively, and at the B1 level, they reduced the soil NH4+-N contents by 23.16% and 30.53%, respectively, and NO3-N contents by 28.38% and 77.23%, respectively, compared with the CK treatment (Table 2).

3.2. Soil N2O Emissions

The N2O emission rates showed a variation trend of increasing first and then decreasing during the experimental period at both biochar levels (Figure 2), and the N2O emission peak occurred on the third to fourth days after fertilization. Compared with the CK, the AMF and AMF + R treatments all significantly decreased the N2O emission peak by 40.62% and 53.23%, respectively, during the B1 application and 27.63% and 34.67%, respectively, during the B0 application. The result showed that biochar application significantly decreased soil N2O emission rates (Figure 2). Both biochar input and AMF presence significantly affected soil N2O emission flux (Table 3).
The soil N2O accumulation emission during different treatments showed the trend of CK > AMF > AMF + R at both biochar levels (Figure 3). Compared with the CK, the AMF and AMF + R treatments significantly decreased N2O accumulation emission by 14.41% and 25.02%, respectively, during the B0 application and 21.12% and 38.13%, respectively, during the B1 application. Overall, the soil N2O cumulative emissions were significantly decreased during AMF and AMF + R treatments compared with CK (p < 0.05), and the AMF + R treatment had the best effect in reducing the soil N2O cumulative emissions.

3.3. Abundances of Denitrification Genes

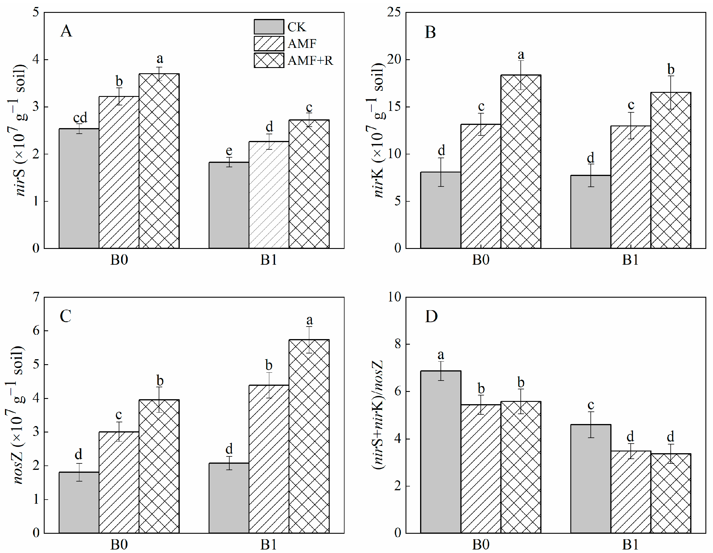
The AMF and AMF + R treatments enhanced the nirS, nirK, and nosZ gene copy numbers at both biochar application levels (Figure 4). During B1 application, the AMF and AMF + R treatments increased the nirS gene copy numbers by 23.83% and 49.10%, respectively, the nirK gene copy numbers by 68.01% and 113.75%, respectively, and the nosZ gene copy numbers by 110.86% and 175.51%, respectively, compared with CK. During B0 application, the AMF and AMF + R treatments increased the nirS gene copy numbers by 27.02% and 45.86%, respectively, the nirK gene copy numbers by 62.55% and 127.18%, respectively, and the nosZ gene copy numbers by 66.27% and 118.71%, respectively.
The AMF and AMF + R treatments significantly decreased nirS + nirK/nosZ at both biochar levels. The AMF and AMF + R treatments increased nirS + nirK/nosZ by 24.32% and 26.90%, respectively, at the B1 level and 20.83% and 18.84%, respectively, at the B0 level. The results showed that biochar input significantly decreased nirS + nirK/nosZ compared with no biochar addition (Figure 4). Both biochar input and AMF or root presence significantly affected the abundances of the denitrification genes (Table 3).

3.4. Nitrogen Content and Nitrogen Use Efficiency of Maize Plants

The biochar, AMF, and AMF with roots all had significant (p < 0.05) effects on the uptake and utilization of N nutrients for maize plants (Table 4). Compared with the CK, the AMF and AMF + R treatments all significantly increased the 15N absorption and 15N utilization efficiency of maize under both biochar addition levels. The AMF and AMF + R treatments increased N utilization efficiency by 18.03% and 25.17%, respectively, at the B0 level and 4.46% and 20.15%, respectively, at the B1 level. Compared with no biochar input, the biochar application significantly increased the N uptake and absorption, 15N content, and nitrogen use efficiency of maize during the same treatment.
The soil 15N retention rate during different treatments showed the trend of AMF + R > AMF > CK at the same biochar levels. The largest value of the soil 15N retention rate was 31.09% during the AMF +R treatment with biochar application (Table 4). Contrarily, the soil 15N loss rate during different treatments showed the trend of CK > AMF > AMF + R at the same biochar levels. Compared with CK, the AMF and AMF + R treatments decreased the soil 15N loss rate by 10.33% and 14.42%, respectively, at the B0 level and 9.06% and 19.16%, respectively, at the B1 level.

3.5. Factors Affecting Soil N2O Emissions

N2O emission was correlated positively with the soil NH4+-N, NO3-N, and (nirK + nirS)/nosZ ratio. The nirK, nirS, and nosZ gene abundance, AMF colonization, and shoot biomass were correlated negatively with N2O emission (Figure 5).

