Physiological Characteristics of Root Regeneration in Rice Seedlings
Abstract
1. Introduction
2. Materials and Methods
2.1. Plant Materials and Growth Conditions
2.2. Experimental Design
2.3. Measurement Items and Methods
2.4. Statistical Analysis
3. Results
3.1. Changes in Seedling Quality at Different Periods
3.2. Changes in Aboveground Soluble Sugar and Starch Content of Rice Seedlings at Various Periods
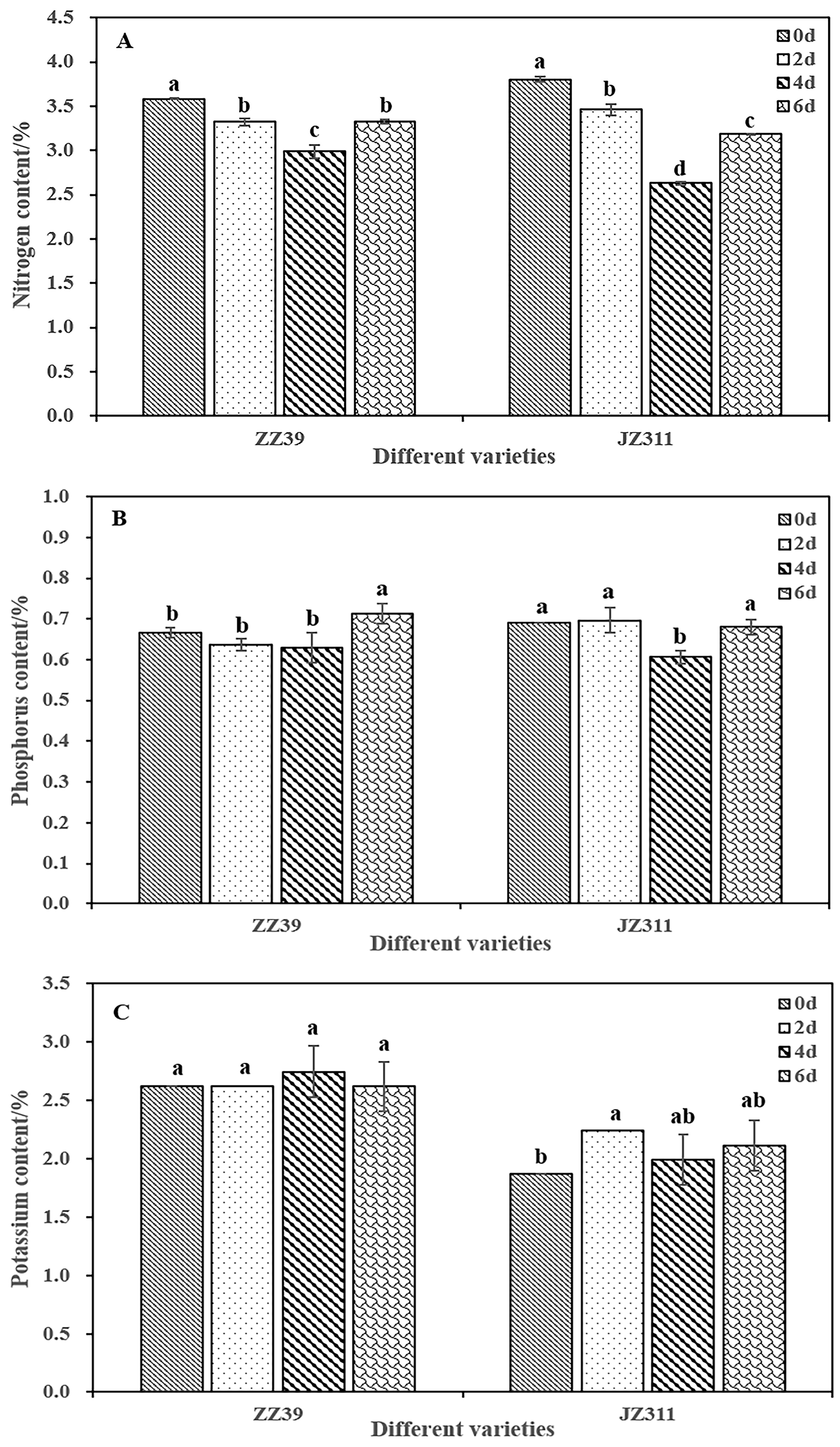
3.3. Changes in the Aboveground Nutrient Content of Rice Seedlings at Various Periods
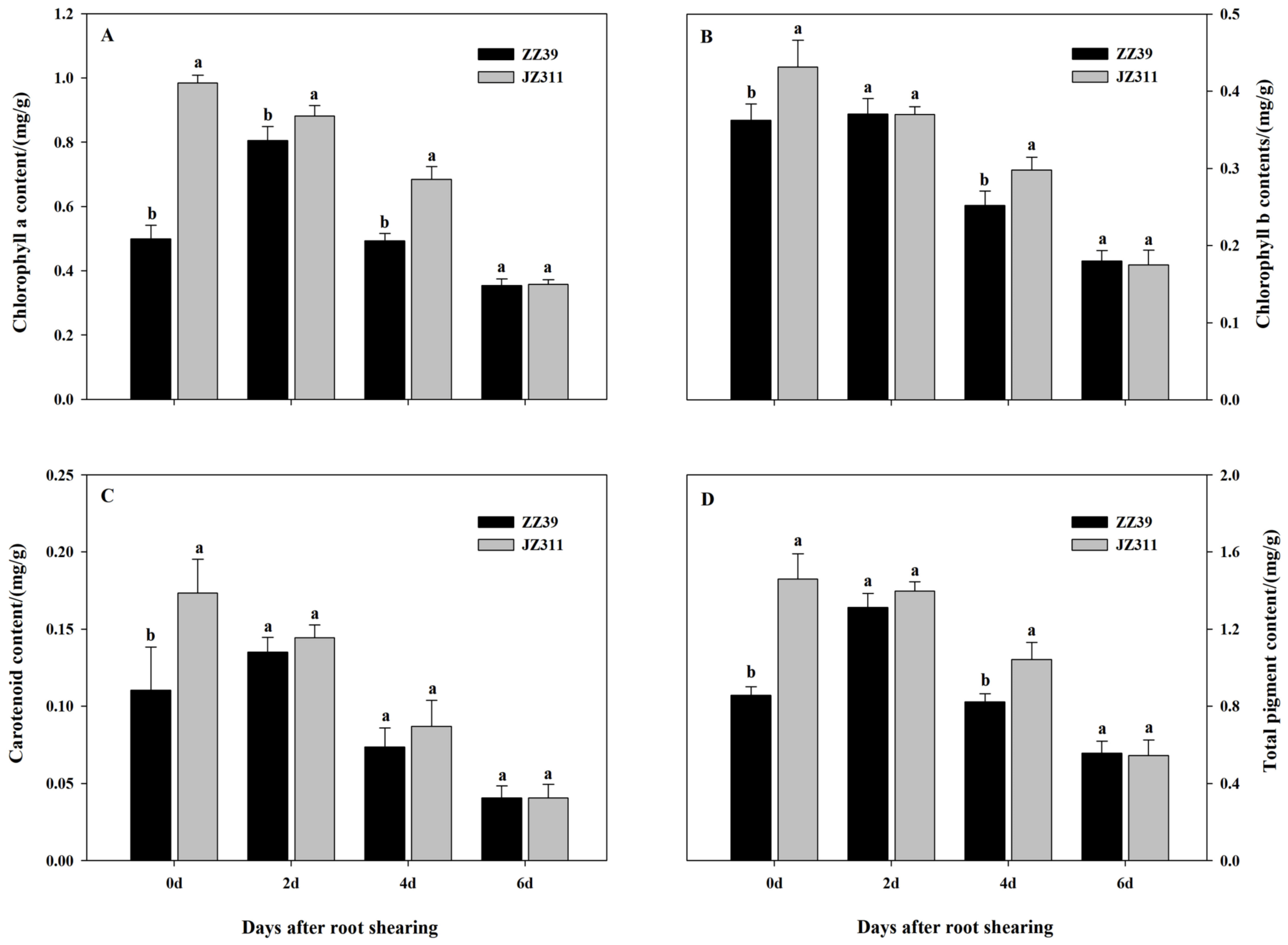
3.4. Changes in the Aboveground Pigment Content of Rice Seedlings at Various Periods
3.5. Changes in Aboveground Hormone Content of Rice Seedlings at Different Periods
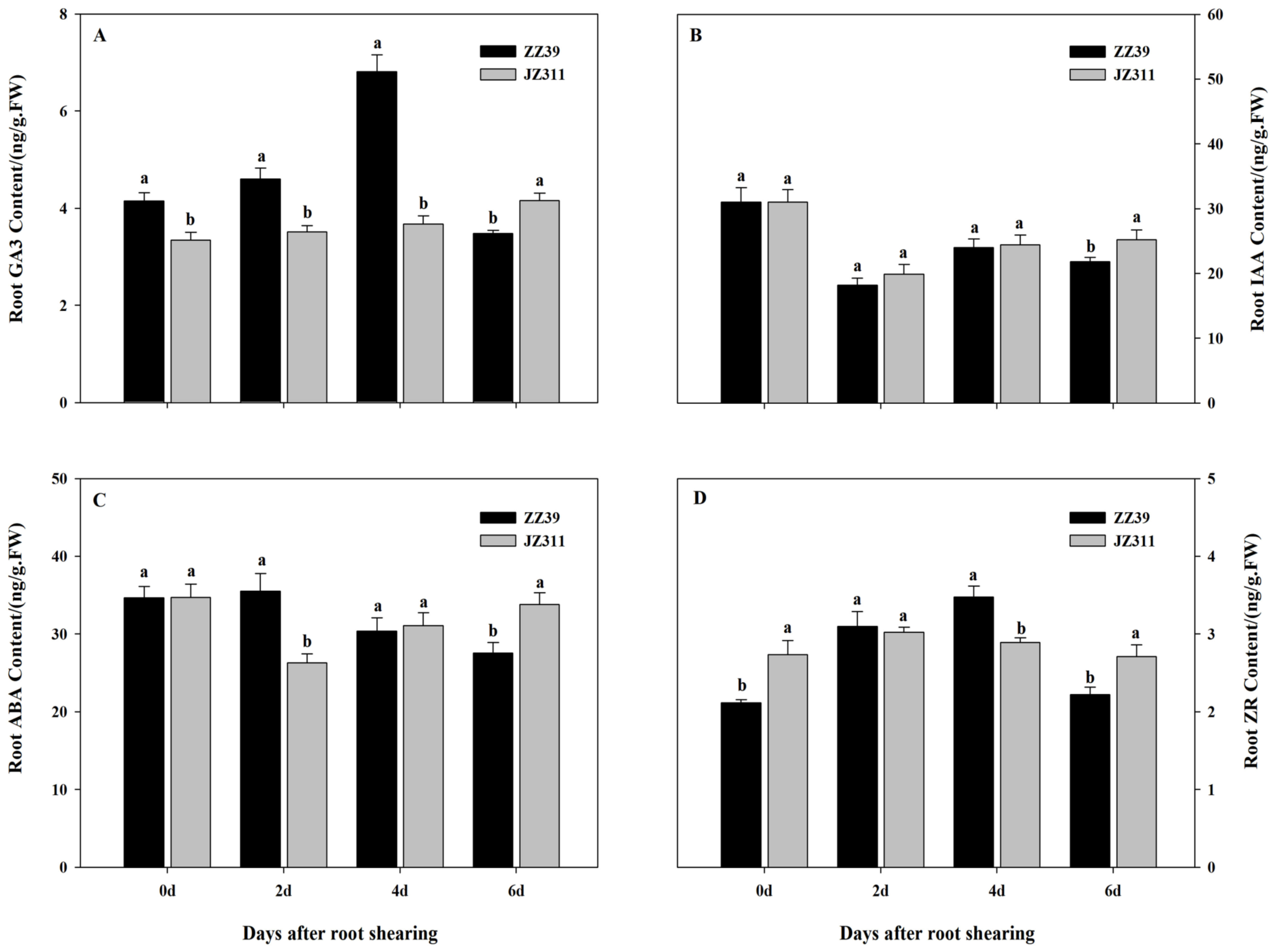
3.6. Changes in Hormone Content of Rice Seedling Roots at Different Periods
4. Discussion
5. Conclusions
Author Contributions
Funding
Data Availability Statement
Conflicts of Interest
References
- Zhu, D.F.; Zhang, Y.P.; Chen, H.Z.; Xiang, J.; Zhang, Y.K. Innovation and Practice of High-Yield Rice Cultivation Technology in China. Sci. Agric. Sin. 2015, 48, 3404–3414. [Google Scholar] [CrossRef]
- Chen, H.Z.; Xv, Y.C.; Zhang, Y.P.; Xiang, J.; Zhang, Y.K.; Zhu, D.F. Effect of Pot-Mat Seedling on the Quality of Machined Transplanting and Yield Formation of Super Early Rice. Sci. Agric. Sin. 2019, 52, 4240–4250. [Google Scholar] [CrossRef]
- Zhu, T.Z.; Ke, J.; Yao, B.; Chen, T.T.; He, H.B.; You, C.C.; Zhu, D.Q.; Wu, L.Q. Super-High Yield Characteristics of Mechanically Transplanting Double-Cropping Early Rice in the Northern Margin Area of Yangtze River. Sci. Agric. Sin. 2021, 54, 1553–1564. [Google Scholar] [CrossRef]
- Zhang, H.C.; Gong, J.L. Research Status Development Discussion on High-Yielding Agronomy of Mechanized Planting Rice in China. Sci. Agric. Sin. 2014, 47, 1273–1289. [Google Scholar] [CrossRef]
- Kang, S.J.; Qian, Q.; Zhu, L. Advances on Molecular Mechanism of Auxin in Rice Root. China Rice 2014, 20, 1–8. [Google Scholar] [CrossRef]
- Yang, J.C. Relationships of Rice Root Morphology and Physiology with the Formation of Grain Yield and Quality and the Nutrient Absorption and Utilization. Sci. Agric. Sin. 2011, 44, 36–46. [Google Scholar] [CrossRef]
