Characteristics and Influence Factors of Soil Water and Salt Movement in the Yellow River Irrigation District
Abstract
:1. Introduction
2. Materials and Methods
2.1. Study Area
2.2. Methodology
2.2.1. Model Description
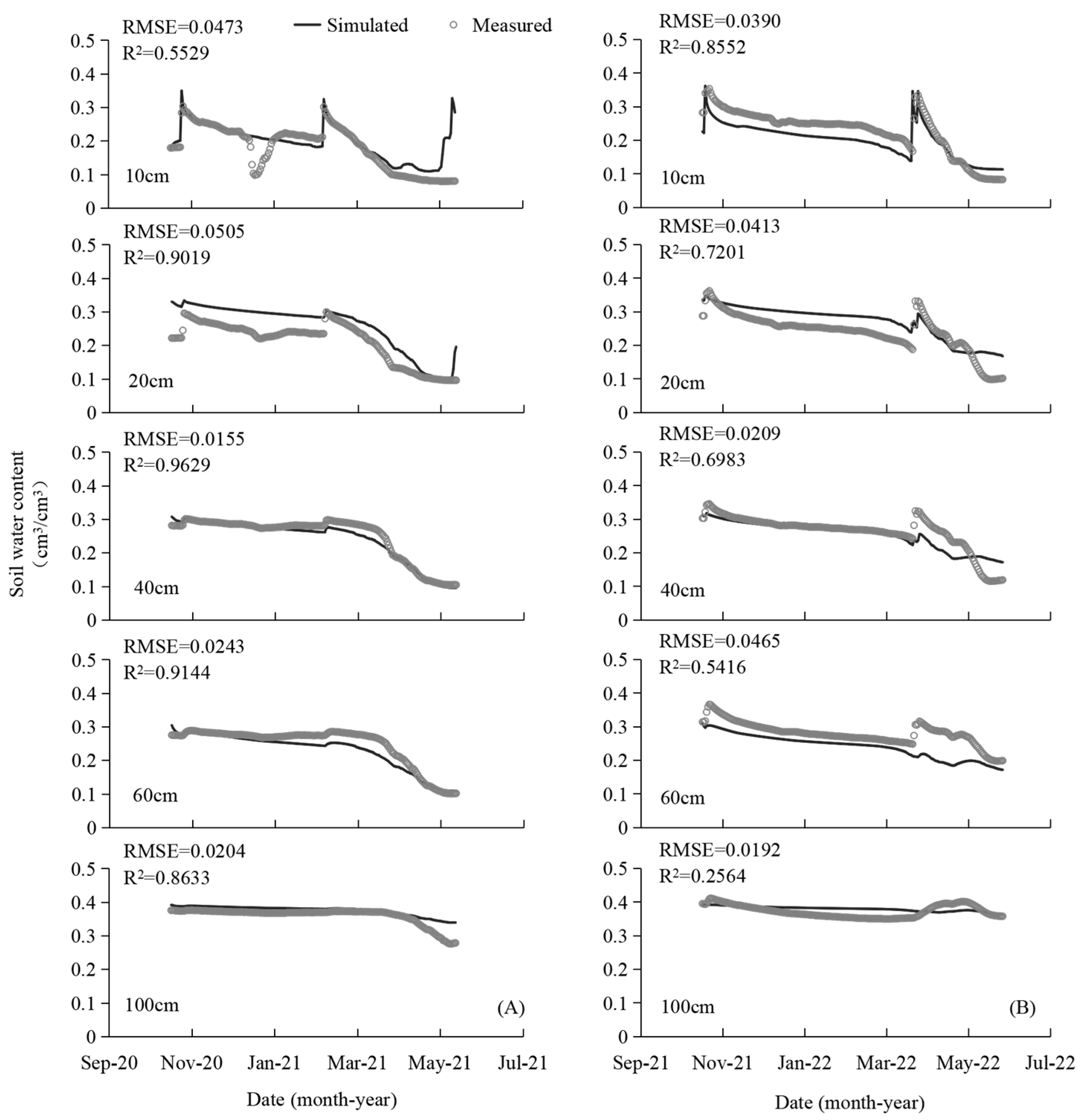
2.2.2. Model Calibration and Validation
2.2.3. Simulation Scheme Designs
3. Results
3.1. The Impact of Climate Factors on Soil Water Transport
3.2. Influence of Groundwater Fluctuation on Soil Water and Salt Movement
3.2.1. Soil Water and Salt Variation under Different Groundwater Levels
3.2.2. The Interaction between Soil and Groundwater
3.3. The Impact of Brackish Water Irrigation on Soil Water and Salt Transport
3.3.1. Variation in Soil Profile Salt Concentration
3.3.2. Salt Transport Processes
3.3.3. Salt Accumulation Layer
4. Discussion
4.1. Groundwater Level Affects the Migration and Distribution of Soil Salt
4.2. Precipitation Plays a Key Role in Soil Salt Transport
5. Conclusions
Author Contributions
Funding
Data Availability Statement
Conflicts of Interest
References
- Hermans, K.; Müller, D.; O’Byrne, D.; Olsson, L.; Stringer, L.C. Land degradation and migration. Nat. Sustain. 2023. [Google Scholar] [CrossRef]
- Fischer, J.; Bennett, E.; Pe’er, G. Agriculture: Reform the global food system. Nature 2023, 622, 461. [Google Scholar] [CrossRef] [PubMed]
- Grote, U. Can we improve global food security? A socio-economic and political perspective. Food Secur. 2014, 6, 187–200. [Google Scholar] [CrossRef]
- Xia, L.; Yan, X. How to feed the world while reducing nitrogen pollution. Nature 2023, 613, 34–35. [Google Scholar] [CrossRef] [PubMed]
- Ren, C.; Zhang, X.; Reis, S.; Wang, S.; Jin, J.; Xu, J.; Gu, B. Climate change unequally affects nitrogen use and losses in global croplands. Nat. Food 2023, 4, 294–304. [Google Scholar] [CrossRef] [PubMed]
- Rumpel, C. Interactions between soils and climate change. In Encyclopedia of Soils in the Environment; Elsevier: Amsterdam, The Netherlands, 2022; pp. 82–90. [Google Scholar]
- Yan, W.; Zhong, Y.; Shangguan, Z.; Torn, M.S. Response of soil greenhouse gas fluxes to warming: A global meta-analysis of field studies. Geoderma 2022, 419, 115865. [Google Scholar] [CrossRef]
- Wang, M.; Guo, X.; Zhang, S.; Xiao, L.; Mishra, U.; Yang, Y.; Zhu, B.; Wang, G.; Mao, X.; Qian, T.; et al. Global soil profiles indicate depth-dependent soil carbon losses under a warmer climate. Nat. Commun. 2022, 13, 5514. [Google Scholar] [CrossRef]
- Feng, Z.; Wang, L.; Peng, Q.; Li, J.; Liang, T. Effect of environmental factors on soil properties under different land use types in a typical basin of the North China Plain. J. Clean. Prod. 2022, 344, 131084. [Google Scholar] [CrossRef]
