Mitigation of Salt Stress in Reaumuria soongarica Seedlings by Exogenous Ca2+ and NO Compound Treatment
Abstract
1. Introduction
2. Materials and Methods
2.1. Experimental Materials
2.2. Material Planting
2.3. The Experimental Design
2.4. Index Determination
2.5. Data Analysis
3. Results and Analysis
3.1. Mitigation Effects of Ca2+ and NO Compound Treatment on Growth Indicators of R. soongarica Seedlings under Salt Stress
3.2. Mitigation Effects of Ca2+ and NO Compound Treatment on the Antioxidant System of R. soongarica Seedlings under Salt Stress
3.2.1. Effects of Ca2+ and NO Compound Treatment on ROS Accumulation in R. soongarica under Salt Stress
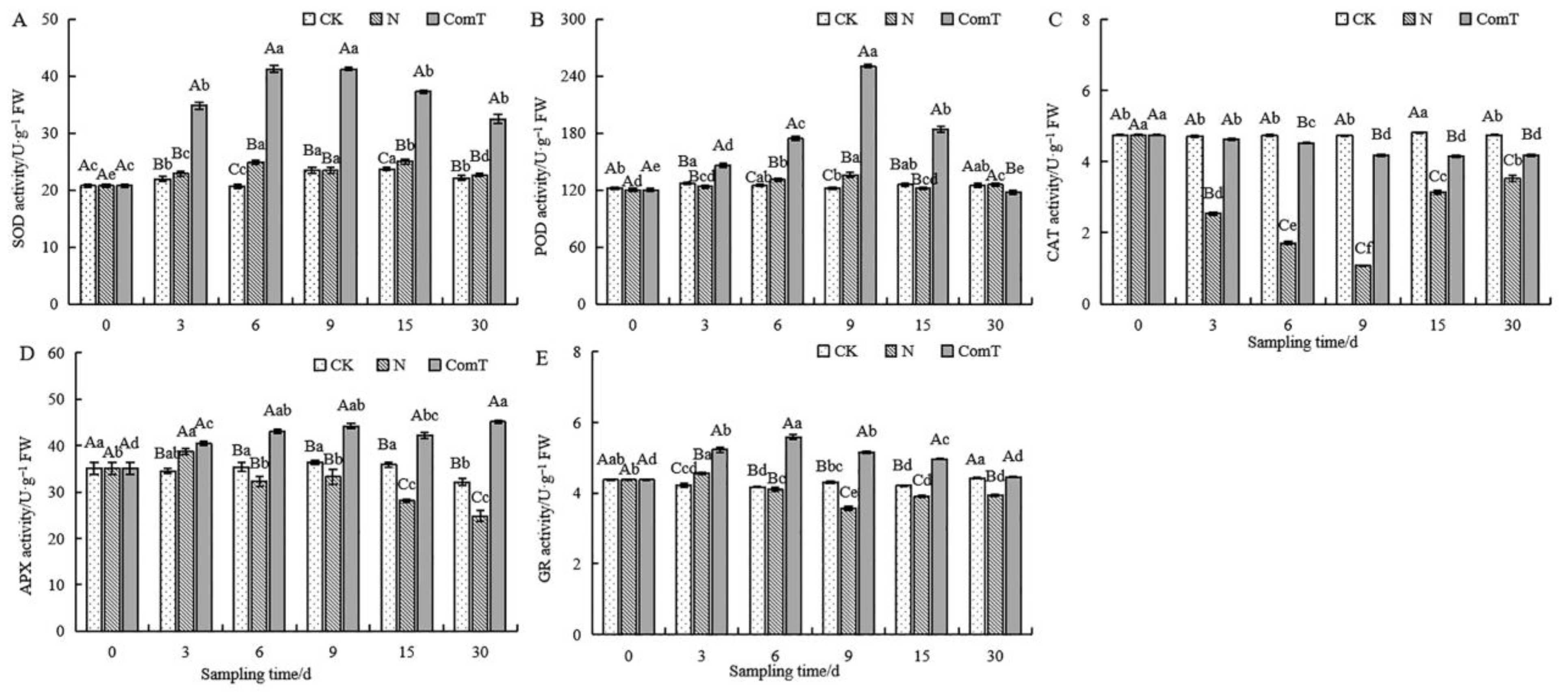
3.2.2. Effects of Ca2+ and NO Compound Treatment on Antioxidase Activities in R. soongarica under Salt Stress
3.2.3. Effects of Ca2+ and NO Compound Treatment on the Contents of Nonenzymatic Antioxidant Substances in R. soongarica under Salt Stress
3.3. Mitigation Effects of Ca2+ and NO Compound Treatment on the Carbon Compound Metabolism in R. soongarica Seedlings under Salt Stress
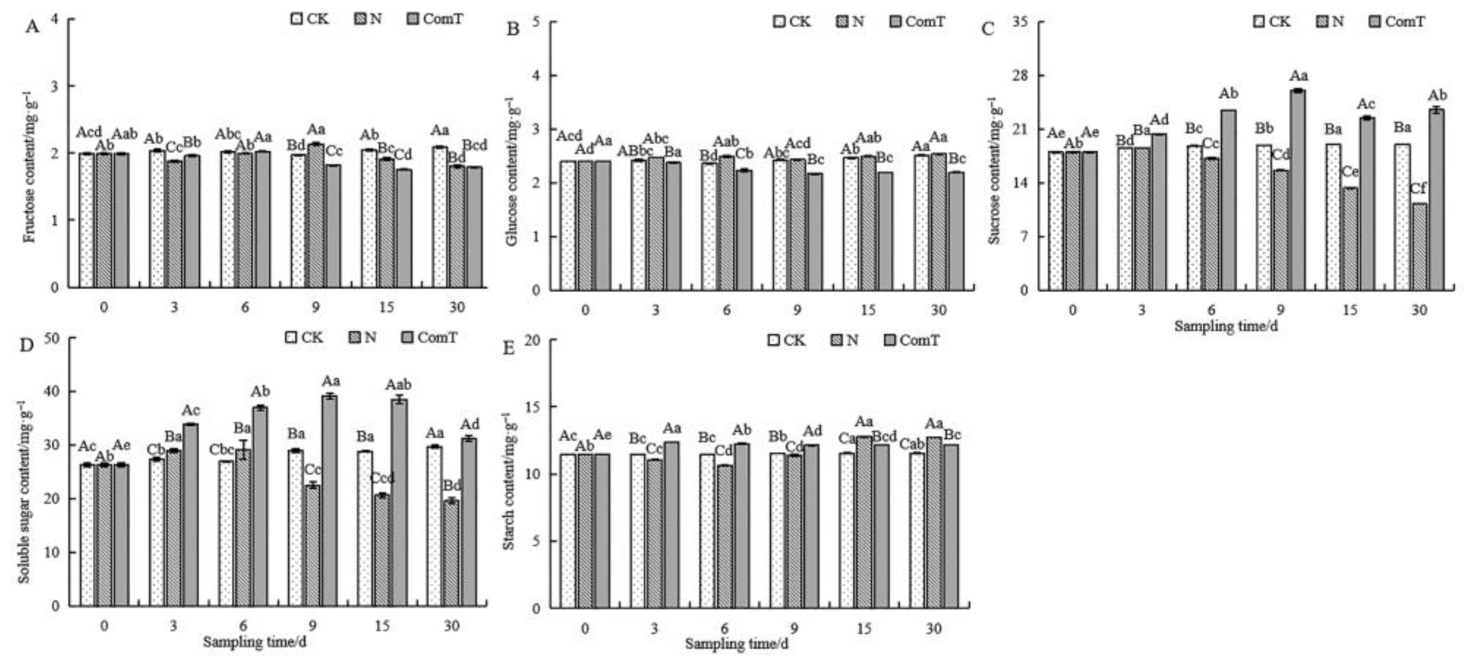
3.3.1. Effects of Ca2+ and NO Compound Treatment on the Accumulation of Carbon Compounds in R. soongarica under Salt Stress
3.3.2. Effects of Ca2+ and NO Compound Treatment on Carbon Metabolism-Related Enzyme Activities in R. soongarica under Salt Stress
3.4. Mitigation Effects of Ca2+ and NO Compound Treatment on the Metabolism of Nitrogen Compounds in R. soongarica Seedlings under Salt Stress
3.4.1. Effects of Ca2+ and NO Compound Treatment on the Accumulation of Nitrogen Compounds in R. soongarica under Salt Stress
3.4.2. Effects of Ca2+ and NO Compound Treatment on Nitrogen Metabolism-Related Enzyme Activities in R. soongarica under Salt Stress
4. Discussion
4.1. Mitigation Effects of Ca2+ and NO Compound Treatment on Plant Growth Parameters under Salt Stress
4.2. Effects of Exogenous Ca2+ and NO Compound Treatment on the Antioxidant System in R. soongarica Seedlings under High-Salt Stress
4.2.1. Ca2+ and NO Compound Treatment Alleviates High-Salt Stress by Reducing the Accumulation of ROS in R. soongarica Seedlings
4.2.2. Ca2+ and NO Compound Treatment Alleviates High-Salt Stress by Increasing the Antioxidant Enzyme Activities in R. soongarica Seedlings
4.2.3. Ca2+ and NO Compound Treatment Alleviates High-Salt Stress by Increasing the Contents of Nonenzymatic Antioxidant Substances in R. soongarica Seedlings
4.3. Effects of Exogenous Ca2+ and NO Compound Treatment on Carbon and Nitrogen Compound Metabolism in R. soongarica Seedlings under High-Salt Stress
4.3.1. Effects of Exogenous Ca2+ and NO Compound Treatment on Carbon Compound Metabolism in R. soongarica Seedlings under High-Salt Stress
4.3.2. Effects of Exogenous Ca2+ and NO Compound Treatment on Nitrogen Compound Metabolism in R. soongarica Seedlings under High-Salt Stress
5. Conclusions
Author Contributions
Funding
Data Availability Statement
Acknowledgments
Conflicts of Interest
References