4. Discussion

4.1. Effects of Biochar, AMF, and Roots on Maize Growth

The studies revealed that the AMF alone or AMF with plant roots increased maize biomass (Table 2). The positive effects on maize growth are likely because AMF and plant roots promote nutrient acquisition and water uptake [30,34], which are beneficial to plant growth. Consistent with some previous studies [32,37], in this study, biochar application also promoted maize biomass. This may be because biochar could supply valuable macro-nutrients (e.g., N and P) and metal ions (e.g., Ca2+ and Mg2+), which directly promote plant growth [45]. The second reason may be that biochar has the characteristics of a porous structure and large surface area, which can increase nutrient retention and reduce nutrient loss, thus indirectly promoting plant growth [46,47]. The results showed that biochar combined with AMF and/or plant roots had the highest shoot and root biomass. There was likely an interaction between biochar and AMF, which is consistent with previous studies [48,49]. In this study, biochar application enhanced AMF colonization, which increased the acquisition of soil nutrients and water and improved maize growth.

4.2. Effects of Biochar, AMF, and Roots on Soil N Utilization

Using the 15N labeling technique, this study revealed that biochar input decreased soil NH4+-N and NO3-N concentrations and increased the 15N utilization efficiency of maize and 15N retention rate in soil. The first reason may be that biochar improved the soil’s physical and chemical properties, which enhanced the inorganic N uptake of plants, 15N utilization efficiency, and 15N retention rate and resulted in a reduction of soil inorganic N content [50,51,52,53]. Additionally, previous studies have shown that biochar addition could increase the ion exchange capacity of soil and improve the adsorption and fixation of soil NH4+-N and NO3-N. These inorganic N were absorbed by biochar and could be released again for the absorption and utilization of plants, thus improving N utilization efficiency [32,54,55]. The third possible explanation for the increase in 15N utilization efficiency is that biochar can increase nutrient availability, stimulate beneficial soil microbial activity, and reduce nutrient leaching [56,57,58]. Some studies have indicated that biochar addition increased soil pH and supplied a more suitable environment for the growth of nitrifying microbes, which could improve the nitrification process and decrease soil NH4+-N and NO3--N contents [59,60]. The results also showed that AMF and AMF + R treatments significantly decreased soil NH4+-N and NO3--N contents (Table 2). The AMF and/or plant roots play a vital role in soil N utilization and plant N uptake [15,61,62]. The extraradical mycelia of AMF and plant roots can absorb inorganic N from soil and transport them to host plants [63]. Moreover, AMF can promote the degradation of nitrogen by soil microorganisms, thus improving N uptake in plants and reducing soil N content [64,65]. Therefore, the AMF significantly reduced soil inorganic N contents and enhanced N utilization efficiency in this study.
The biochar combined with AMF alone or AMF with plant roots all significantly decreased soil NH4+-N and NO3-N contents and increased the 15N utilization efficiency of maize and the 15N retention rate of the soil, compared with no biochar input or biochar input with no AMF treatments. There are some reasons for the abovementioned results. Firstly, biochar application can improve the physiochemical properties of soil and promote the germination and growth of AMF spores. In addition, biochar has the properties of a porous structure, providing a favorable habitat for AMF [35,66]. Secondly, biochar may affect the germination and branching of AMF by regulating plant fungal signal substances [58,67]. Thirdly, the biochar indirectly affects AMF by affecting the activity of phosphorus bacteria in the soil [67]. Therefore, AMF can improve plants to absorb more soil inorganic N with biochar application.

4.3. Effects of Biochar, AMF, and Roots on N2O Emissions

In the present study, the application of AMF alone or AMF with plant roots significantly decreased soil N2O emission, compared with CK treatment (Figure 2 and Figure 3). The application of biochar and AMF with plant roots showed the largest decrease in soil N2O emission, which was consistent with the study by Hao et al. [36]. There are several reasons that biochar, AMF, and plant roots suppress soil N2O emissions. On the one hand, biochar, AMF, and plant roots have inherent characteristics that help plants acquire nutrients from the soil [20,68]. In this study, biochar, AMF, and plant roots all reduced soil NH4+-N and NO3-N concentrations and increased the utilization of soil N. On the other hand, biochar application facilitates the germination of AMF spores and the extension of extraradical mycelial, which enhance N uptake in the host plant, reduce the N substrate of soil nitrifiers and denitrifiers, and decrease N2O emissions [8,35].
In agricultural soil, N2O is mainly produced through the participation of soil nitrifiers and denitrifiers. The denitrification process, in general, plays a dominant role in soil N2O emissions [8,69]. In the process of denitrification, the denitrifiers acquire energy from organic matter and convert NO3 to N2O. In this study, the abundance of denitrifying functional genes was measured, which was helpful in estimating whether the change in soil N2O emission was related to biochar-, AMF-, and plant root-induced changes in the abundance of denitrifying functional genes (Figure 4). This research showed that AMF and AMF + R treatments all enhanced nirS, nirK, and nosZ abundance and reduced the ratio of nirK + nirS/nosZ at both biochar application levels (Figure 4). Zhang et al. [14] showed that AMF alone or AMF and plant root treatments all enhanced nirS abundance and reduced the nirk/nirS ratio at high N and normal N input levels with conventionally managed soil. The present research showed that AMF with plant roots decreased N2O emission directly by reducing soil N and indirectly by changing the abundance of N2O-producing functional genes in the agroecosystem. Qiu et al. [9] reported that AMF with plant roots reduced nirK abundance and the (nirK + nirS)/nosZ ratio, leading to a reduction in soil N2O emissions. In summary, the effect of AMF and plant roots on N2O emission was mainly exhibited through regulating denitrifying functional genes and the denitrification process. This study showed that biochar addition decreased nirS and nirK abundance and enhanced nosZ abundance during AMF and AMF + R treatments (Figure 4). The positive correlation between the soil’s N2O emission and the (nirK + nirS)/nosZ ratio (Figure 5) was consistent with the results from other agricultural soils [9,36]. For instance, Hao et al. [36] reported that biochar addition and/or AMF inoculation decreased N2O emissions in wheat-planted soil, compared with soil in the absence of biochar and AMF addition. This decrease in soil emission was mainly associated with the diminished abundance of N2O-producing functional genes (nirK and nirS) and the increased abundance of N2O-consuming functional genes (nosZ), and the (nirK + nirS)/nosZ ratio was the strongest driver for soil N2O. In brief, the results suggest that the application of biochar, AMF, and plant roots may alter N2O emission by modifying the denitrifying functional gene abundance. Furthermore, the detailed mechanisms of the interaction of biochar, AMF, and plant roots on soil denitrifying microbes and functional genes are still unclear and need further research.

