Temperature Dependences of IR Spectral Bands of Humic Substances of Silicate-Based Soils
Abstract
1. Introduction
2. Materials and Methods
2.1. Soil Humic Substance Samples
2.2. Humic Substance Samples
2.3. FTIR Instrumentation and Analysis
2.4. ICP-AES Analysis
3. Results and Discussion
3.1. Soil HS Samples and Temperature Changes
3.2. General Band Assignment
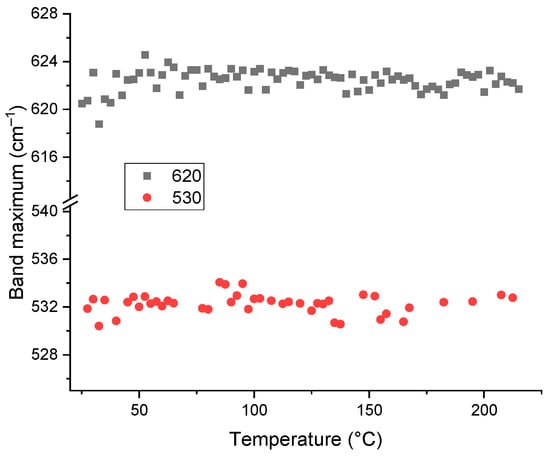
3.3. Temperature Dependences of Band Maxima
3.4. Temperature Dependences of Band Intensities
4. Conclusions
Supplementary Materials
Author Contributions
Funding
Data Availability Statement
Acknowledgments
Conflicts of Interest
References
- Malcolm, R.L. The uniqueness of humic substances in each of soil, stream and marine environments. Anal. Chim. Acta 1990, 232, 19–30. [Google Scholar] [CrossRef]
- Kulikova, N.A.; Perminova, I.V. Interactions between Humic Substances and Microorganisms and Their Implications for Nature-like Bioremediation Technologies. Molecules 2021, 26, 2706. [Google Scholar] [CrossRef]
- Stevenson, F.J. Humus Chemistry: Genesis, Composition, Reactions; Wiley: New York, NY, USA, 1994. [Google Scholar]
- Perminova, I.V.; Garcia-Mina, J.M.; Podgorski, D.C.; Cervantes, F.J.; Efremenko, E.N.; Domingo, J.L. Humic substances and living systems: Impact on environmental and human health. Environ. Res. 2021, 194, 110726. [Google Scholar] [CrossRef] [PubMed]
- Wang, S.; Zhang, Z.; Yin, X.; Wang, N.; Chen, D. Influences of Nitrogen Application Levels on Properties of Humic Acids in Chernozem Amended with Different Types of Organic Materials. Sustainability 2019, 11, 5405. [Google Scholar] [CrossRef]
- Pukalchik, M.; Kydralieva, K.; Yakimenko, O.; Fedoseeva, E.; Terekhova, V. Outlining the Potential Role of Humic Products in Modifying Biological Properties of the Soil—A Review. Front. Environ. Sci. 2019, 7, 10. [Google Scholar] [CrossRef]
- Trckova, M.; Matlova, L.; Hudcova, H.; Faldyna, M.; Zraly, Z.; Dvorska, L.; Beran, V.; Pavlik, I. Peat as a feed supplement for animals: A literature review. Vet. Med. 2005, 50, 361–377. [Google Scholar] [CrossRef]
- Peña-Méndez, E.M.; Havel, J.; Patočka, J. Humic substances—Compounds of still unknown structure: Applications in agriculture, industry, environment, and biomedicine. J. Appl. Biomed. 2005, 3, 13–24. [Google Scholar] [CrossRef]
- de Melo, B.A.; Motta, F.L.; Santana, M.H. Humic acids: Structural properties and multiple functionalities for novel technological developments. Mater. Sci. Eng. C Mater. Biol. Appl. 2016, 62, 967–974. [Google Scholar] [CrossRef]
- Gašparovič, M.; Hrnčár, C.; Gálik, B. The effect of feed additives in pheasants fattening: A review. J. Cent. Eur. Agric. 2017, 18, 749–761. [Google Scholar] [CrossRef]
- Pandey, A.K.; Pandey, S.D.; Misra, V.; Devi, S. Role of humic acid entrapped calcium alginate beads in removal of heavy metals. J. Hazard. Mater. 2003, 98, 177–181. [Google Scholar] [CrossRef]
- Nardi, S.; Pizzeghello, D.; Muscolo, A.; Vianello, A. Physiological effects of humic substances on higher plants. Soil Biol. Biochem. 2002, 34, 1527–1536. [Google Scholar] [CrossRef]