- Fitter, A.H. Characteristics and functions of root systems. In Plant Roots, the Hidden Half; Marcel Dekker Inc.: New York, NY, USA, 2002; Volume 90, pp. 15–32. [Google Scholar] [CrossRef]
- Garg, T.; Singh, Z.; Chennakesavulu, K.; Mushahary, K.K.K.; Dwivedi, A.K.; Varapparambathu, V.; Singh, H.; Singh, R.S.; Sircar, D.; Chandran, D.; et al. Species-specific function of conserved regulators in orchestrating rice root architecture. Development 2022, 149, 200381. [Google Scholar] [CrossRef]
- Xiong, H.; Lu, D.; Li, Z.; Wu, J.; Ning, X.; Lin, W.; Bai, Z.; Zheng, C.; Sun, Y.; Chi, W.; et al. The DELLA-ABI4-HY5 module integrates light and gibberellin signals to regulate hypocotyl elongation. Plant Commun. 2023, 4, 100597. [Google Scholar] [CrossRef]
- Naeem, M.; Shahzad, K.; Saqib, S.; Shahzad, A.; Nasrullah; Younas, M.; Afridi, M.I. The Solanum melongena COP1LIKE manipulates fruit ripening and flowering time in tomato (Solanum lycopersicum). Plant Growth Regul. 2022, 96, 369–382. [Google Scholar] [CrossRef]
- Xv, F.X.; Zheng, J.K.; Jiang, K.F.; Zhu, Y.C.; Zhang, N.Z.; Lin, Q.S.; Wang, G.X.; Li, Y.D. Relationships between root growth ability and root flux activity and aerial part characteristics of hybrid mid-season rice. Southwest China J. Agric. Sci. 2002, 15, 34–37. [Google Scholar] [CrossRef]
- Xv, F.X.; Zheng, J.K.; Zhu, Y.C.; Ding, G.X.; Wang, G.X. Relationship between Rooting Ability and Drought Resistance at Full-heading in Mid-season Hybrids Rice. Acta Agron. Sin. 2003, 29, 188–193, (In Chinese with English Abstract). [Google Scholar]
- Zhang, Y.P.; Xiang, J.; Chen, H.Z.; Zhang, Y.K.; Lin, Q.X.; Zhu, D.F. Physiologycal Characterization of Green Turning of Rice Seedlings at Different Temperatures. Agric. Sci. Technol. 2015, 16, 1390–1394+1513. [Google Scholar] [CrossRef]
- Zhou, G.S.; Cui, K.H.; Jin, D.M.; Cao, C.G.; Xv, C.G.; Luo, B.S. Studies on Using Rooting Capacity to Appraise the Drought Resistance of Different Varieties of Oryza sativa at Seedling Stage. Sci. Agric. Sin. 2005, 38, 2571–2576, (In Chinese with English Abstract). [Google Scholar]