- Fan, K.; Slater, L.; Zhang, Q.; Sheffield, J.; Gentine, P.; Sun, S.; Wu, W. Climate warming accelerates surface soil moisture drying in the Yellow River Basin, China. J. Hydrol. 2022, 615, 128735. [Google Scholar] [CrossRef]
- Eswar, D.; Karuppusamy, R.; Chellamuthu, S. Drivers of soil salinity and their correlation with climate change. Curr. Opin. Environ. Sustain. 2021, 50, 310–318. [Google Scholar] [CrossRef]
- Nazir, U.; Ehsanullah, S.A.A.; Farooq, A.; Nawaz, U.; Nawaz, M.; Samiullah, M. Climate Change and Agricultural Systems: Potential Impacts and Soil Management Strategies—A Review. J. Agric. Res. 2017, 2017, 501–515. [Google Scholar] [CrossRef]
- Olesen, J.R.E.; Bindi, M. Consequences of climate change for European agricultural productivity, land use and policy. Eur. J. Agron. 2002, 16, 239–262. [Google Scholar] [CrossRef]
- Gomez, A.M.R.; de Jong van Lier, Q.; Silvero, N.E.Q.; Inforsato, L.; de Melo, M.L.A.; Rodríguez-Albarracín, H.S.; Rosin, N.A.; Rosas, J.T.F.; Rizzo, R.; Demattê, J.A. Digital mapping of the soil available water capacity: Tool for the resilience of agricultural systems to climate change. Sci. Total Environ. 2023, 882, 163572. [Google Scholar] [CrossRef] [PubMed]
- Zhao, X.; Huang, M.; Yan, X.; Yang, Y. The impacts of climate change and cropping systems on soil water recovery in the 0-1500 cm soil profile after alfalfa. Agric. Water Manag. 2022, 272, 107878. [Google Scholar] [CrossRef]
- Wang, C.; Chen, J.; Gu, L.; Wu, G.; Tong, S.; Xiong, L.; Xu, C.-Y. A pathway analysis method for quantifying the contributions of precipitation and potential evapotranspiration anomalies to soil moisture drought. J. Hydrol. 2023, 621, 129570. [Google Scholar] [CrossRef]
- Zhang, B.; Zhang, Z.; Meng, X.; Liu, J.; Xia, T.; Guo, B.; Zhou, B.; Ji, J. Holocene synchronous evolution of precipitation and soil moisture as evidenced by paleosol deposits in the Ili Basin, Central Asia. Palaeogeogr. Palaeoclimatol. Palaeoecol. 2023, 615, 111466. [Google Scholar] [CrossRef]
- Yu, Z.; Yang, P. Climate change and its impact on soil moisture in Beijing-Tianjin-Hebei region in recent 50 years. Guizhou Agric. Sci. 2019, 47, 144–149. [Google Scholar]
- Khosravichenar, A.; Aalijahan, M.; Moaazeni, S.; Lupo, A.R.; Karimi, A.; Ulrich, M.; Parvian, N.; Sadeghi, A.; von Suchodoletz, H. Assessing a multi-method approach for dryland soil salinization with respect to climate change and global warming-The example of the Bajestan region (NE Iran). Ecol. Indic. 2023, 154, 110639. [Google Scholar] [CrossRef]
- He, K.; Yang, Y.; Yang, Y.; Chen, S.; Hu, Q.; Liu, X.; Gao, F. HYDRUS Simulation of Sustainable Brackish Water Irrigation in a Winter Wheat-Summer Maize Rotation System in the North China Plain. Water 2017, 9, 536. [Google Scholar] [CrossRef]