- Plyatsuk, L.; Chernysh, Y.; Ablieieva, I.; Bataltsev, Y.; Vaskin, R.; Roy, I.; Yakhnenko, E.; Roubík, H. Modelling and development of technological processes for low rank coal bio-utilization on the example of brown coal. Fuel 2020, 267, 117298. [Google Scholar] [CrossRef]
- Skripkina, T.S.; Bychkov, A.L.; Tikhova, V.D.; Lomovsky, O.I. Mechanochemical Solid-Phase Reactions of Humic Acids from Brown Coal with Sodium Percarbonate. Solid Fuel Chem. 2019, 52, 356–360. [Google Scholar] [CrossRef]
- Acharya, B.; Sule, I.; Dutta, A. A review on advances of torrefaction technologies for biomass processing. Biomass Convers. Biorefin. 2012, 2, 349–369. [Google Scholar] [CrossRef]
- Winkler, J.; Ghosh, S. Therapeutic Potential of Fulvic Acid in Chronic Inflammatory Diseases and Diabetes. J. Diabetes Res. 2018, 2018, 5391014. [Google Scholar] [CrossRef] [PubMed]
- Kononova, M.M. Soil Organic Matter, 2nd ed.; Elsevier: Amsterdam, The Netherlands, 1966. [Google Scholar] [CrossRef]
- Huang, P.M.; Li, Y.; Sumner, M.E. (Eds.) Handbook of Soil Sciences. Properties and Processes, 2nd ed.; CRC Press: Boca Raton, FL, USA, 2012; p. 1436. [Google Scholar]
- Gerke, J. The Central Role of Soil Organic Matter in Soil Fertility and Carbon Storage. Soil Syst. 2022, 6, 33. [Google Scholar] [CrossRef]
- Plaza-Bonilla, D.; Álvaro-Fuentes, J.; Cantero-Martínez, C. Identifying soil organic carbon fractions sensitive to agricultural management practices. Soil Tillage Res. 2014, 139, 19–22. [Google Scholar] [CrossRef]
- DeGryze, S.; Six, J.; Paustian, K.; Morris, S.J.; Paul, E.A.; Merckx, R. Soil organic carbon pool changes following land-use conversions. Glob. Chang. Biol. 2004, 10, 1120–1132. [Google Scholar] [CrossRef]
- Kotzé, E.; Loke, P.F.; Akhosi-Setaka, M.C.; Du Preez, C.C. Land use change affecting soil humic substances in three semi-arid agro-ecosystems in South Africa. Agric. Ecosyst. Environ. 2016, 216, 194–202. [Google Scholar] [CrossRef]
- Fultz, L.M.; Moore-Kucera, J.; Calderón, F.; Acosta-Martínez, V. Using Fourier-Transform Mid-Infrared Spectroscopy to Distinguish Soil Organic Matter Composition Dynamics in Aggregate Fractions of Two Agroecosystems. Soil Sci. Soc. Am. J. 2014, 78, 1940–1948. [Google Scholar] [CrossRef]
- Ge, Y.; Thomasson, J.A.; Morgan, C.L.S. Mid-infrared attenuated total reflectance spectroscopy for soil carbon and particle size determination. Geoderma 2014, 213, 57–63. [Google Scholar] [CrossRef]
- Tinti, A.; Tugnoli, V.; Bonora, S.; Francioso, O. Recent applications of vibrational mid-Infrared (IR) spectroscopy for studying soil components: A review. J. Cent. Eur. Agric. 2015, 16, 1–22. [Google Scholar] [CrossRef]
- Linker, R. Application of FTIR Spectroscopy to Agricultural Soils Analysis. In Fourier Transforms—New Analytical Approaches and FTIR Strategies; Nikolic, G., Ed.; InTech: Tokyo, Japan, 2011; pp. 385–404. [Google Scholar] [CrossRef]
- Viscarra Rossel, R.A.; Walvoort, D.J.J.; McBratney, A.B.; Janik, L.J.; Skjemstad, J.O. Visible, near infrared, mid infrared or combined diffuse reflectance spectroscopy for simultaneous assessment of various soil properties. Geoderma 2006, 131, 59–75. [Google Scholar] [CrossRef]