- Zhang, J.; Xing, S.; Li, J.; Makeschin, F.; Song, Y. Agroforestry and its Application in Amelioration of Saline Soils in Eastern China Coastal Region. For. Stud. China 2004, 6, 27–33. [Google Scholar] [CrossRef]
- Daliakopoulos, I.N.; Tsanis, I.K.; Koutroulis, A.; Kourgialas, N.N.; Varouchakis, A.E.; Karatzas, G.P.; Ritsema, C.J. The threat of soil salinity: A European scale review. Sci. Total Environ. 2016, 573, 727–739. [Google Scholar] [CrossRef] [PubMed]
- Jose, A.M.; Maria, O.O.; Agustina, B.V.; Pedro, D.V.; Maria, S.B.; Jose, H. Plant Responses to Salt Stress: Adaptive Mechanisms. Agronomy 2017, 7, 18. [Google Scholar]
- Muchate, N.S.; Nikalje, G.C.; Rajurkar, N.S.; Suprasanna, P.; Nikam, T.D. Plant Salt Stress: Adaptive Responses, Tolerance Mechanism and Bioengineering for Salt Tolerance. Bot. Rev. 2016, 82, 371–406. [Google Scholar] [CrossRef]
- Ashraf, M.A.; Akbar, A.; Parveen, A.; Rasheed, R.; Hussain, I.; Iqbal, M. Phenological application of selenium differentially improves growth, oxidative defense and ion homeostasis in maize under salinity stress. Plant Physiol. Biochem. 2018, 123, 268–280. [Google Scholar] [CrossRef]
- Chen, F.; Fang, P.; Zeng, W.; Ding, Y.; Zhuang, Z.; Peng, Y. Comparing transcriptome expression profiles to reveal the mechanisms of salt tolerance and exogenous glycine betaine mitigation in maize seedlings. PLoS ONE 2020, 15, e0233616. [Google Scholar] [CrossRef]
- Kusvuran, S.; Bayat, R.; ÜStÜN, A.; Ellialtioglu, S. Exogenous Proline Improves Osmoregulation, Physiological and Biochemical Responses of Eggplant under Salt Stress. Fresenius Environ. Bull. 2020, 29, 152–161. [Google Scholar]
- Saeedipour, S. The Combined Effects of Salinity and Foliar Spray of Different Hormones on Some Biological Aspects, Dry Matter Accumulation and Yield in Two Varieties of Indica Rice Differing in Their Level of Salt Tolerance. Proc. Natl. Acad. Sci. India Sect. B Biol. Sci. 2014, 84, 721–733. [Google Scholar] [CrossRef]
- Hepler, P.K. Calcium: A central regulator of plant growth and development. Plant Cell 2005, 17, 2142–2155. [Google Scholar] [CrossRef]
- Hetherington, A.M.; Brownlee, C. The generation of Ca(2+) signals in plants. Annu. Rev. Plant Biol. 2004, 55, 401–427. [Google Scholar] [CrossRef]
- Knight, H.; Knight, M.R. Abiotic stress signalling pathways: Specificity and cross-talk. Trends Plant Sci. 2001, 6, 262–267. [Google Scholar] [CrossRef] [PubMed]
- Sanders, D.; Brownlee, C.; Harper, J.F. Communicating with calcium. Plant Cell 1999, 11, 691–706. [Google Scholar] [CrossRef] [PubMed]
- Paunov, M.; Koleva, L.; Vassilev, A.; Vangronsveld, J.; Goltsev, V. Effects of Different Metals on Photosynthesis: Cadmium and Zinc Affect Chlorophyll Fluorescence in Durum Wheat. Int. J. Mol. Sci. 2018, 19, 787. [Google Scholar] [CrossRef]
- Wu, G.-Q.; Wang, S. Calcium regulates K+/Na+ homeostasis in rice (Oryza sativa L.) under saline conditions. Plant Soil Environ. 2012, 58, 121–127. [Google Scholar] [CrossRef]
- Siddiqui, M.H.; Alamri, S.A.; Al-Khaishany, M.Y.; Al-Qutami, M.A.; Ali, H.M.; Al-Rabiah, H.; Kalaji, H.M. Exogenous application of nitric oxide and spermidine reduces the negative effects of salt stress on tomato. Hortic. Environ. Biotechnol. 2017, 58, 537–547. [Google Scholar] [CrossRef]