- Khasanov, S.; Li, F.; Kulmatov, R.; Zhang, Q.; Qiao, Y.; Odilov, S.; Yu, P.; Leng, P.; Hirwa, H.; Tian, C.; et al. Evaluation of the perennial spatio-temporal changes in the groundwater level and mineralization, and soil salinity in irrigated lands of arid zone: As an example of Syrdarya Province, Uzbekistan. Agric. Water Manag. 2022, 263, 107444. [Google Scholar] [CrossRef]
- Chen, J.; Tan, M.Z.; Zhao, B.Z.; Mi, S.-X.; Shi, X.-Z. Spatio-Temporal Variability of Soil Salinity in Alluvial Plain of the Lower Reaches of the Yellow River—A Case Study. Pedosphere 2011, 21, 793–801. [Google Scholar] [CrossRef]
- Wang, Z.; Li, Z.; Zhan, H.; Yang, S. Effect of long-term saline mulched drip irrigation on soil-groundwater environment in arid Northwest China. Sci. Total Environ. 2022, 820, 153222. [Google Scholar] [CrossRef] [PubMed]
- Wang, P.; Song, X.; Yuan, R.; Han, D.M.; Zhang, Y.H.; Zhang, B.; Li, B.G. Water flux estimation in SPAC system of farmland using Hydrus-1d model: A case of Dongcun Farm in Yuncheng City, Shanxi Province. Geogr. Res. 2011, 30, 622–634. [Google Scholar]
- Qiao, D.; Qi, X.; Pang, H.; Wu, H.; Fan, X.; Zhu, D.; Hu, C. Effects of brackish water irrigation on soil and crop under different groundwater depths. Trans. Chin. Soc. Agric. Eng. 2009, 25, 55–61. [Google Scholar]
- Qiao, Y.; Yu, Z. Simulation stdy on the effects of irrigation on soil salt and saline water exploration. Acta Ecol. Sin. 2003, 23, 2050–2056. [Google Scholar]
- Li, X.; Xia, J.; Zhao, X.; Chen, Y. Effects of planting Tamarix chinensis on shallow soil water and salt content under different groundwater depths in the Yellow River Delta. Geoderma 2019, 335, 104–111. [Google Scholar] [CrossRef]
- Aboelsoud, H.M.; Habib, A.; Engel, B.; Hashem, A.A.; El-Hassan, W.A.; Govind, A.; Elnashar, A.; Eid, M.; Kheir, A.M. The combined impact of shallow groundwater and soil salinity on evapotranspiration using remote sensing in an agricultural alluvial setting. J. Hydrol.-Reg. Stud. 2023, 47, 101372. [Google Scholar] [CrossRef]
- Han, M.; Zhao, C.; Simunek, J.; Feng, G. Evaluating the impact of groundwater on cotton growth and root zone water balance using Hydrus-1D coupled with a crop growth model. Agric. Water Manag. 2015, 160, 64–75. [Google Scholar] [CrossRef]
- Burst, M.; Chauchard, S.; Dambrine, E.; Dupouey, J.-L.; Amiaud, B. Distribution of soil properties along forest-grassland interfaces: Influence of permanent environmental factors or land-use after-effects? Agric. Ecosyst. Environ. 2020, 289, 106739. [Google Scholar] [CrossRef]
- Mao, X.; Zheng, J.; Yu, W.; Guo, X.; Xu, K.; Zhao, R.; Xiao, L.; Wang, M.; Jiang, Y.; Zhang, S.; et al. Climate-induced shifts in composition and protection regulate temperature sensitivity of carbon decomposition through soil profile. Soil Biol. Biochem. 2022, 172, 108743. [Google Scholar] [CrossRef]