- Roy, L. Quantitative FTIR analysis of paraben in finished dosage pharmaceuticals. Abstr. Pap. Am. Chem. Soc. 2013, 246, 1. [Google Scholar]
- Celino, A.; Goncalves, O.; Jacquemin, F.; Freour, S. Qualitative and quantitative assessment of water sorption in natural fibres using ATR-FTIR spectroscopy. Carbohydr. Polym. 2014, 101, 163–170. [Google Scholar] [CrossRef]
- Tanykova, N.; Petrova, Y.; Kostina, J.; Kozlova, E.; Leushina, E.; Spasennykh, M. Study of Organic Matter of Unconventional Reservoirs by IR Spectroscopy and IR Microscopy. Geosciences 2021, 11, 277. [Google Scholar] [CrossRef]
- Artz, R.R.E.; Chapman, S.J.; Jean Robertson, A.H.; Potts, J.M.; Laggoun-Défarge, F.; Gogo, S.; Comont, L.; Disnar, J.-R.; Francez, A.-J. FTIR spectroscopy can be used as a screening tool for organic matter quality in regenerating cutover peatlands. Soil Biol. Biochem. 2008, 40, 515–527. [Google Scholar] [CrossRef]
- Katon, J.E.; Phillips, D.B. Infrared Spectroscopy at Subambient Temperatures. Appl. Spectrosc. Rev. 1973, 7, 1–45. [Google Scholar] [CrossRef]
- Zallen, R.; Conwell, E.M. The effect of temperature on libron frequencies in molecular crystals: Implications for TTF-TCNQ. Solid State Commun. 1979, 31, 557–561. [Google Scholar] [CrossRef]
- Nanda, S.; Reddy, S.N.; Hunter, H.N.; Butler, I.S.; Kozinski, J.A. Supercritical Water Gasification of Lactose as a Model Compound for Valorization of Dairy Industry Effluents. Ind. Eng. Chem. Res. 2015, 54, 9296–9306. [Google Scholar] [CrossRef]
- Sirotiak, M.; Bartošová, A. Changes in Structure and Content Humic Substances in Soil During the Laboratory Simulated Fires. Trans. VŠB Tech. Univ. Ostrav. Saf. Eng. Ser. 2016, 11, 42–48. [Google Scholar] [CrossRef][Green Version]
- Stevenson, F.J.; Goh, K.M. Infrared spectra of humic acids: Elimination of interference due to hygroscopic moisture and structural changes accompanying heating with KBr. Soil Sci. 1974, 117, 34–41. [Google Scholar] [CrossRef]
- Zuyi, T.; Shifang, L.; Jianjun, Z.; Fenling, S. Studies of Thermal Transformations of Humic and Fulvic Acids in Soils I. Infrared Spectroscopy and Temperature-Programmed Pyrolysis Mass Spectrometry. Chem. Ecol. 1997, 13, 237–248. [Google Scholar] [CrossRef]
- Kolokassidou, C.; Pashalidis, I.; Costa, C.N.; Efstathiou, A.M.; Buckau, G. Thermal stability of solid and aqueous solutions of humic acid. Thermochim. Acta 2007, 454, 78–83. [Google Scholar] [CrossRef]
- Volkov, D.; Rogova, O.; Proskurnin, M. Temperature Dependences of IR Spectra of Humic Substances of Brown Coal. Agronomy 2021, 11, 1822. [Google Scholar] [CrossRef]
- Kholodov, V.A.; Yaroslavtseva, N.V.; Konstantinov, A.I.; Perminova, I.V. Preparative yield and properties of humic acids obtained by sequential alkaline extractions. Eurasian Soil Sci. 2015, 48, 1101–1109. [Google Scholar] [CrossRef]
- Ovchinnikova, M.F.; Orlov, D.S. Humus state of virgin and cultivated soils of the Chashnikovo experimental station. Mosc. Univ. Soil Sci. Bull. 1986, 41, 8–15. [Google Scholar]
