The Effect of Rhizobium Inoculation on the Nutritional Value of Crops in the Legume–Cereal Intercropping System in Northern Kazakhstan
Abstract
1. Introduction
2. Materials and Methods
2.1. Research Site
2.2. Description of Crops for the Experiment
2.3. Characteristics of the Tested Bacterial Preparations
2.4. Experimental Design
2.5. Measurements
2.6. Statistical Analysis of Results
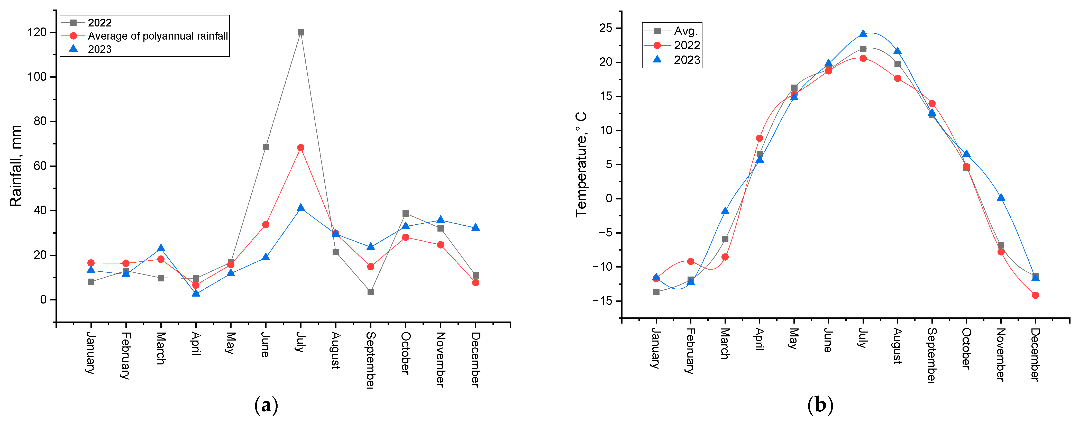
2.7. Weather Conditions
3. Results
3.1. Photosynthetic Activity
3.2. Digestible Energy of Grass Mixtures
3.3. Biochemical Composition
3.4. Amino Acid Content
4. Discussion
4.1. Influence of Component Composition on Photosynthetic Activity
4.2. Impact of Grass Mixtures on Nutritional Value and Yield
4.3. Effect of Inoculation on Biochemical Composition
5. Conclusions
Supplementary Materials
Author Contributions
Funding
Data Availability Statement
Conflicts of Interest
References
- Report of the Bureau of National Statistics, Agency for Strategic Planning and Reforms of the Republic of Kazakhstan. Industry Statistics. Statistics of Agriculture, Forestry, Hunting and Fishing. Available online: https://stat.gov.kz/ru/industries/business-statistics/stat-forrest-village-hunt-fish/spreadsheets/ (accessed on 15 July 2024).