- Li, Z.; Sun, A.; Liu, X.; Chen, Q.-L.; Bi, L.; Ren, P.-X.; Shen, J.-P.; Jin, S.; He, J.-Z.; Hu, H.-W.; et al. Climate warming increases the proportions of specific antibiotic resistance genes in natural soil ecosystems. J. Hazard. Mater. 2022, 430, 128442. [Google Scholar] [CrossRef] [PubMed]
- Anindita, S.; Sleutel, S.; Finke, P. Land use impacts on weathering, soil properties, and carbon storage in wet Andosols, Indonesia. Geoderma 2022, 423, 115963. [Google Scholar] [CrossRef]
- Yan, X.; Xia, L.; Ti, C. Win-win Nitrogen Management Practices for Improving Crop Yield and Environmental Sustainability. Bull. Chin. Acad. Sci. 2018, 33, 177–183. [Google Scholar]
- Xiao, C.; Ji, Q.; Zhang, F.; Li, Y.; Fan, J.; Hou, X.; Yan, F.; Liu, X.; Gong, K. Effects of various soil water potential thresholds for drip irrigation on soil salinity, seed cotton yield and water productivity of cotton in northwest China. Agric. Water Manag. 2023, 279, 108172. [Google Scholar] [CrossRef]
- Che, Z.; Wang, J.; Li, J. Effects of water quality, irrigation amount and nitrogen applied on soil salinity and cotton production under mulched drip irrigation in arid Northwest China. Agric. Water Manag. 2021, 247, 106738. [Google Scholar] [CrossRef]
- Yang, J.; Shao, Y.; Gao, W.; Ren, S. Effects of Saline Water Irrigation on Soil Salinity and Crop Yield. Bull. Soil Water Conserv. 2013, 33, 17–20. [Google Scholar]
- Dong, X.; Wang, J.; Zhang, X.; Dang, H.; Singh, B.P.; Liu, X.; Sun, H. Long-term saline water irrigation decreased soil organic carbon and inorganic carbon contents. Agric. Water Manag. 2022, 270, 107760. [Google Scholar] [CrossRef]
- Liu, C.; Li, K.; Geng, Y.; Li, Q. Microstructure characteristics of soils with different land use types in the Yellow River Delta. Trans. Chin. Soc. Agric. Eng. 2020, 36, 81–87. [Google Scholar]
- Qian, Y.; Zhang, Z.; Fei, Y.; Chen, J.; Zhang, F.E.; Wang, Z. Sustainable exploitable potential of shallow groundwater in the North China Plain. Chin. J. Eco-Agric. 2014, 22, 890–897. [Google Scholar]
- Chen, S.; Song, C.; Mao, X.; Shang, S. Modeling response of spring wheat yield to soil water and salt contents and its application in scheduling brackish water irrigation. Comput. Electron. Agric. 2022, 200, 107216. [Google Scholar] [CrossRef]
- Zhang, Y.; Li, X.; Simunek, J.; Shi, H.; Chen, N.; Hu, Q.; Tian, T. Evaluating soil salt dynamics in a field drip-irrigated with brackish water and leached with freshwater during different crop growth stages. Agric. Water Manag. 2021, 244, 106601. [Google Scholar] [CrossRef]
- Ouyang, Z.; Qiao, Y.; Zhan, C.; Sun, Z.; Yu, Y.; Cai, X.; Li, F. Groundwater-Agroecosystem Experimental Simulator (Yucheng GAS). Bull. Chin. Acad. Sci. 2021, 36, 852–861. [Google Scholar]