- Wen, H.N.; Zhao, J.P.; Zhao, W.M.; Mao, G.J. Rooting advatage of rice seedlings nursed by dry-nursing and its impact on characteristics of growth and development of aerial part. J. Zhejiang Agric. Sci. 2000, 1, 3–7. [Google Scholar] [CrossRef]
- Zhao, Y.W.; Din, Y.F.; Chen, L.G.; Huang, P.S. Physiological Characteristics of Drought Resistance of Rice Dry Nursery Seedlings. Sci. Agric. Sin. 2001, 34, 283–291, (In Chinese with English Abstract). [Google Scholar]
- He, Q.; Deng, H.F.; Shu, F.; Yang, Y.S.; Liu, G.H.; Liu, J.F.; Chen, L.Y. Correlation of Rooting Traits in Seedling Stage to Activity of Root Systen in Late Growth Stage and Panicle Traits in Hybrid Rice. Hybrid Rice 2006, 21, 75–77. [Google Scholar] [CrossRef]
- Ren, W.J.; Yang, W.Y.; Fan, G.Q.; Wu, J.X.; Wang, L.H. Effects of Different Tillage and Trans-Planting Methods on Rice Rooting Ability. Acta Agric. Nucl. Sin. 2007, 21, 287–290, (In Chinese with English Abstract). [Google Scholar]
- Takahashi, F.; Sato-Nara, K.; Kobayashi, K.; Suzuki, M.; Suzuki, H. Sugar-induced adventitious roots in Arabidopsis seedlings. J. Plant Res. 2003, 116, 83–91. [Google Scholar] [CrossRef]
- Jampeetong, A.; Brix, H. Oxygen stress in Salvinia natans: Interactive effects of oxygen availability and nitrogen source. Environ. Exp. Bot. 2009, 66, 153–159. [Google Scholar] [CrossRef]
- Liu, B.; Wu, J.; Yang, S.; Schiefelbein, J.; Gan, Y. Nitrate regulation of lateral root and root hair development in plants. J. Exp. Bot. 2020, 71, 4405–4414. [Google Scholar] [CrossRef]
- Liu, J.; Sheng, L.; Xu, Y.; Li, J.; Yang, Z.; Huang, H.; Xu, L. WOX11 and 12 Are Involved in the First-Step Cell Fate Transition during de Novo Root Organogenesis in Arabidopsis. Plant Cell 2014, 26, 1081–1093. [Google Scholar] [CrossRef] [PubMed]
- Correa, L.d.R.; Troleis, J.; Mastroberti, A.A.; Mariath, J.E.A.; Fett-Neto, A.G. Distinct modes of adventitious rooting in Arabidopsis thaliana. Plant Biol. 2011, 14, 100–109. [Google Scholar] [CrossRef] [PubMed]
- Liu, Z.; Ying, H.; Chen, M.; Bai, J.; Xue, Y.; Yin, Y.; Batchelor, W.D.; Yang, Y.; Bai, Z.; Du, M.; et al. Optimization of China’s maize and soy production can ensure feed sufficiency at lower nitrogen and carbon footprints. Nat. Food 2021, 2, 426–433. [Google Scholar] [CrossRef] [PubMed]