- Pużyńska, K.; Synowiec, A.; Pużyński, S.; Bocianowski, J.; Klima, K.; Lepiarczyk, A. The Performance of Oat-Vetch Mixtures in Organic and Conventional Farming Systems. Agriculture 2021, 11, 332. [Google Scholar] [CrossRef]
- Brooker, R.W.; Bennett, A.E.; Cong, W.-F.; Daniell, T.J.; George, T.S.; Hallett, P.D.; Hawes, C.; Iannetta, P.P.M.; Jones, H.G.; Karley, A.J.; et al. Improving intercropping: A synthesis of research in agronomy, plant physiology and ecology. New Phytol. 2014, 206, 107–117. [Google Scholar] [CrossRef] [PubMed]
- Wenda-Piesik, A.; Synowiec, A. Productive and Ecological Aspects of Mixed Cropping System. Agriculture 2021, 11, 395. [Google Scholar] [CrossRef]
- Tahir, M.; Li, C.; Zeng, T.; Xin, Y.; Chen, C.; Javed, H.H.; Yang, W.; Yan, Y. Mixture Composition Influenced the Biomass Yield and Nutritional Quality of Legume–Grass Pastures. Agronomy 2022, 12, 1449. [Google Scholar] [CrossRef]
- Liu, N.; Karunakaran, C.; Lahlali, R.; Warkentin, T.; Bueckert, R.A. Genotypic and heat stress effects on leaf cuticles of field pea using ATR-FTIR spectroscopy. Planta 2019, 249, 601–613. [Google Scholar] [CrossRef]
- Šarūnaitė, L.; Toleikienė, M.; Arlauskienė, A.; Razbadauskienė, K.; Deveikytė, I.; Supronienė, S.; Semaškienė, R.; Kadžiulienė, Ž. Effects of Pea (Pisum sativum L.) Cultivars for Mixed Cropping with Oats (Avena sativa L.) on Yield and Competition Indices in an Organic Production System. Plants 2022, 11, 2936. [Google Scholar] [CrossRef]
- Krga, I.; Simić, A.; Dželetović, Ž.; Babić, S.; Katanski, S.; Nikolić, S.R.; Damnjanović, J. Biomass and Protein Yields of Field Peas and Oats Intercrop Affected by Sowing Norms and Nitrogen Fertilizer at Two Different Stages of Growth. Agriculture 2021, 11, 871. [Google Scholar] [CrossRef]
- Gecaitė, V.; Arlauskienė, A.; Cesevičienė, J. Competition Effects and Productivity in Oat–Forage Legume Relay Intercropping Systems under Organic Farming Conditions. Agriculture 2021, 11, 99. [Google Scholar] [CrossRef]
- Lizarazo, C.I.; Tuulos, A.; Jokela, V.; Mäkelä, P.S.A. Sustainable Mixed Cropping Systems for the Boreal- Nemoral Region. Front. Sustain. Food Syst. 2020, 4, 103. [Google Scholar] [CrossRef]
- Oyun, A.D.; Mongush, L.T.; Sotpa, A.S. Study of annual Sudanese -legume grass mixtures in the steppe zone of the Republic of Tyva. Bull. Altai State Agrar. Univ. 2017, 12, 37–41. Available online: https://cyberleninka.ru/article/n/travosmesi-odnoletnih-bobovyh-i-zlakovyh-kultur-v-usloviyah-respubliki-tyva (accessed on 12 July 2024).
- Baidalina, S.; Akhet, A.; Baidalin, M.; Bayazitova, Z.; Bekimova, G.; Ualiyeva, G. Enhancing Nutritional Value and Production Efficiency of Feeds Through Biochemical Composition Optimization. Org. Farming 2024, 10, 80–93. [Google Scholar] [CrossRef]
- Leszczyńska, D.; Klimek-Kopyra, A.; Patkowski, K. Evaluation of the Productivity of New Spring Cereal Mixture to Optimize Cultivation under Different Soil Conditions. Agriculture 2020, 10, 344. [Google Scholar] [CrossRef]
- Paudel, R.; Waisen, P.; Wang, K.H. Exploiting the Innate Potential of Sorghum/Sorghum- Sudangrass Cover Crops to Improve Soil Microbial Profile That Can Lead to Suppression of Plant-Parasitic Nematodes. Microorganisms 2021, 9, 1831. [Google Scholar] [CrossRef] [PubMed]
- Baidalina, S.; Baidalin, M.; Khusainov, A.; Kazydub, N.; Baiken, A. Photosynthetic activity, productivity, and nutritional value of mowing and grazing phytocenoses depending on the species composition of grasses. SABRAO J. Breed. Genet. 2023, 55, 825–835. [Google Scholar] [CrossRef]
- Nichiporovich, A.A. Guidelines for Recording and Monitoring the Most Important Indicators of the Processes of Photosynthetic Activity of Plants in Crops. -M.: Publishing House VASKHNIL, 1969. -S. 50-57. Available online: https://www.studmed.ru/view/nichiporovich-aa-metodicheskie-ukazaniya-po-uchetu-i-kontrolyu-vazhneyshih-pokazateley-processov-fotosinteticheskoy-deyatelnosti-rasteniy-v-posevah_0376d20f5ec.html (accessed on 1 July 2024).