- Feng, G.; Zhu, C.; Wu, Q.; Wang, C.; Zhang, Z.; Mwiya, R.M.; Zhang, L. Evaluating the impacts of saline water irrigation on soil water-salt and summer maize yield in subsurface drainage condition using coupled HYDRUS and EPIC model. Agric. Water Manag. 2021, 258, 107175. [Google Scholar] [CrossRef]
- Wang, J.J.; Long, H.Y.; Huang, Y.F.; Wang, X.; Cai, B.; Liu, W. Effects of different irrigation management parameters on cumulative water supply under negative pressure irrigation. Agric. Water Manag. 2019, 224, 105743. [Google Scholar] [CrossRef]
- Zeng, W.Z.; Xu, C.; Wu, J.; Huang, J. Soil salt leaching under different irrigation regimes: HYDRUS-1D modelling and analysis. J. Arid Land 2014, 6, 44–58. [Google Scholar] [CrossRef]
- Richards, L.A. Capillary conduction of liquids through porous mediums. Phys.-A J. Gen. Appl. Phys. 1931, 1, 318–333. [Google Scholar] [CrossRef]
- Šimůnek, J.; Sejna, M.; Saito, H.; Sakai, M.; van Genuchten, M.T. The Hydrus-1D Software Package for Simulating the Movement of Water, Heat, and Multiple Solutes in Variably Saturated Media, Version 4.17; HYDRUS Software Series 3; Department of Environmental Sciences, University of California Riverside: Riverside, CA, USA, 2013. [Google Scholar]
- Belmans, C.; Wesseling, J.G.; Feddes, R.A. Simulation model of the water balance of a cropped soil: SWATRE. J. Hydrol. 1983, 63, 271–286. [Google Scholar] [CrossRef]
- Zhou, T.; Zou, L.; Chen, X. Commentary on the Coupled Model Intercomparison Project Phase 6 (CMIP6). Progress. Inquisitiones Mutat. Clim. 2019, 15, 445–456. [Google Scholar]
- O’Neill, B.C.; Tebaldi, C.; van Vuuren, D.P.; Eyring, V.; Friedlingstein, P.; Hurtt, G.; Knutti, R.; Kriegler, E.; Lamarque, J.-F.; Lowe, J.; et al. The Scenario Model Intercomparison Project (ScenarioMIP) for CMIP6. Geosci. Model Dev. 2016, 9, 3461–3482. [Google Scholar] [CrossRef]
- Zhang, L.; Chen, X.; Xin, X. Short commentary on CMIP6 Scenario Model Intercomparison Project (ScenarioMIP). Progress. Inquisitiones Mutat. Clim. 2019, 15, 519–525. [Google Scholar]
- Ayers, R.S.; Westcot, D.W. Water Quality for Agriculture; Food and Agriculture Organization of the United Nations: Rome, Italy, 1976. [Google Scholar]
- Li, N.; Ren, L.; Tang, Z. Modeling and analyzing water flow in a thick unsaturated zone during precipitation and infiltration. Trans. Chin. Soc. Agric. Eng. 2013, 29, 94–100. [Google Scholar]
- Zhang, Q.; Zhao, Z.; Jia, L.; Wang, W.; Jia, W. Analysis of land subsidence status and influencing factors in Yellow River Delta. Sci. Surv. Mapp. 2022, 47, 165–173. [Google Scholar]
- Mao, P.; Guo, L.; Cao, B.; Pang, Y.; Liu, W.; Tan, C.; Jia, B.; Cao, Z. Effects of Groundwater Mineralization and Groundwater Depth on Eco-Physiological Characteristics of Robinia pseudoacacia L. in the Yellow River Delta, China. Forests 2022, 13, 915. [Google Scholar] [CrossRef]