5. Conclusions

The biochar application and presence of AMF or AMF with plant roots reduced soil N2O emissions by increasing soil N unitization efficiency and decreasing the (nirK + nirS)/nosZ ratio in maize-planted soils. The presence of AMF and plant roots during biochar amendment showed the highest decrease in N2O emission and an increase in soil N unitization efficiency. The biochar, AMF, and plant roots may interact to shift plant growth, N utilization, denitrifying functional genes, and N2O emissions. These results suggest that biochar, in combination with AMF, may be considered an effective method for mediating N cycling and reducing N2O emissions in agroecosystems. This study was performed under microcosm conditions, which were different from the field environment (fertilization, precipitation, and tillage practices). Therefore, it is necessary to conduct field experiments to study the effects and mechanisms of biochar and AMF on soil N cycle and N2O emission.

Author Contributions

Conceptualization, Y.W.; Methodology, Y.L. and J.G.; Software, J.L. and J.G.; Validation, L.L.; Formal analysis, Y.L. and J.G.; Investigation, Y.W. and J.L.; Resources, X.D. and L.L.; Writing—original draft, Y.W.; Writing—review & editing, X.D. and L.L. All authors have read and agreed to the published version of the manuscript.

Funding

This work was supported by the National Natural Science Foundation of China (31700367) and the Natural Science Foundation of Henan Province (242300420598).

Data Availability Statement

Data is contained within the article.

Conflicts of Interest

The authors declare no conflict of interest.