- Dmitriev, N.N.; Khusnidinov, S.K. Methodology for Accelerated Determination of Leaf Surface Area of Agricultural Crops Using Computer Technology // Vestnik KrasGAU. 2016. No. 7. Available online: https://cyberleninka.ru/article/n/metodika-uskorennogo-opredeleniya-ploschadi-listovoy-poverhnosti-selskohozyaystvennyh-kultur-s-pomoschyu-kompyuternoy-tehnologii (accessed on 15 July 2024).
- Gomez, K.A.; Gomez, A.A. Statistical Procedures for Agricultural Research, 2nd ed.; John Wiley and Sons: New York, NY, USA, 1984; 680p, Available online: https://pdf.usaid.gov/pdf_docs/pnaar208.pdf (accessed on 15 July 2024).
- Mackiewicz, A.; Ratajczak, W. Principal components analysis (PCA), Comput. Geosci. 1993, 19, 303–342. [Google Scholar] [CrossRef]
- Klima, K.; Synowiec, A.; Puła, J.; Chowaniak, M.; Pużyńska, K.; Gala-Czekaj, D.; Kliszcz, A.; Galbas, P.; Jop, B.; Dąbkowska, T.; et al. Long-Term Productive, Competitive, and Economic Aspects of Spring Cereal Mixtures in Integrated and Organic Crop Rotations. Agriculture 2020, 10, 231. [Google Scholar] [CrossRef]
- Marković, J.P.; Milenković, J.R.; Petrović, M.P.; Zornić, V.G.; Racić, N.L.; Stepić, M.D.; Blagojević, M.B. Nutritive value of field pea - oat and common vetch - oat bicrops. J. Agric. Sci. Belgrade 2023, 68, 1–18. [Google Scholar] [CrossRef]
- Nieman, C.C.; Albrecht, K.A.; Schaefer, D.M. Corn and sudangrass intercropped with Kura clover for Midwest-ern pastures. Agron. J. 2020, 112, 2905–2915. [Google Scholar] [CrossRef]
- Li, Y.; Ming, B.; Fan, P.; Liu, Y.; Wang, K.; Hou, P.; Xue, J.; Li, S.; Xie, R. Quantifying contributions of leaf area and longevity to leaf area duration under increased planting density and nitrogen input regimens during maize yield improvement. Field Crop. Res. 2022, 283, 108551. [Google Scholar] [CrossRef]
- Liu, M.; Gong, J.-R.; Pan, Y.; Luo, Q.-P.; Zhai, Z.-W.; Xu, S.; Yang, L.-L. Effects of grass-legume mixtures on the production and photosynthetic capacity of constructed grasslands in Inner Mongolia, China. Crop Pasture Sci. 2016, 67, 1188–1198. [Google Scholar] [CrossRef]
- Vitale, L.; Vitale, E.; Francesca, S.; Lorenz, C.; Arena, C. Plant-Growth Promoting Microbes Change the Photosynthetic Response to Light Quality in Spinach. Plants 2023, 12, 1149. [Google Scholar] [CrossRef] [PubMed]
- Helgadóttir, Á.; Suter, M.; Gylfadóttir, T.Ó.; Kristjánsdóttir, T.A.; Luscher, A. Grass–legume mixtures sustain strong yield advantage over monocultures under cool maritime growing conditions over a period of 5 years. Ann. Bot. 2018, 122, 337–348. [Google Scholar] [CrossRef] [PubMed]
- Suter, M.; Connolly, J.; Finn, J.A.; Loges, R.; Kirwan, L.; Sebastià, M.-T.; Lüscher, A. Nitrogen yield advantage from grass–legume mixtures is robust over a wide range of legume proportions and environmental conditions. Glob. Chang. Biol. 2015, 21, 2424–2438. [Google Scholar] [CrossRef] [PubMed]