- Xu, J.; Wei, Z.; Lu, X.; Liu, Y.; Yu, W.; Li, C. Involvement of Nitric Oxide and Melatonin Enhances Cadmium Resistance of Tomato Seedlings through Regulation of the Ascorbate-Glutathione Cycle and ROS Metabolism. Int. J. Mol. Sci. 2023, 24, 9526. [Google Scholar] [CrossRef]
- Peng, M.; Chen, Z.; Zhang, L.; Wang, Y.; Zhu, S.; Wang, G. Preharvest Application of Sodium Nitroprusside Alleviates Yellowing of Chinese Flowering Cabbage via Modulating Chlorophyll Metabolism and Suppressing ROS Accumulation. J. Agric. Food Chem. 2023, 71, 9280–9290. [Google Scholar] [CrossRef]
- Maslennikova, D.; Ivanov, S.; Petrova, S.; Burkhanova, G.; Maksimov, I.; Lastochkina, O. Components of the Phenylpropanoid Pathway in the Implementation of the Protective Effect of Sodium Nitroprusside on Wheat under Salinity. Plants 2023, 12, 2123. [Google Scholar] [CrossRef]
- Imran, M.; Hussain, S.; Iqbal, A.; Saleem, M.H.; Rehman, N.U.; Mo, Z.; Chen, X.; Tang, X. Nitric oxide confers cadmium tolerance in fragrant rice by modulating physio-biochemical processes, yield attributes, and grain quality traits. Ecotoxicol. Environ. Saf. 2023, 261, 115078. [Google Scholar] [CrossRef]
- Verma, N.; Pandey, A.; Tiwari, S.; Prasad, S.M. Calcium mediated nitric oxide responses: Acquisition of nickel stress tolerance in cyanobacterium Nostoc muscorum ATCC 27893. Biochem. Biophys. Rep. 2021, 26, 100953. [Google Scholar] [CrossRef]
- Khan, M.N.; Siddiqui, M.H.; AlSolami, M.A.; Alamri, S.; Hu, Y.; Ali, H.M.; Al-Amri, A.A.; Alsubaie, Q.D.; Al-Munqedhi, B.M.A.; Al-Ghamdi, A. Crosstalk of hydrogen sulfide and nitric oxide requires calcium to mitigate impaired photosynthesis under cadmium stress by activating defense mechanisms in Vigna radiata. Plant Physiol. Biochem. 2020, 156, 278–290. [Google Scholar] [CrossRef]
- Xie, T.; Shan, L.; Zhang, W. N addition alters growth, non-structural carbohydrates, and C:N:P stoichiometry of Reaumuria soongorica seedlings in Northwest China. Sci. Rep. 2022, 12, 15390. [Google Scholar] [CrossRef] [PubMed]
- Wang, X.; Zhang, T.; Wen, Z.; Xiao, H.; Yang, Z.; Chen, G.; Zhao, X. The chromosome number, karyotype and genome size of the desert plant diploid Reaumuria soongorica (Pall.) Maxim. Plant Cell Rep. 2011, 30, 955–964. [Google Scholar] [CrossRef] [PubMed]
- Zhang, H.; Liu, X.; Yang, X.; Wu, H.; Zhu, J.; Zhang, H. miRNA-mRNA Integrated Analysis Reveals Roles for miRNAs in a Typical Halophyte, Reaumuria soongorica, during Seed Germination under Salt Stress. Plants 2020, 9, 351. [Google Scholar] [CrossRef] [PubMed]
- Shi, Y.; Yan, X.; Zhao, P.; Yin, H.; Zhao, X.; Xiao, H.; Li, X.; Chen, G.; Ma, X.F. Transcriptomic analysis of a tertiary relict plant, extreme xerophyte Reaumuria soongorica to identify genes related to drought adaptation. PLoS ONE 2013, 8, e63993. [Google Scholar] [CrossRef]
- Lishan, S.; Yang, C.; Li, Y.; Duan, Y.; Geng, D.; Li, Z.; Zhang, R.; Duan, G.; Bacильeвич, Ж. Effects of drought stress on root physiological traits and root biomass allocation of Reaumuria soongorica. Acta Ecol. Sin. 2015, 35, 155–159. [Google Scholar] [CrossRef]