References

  1. Ravishankara, A.R.; Daniel, J.S.; Portmann, R.W. Nitrous oxide (N2O): The dominant ozone-depleting substance emitted in the 21st century. Science 2009, 326, 123–125. [Google Scholar] [CrossRef]
  2. Wu, P.; Xie, M.H.; Clough, T.J.; Yuan, D.; Wu, S.H.; He, X.D.; Hu, C.S.; Zhou, S.G.; Qin, S.P. Biochar-derived persistent free radicals and reactive oxygen species reduce the potential of biochar to mitigate soil N2O emissions by inhibiting nosZ. Soil Biol. Biochem. 2023, 178, 108970. [Google Scholar] [CrossRef]
  3. Luo, Z.; Lam, S.K.; Fu, H.; Hu, S.; Chen, D. Temporal and spatial evolution of nitrous oxide emissions in China: Assessment, strategy and recommendation. J. Clean Prod. 2019, 223, 360–367. [Google Scholar] [CrossRef]
  4. Butterbach-Bahl, K.; Baggs, E.M.; Dannenmann, M.; Kiese, R.; Zechmeister-Boltenstern, S. Nitrous oxide emissions from soils: How well do we understand the processes and their controls? Phil. Trans. R. Soc. B 2013, 368, 20130122. [Google Scholar] [CrossRef]
  5. Firestone, M.K.; Firestone, R.B.; Tiedje, J.M. Nitrous oxide from soil denitrification: Factors controlling its biological production. Science 1980, 208, 749–751. [Google Scholar] [CrossRef]
  6. Jones, C.M.; Putz, M.; Tiemann, M.; Hallin, S. Reactive nitrogen restructures and weakens microbial controls of soil N2O emissions. Commun. Biol. 2022, 5, 273. [Google Scholar] [CrossRef]
  7. Hallin, S.; Philippot, L.; Löffler, F.E.; Sanford, R.A.; Jones, C.M. Genomics and ecology of novel N2O-reducing microorganisms. Trends Microbiol. 2018, 26, 43–55. [Google Scholar] [CrossRef]
  8. Jones, C.M.; Spor, A.; Brennan, F.P.; Breuil, M.C.; Bru, D.; Lemanceau, P.; Griffiths, B.; Hallin, S.; Philippot, L. Recently identified microbial guild mediates soil N2O sink capacity. Nat. Clim. Change 2014, 4, 801–805. [Google Scholar] [CrossRef]
  9. Qiu, Y.P.; Jiang, Y.; Guo, L.J.; Zhang, L.; Burkey, K.O.; Zobel, R.W.; Reberg-Horton, S.C.; Shew, H.D.; Hu, S.J. Shifts in the composition and activities of denitrifiers dominate CO2 stimulation of N2O emissions. Environ. Sci. Technol. 2019, 53, 11204–11213. [Google Scholar] [CrossRef]
  10. Kiers, E.T.; Duhamel, M.; Beesetty, Y.; Mensah, J.A.; Franken, O.; Verbruggen, E.; Fellbaum, C.R.; Kowalchuk, G.A.; Hart, M.M.; Bago, A.; et al. Reciprocal rewards stabilize cooperation in the mycorrhizal symbiosis. Science 2011, 333, 880–882. [Google Scholar] [CrossRef]
  11. Smith, S.E.; Smith, F.A. Roles of arbuscular mycorrhizas in plant nutrition and growth: New paradigms from cellular to ecosystem scales. Annu. Rev. Plant Biol. 2011, 62, 227–250. [Google Scholar] [CrossRef]
  12. Storer, K.; Coggan, A.; Ineson, P.; Hodge, A. Arbuscular mycorrhizal fungi reduce nitrous oxide emissions from N2O hotspots. New Phytol. 2018, 220, 1285–1295. [Google Scholar] [CrossRef]
  13. Veresoglou, S.D.; Chen, B.D.; Rillig, M.C. Arbuscular mycorrhiza and soil nitrogen cycling. Soil Biol. Biochem. 2012, 46, 53–62. [Google Scholar] [CrossRef]
  14. Zhang, X.L.; Qiu, Y.P.; Gilliam, F.S.; Gillespie, C.J.; Tu, C.; Reberg-Horton, S.C.; Hu, S.J. Arbuscular mycorrhizae shift community composition of N-cycling microbes and suppress soil N2O emission. Environ. Sci. Technol. 2022, 56, 13461–13472. [Google Scholar] [CrossRef]
  15. Bender, S.F.; Plantenga, F.; Neftel, A.; Jocher, M.; Oberholzer, H.R.; Köhl, L.; Giles, M.; Daniell, T.J.; van der Heijden, M.G.A. Symbiotic relationships between soil fungi and plants reduce N2O emissions from soil. ISME J. 2014, 8, 1336–1345. [Google Scholar] [CrossRef]
  16. Ai, C.; Liang, G.Q.; Wang, X.B.; Sun, J.W.; He, P.; Zhou, W. A distinctive root-inhabiting denitrifying community with high N2O/(N2O+N2) product ratio. Soil Biol. Biochem. 2017, 109, 118–123. [Google Scholar] [CrossRef]
  17. Henry, S.; Texier, S.; Hallet, S.; Bru, D.; Dambreville, C.; Chèneby, D.; Bizouard, F.; Germon, J.C.; Philippot, L. Disentangling the rhizosphere effect on nitrate reducers and denitrifiers: Insight into the role of root exudates. Environ. Microbiol. 2008, 10, 3082–3092. [Google Scholar] [CrossRef]
  18. Manya, J.J. Pyrolysis for biochar purposes: A review to establish current knowledge gaps and research needs. Environ. Sci. Technol. 2012, 46, 7939–7954. [Google Scholar] [CrossRef]
  19. Dong, W.X.; Walkiewicz, A.; Bieganowski, A.; Oenema, O.; Nosalewicz, M.; He, C.H.; Zhang, Y.M.; Hu, C.S. Biochar promotes the reduction of N2O to N2 and concurrently suppresses the production of N2O in calcareous soil. Geoderma 2020, 362, 114091. [Google Scholar] [CrossRef]
  20. Yuan, H.J.; Zhang, Z.J.; Li, M.Y.; Clough, T.; Wrage-Mönnig, N.; Qin, S.P.; Ge, T.D.; Liao, H.P.; Zhou, S.G. Biochar’s role as an electron shuttle for mediating soil N2O emissions. Soil Biol. Biochem. 2019, 133, 94–96. [Google Scholar] [CrossRef]
  21. He, P.J.; Zhang, H.H.; Duan, H.W.; Shao, L.M.; Lü, F. Continuity of biochar-associated biofilm in anaerobic digestion. Chem. Eng. J. 2020, 390, 124605. [Google Scholar] [CrossRef]
  22. Liu, H.Y.; Li, H.B.; Zhang, A.P.; Rahaman, M.A.; Yang, Z.L. Inhibited effect of biochar application on N2O emissions is amount and time-dependent by regulating denitrification in a wheat-maize rotation system in North China. Sci. Total Environ. 2020, 721, 137636. [Google Scholar] [CrossRef]
  23. Clough, T.; Condron, L.; Kammann, C.; Müller, C. A review of biochar and soil nitrogen dynamics. Agronomy 2013, 3, 275–293. [Google Scholar] [CrossRef]
  24. Luo, X.; Chen, L.; Zheng, H.; Chang, J.; Wang, H.; Wang, Z.; Xing, B. Biochar addition reduced net N mineralization of a coastal wetland soil in the Yellow River Delta, China. Geoderma 2016, 282, 120–128. [Google Scholar] [CrossRef]
  25. Yang, F.; Cao, X.D.; Gao, B.; Zhao, L.; Li, F.Y. Short-term effects of rice straw biochar on sorption, emission, and transformation of soil NH4+-N. Environ. Sci. Pollut. R. 2015, 22, 9184–9192. [Google Scholar] [CrossRef]