- Saqib, S.; Nazeer, A.; Ali, M.; Zaman, W.; Younas, M.; Shahzad, A.; Sunera; Nisar, M. Catalytic potential of endophytes facilitates synthesis of biometallic zinc oxide nanoparticles for agricultural application. Biometals 2022, 35, 967–985. [Google Scholar] [CrossRef]
- Ren, W.J.; Yang, W.Y.; Wu, J.X.; Fan, G.Q.; Yang, Z.H. Characteristics of nitrogen accumulation and its relation-ship with root growth of rice after transplanting. Plant Nutr. Fertil. Sci. 2007, 13, 765–771, (In Chinese with English Abstract). [Google Scholar]
- Zhou, Y.B.; Wu, D.D.; Yv, D.P.; Sui, C.Y. Variations of nonstructural carbohydrate content in Betula ermanii at different elevations of Changbai mountain, China. Acta Phytoecol. Sin. 2009, 33, 118–124. [Google Scholar] [CrossRef]
- Lichtenthaler, H.K.; Wellburn, A.R. Determinations of total carotenoids and chlorophylls a and b of leaf extracts in different solvents. Analysis 1983, 11, 591–592. [Google Scholar] [CrossRef]
- Van Meulebroek, L.; Bussche, J.V.; Steppe, K.; Vanhaecke, L. Ultra-high performance liquid chromatography coupled to high resolution Orbitrap mass spectrometry for metabolomic profiling of the endogenous phytohormonal status of the tomato plant. J. Chromatogr. A 2012, 1260, 67–80. [Google Scholar] [CrossRef]
- Mori, A.; Fukuda, T.; Vejchasarn, P.; Nestler, J.; Pariasca-Tanaka, J.; Wissuwa, M. The role of root size versus root efficiency in phosphorus acquisition in rice. J. Exp. Bot. 2016, 67, 1179–1189. [Google Scholar] [CrossRef]
- Wang, Q.; Zhu, Y.; Zou, X.; Li, F.; Zhang, J.; Kang, Z.; Li, X.; Yin, C.; Lin, Y. Nitrogen Deficiency-Induced Decrease in Cytokinins Content Promotes Rice Seminal Root Growth by Promoting Root Meristem Cell Proliferation and Cell Elongation. Cells 2020, 9, 916. [Google Scholar] [CrossRef]
- Xiong, Q.; Hu, J.; Wei, H.; Zhang, H.; Zhu, J. Relationship between Plant Roots, Rhizosphere Microorganisms, and Nitrogen and Its Special Focus on Rice. Agriculture 2021, 11, 234. [Google Scholar] [CrossRef]
- Hopmans, J.W.; Bristow, K.L. Current capabilities and future needs of root water and nutrient uptake modeling. Adv. Agric. 2002, 77, 103–183. [Google Scholar]