- Yan, S.; Chong, P.; Zhao, M.; Liu, H. Physiological response and proteomics analysis of Reaumuria soongorica under salt stress. Sci. Rep. 2022, 12, 2539. [Google Scholar] [CrossRef]
- Yan, S.; Chong, P.; Zhao, M. Effect of salt stress on the photosynthetic characteristics and endogenous hormones, and: A comprehensive evaluation of salt tolerance in Reaumuria soongorica seedlings. Plant Signal. Behav. 2022, 17, 2031782. [Google Scholar] [CrossRef]
- Jia, X.Y.; Chong, P.F.; Zhang, Y.J.; Li, Y.; Su, S.P. Effects of nitric oxide on physiological characteristics and growth of Reaumuria soongorica seedling under NaCl stress. Acta Agrestia Sin. 2019, 27, 628–636. [Google Scholar]
- Galmés, J.; Flexas, J.; Savé, R.; Medrano, H. Water relations and stomatal characteristics of Mediterranean plants with different growth forms and leaf habits: Responses to water stress and recovery. Plant Soil 2007, 290, 139–155. [Google Scholar] [CrossRef]
- Velikova, V.; Yordanov, I.; Edreva, A. Oxidative stress and some antioxidant systems in acid rain-treated bean plants. Plant Sci. 2000, 151, 59–66. [Google Scholar] [CrossRef]
- Alamer, K.H. Combined effect of trehalose and spermidine to alleviate zinc toxicity in Vigna radiata. 3 Biotech 2023, 13, 288. [Google Scholar] [CrossRef] [PubMed]
- Yan, X.; Miao, J.; Zhang, B.; Liu, H.; Ma, H.; Sun, Y.; Liu, P.; Zhang, X.; Wang, R.; Kan, J.; et al. Study on semi-bionic extraction of Astragalus polysaccharide and its anti-aging activity in vivo. Front. Nutr. 2023, 10, 1201919. [Google Scholar] [CrossRef] [PubMed]
- Afzali, S.F.; Sadeghi, H.; Taban, A. A comprehensive model for predicting the development of defense system of Capparis spinosa L.: A novel approach to assess the physiological indices. Sci. Rep. 2023, 13, 12413. [Google Scholar] [CrossRef]
- Shi, J.; Fu, X.Z.; Peng, T.; Huang, X.S.; Fan, Q.J.; Liu, J.H. Spermine pretreatment confers dehydration tolerance of citrus in vitro plants via modulation of antioxidative capacity and stomatal response. Tree Physiol. 2010, 30, 914–922. [Google Scholar] [CrossRef] [PubMed]
- Singh, S.; Chanotiya, C.S.; Singh, A.; Vajpayee, P.; Kalra, A. Role of ACC-deaminase synthesizing Trichoderma harzianum and plant growth-promoting bacteria in reducing salt-stress in Ocimum sanctum. Physiol. Mol. Biol. Plants Int. J. Funct. Plant Biol. 2023, 29, 815–828. [Google Scholar] [CrossRef]
- Ma, C.; Wang, Z.; Kong, B.; Lin, T. Exogenous trehalose differentially modulate antioxidant defense system in wheat callus during water deficit and subsequent recovery. Plant Growth Regul. 2013, 70, 275–285. [Google Scholar] [CrossRef]
- Dutilleul, C.; Driscoll, S.; Cornic, G.; De Paepe, R.; Foyer, C.H.; Noctor, G. Functional mitochondrial complex I is required by tobacco leaves for optimal photosynthetic performance in photorespiratory conditions and during transients. Plant Physiol. 2003, 131, 264–275. [Google Scholar] [CrossRef]