  26. Zhang, H.; Voroney, R.P.; Price, G.W. Effects of temperature and processing conditions on biochar chemical properties and their influence on soil C and N transformations. Soil Biol. Biochem. 2015, 83, 19–28. [Google Scholar] [CrossRef]
  27. Case, S.D.C.; McNamara, N.P.; Reay, D.S.; Stott, A.W.; Grant, H.K.; Whitaker, J. Biochar suppresses N2O emissions while maintaining N availability in a sandy loam soil. Soil Biol. Biochem. 2015, 81, 178–185. [Google Scholar] [CrossRef]
  28. Niu, Y.H.; Chen, Z.M.; Müller, C.; Zaman, M.; Kim, D.G.; Yu, H.Y.; Ding, W.X. Yield-scaled N2O emissions were effectively reduced by biochar amendment of sandy loam soil under maize—Wheat rotation in the North China plain. Atmos. Environ. 2017, 170, 58–70. [Google Scholar] [CrossRef]
  29. Ibrahim, M.M.; Tong, C.X.; Hu, K.; Zhou, B.Q.; Xing, S.H.; Mao, Y.L. Biochar-fertilizer interaction modifies N-sorption, enzyme activities and microbial functional abundance regulating nitrogen retention in rhizosphere soil. Sci. Total Environ. 2020, 739, 140065. [Google Scholar] [CrossRef]
  30. Jabborova, D.; Annapurna, K.; Choudhary, R.; Bhowmik, S.N.; Desouky, S.E.; Selim, S.; Azab, I.H.E.; Hamada, M.M.A.; Nahhas, N.E.; Elkelish, A. Interactive impact of biochar and arbuscular mycorrhizal on root morphology; physiological properties of fenugreek (Trigonella foenum-graecum L.) and soil enzymatic activities. Agronomy 2021, 11, 2341. [Google Scholar] [CrossRef]
  31. Lehmann, J.; Rillig, M.C.; Thies, J.; Masiello, C.A.; Hockaday, W.C.; Crowley, D. Biochar effects on soil biota—A review. Soil Biol. Biochem. 2011, 43, 1812–1836. [Google Scholar] [CrossRef]
  32. Liu, L.; Li, J.W.; Yue, F.X.; Yan, X.W.; Wang, F.Y.; Bloszies, S.; Wang, Y.F. Effects of arbuscular mycorrhizal inoculation and biochar amendment on maize growth, cadmium uptake and soil cadmium speciation in Cd-contaminated soil. Chemosphere 2018, 194, 495–503. [Google Scholar] [CrossRef]
  33. Gomez, J.D.; Denef, K.; Stewart, C.E.; Zheng, J.; Cotrufo, M.F. Biochar addition rate influences soil microbial abundance and activity in temperate soils. Eur. J. Soil Sci. 2014, 65, 28–39. [Google Scholar] [CrossRef]
  34. Liang, J.F.; An, J.; Gao, J.Q.; Zhang, X.Y.; Song, M.H.; Yu, F.H. Interactive effects of biochar and AMF on plant growth and greenhouse gas emissions from wetland microcosms. Geoderma 2019, 346, 11–17. [Google Scholar] [CrossRef]
  35. Hammer, E.C.; Forstreuter, M.; Rillig, M.C.; Kohler, J. Biochar increases arbuscular mycorrhizal plant growth enhancement and ameliorates salinity stress. Appl. Soil Ecol. 2015, 96, 114–121. [Google Scholar] [CrossRef]
  36. Hao, Z.; Dong, Z.J.; Han, S.; Zhang, A.P. Effects of biochar and arbuscular mycorrhizal fungi on winter wheat growth and soil N2O emissions in different phosphorus environments. Front. Plant Sci. 2022, 13, 1069627. [Google Scholar] [CrossRef]
  37. Zhang, L.; Qiu, Y.P.; Cheng, L.; Wang, Y.; Liu, L.L.; Tu, C.; Bowman, D.C.; Burkey, K.O.; Bian, X.M.; Zhang, W.J.; et al. Atmospheric CO2 enrichment and reactive nitrogen inputs interactively stimulate soil cation losses and acidification. Environ. Sci. Technol. 2018, 52, 6895–6902. [Google Scholar] [CrossRef]
  38. Giovannetti, M.; Mosse, B. Evaluation of techniques for measuring vesicular arbuscular mycorrhizal infection in roots. New Phytol. 1980, 84, 489–500. [Google Scholar] [CrossRef]
  39. Shi, Y.L.; Liu, X.R.; Zhang, Q.W. Effects of combined biochar and organic fertilizer on nitrous oxide fluxes and the related nitrifier and denitrifier communities in a salinealkali soil. Sci. Total Environ. 2019, 686, 199–211. [Google Scholar] [CrossRef]
  40. Gao, J.; Duan, M.; Zhang, X.; Li, Q.; Yu, F. Effects of frequency and intensity of drying-rewetting cycles on hydrocotyle vulgaris growth and greenhouse gas emissions from wetland microcosms. Catena 2018, 164, 44–49. [Google Scholar] [CrossRef]
  41. Guo, G.X.; Deng, H.; Qiao, M.; Mu, Y.J.; Zhu, Y.G. Effect of pyrene on denitrification activity and abundance and composition of denitrifying community in an agricultural soil. Environ Pollut. 2011, 159, 1886–1895. [Google Scholar] [CrossRef]
  42. Braker, G.; Fesefeldt, A.; Witzel, K.P. Development of PCR primer systems for amplification of nitrite reductase genes (nirK and nirS) to detect denitrifying bacteria in environmental samples. Appl. Environ. Microb. 1998, 64, 3769–3775. [Google Scholar] [CrossRef]
  43. Throbäck, I.N.; Enwall, K.; Jarvis, Å.; Hallin, S. Reassessing PCR primers targeting nirS; nirK and nosZ genes for community surveys of denitrifying bacteria with DGGE. FEMS Microbiol. Ecol. 2004, 49, 401–417. [Google Scholar] [CrossRef]
  44. Robinson, D. δ15N as an integrator of the nitrogen cycle. Trends Ecol. Evol. 2001, 16, 153–162. [Google Scholar] [CrossRef]
  45. Ghorbani, M.; Amirahmadi, E. Biochar and soil contributions to crop lodging and yield performance—A meta-analysis. Plant Physiol. Bioch. 2024, 215, 109053. [Google Scholar] [CrossRef]
  46. Ghorbani, M.; Amirahmadi, E.; Bernas, J.; Konvalina, P. Testing biochar’s ability to moderate extremely acidic soils in tea-growing areas. Agronomy 2024, 14, 533. [Google Scholar] [CrossRef]
  47. Guo, R.; Qian, R.; Yang, L.; Khaliq, A.; Han, F.; Hussain, S.; Zhang, P.; Cai, T.; Jia, Z.K.; Chen, X.L.; et al. Interactive effects of maize straw-derived biochar and N fertilization on soil bulk density and porosity, maize productivity and nitrogen use efficiency in arid areas. J. Soil Sci. Plant Nutr. 2022, 22, 4566–4586. [Google Scholar] [CrossRef]
  48. Liu, L.; Wang, Y.F.; Yan, X.W.; Li, J.W.; Jiao, N.Y.; Hu, S.J. Biochar amendments increase the yield advantage of legume-based inter cropping systems over monoculture. Agri. Ecosyst. Environ. 2017, 237, 16–23. [Google Scholar] [CrossRef]