- Li, Y.H.; Wang, H.Y.; Yan, F.J.; Li, N.; Sun, Y.J.; Dai, Z.; Xie, H.Y.; Ma, J. Effects of Root-cutting Treatment on Growth and Physiological Characteristics of Hybrid Rice at Different Seedling-ages. Chin. J. Rice Sci. 2016, 30, 626–636. [Google Scholar] [CrossRef]
- Chen, G.; Liu, C.; Gao, Z.; Zhang, Y.; Zhu, L.; Hu, J.; Ren, D.; Xu, G.; Qian, Q. Driving the expression of RAA1 with a drought-responsive promoter enhances root growth in rice, its accumulation of potassium and its tolerance to moisture stress. Environ. Exp. Bot. 2018, 147, 147–156. [Google Scholar] [CrossRef]
- Zahoor, R.; Dong, H.; Abid, M.; Zhao, W.; Wang, Y.; Zhou, Z. Potassium fertilizer improves drought stress alleviation potential in cotton by enhancing photosynthesis and carbohydrate metabolism. Environ. Exp. Bot. 2017, 137, 73–83. [Google Scholar] [CrossRef]
- Zhou, W.; Qi, Z.; Chen, J.; Tan, Z.; Wang, H.; Wang, C.; Yi, Z. Rooting ability of rice seedlings increases with higher soluble sugar content from exposure to light. PLoS ONE 2020, 15, e0241060. [Google Scholar] [CrossRef]
- Verma, S.; Dubey, R. Effect of Cadmium on Soluble Sugars and Enzymes of their Metabolism in Rice. Biol. Plant. 2001, 44, 117–124. [Google Scholar] [CrossRef]
- Redillas, M.C.F.R.; Park, S.-H.; Lee, J.W.; Kim, Y.S.; Jeong, J.S.; Jung, H.; Bang, S.W.; Hahn, T.-R.; Kim, J.-K. Accumulation of trehalose increases soluble sugar contents in rice plants conferring tolerance to drought and salt stress. Plant Biotechnol. Rep. 2012, 6, 89–96. [Google Scholar] [CrossRef]
- Dien, D.C.; Mochizuki, T.; Yamakawa, T. Effect of various drought stresses and subsequent recovery on proline, total soluble sugar and starch metabolisms in Rice (Oryza sativa L.) varieties. Plant Prod. Sci. 2019, 22, 530–545. [Google Scholar] [CrossRef]
- Boriboonkaset, T.; Theerawitaya, C.; Yamada, N.; Pichakum, A.; Supaibulwatana, K.; Cha-Um, S.; Takabe, T.; Kirdmanee, C. Regulation of some carbohydrate metabolism-related genes, starch and soluble sugar contents, photosynthetic activities and yield attributes of two contrasting rice genotypes subjected to salt stress. Protoplasma 2013, 250, 1157–1167. [Google Scholar] [CrossRef]