- Ivanov, V.V.; Vagner, M.V. On mineralogical composition of coarse loamy sod-podzol soils of Klinsko-Dmitrovskaya ridge near Chashnikovo. Mosc. Univ. Soil Sci. Bull. 1988. [Google Scholar]
- Semenyuk, O.V.; Telesnina, V.M.; Bogatyrev, L.G.; Benediktova, A.I.; Kuznetsova, Y.D. Assessment of Intra-Biogeocenotic Variability of Forest Litters and Dwarf Shrub–Herbaceous Vegetation in Spruce Stands. Eurasian Soil Sci. 2020, 53, 27–38. [Google Scholar] [CrossRef]
- Cherkassov, G.N.; Masyutenko, N.P.; Gostev, A.V.; Pykhtin, I.G.; Zdorovtsov, I.P.; Akimenko, A.S. Long-Term Field Experiments On Chernozemic Soils Of Kursk Region, Russia. In Proceedings of the Soil Organic Matter Dynamics in Long-Therm Field Experiments and Their Modelling, Kursk, Russia, 14–17 September 2010; p. 35. [Google Scholar]
- Volkov, D.S.; Rogova, O.B.; Proskurnin, M.A.; Farkhodov, Y.R.; Markeeva, L.B. Thermal stability of organic matter of typical chernozems under different land uses. Soil Tillage Res. 2020, 197, 104500. [Google Scholar] [CrossRef]
- Karpukhina, E.A.; Vlasova, E.A.; Volkov, D.S.; Proskurnin, M.A. Comparative Study of Sample-Preparation Techniques for Quantitative Analysis of the Mineral Composition of Humic Substances by Inductively Coupled Plasma Atomic Emission Spectroscopy. Agronomy 2021, 11, 2453. [Google Scholar] [CrossRef]
- Nunn, S.; Nishikida, K. Advanced ATR Correction Algorithm. In Thermo Fisher Scientific Application Note; Thermo Fisher Scientific: Waltham, MA, USA, 2008. [Google Scholar]
- Krivoshein, P.K.; Volkov, D.S.; Rogova, O.B.; Proskurnin, M.A. FTIR photoacoustic spectroscopy for identification and assessment of soil components: Chernozems and their size fractions. Photoacoustics 2020, 18, 100162. [Google Scholar] [CrossRef] [PubMed]
- Krivoshein, P.K.; Volkov, D.S.; Rogova, O.B.; Proskurnin, M.A. FTIR Photoacoustic and ATR Spectroscopies of Soils with Aggregate Size Fractionation by Dry Sieving. ACS Omega 2022, 7, 2177–2197. [Google Scholar] [CrossRef] [PubMed]
- Volkov, D.; Rogova, O.; Proskurnin, M. Organic Matter and Mineral Composition of Silicate Soils: FTIR Comparison Study by Photoacoustic, Diffuse Reflectance, and Attenuated Total Reflection Modalities. Agronomy 2021, 11, 1879. [Google Scholar] [CrossRef]
- Kurganova, I.N.; Lopes de Gerenyu, V.O.; Gallardo Lancho, J.F.; Oehm, C.T. Evaluation of the rates of soil organic matter mineralization in forest ecosystems of temperate continental, mediterranean, and tropical monsoon climates. Eurasian Soil Sci. 2012, 45, 68–79. [Google Scholar] [CrossRef]
- Kurganova, I.N.; Telesnina, V.M.; Lopes de Gerenyu, V.O.; Lichko, V.I.; Karavanova, E.I. The Dynamics of Carbon Pools and Biological Activity of Retic Albic Podzols in Southern Taiga during the Postagrogenic Evolution. Eurasian Soil Sci. 2021, 54, 337–351. [Google Scholar] [CrossRef]
- Qiang, T.; Xiao-quan, S.; Zhe-ming, N. Comparative characteristic studies on soil and commercial humic acids. Fresenius J. Anal. Chem. 1993, 347, 330–336. [Google Scholar] [CrossRef]