- Chen, S.; Mao, X.; Shang, S. Response and contribution of shallow groundwater to soil water/salt budget and crop growth in layered soils. Agric. Water Manag. 2022, 266, 107574. [Google Scholar] [CrossRef]
- Walter, J.; Lueck, E.; Bauriegel, A.; Facklam, M.; Zeitz, J. Seasonal dynamics of soil salinity in peatlands: A geophysical approach. Geoderma 2018, 310, 1–11. [Google Scholar] [CrossRef]
- Liu, B.; Wang, S.; Kong, X.; Liu, X. Soil matric potential and salt transport in response to different irrigated lands and soil heterogeneity in the North China Plain. J. Soils Sediments 2019, 19, 3982–3993. [Google Scholar] [CrossRef]
- Liu, B.; Wang, S.; Liu, X.; Sun, H. Evaluating soil water and salt transport in response to varied rainfall events and hydrological years under brackish water irrigation in the North China Plain. Geoderma 2022, 422, 115954. [Google Scholar] [CrossRef]
- Xu, X.; Huang, G.; Sun, C.; Pereira, L.S.; Ramos, T.B.; Huang, Q.; Hao, Y. Assessing the effects of water table depth on water use, soil salinity and wheat yield: Searching for a target depth for irrigated areas in the upper Yellow River basin. Agric. Water Manag. 2013, 125, 46–60. [Google Scholar] [CrossRef]
- Yin, C.-Y.; Zhao, J.; Chen, X.-B.; Li, L.-J.; Liu, H.; Hu, Q.-L. Desalination characteristics and efficiency of high saline soil leached by brackish water and Yellow River water. Agric. Water Manag. 2022, 263, 107461. [Google Scholar] [CrossRef]
- Zhu, J.; Sun, J.; Zhang, Z.; Yang, R.; Pan, Y.; Yang, M. Effects of Alternate Irrigation with Brackish and Fresh Water on Water and Salt Movement in Coastal Saline Soil. Res. Soil Water Conserv. 2019, 26, 113–117. [Google Scholar]
- Wang, T.; Xu, Z.; Pang, G. Effects of Irrigating with Brackish Water on Soil Moisture, Soil Salinity, and the Agronomic Response of Winter Wheat in the Yellow River Delta. Sustainability 2019, 11, 5801. [Google Scholar] [CrossRef]
- Wang, H.; Xu, Z.; Pang, G.; Zhang, L.; Wang, X. Effects of Brackish Water Irrigation on Water-salt Distribution and Winter Wheat Growth. J. Soil Water Conserv. 2017, 31, 291–297. [Google Scholar]
- Xie, T.; Liu, X.; Sun, T. The effects of groundwater table and flood irrigation strategies on soil water and salt dynamics and reed water use in the Yellow River Delta, China. Ecol. Model. 2011, 222, 241–252. [Google Scholar] [CrossRef]
- Hua, D.; Hu, S.; Mo, X. Impacts of water conservancy projects on agricultural water use efficiency and crop productivity in the Nianchu River Basin of China. Trans. Chin. Soc. Agric. Eng. 2022, 38, 98–107. [Google Scholar]
- Zhao, Y.; Xiao, D.; Bai, H.; Zhao, Y.; Xiao, D.; Huizi, B.; Tao, F. Research progress on the response and adaptation of crop phenology to climate change in China. Prog. Geogr. 2019, 38, 224–235. [Google Scholar]