- Kaur, H.; Manna, M.; Thakur, T.; Gautam, V.; Salvi, P. Imperative role of sugar signaling and transport during drought stress responses in plants. Physiol. Plant. 2021, 171, 833–848. [Google Scholar] [CrossRef] [PubMed]
- Ji, J.; Yang, L.; Fang, Z.; Zhang, Y.; Zhuang, M.; Lv, H.; Wang, Y. Plant Sweet Family of Sugar Transporters: Structure, Evolution and Biological Functions. Biomolecules 2022, 12, 205. [Google Scholar] [CrossRef] [PubMed]
- Amaya-Carpio, L.; Davies, F.; Fox, T.; He, C. Arbuscular mycorrhizal fungi and organic fertilizer influence photosynthesis, root phosphatase activity, nutrition, and growth of Ipomoea carnea ssp. fistulosa. Photosynthetica 2009, 47, 1–10. [Google Scholar] [CrossRef]
- Wasternack, C. Action of jasmonates in plant stress responses and development—Applied aspects. Biotechnol. Adv. 2014, 32, 31–39. [Google Scholar] [CrossRef]
- Tian, J.; Zhao, Y.; Pan, Y.; Chen, X.; Wang, Y.; Lin, J.; Wang, J.; Yang, Q. Exogenous Applications of Spermidine Improve Drought Tolerance in Seedlings of the Ornamental Grass Hordeum jubatum in Northeast China. Agronomy 2022, 12, 1180. [Google Scholar] [CrossRef]
- Hassan, M.U.; Ghareeb, R.Y.; Nawaz, M.; Mahmood, A.; Shah, A.N.; Abdel-Megeed, A.; Abdelsalam, N.R.; Hashem, M.; Alamri, S.; Thabit, M.A.; et al. Melatonin: A Vital Pro-Tectant for Crops against Heat Stress: Mechanisms and Prospects. Agronomy 2022, 12, 1116. [Google Scholar] [CrossRef]
- Liu, Y.; Ding, Y.-F.; Wang, Q.-S.; Li, G.-H.; Xu, J.-X.; Liu, Z.-H.; Wang, S.-H. Effect of Plant Growth Regulators on Growth of Rice Tiller Bud and Changes of Endogenous Hormones. Acta Agron. Sin. 2011, 37, 670–676. [Google Scholar] [CrossRef]
- Liu, Y.; Ding, Y.; Wang, Q.; Meng, D.; Wang, S. Effects of Nitrogen and 6-Benzylaminopurine on Rice Tiller Bud Growth and Changes in Endogenous Hormones and Nitrogen. Crop Sci. 2011, 51, 786–792. [Google Scholar] [CrossRef]
- Agtuca, B.; Rieger, E.; Hilger, K.; Song, L.; Robert, C.; Erb, M.; Karve, A.; Ferrieri, R.A. Carbon-11 Reveals Opposing Roles of Auxin and Salicylic Acid in Regulating Leaf Physiology, Leaf Metabolism, and Resource Allocation Patterns that Impact Root Growth in Zea mays. J. Plant Growth Regul. 2013, 33, 328–339. [Google Scholar] [CrossRef]