  49. Mickan, B.S.; Abbott, L.K.; Stefanova, K.; Solaiman, Z.M. Interactions between biochar and mycorrhizal fungi in a water-stressed agricultural soil. Mycorrhiza 2016, 26, 565–574. [Google Scholar] [CrossRef]
  50. Liao, J.; Liu, X.; Hu, A.; Song, H.; Chen, X.; Zhang, Z. Effects of biochar-based controlled release nitrogen fertilizer on nitrogen-use efficiency of oilseed rape (Brassica napus L.). Sci. Rep. 2020, 10, 11063. [Google Scholar] [CrossRef]
  51. Ma, R.; Guan, S.; Dou, S.; Wu, D.; Xie, S.; Ndzelu, B.S. Different rates of biochar application change 15N retention in soil and 15 N utilization by maize. Soil Use Manag. 2020, 36, 773–782. [Google Scholar] [CrossRef]
  52. Zhu, Q.H.; Peng, X.H.; Huang, T.Q.; Xie, Z.B.; Holden, N.M. Effect of biochar addition on maize growth and nitrogen use efficiency in acidic red soils. Pedosphere 2014, 24, 699–708. [Google Scholar] [CrossRef]
  53. Fiorentino, N.; Sánchez-Monedero, M.A.; Lehmann, J.; Enders, A.; Fagnano, M.; Cayuela, M.L. Interactive priming of soil N transformations from combining biochar and urea inputs: A 15N isotope tracer study. Soil Biol. Biochem. 2019, 131, 166–175. [Google Scholar] [CrossRef]
  54. Zhang, X.; Zhang, J.Q.; Song, M.X.; Dong, Y.B.; Xiong, Z.Q. N2O and NO production and functional microbes responding to biochar aging process in an intensified vegetable soil. Environ. Pollut. 2022, 307, 119491. [Google Scholar] [CrossRef] [PubMed]
  55. Wang, Z.; Wang, Z.; Luo, Y.; Zhan, Y.N.; Meng, Y.L.; Zhou, Z.G. Biochar increases 15N fertilizer retention and indigenous soil N uptake in a cotton-barley rotation system. Geoderma 2020, 357, 113944. [Google Scholar] [CrossRef]
  56. Abel, S.; Peters, A.; Trinks, S.; Schonsky, H.; Facklam, M.; Wessolek, G. Impact of biochar and hydrochar addition on water retention and water repellency of sandy soil. Geoderma 2013, 202, 183–191. [Google Scholar] [CrossRef]
  57. Huang, M.; Yang, L.; Qin, H.; Jiang, L.; Zou, Y. Quantifying the effect of biochar amendment on soil quality and crop productivity in Chinese rice paddies. Field Crop Res. 2013, 154, 172–177. [Google Scholar] [CrossRef]
  58. Atkinson, C.J.; Fitzgerald, J.D.; Hipps, N.A. Potential mechanisms for achieving agricultural benefits from biochar application to temperate soils: A review. Plant Soil. 2010, 337, 1–18. [Google Scholar] [CrossRef]
  59. Ulyett, J.; Sakrabani, R.; Kibblewhite, M.; Hann, M. Impact of biochar addition on water retention; nitrification and carbon dioxide evolution from two sandy loam soils. Eur. J. Soil Sci. 2014, 65, 96–104. [Google Scholar] [CrossRef]
  60. Mandal, S.; Thangarajan, R.; Bolan, N.S.; Sarkar, B.; Khan, N.; Ok, Y.S.; Naidu, R. Biochar-induced concomitant decrease in ammonia volatilization and increase in nitrogen use efficiency by wheat. Chemosphere 2016, 142, 120–127. [Google Scholar] [CrossRef]
  61. Hodge, A.; Storer, K. Arbuscular mycorrhiza and nitrogen: Implications for individual plants through to ecosystems. Plant Soil. 2015, 386, 1–19. [Google Scholar] [CrossRef]
  62. Verzeaux, J.; Hirel, B.; Dubois, F.; Lea, P.J.; Tetu, T. Agricultural practices to improve nitrogen use efficiency through the use of arbuscular mycorrhizae: Basic and agronomic aspects. Plant Sci. 2017, 264, 48–56. [Google Scholar] [CrossRef] [PubMed]
  63. Hodge, A.; Fitter, A.H. Substantial nitrogen acquisition by arbuscular mycorrhizal fungi from organic material has implications for N cycling. Proc. Natl. Acad. Sci. USA 2010, 107, 13754–13759. [Google Scholar] [CrossRef] [PubMed]
  64. Cavagnaro, T.R.; Bender, S.F.; Asghari, H.R.; Heijden, M. The role of arbuscular mycorrhizas in reducing soil nutrient loss. Trends Plant Sci. 2015, 20, 283–290. [Google Scholar] [CrossRef] [PubMed]
  65. Zhang, S.J.; Lehmann, A.; Zheng, W.S.; You, Z.Y.; Rillig, M.C. Arbuscular mycorrhizal fungi increase grain yields: A meta-analysis. New Phytol. 2019, 222, 543–555. [Google Scholar] [CrossRef]
  66. Ezawa, T.; Yamamoto, K.; Yoshida, S. Enhancement of the effectiveness of indigenous arbuscular mycorrhizal fungi by inorganic soil amendments. Soil Sci. Plant Nutr. 2002, 48, 897–900. [Google Scholar] [CrossRef]
  67. Warnock, D.D.; Lehmann, J.; Kuyper, T.W.; Rillig, M.C. Mycorrhizal responses to biochar in soil—Concepts and mechanisms. Plant Soil. 2007, 300, 9–20. [Google Scholar] [CrossRef]
  68. Nguyen, T.T.N.; Xu, C.Y.; Tahmasbian, I.; Che, R.X.; Xu, Z.H.; Zhou, X.H.; Wallace, H.M.; Bai, S.H. Effects of biochar on soil available inorganic nitrogen: A review and meta-analysis. Geoderma 2017, 288, 79–96. [Google Scholar] [CrossRef]
  69. Liang, D.; Robertson, G.P. Nitrification is a minor source of nitrous oxide (N2O) in an agricultural landscape and declines with increasing management intensity. Glob. Change Biol. 2021, 27, 5599–5613. [Google Scholar] [CrossRef]
Figure 1. Schematic diagram of root compartments. The plexiglass mesocosms (45 cm length, 15 cm width, 18 cm depth) were constructed and separated into three identical compartments by different mesh membrane sizes to create different mycorrhizal treatments: (A) 0.45 μm pore size nylon mesh (neither AMF nor plant roots); (B) 20 μm pore size nylon mesh (only AMF hyphae can grow through); (C) 1.6 mm pore size nylon mesh (AMF hyphae and plant roots can penetrate through). Host compartments with growing maize and test compartments with N2O collection.
Figure 1. Schematic diagram of root compartments. The plexiglass mesocosms (45 cm length, 15 cm width, 18 cm depth) were constructed and separated into three identical compartments by different mesh membrane sizes to create different mycorrhizal treatments: (A) 0.45 μm pore size nylon mesh (neither AMF nor plant roots); (B) 20 μm pore size nylon mesh (only AMF hyphae can grow through); (C) 1.6 mm pore size nylon mesh (AMF hyphae and plant roots can penetrate through). Host compartments with growing maize and test compartments with N2O collection.
Agronomy 14 02627 g001