- Paradiso, A.; Berardino, R.; de Pinto, M.C.; Sanità di Toppi, L.; Storelli, M.M.; Tommasi, F.; De Gara, L. Increase in ascorbate-glutathione metabolism as local and precocious systemic responses induced by cadmium in durum wheat plants. Plant Cell Physiol. 2008, 49, 362–374. [Google Scholar] [CrossRef]
- Lacerda, C.; Cambraia, J.; Oliva, M.; Ruiz, H. Changes in growth and in solute concentration in sorghum leaves and roots during salt stress recovery. Environ. Exp. Bot. 2005, 54, 69–76. [Google Scholar] [CrossRef]
- Zhang, R. Study on the Involvement of SWEETs Transporter in Regulating the Response to Drought Stress in Kentucky bluegrass. Gansu Agricultural University, Lanzhou, China, 2022. [CrossRef]
- Dkhil, B.; Denden, M. Salt stress induced changes in germination, sugars, starch and enzyme of carbohydrate metabolism in Abelmoschus esculentus L. (Moench.) seeds. Afr. J. Agric. Res. 2010, 5, 1412–1418. [Google Scholar]
- Nielsen, T.H.; Skjærbæ, H.C.; Karlsen, P. Carbohydrate metabolism during fruit development in sweet pepper (Capsicum annuum) plants. Physiol. Plant. 1991, 82, 311–319. [Google Scholar] [CrossRef]
- Zhang, X.; He, P.; Guo, R.; Huang, K.; Huang, X. Effects of salt stress on root morphology, carbon and nitrogen metabolism, and yield of Tartary buckwheat. Sci. Rep. 2023, 13, 12483. [Google Scholar] [CrossRef] [PubMed]
- Ha-Tran, D.M.; Nguyen, T.T.M.; Hung, S.H.; Huang, E.; Huang, C.C. Roles of Plant Growth-Promoting Rhizobacteria (PGPR) in Stimulating Salinity Stress Defense in Plants: A Review. Int. J. Mol. Sci. 2021, 22, 3154. [Google Scholar] [CrossRef]
- Numan, M.; Bashir, S.; Khan, Y.; Mumtaz, R.; Shinwari, Z.K.; Khan, A.L.; Khan, A.; Al-Harrasi, A. Plant growth promoting bacteria as an alternative strategy for salt tolerance in plants: A review. Microbiol. Res. 2018, 209, 21–32. [Google Scholar] [CrossRef]
- Sadak, M.S.; Hanafy, R.S.; Elkady, F.; Mogazy, A.M.; Abdelhamid, M.T. Exogenous Calcium Reinforces Photosynthetic Pigment Content and Osmolyte, Enzymatic, and Non-Enzymatic Antioxidants Abundance and Alleviates Salt Stress in Bread Wheat. Plants 2023, 12, 1532. [Google Scholar] [CrossRef]
- Sardar, H.; Khalid, Z.; Ahsan, M.; Naz, S.; Nawaz, A.; Ahmad, R.; Razzaq, K.; Wabaidur, S.M.; Jacquard, C.; Širić, I.; et al. Enhancement of Salinity Stress Tolerance in Lettuce (Lactuca sativa L.) via Foliar Application of Nitric Oxide. Plants 2023, 12, 1115. [Google Scholar] [CrossRef]
- Mittler, R.; Vanderauwera, S.; Gollery, M.; Van Breusegem, F. Reactive oxygen gene network of plants. Trends Plant Sci. 2004, 9, 490–498. [Google Scholar] [CrossRef]
- Jiang, X.; Gao, Y.; Zhou, H.; Chen, J.; Wu, J.; Zhang, S. Apoplastic calmodulin promotes self-incompatibility pollen tube growth by enhancing calcium influx and reactive oxygen species concentration in Pyrus pyrifolia. Plant Cell Rep. 2014, 33, 255–263. [Google Scholar] [CrossRef]
- Asada, K. THE WATER-WATER CYCLE IN CHLOROPLASTS: Scavenging of Active Oxygens and Dissipation of Excess Photons. Annu. Rev. Plant Physiol. Plant Mol. Biol. 1999, 50, 601–639. [Google Scholar] [CrossRef]