- Li, J.; Guan, Y.; Yuan, L.; Hou, J.; Wang, C.; Liu, F.; Yang, Y.; Lu, Z.; Chen, G.; Zhu, S. Effects of exogenous IAA in regulating photosynthetic capacity, carbohydrate metabolism and yield of Zizania latifolia. Sci. Hortic. 2019, 253, 276–285. [Google Scholar] [CrossRef]
- Inukai, Y.; Ashikari, M.; Kitano, H. Function of the root system and molecular mechanism of crown root formation in rice. Plant Cell Physiol. 2004, 45, 17. [Google Scholar]
- Yang, J.; Peng, S.; Visperas, R.M.; Sanico, A.L.; Zhu, Q.; Gu, S. Grain filling pattern and cytokinin content in the grains and roots of rice plants. Plant Growth Regul. 2000, 30, 261–270. [Google Scholar] [CrossRef]
- Won, C.; Shen, X.; Mashiguchi, K.; Zheng, Z.; Dai, X.; Cheng, Y.; Kasahara, H.; Kamiya, Y.; Chory, J.; Zhao, Y. Conversion of tryptophan to indole-3-acetic acid by tryptophan aminotransferases of Arabidopsis and YUCCAs in Arabidopsis. Proc. Natl. Acad. Sci. USA 2011, 108, 18518–18523. [Google Scholar] [CrossRef]
- Mashiguchi, K.; Tanaka, K.; Sakai, T.; Sugawara, S.; Kawaide, H.; Natsume, M.; Hanada, A.; Yaeno, T.; Shirasu, K.; Yao, H.; et al. The main auxin biosynthesis pathway in Arabidopsis. Proc. Natl. Acad. Sci. USA 2011, 108, 18512–18517. [Google Scholar] [CrossRef]
- Tao, Y.; Ferrer, J.-L.; Ljung, K.; Pojer, F.; Hong, F.; Long, J.A.; Li, L.; Moreno, J.E.; Bowman, M.E.; Ivans, L.J.; et al. Rapid Synthesis of Auxin via a New Tryptophan-Dependent Pathway Is Required for Shade Avoidance in Plants. Cell 2008, 133, 164–176. [Google Scholar] [CrossRef]
- Stepanova, A.N.; Robertson-Hoyt, J.; Yun, J.; Benavente, L.M.; Xie, D.-Y.; Doležal, K.; Schlereth, A.; Jürgens, G.; Alonso, J.M. TAA1-Mediated Auxin Biosynthesis Is Essential for Hormone Crosstalk and Plant Development. Cell 2008, 133, 177–191. [Google Scholar] [CrossRef]
- Melnyk, C.W.; Schuster, C.; Leyser, O.; Meyerowitz, E.M. A Developmental Framework for Graft Formation and Vascular Reconnection in Arabidopsis thaliana. Curr. Biol. 2015, 25, 1306–1318. [Google Scholar] [CrossRef]
- Canher, B.; Heyman, J.; Savina, M.; Devendran, A.; Eekhout, T.; Vercauteren, I.; Prinsen, E.; Matosevich, R.; Xu, J.; Mironova, V.; et al. Rocks in the auxin stream: Wound-induced auxin accumulation and ERF115 expression synergistically drive stem cell regeneration. Proc. Natl. Acad. Sci. USA 2020, 117, 16667–16677. [Google Scholar] [CrossRef]