Figure 2. Effects of biochar input, AMF, and roots on soil N2O emission flux. Values are means ± SE (n = 4) at any given time point. (A) No biochar application; (B) biochar application.
Figure 2. Effects of biochar input, AMF, and roots on soil N2O emission flux. Values are means ± SE (n = 4) at any given time point. (A) No biochar application; (B) biochar application.
Agronomy 14 02627 g002
Figure 3. Effects of biochar input, AMF, and roots on soil total N2O emission. Values are mean ± SE (n = 4). B0, no biochar application; B1, biochar application. Different letters among the treatments indicated the significance according to Duncan’s LSD test at 0.05 level.
Figure 3. Effects of biochar input, AMF, and roots on soil total N2O emission. Values are mean ± SE (n = 4). B0, no biochar application; B1, biochar application. Different letters among the treatments indicated the significance according to Duncan’s LSD test at 0.05 level.
Agronomy 14 02627 g003
Figure 4. Effects of biochar input, AMF, and roots on soil nirK (A), nirS (B), and nosZ (C) gene copy numbers and nirS + nirK/nosZ ratio (D). Values are mean ± SE (n = 4). B0, no biochar application; B1, biochar application. Different letters among the treatments indicated the significance according to Duncan’s LSD test at 0.05 level.
Figure 4. Effects of biochar input, AMF, and roots on soil nirK (A), nirS (B), and nosZ (C) gene copy numbers and nirS + nirK/nosZ ratio (D). Values are mean ± SE (n = 4). B0, no biochar application; B1, biochar application. Different letters among the treatments indicated the significance according to Duncan’s LSD test at 0.05 level.
Agronomy 14 02627 g004
Figure 5. Relationships among plant biomass, soil inorganic N, denitrification gene abundance, AMF, and soil N2O emission. ** p < 0.01 and * p < 0.05.
Figure 5. Relationships among plant biomass, soil inorganic N, denitrification gene abundance, AMF, and soil N2O emission. ** p < 0.01 and * p < 0.05.
Agronomy 14 02627 g005
Table 1. Primers and qPCR cycle conditions.
Table 1. Primers and qPCR cycle conditions.
Target GenePrimerSequence Reaction Conditions of qPCRReference
nirSnirSCd3AFGTSAACGTSAAGGARACSGGProcedure 1[41]
nirSR3cdGASTTCGGRTGSGTCTTGA
nirKnirK1FGGMATGGTKCCSTGGCAProcedure 2[42]
nirK5RGCCTCGATCAGRTTRTGG
nosZnosZ-1FCGYTGTTCMTCGACAGCCAGProcedure 1[43]
nosZ-1622RCGSACCTTSTTGCCSTYGCG
Procedure 1: 5 min—95 °C, 30 s—95 °C, 30 s—58 °C annealing, 35 cycles, 1 min—72 °C, 5 min—72 °C, Procedure 2: 5 min—95 °C, 30 s—95 °C, 30 s—55 °C annealing, 35 cycles, 1 min—72 °C.
Table 2. Plant biomass, root colonization rate, and soil inorganic N contents with CK, AMF, and AMF + R treatments under different biochar application levels.
Table 2. Plant biomass, root colonization rate, and soil inorganic N contents with CK, AMF, and AMF + R treatments under different biochar application levels.
Biochar Levels TreatmentFresh Weight of the Root
(g plant−1)
Fresh Weight of the Shoot
(g plant−1)
Soil NH4+-N
(mg N kg−1)
Soil NO3-N
(mg N kg−1)
AMF Colonization (%)
B0CK110.78 ± 10.23 e 243.12 ± 20.34 d1.02 ± 0.24 a45.38 ± 5.12 a41.17 ± 4.78 c
AMF132.07 ± 15.36 cd 246.08 ± 22.67 d0.91 ± 0.25 b 27.70 ± 3.24 c40.27 ± 5.28 d
AMF + R136.63 ± 11.25 c266.47 ± 30.89 c0.87 ± 0.26 b9.65 ± 1.23 d 38.23 ± 4.17 fde
B1CK132.96 ± 16.39 cd260.46± 28.67 c0.95 ± 0.14 b32.20 ± 3.78 b45.14 ± 4.96 a
AMF141.66 ± 15.56 b304.61 ± 32.78 b0.73 ± 0.15 c 23.06 ± 2.79 c44.67 ± 5.02 b
AMF + R163.63 ± 21.15 a 338.62 ± 37.59 a0.68 ± 0.12 c7.33 ± 1.11 e43.46 ± 4.79 bc
Values are mean ± SE (n = 4). B0, no biochar application. B1, biochar application, Different letters among the treatments indicated the significance according to Duncan’s LSD test at 0.05 level.
Table 3. Results (F-values) of two-way ANOVA for the effects of biochar, AMF, and their interaction on plant and soil-related indices.
Table 3. Results (F-values) of two-way ANOVA for the effects of biochar, AMF, and their interaction on plant and soil-related indices.
FactorsBiochar(B)AMFB × AMF
Shoot biomass (g plant−1)16.7 **42.5 **12.1 *
Root biomass (g plant−1)14.2 **5.72.7
AMF colonization (%)29.6 **2.41.5
Soil NH4+-N (mg N kg−1)47.9 ***113.6 ***16.8 **
Soil NO3-N (mg N kg−1)20.78 **109.7 ***8.9
N2O emission flux (μg·m−2·h−1)116.2 ***79.4 ***25.7 **
nirK (copies g−1 soil)35.4 ***78.5 ***13.7 **
nirS(copies g−1 soil)56.2 ***82.3 ***17.5 **
nosZ(copies g−1 soil)38.9 ***78.5 ***24.7 ***
nirS + nirK/nosZ87.2 ***70.3 ***19.4 **
Significant effects: * p ≤ 0.05, ** p ≤ 0.01, *** p ≤ 0.001.
Table 4. Effects of biochar input, AMF, and roots on nitrogen uptake of maize and the fate of 15N-labeled urea N.
Table 4. Effects of biochar input, AMF, and roots on nitrogen uptake of maize and the fate of 15N-labeled urea N.
Biochar LevelsTreatmentNitrogen Content of Maize
(g kg−1)
15N Absorption of Maize
(g kg−1)
15N Utilization Efficiency (%)Soil 15N Retention Rate (%)Soil 15N Loss Rate (%)
B0CK16.79 ± 1.04 e3.35 ±8.93 d20.02 ± 2.25 d26.79 ± 3.04 e53.19 ± 4.28 a
AMF22.04 ± 1.23 c3.79 ±9.23 c23.63 ±1.40 c27.78 ± 3.23 d48.59 ± 4.28 c
AMF + R27.56 ± 2.18 a4.13 ± 8.59 b25.06 ± 2.09 b28.56 ± 14.18 c46.38 ± 4.28 d
B1CK18.29 ± 2.27 d3.75 ±3.10 c23.72 ± 6.24 c27.29 ± 2.27 d48.99 ± 4.28 b
AMF24.80 ± 2.47 b4.36 ±3.43 b24.74 ± 1.63 b29.80 ± 1.47 b45.46 ± 4.28 d
AMF + R28.09 ± 1.77 a4.98 ±7.07 a28.50 ± 3.37 a31.09 ± 3.77 a40.41 ± 4.28 e
Values are mean ± SE (n = 4). B0, no biochar application; B1, biochar application. Different letters among the treatments indicated the significance according to Duncan’s LSD test at 0.05 level.
Disclaimer/Publisher’s Note: The statements, opinions and data contained in all publications are solely those of the individual author(s) and contributor(s) and not of MDPI and/or the editor(s). MDPI and/or the editor(s) disclaim responsibility for any injury to people or property resulting from any ideas, methods, instructions or products referred to in the content.