- Kabata-Pendias, A. Trace Elements in Soils and Plants; CRC Press: Boca Raton, FL, USA, 2010. [Google Scholar]
- Shahid, M.; Ferrand, E.; Schreck, E.; Dumat, C. Behavior and Impact of Zirconium in the Soil–Plant System: Plant Uptake and Phytotoxicity. In Reviews of Environmental Contamination and Toxicology; Whitacre, D.M., Ed.; Springer: New York, NY, USA, 2013; Volume 221, pp. 107–127. [Google Scholar] [CrossRef]
- Oliva, P.; Viers, J.; Dupré, B.; Fortuné, J.P.; Martin, F.; Braun, J.J.; Nahon, D.; Robain, H. The effect of organic matter on chemical weathering: Study of a small tropical watershed: Nsimi-zoétélé site, cameroon. Geochim. Cosmochim. Acta 1999, 63, 4013–4035. [Google Scholar] [CrossRef]
- Pokrovsky, O.S.; Schott, J. Iron colloids/organic matter associated transport of major and trace elements in small boreal rivers and their estuaries (NW Russia). Chem. Geol. 2002, 190, 141–179. [Google Scholar] [CrossRef]
- Boguta, P.; Sokolowska, Z.; Skic, K. Use of thermal analysis coupled with differential scanning calorimetry, quadrupole mass spectrometry and infrared spectroscopy (TG-DSC-QMS-FTIR) to monitor chemical properties and thermal stability of fulvic and humic acids. PLoS ONE 2017, 12, e0189653. [Google Scholar] [CrossRef]
- Chan, T.F.; Su, J.H.; Chung, Y.F.; Chang, H.L.; Yuan, S.S. Decreased serum leptin levels in women with uterine leiomyomas. Acta Obstet. Gynecol. Scand. 2003, 82, 173–176. [Google Scholar] [CrossRef] [PubMed]
- Kronenberg, A.K. Chapter 4. Hydrogen Speciation and Chemical Weakening of Quartz. In Silica; De Gruyter: Berlin, Germany, 1994; pp. 123–176. [Google Scholar] [CrossRef]
- Russell, J.D.; Fraser, A.R. Infrared methods. In Clay Mineralogy: Spectroscopic and Chemical Determinative Methods; Wilson, M.J., Ed.; Springer: Dordrecht, The Netherlands, 1994; pp. 11–67. [Google Scholar] [CrossRef]
- Madejová, J. Baseline Studies of the Clay Minerals Society Source Clays: Infrared Methods. Clays Clay Miner. 2001, 49, 410–432. [Google Scholar] [CrossRef]
- Calderón, F.J.; Mikha, M.M.; Vigil, M.F.; Nielsen, D.C.; Benjamin, J.G.; Reeves, J.B. Diffuse-Reflectance Mid-infrared Spectral Properties of Soils under Alternative Crop Rotations in a Semi-arid Climate. Commun. Soil Sci. Plant Anal. 2011, 42, 2143–2159. [Google Scholar] [CrossRef]
- Calderón, F.J.; Reeves, J.B.; Collins, H.P.; Paul, E.A. Chemical Differences in Soil Organic Matter Fractions Determined by Diffuse-Reflectance Mid-Infrared Spectroscopy. Soil Sci. Soc. Am. J. 2011, 75, 568–579. [Google Scholar] [CrossRef]
- Changwen, D.; Jing, D.; Jianmin, Z.; Huoyan, W.; Xiaoqin, C. Characterization of Greenhouse Soil Properties Using Mid-infrared Photoacoustic Spectroscopy. Spectrosc. Lett. 2011, 44, 359–368. [Google Scholar] [CrossRef]
- Changwen, D.; Jianmin, Z.; Goyne, K.W. Organic and inorganic carbon in paddy soil as evaluated by mid-infrared photoacoustic spectroscopy. PLoS ONE 2012, 7, e43368. [Google Scholar] [CrossRef]
- Max, J.J.; Chapados, C. Isotope effects in liquid water by infrared spectroscopy. III. H2O and D2O spectra from 6000 to 0 cm–1. J. Chem. Phys. 2009, 131, 184505. [Google Scholar] [CrossRef]