- Savatin, D.-V.; Gramegna, G.; Modesti, V.; Cervone, F. Wounding in the plant tissue: The defense of a dangerous passage. Front. Plant Sci. 2014, 5, 470. [Google Scholar] [CrossRef]
- Matosevich, R.; Cohen, I.; Gil-Yarom, N.; Modrego, A.; Friedlander-Shani, L.; Verna, C.; Scarpella, E.; Efroni, I. Local auxin biosynthesis is required for root regeneration after wounding. Nat. Plants 2020, 6, 1020–1030. [Google Scholar] [CrossRef]







Disclaimer/Publisher’s Note: The statements, opinions and data contained in all publications are solely those of the individual author(s) and contributor(s) and not of MDPI and/or the editor(s). MDPI and/or the editor(s) disclaim responsibility for any injury to people or property resulting from any ideas, methods, instructions or products referred to in the content. |
© 2023 by the authors. Licensee MDPI, Basel, Switzerland. This article is an open access article distributed under the terms and conditions of the Creative Commons Attribution (CC BY) license (https://creativecommons.org/licenses/by/4.0/).
Share and Cite
Gao, Y.; Zhu, Y.; Zhang, Y.; Zhang, Y.; Wang, Y.; Wang, Z.; Chen, H.; Zhang, Y.; Xiang, J. Physiological Characteristics of Root Regeneration in Rice Seedlings. Agronomy 2023, 13, 1772. https://doi.org/10.3390/agronomy13071772
Gao Y, Zhu Y, Zhang Y, Zhang Y, Wang Y, Wang Z, Chen H, Zhang Y, Xiang J. Physiological Characteristics of Root Regeneration in Rice Seedlings. Agronomy. 2023; 13(7):1772. https://doi.org/10.3390/agronomy13071772
Chicago/Turabian StyleGao, Yizhuo, Yan Zhu, Yuping Zhang, Yikai Zhang, Yaliang Wang, Zhigang Wang, Huizhe Chen, Yunbo Zhang, and Jing Xiang. 2023. "Physiological Characteristics of Root Regeneration in Rice Seedlings" Agronomy 13, no. 7: 1772. https://doi.org/10.3390/agronomy13071772
APA StyleGao, Y., Zhu, Y., Zhang, Y., Zhang, Y., Wang, Y., Wang, Z., Chen, H., Zhang, Y., & Xiang, J. (2023). Physiological Characteristics of Root Regeneration in Rice Seedlings. Agronomy, 13(7), 1772. https://doi.org/10.3390/agronomy13071772