- Xiao, D.; Tao, F. Impact of climate change in 19812009 on winter wheat phenology in the North China Plain. Chin. J. Eco-Agric. 2012, 20, 1539–1545. [Google Scholar] [CrossRef]
- Philippot, L.; Chenu, C.; Kappler, A.; Rillig, M.C.; Fierer, N. The interplay between microbial communities and soil properties. Nat. Rev. Microbiol. 2023. [Google Scholar] [CrossRef]


















| SSP245/SSP585 | G2 | G3 | G4 |
|---|---|---|---|
| S0 | S0-G2 | S0-G3 | S0-G4 |
| S1 | S1-G2 | S1-G3 | S1-G4 |
| S2 | S2-G2 | S2-G3 | S2-G4 |
| S3 | S3-G2 | S3-G3 | S3-G4 |
| Climate Scenario | 2 m Groundwater Level (G2) | 3 m Groundwater Level (G3) | 4 m Groundwater Level (G4) | ||||||
|---|---|---|---|---|---|---|---|---|---|
| Wheat Season | Corn Season | Annual Average | Wheat Season | Corn Season | Annual Average | Wheat Season | Corn Season | Annual Average | |
| SSP245 | 116 | −65 | 51 | 64 | −5 | 59 | 10 | 17 | 27 |
| SSP585 | 100 | −95 | 5 | 52 | −42 | 10 | 29 | −32 | −3 |
Disclaimer/Publisher’s Note: The statements, opinions and data contained in all publications are solely those of the individual author(s) and contributor(s) and not of MDPI and/or the editor(s). MDPI and/or the editor(s) disclaim responsibility for any injury to people or property resulting from any ideas, methods, instructions or products referred to in the content. |
© 2023 by the authors. Licensee MDPI, Basel, Switzerland. This article is an open access article distributed under the terms and conditions of the Creative Commons Attribution (CC BY) license (https://creativecommons.org/licenses/by/4.0/).
Share and Cite
He, K.; Zhang, Q.; Ai, Z.; Xu, N.; Qiao, Y.; Tian, C.; Leng, P.; Cheng, H.; Chen, G.; Li, F. Characteristics and Influence Factors of Soil Water and Salt Movement in the Yellow River Irrigation District. Agronomy 2024, 14, 92. https://doi.org/10.3390/agronomy14010092
He K, Zhang Q, Ai Z, Xu N, Qiao Y, Tian C, Leng P, Cheng H, Chen G, Li F. Characteristics and Influence Factors of Soil Water and Salt Movement in the Yellow River Irrigation District. Agronomy. 2024; 14(1):92. https://doi.org/10.3390/agronomy14010092
Chicago/Turabian StyleHe, Kangkang, Qiuying Zhang, Zhipin Ai, Ning Xu, Yunfeng Qiao, Chao Tian, Peifang Leng, Hefa Cheng, Gang Chen, and Fadong Li. 2024. "Characteristics and Influence Factors of Soil Water and Salt Movement in the Yellow River Irrigation District" Agronomy 14, no. 1: 92. https://doi.org/10.3390/agronomy14010092
APA StyleHe, K., Zhang, Q., Ai, Z., Xu, N., Qiao, Y., Tian, C., Leng, P., Cheng, H., Chen, G., & Li, F. (2024). Characteristics and Influence Factors of Soil Water and Salt Movement in the Yellow River Irrigation District. Agronomy, 14(1), 92. https://doi.org/10.3390/agronomy14010092