- Du, C.; Goyne, K.W.; Miles, R.J.; Zhou, J. A 1915–2011 microscale record of soil organic matter under wheat cultivation using FTIR-PAS depth-profiling. Agron. Sustain. Dev. 2013, 34, 803–811. [Google Scholar] [CrossRef]
- Tan, C.Z. Optical interference in overtones and combination bands in α-quartz. J. Phys. Chem. Solids 2003, 64, 121–125. [Google Scholar] [CrossRef]
- Nguyen, T.T.; Janik, L.J.; Raupach, M. Diffuse reflectance infrared fourier transform (DRIFT) spectroscopy in soil studies. Soil Res. 1991, 29, 49–67. [Google Scholar] [CrossRef]
- Hofmeister, A.M.; Bowey, J.E. Quantitative Infrared Spectra of Hydrosilicates and Related Minerals. Mon. Not. R. Astron. Soc. 2006, 367, 577–591. [Google Scholar] [CrossRef]
- Asselin, M.; Sandorfy, C. Anharmonicity and Hydrogen Bonding. The in-plane OH Bending and its Combination with the OH Stretching Vibration. Can. J. Chem. 1971, 49, 1539–1544. [Google Scholar] [CrossRef]
- Spitzer, W.G.; Kleinman, D.A. Infrared Lattice Bands of Quartz. Phys. Rev. 1961, 121, 1324–1335. [Google Scholar] [CrossRef]
- Bock, J.A.N.; Su, G.-J. Interpretation of the Infrared Spectra of Fused Silica. J. Am. Ceram. Soc. 1970, 53, 69–73. [Google Scholar] [CrossRef]
- Fung, M.F.K.; Senterman, M.K.; Mikhael, N.Z.; Lacelle, S.; Wong, P.T.T. Pressure-tuning fourier transform infrared spectroscopic study of carcinogenesis in human endometrium. Biospectroscopy 1998, 2, 155–165. [Google Scholar] [CrossRef]
- Wang, H.P.; Wang, H.C.; Huang, Y.J. Microscopic FTIR studies of lung cancer cells in pleural fluid. Sci. Total Environ. 1997, 204, 283–287. [Google Scholar] [CrossRef] [PubMed]
- Schulz, H.; Baranska, M. Identification and quantification of valuable plant substances by IR and Raman spectroscopy. Vib. Spectrosc. 2007, 43, 13–25. [Google Scholar] [CrossRef]
- Koike, C.; Noguchi, R.; Chihara, H.; Suto, H.; Ohtaka, O.; Imai, Y.; Matsumoto, T.; Tsuchiyama, A. Infrared Spectra of Silica Polymorphs and the Conditions of Their Formation. Astrophys. J. 2013, 778, 60. [Google Scholar] [CrossRef]
- Inoue, A.; Watanabe, T. Infrared Spectra of Interstratified Illite/Smectite from Hydrothermally Altered Tuffs (Shinzan, Japan) and Diagenetic Bentonites (Kinnekulle, Sweden). Clay Sci. 1989, 7, 263–275. [Google Scholar] [CrossRef]
- Tong, Y.; Kampfrath, T.; Campen, R.K. Experimentally probing the libration of interfacial water: The rotational potential of water is stiffer at the air/water interface than in bulk liquid. Phys. Chem. Chem. Phys. 2016, 18, 18424–18430. [Google Scholar] [CrossRef]
- Yu, H.-G.; Nyman, G. The Infrared and UV-Visible Spectra of Polycyclic Aromatic Hydrocarbons Containing (5,7)-Member Ring Defects: A Theoretical Study. Astrophys. J. 2012, 751, 3. [Google Scholar] [CrossRef]
- Workman, J. The Handbook of Organic Compounds, Three-Volume Set: NIR, IR, R, and UV-Vis Spectra Featuring Polymers and Surfactants; Elsevier Science: Amsterdam, The Netherlands, 2000. [Google Scholar]