- Mateo, A.; Mühlenbock, P.; Rustérucci, C.; Chang, C.C.; Miszalski, Z.; Karpinska, B.; Parker, J.E.; Mullineaux, P.M.; Karpinski, S. LESION SIMULATING DISEASE 1 is required for acclimation to conditions that promote excess excitation energy. Plant Physiol. 2004, 136, 2818–2830. [Google Scholar] [CrossRef] [PubMed]
- Xu, C. Effects of Calcium on Biomass and Antioxidant Systems in Seedlings of Malus xiaojinensis under Salt Stress. Plant Physiol. J. 2014, 6, 817–822. [Google Scholar]
- Chen, K.; Gong, H.; Wang, S. Glutathione metabolism and environmental stresses in plants. Acta Bot. Boreali-Occident. Sin. 2004, 6, 1119–1130. [Google Scholar]
- Azevedo Neto, A.; Prisco, J.T.; Enéas-Filho, J.; Abreu, C.; Gomes-Filho, E. Effect of Salt Stress on Antioxidative Enzymes and Lipid Peroxidation in Leaves and Roots of Salt-Tolerant and Salt-Sensitive Maize Genotypes. Environ. Exp. Bot. 2006, 56, 87–94. [Google Scholar] [CrossRef]
- Badawi, G.H.; Kawano, N.; Yamauchi, Y.; Shimada, E.; Sasaki, R.; Kubo, A.; Tanaka, K. Over-expression of ascorbate peroxidase in tobacco chloroplasts enhances the tolerance to salt stress and water deficit. Physiol. Plant. 2004, 121, 231–238. [Google Scholar] [CrossRef]
- Agami, R.A. Applications of ascorbic acid or proline increase resistance to salt stress in barley seedlings. Biol. Plant. 2014, 58, 341–347. [Google Scholar] [CrossRef]
- Puyaubert, J.; Fares, A.; Rézé, N.; Peltier, J.B.; Baudouin, E. Identification of endogenously S-nitrosylated proteins in Arabidopsis plantlets: Effect of cold stress on cysteine nitrosylation level. Plant Sci. Int. J. Exp. Plant Biol. 2014, 215–216, 150–156. [Google Scholar] [CrossRef]
- Bowler, C. Superoxide Dismutase and Stress Tolerance. Annu. Rev. Plant Physiol. Plant Mol. Biol. 1992, 43, 83–116. [Google Scholar] [CrossRef]
- Wang, L.; Wang, C.; Liu, X.; Cheng, J.; Li, S.; Zhu, J.K.; Gong, Z. Peroxisomal β-oxidation regulates histone acetylation and DNA methylation in Arabidopsis. Proc. Natl. Acad. Sci. USA 2019, 116, 10576–10585. [Google Scholar] [CrossRef]
- Chan, S.W.; Henderson, I.R.; Jacobsen, S.E. Gardening the genome: DNA methylation in Arabidopsis thaliana. Nature reviews. Genetics 2005, 6, 351–360. [Google Scholar] [CrossRef]
- Shalata, A.; Mittova, V.; Volokita, M.; Guy, M.; Tal, M. Response of the cultivated tomato and its wild salt-tolerant relative Lycopersicon pennellii to salt-dependent oxidative stress: The root antioxidative system. Physiol. Plant. 2001, 112, 487–494. [Google Scholar] [CrossRef] [PubMed]
- Ghorbani Javid, M.; Sorooshzadeh, A.; Moradi, F.; Modarres-Sanavy, S.A.M.; Allahdadi, I. The role of phytohormones in alleviating salt stress in crop plants. Aust. J. Crop Sci. 2011, 5, 726–734. [Google Scholar]
- Praxedes, S.; DaMatta, F.; Loureiro, M.; Ferrão, M.; Cordeiro, A. Effects of long-term soil drought on photosynthesis and carbohydrate metabolism in mature robusta coffee (Coffea canephora Pierre var. kouillou) leaves. Environ. Exp. Bot. 2006, 56, 263–273. [Google Scholar] [CrossRef]
- Beck, E.H.; Fettig, S.; Knake, C.; Hartig, K.; Bhattarai, T. Specific and unspecific responses of plants to cold and drought stress. J. Biosci. 2007, 32, 501–510. [Google Scholar] [CrossRef] [PubMed]