Share and Cite

MDPI and ACS Style

Wang, Y.; Liu, J.; Deng, X.; Li, Y.; Gao, J.; Liu, L. Arbuscular Mycorrhizae Affect Soil Nitrogen Fertilizer Utilization, Denitrification Functional Genes, and N2O Emissions During Biochar Amendment. Agronomy 2024, 14, 2627. https://doi.org/10.3390/agronomy14112627

AMA Style

Wang Y, Liu J, Deng X, Li Y, Gao J, Liu L. Arbuscular Mycorrhizae Affect Soil Nitrogen Fertilizer Utilization, Denitrification Functional Genes, and N2O Emissions During Biochar Amendment. Agronomy. 2024; 14(11):2627. https://doi.org/10.3390/agronomy14112627

Chicago/Turabian Style

Wang, Yanfang, Jing Liu, Xuxian Deng, Yuyang Li, Jiakai Gao, and Ling Liu. 2024. "Arbuscular Mycorrhizae Affect Soil Nitrogen Fertilizer Utilization, Denitrification Functional Genes, and N2O Emissions During Biochar Amendment" Agronomy 14, no. 11: 2627. https://doi.org/10.3390/agronomy14112627

APA Style

Wang, Y., Liu, J., Deng, X., Li, Y., Gao, J., & Liu, L. (2024). Arbuscular Mycorrhizae Affect Soil Nitrogen Fertilizer Utilization, Denitrification Functional Genes, and N2O Emissions During Biochar Amendment. Agronomy, 14(11), 2627. https://doi.org/10.3390/agronomy14112627

Note that from the first issue of 2016, this journal uses article numbers instead of page numbers. See further details here.

Article Metrics

Back to TopTop