- Benmrid, B.; Ghoulam, C.; Zeroual, Y.; Kouisni, L.; Bargaz, A. Bioinoculants as a means of increasing crop tolerance to drought and phosphorus deficiency in legume-cereal intercropping systems. Commun. Biol. 2023, 6, 1016. [Google Scholar] [CrossRef] [PubMed]
- Mao, J.; Wang, P.; Xiao, C.-L.; Wu, J.-P.; Zhang, W.-P.; He, J.-R.; Lambers, H.; Li, L. Rhizobium inoculation improves yield advantages and soil Olsen phosphorus by enhancing interspecific facilitation in intercropping. Plant Soil 2023. Advance online publication. [Google Scholar] [CrossRef]
- Yamamoto, S.; Okazaki, S.; Monica, N.D.; Ohkama-Ohtsu, N.; Tanaka, H.; Sugihara, S. Effect of rhizobium inoculation on rhizosphere phosphorous dynamics and fertilized phosphorous use efficiency in a maize–pigeon pea intercropping system in weathered tropical soil. J. Sustain. Agric. Environ. 2023, 2, 357–368. [Google Scholar] [CrossRef]
- Sánchez-Navarro, V.; Zornoza, R.; Faz, Á.; Egea-Gilabert, C.; Ros, M.; Pascual, J.A.; Fernández, J.A. Inoculation with Different Nitrogen-Fixing Bacteria and Arbuscular Mycorrhiza Affects Grain Protein Content and Nodule Bacterial Communities of a Fava Bean Crop. Agronomy 2020, 10, 768. [Google Scholar] [CrossRef]











Disclaimer/Publisher’s Note: The statements, opinions and data contained in all publications are solely those of the individual author(s) and contributor(s) and not of MDPI and/or the editor(s). MDPI and/or the editor(s) disclaim responsibility for any injury to people or property resulting from any ideas, methods, instructions or products referred to in the content. |
© 2024 by the authors. Licensee MDPI, Basel, Switzerland. This article is an open access article distributed under the terms and conditions of the Creative Commons Attribution (CC BY) license (https://creativecommons.org/licenses/by/4.0/).
Share and Cite
Baidalin, M.; Akhet, A.; Baidalina, S.; Ualiyeva, G.; Vasiljević, S. The Effect of Rhizobium Inoculation on the Nutritional Value of Crops in the Legume–Cereal Intercropping System in Northern Kazakhstan. Agronomy 2024, 14, 2574. https://doi.org/10.3390/agronomy14112574
Baidalin M, Akhet A, Baidalina S, Ualiyeva G, Vasiljević S. The Effect of Rhizobium Inoculation on the Nutritional Value of Crops in the Legume–Cereal Intercropping System in Northern Kazakhstan. Agronomy. 2024; 14(11):2574. https://doi.org/10.3390/agronomy14112574
Chicago/Turabian StyleBaidalin, Marden, Akhama Akhet, Saltanat Baidalina, Gulmira Ualiyeva, and Sanja Vasiljević. 2024. "The Effect of Rhizobium Inoculation on the Nutritional Value of Crops in the Legume–Cereal Intercropping System in Northern Kazakhstan" Agronomy 14, no. 11: 2574. https://doi.org/10.3390/agronomy14112574
APA StyleBaidalin, M., Akhet, A., Baidalina, S., Ualiyeva, G., & Vasiljević, S. (2024). The Effect of Rhizobium Inoculation on the Nutritional Value of Crops in the Legume–Cereal Intercropping System in Northern Kazakhstan. Agronomy, 14(11), 2574. https://doi.org/10.3390/agronomy14112574