- Bohnert, H.J.; Nelson, D.E.; Jensen, R.G. Adaptations to Environmental Stresses. Plant Cell 1995, 7, 1099–1111. [Google Scholar] [CrossRef]
- Burnap, R.L.; Hagemann, M.; Kaplan, A. Regulation of CO2 Concentrating Mechanism in Cyanobacteria. Life 2015, 5, 348–371. [Google Scholar] [CrossRef]
- Khelil, A.; Menu, T.; Ricard, B. Adaptive response to salt involving carbohydrate metabolism in leaves of a salt-sensitive tomato cultivar. Plant Physiol. Biochem. 2007, 45, 551–559. [Google Scholar] [CrossRef]
- Kerepesi, I.; Galiba, G. Osmotic and Salt Stress-Induced Alteration in Soluble Carbohydrate Content in Wheat Seedlings. Crop Sci. 2000, 40, 482–487. [Google Scholar] [CrossRef]
- Peng, J.; Liu, J.; Zhang, L.; Luo, J.; Dong, H.; Ma, Y.; Zhao, X.; Chen, B.; Sui, N.; Zhou, Z.; et al. Effects of Soil Salinity on Sucrose Metabolism in Cotton Leaves. PLoS ONE 2016, 11, e0156241. [Google Scholar] [CrossRef]
- Al Hassan, M.; Morosan, M.; López-Gresa, M.D.; Prohens, J.; Vicente, O.; Boscaiu, M. Salinity-Induced Variation in Biochemical Markers Provides Insight into the Mechanisms of Salt Tolerance in Common (Phaseolus vulgaris) and Runner (P. coccineus) Beans. Int. J. Mol. Sci. 2016, 17, 1582. [Google Scholar] [CrossRef]
- Rosa, M.; Prado, C.; Podazza, G.; Interdonato, R.; González, J.A.; Hilal, M.; Prado, F.E. Soluble sugars—Metabolism, sensing and abiotic stress: A complex network in the life of plants. Plant Signal. Behav. 2009, 4, 388–393. [Google Scholar] [CrossRef] [PubMed]
- Ceusters, N.; Van den Ende, W.; Ceusters, J. Exploration of Sweet Immunity to Enhance Abiotic Stress Tolerance in Plants: Lessons from CAM. In Progress in Botany; Cánovas, F.M., Lüttge, U., Matyssek, R., Eds.; Springer International Publishing: Cham, Switzerland, 2017; Volume 78, pp. 145–166. [Google Scholar]
- Li, L.; Sheen, J. Dynamic and diverse sugar signaling. Curr. Opin. Plant Biol. 2016, 33, 116–125. [Google Scholar] [CrossRef]
- Hennion, N.; Durand, M.; Vriet, C.; Doidy, J.; Maurousset, L.; Lemoine, R.; Pourtau, N. Sugars en route to the roots. Transport, metabolism and storage within plant roots and towards microorganisms of the rhizosphere. Physiol. Plant. 2019, 165, 44–57. [Google Scholar] [CrossRef] [PubMed]
- Hu, M.; Shi, Z.; Zhang, Z.; Zhang, Y.; Li, H. Effects of exogenous glucose on seed germination and antioxidant capacity in wheat seedlings under salt stress. Plant Growth Regul. 2012, 68, 177–188. [Google Scholar] [CrossRef]
- Osakabe, Y.; Yamaguchi-Shinozaki, K.; Shinozaki, K.; Tran, L.P. ABA control of plant macroelement membrane transport systems in response to water deficit and high salinity. New Phytol. 2014, 202, 35–49. [Google Scholar] [CrossRef] [PubMed]
- Roitsch, T.; Balibrea, M.E.; Hofmann, M.; Proels, R.; Sinha, A.K. Extracellular invertase: Key metabolic enzyme and PR protein. J. Exp. Bot. 2003, 54, 513–524. [Google Scholar] [CrossRef] [PubMed]
- Krapp, A. Plant nitrogen assimilation and its regulation: A complex puzzle with missing pieces. Curr. Opin. Plant Biol. 2015, 25, 115–122. [Google Scholar] [CrossRef]
- Liu, C.; Wang, Y.; Pan, K.; Zhu, T.; Li, W.; Zhang, L. Carbon and Nitrogen Metabolism in Leaves and Roots of Dwarf Bamboo (Fargesia denudata Yi) Subjected to Drought for Two Consecutive Years During Sprouting Period. J. Plant Growth Regul. 2014, 33, 243–255. [Google Scholar] [CrossRef]
- Munns, R. Genes and salt tolerance: Bringing them together. New Phytol. 2005, 167, 645–663. [Google Scholar] [CrossRef]
- Zaghdoud, C.; Carvajal, M.; Ferchichi, A.; Del Carmen Martínez-Ballesta, M. Water balance and N-metabolism in broccoli (Brassica oleracea L. var. Italica) plants depending on nitrogen source under salt stress and elevated CO2. Sci. Total Environ. 2016, 571, 763–771. [Google Scholar] [CrossRef]
- Iqbal, A.; Dong, Q.; Wang, X.; Gui, H.; Zhang, H.; Zhang, X.; Song, M. Transcriptome Analysis Reveals Differences in Key Genes and Pathways Regulating Carbon and Nitrogen Metabolism in Cotton Genotypes under N Starvation and Resupply. Int. J. Mol. Sci. 2020, 21, 1500. [Google Scholar] [CrossRef] [PubMed]
- Jaleel, C.A.; Riadh, K.; Gopi, R.; Manivannan, P.; Inès, J.; Al-Juburi, H.J.; Chang-Xing, Z.; Hong-Bo, S.; Panneerselvam, R. Antioxidant defense responses: Physiological plasticity in higher plants under abiotic constraints. Acta Physiol. Plant. 2009, 31, 427–436. [Google Scholar] [CrossRef]
- Li, N.; Zhang, H.; Li, X.; Liu, C. Function of Ca2+ in salt stress in plants. Chin. Bull. Life Sci. 2015, 27, 504–508. [Google Scholar] [CrossRef]








Disclaimer/Publisher’s Note: The statements, opinions and data contained in all publications are solely those of the individual author(s) and contributor(s) and not of MDPI and/or the editor(s). MDPI and/or the editor(s) disclaim responsibility for any injury to people or property resulting from any ideas, methods, instructions or products referred to in the content. |
© 2023 by the authors. Licensee MDPI, Basel, Switzerland. This article is an open access article distributed under the terms and conditions of the Creative Commons Attribution (CC BY) license (https://creativecommons.org/licenses/by/4.0/).
Share and Cite
Liu, Z.; Liu, H.; Tan, B.; Wang, X.; Chong, P. Mitigation of Salt Stress in Reaumuria soongarica Seedlings by Exogenous Ca2+ and NO Compound Treatment. Agronomy 2023, 13, 2124. https://doi.org/10.3390/agronomy13082124
Liu Z, Liu H, Tan B, Wang X, Chong P. Mitigation of Salt Stress in Reaumuria soongarica Seedlings by Exogenous Ca2+ and NO Compound Treatment. Agronomy. 2023; 13(8):2124. https://doi.org/10.3390/agronomy13082124
Chicago/Turabian StyleLiu, Zehua, Hanghang Liu, Binbin Tan, Xidui Wang, and Peifang Chong. 2023. "Mitigation of Salt Stress in Reaumuria soongarica Seedlings by Exogenous Ca2+ and NO Compound Treatment" Agronomy 13, no. 8: 2124. https://doi.org/10.3390/agronomy13082124
APA StyleLiu, Z., Liu, H., Tan, B., Wang, X., & Chong, P. (2023). Mitigation of Salt Stress in Reaumuria soongarica Seedlings by Exogenous Ca2+ and NO Compound Treatment. Agronomy, 13(8), 2124. https://doi.org/10.3390/agronomy13082124