- San Andrés, E.; del Prado, A.; Mártil, I.; González-Díaz, G.; Bravo, D.; López, F.J.; Fernández, M.; Bohne, W.; Röhrich, J.; Selle, B.; et al. Bonding configuration and density of defects of SiOxHy thin films deposited by the electron cyclotron resonance plasma method. J. Appl. Phys. 2003, 94, 7462–7469. [Google Scholar] [CrossRef]
- Chiang, H.P.; Song, R.; Mou, B.; Li, K.P.; Chiang, P.; Wang, D.; Tse, W.S.; Ho, L.T. Fourier transform Raman spectroscopy of carcinogenic polycyclic aromatic hydrocarbons in biological systems: Binding to heme proteins. J. Raman Spectrosc. 1999, 30, 551–555. [Google Scholar] [CrossRef]
- Schenzel, K.; Almlöf, H.; Germgård, U. Quantitative analysis of the transformation process of cellulose I → cellulose II using NIR FT Raman spectroscopy and chemometric methods. Cellulose 2009, 16, 407–415. [Google Scholar] [CrossRef]
- Baes, A.U.; Bloom, P.R. Diffuse Reflectance and Transmission Fourier Transform Infrared (DRIFT) Spectroscopy of Humic and Fulvic Acids. Soil Sci. Soc. Am. J. 1989, 53, 695–700. [Google Scholar] [CrossRef]
- Perminova, I.V.; Shirshin, E.A.; Konstantinov, A.I.; Zherebker, A.; Lebedev, V.A.; Dubinenkov, I.V.; Kulikova, N.A.; Nikolaev, E.N.; Bulygina, E.; Holmes, R.M. The Structural Arrangement and Relative Abundance of Aliphatic Units May Effect Long-Wave Absorbance of Natural Organic Matter as Revealed by 1H NMR Spectroscopy. Environ. Sci. Technol. 2018, 52, 12526–12537. [Google Scholar] [CrossRef]
- Kholodov, V.A.; Konstantinov, A.I.; Kudryavtsev, A.V.; Perminova, I.V. Structure of humic acids in zonal soils from 13C NMR data. Eurasian Soil Sci. 2011, 44, 976–983. [Google Scholar] [CrossRef]
- Mikhaylova, Y.; Adam, G.; Häussler, L.; Eichhorn, K.J.; Voit, B. Temperature-dependent FTIR spectroscopic and thermoanalytic studies of hydrogen bonding of hydroxyl (phenolic group) terminated hyperbranched aromatic polyesters. J. Mol. Struct. 2006, 788, 80–88. [Google Scholar] [CrossRef]
- Day, K.L. Temperature Dependence of Mid-Infrared Silicate Absorption. Astrophys. J. 1976, 203, L99. [Google Scholar] [CrossRef]














| Sample | Parameter | Min–Max | ±Δ, % |
|---|---|---|---|
| Soddy podzolic soil, GSO 10863-2016, | C, % w/w | 40.0–56.0 | 1.1 |
| H, % w/w | 3.50–6.50 | 0.7 | |
| N, % w/w | 3.50–6.70 | 0.7 | |
| H/C, mol:mol | 1.05−1.39 | 3 | |
| C/N, mol:mol | 9.9−13.2 | 3 | |
| Chernozem, GSO 10862-2016 | C, % w/w | 45.0–59.0 | 1.1 |
| H, % w/w | 2.50–5.50 | 0.7 | |
| N, % w/w | 2.70–5.70 | 0.7 | |
| H/C, mol:mol | 0.66−1.12 | 3 | |
| C/N, mol:mol | 12.0−19.7 | 3 |
| Sample | Amount, % w/w | |||||||
|---|---|---|---|---|---|---|---|---|
| Al | Fe | Si | K | Na | Ca | S | P | |
| Soddy podzolic soil | 0.025 | 0.205 | 0.025 | 0.074 | 0.024 | 0.034 | 0.453 | 0.300 |
| Chernozem | 0.007 | 0.051 | 0.026 | 0.136 | 0.019 | 0.032 | 0.239 | 0.142 |
| Sample | Amount, mg/kg | ||||||||
|---|---|---|---|---|---|---|---|---|---|
| Ba | Co | Cr | Cu | Mg | Mn | Ni | Ti | Zr | |
| Soddy podzolic soil | 109 | 17.6 | 18 | 50 | 55 | 13 | 24.4 | 251 | 38.35 |
| Chernozem | 46 | 13.4 | 26 | 255 | 37 | 4.1 | 24.8 | 110 | 17.28 |
| Band Maximum *, cm−1 | Therm. Behavior of Integral Intensity ** | SiO2/Mineral/Water Constituents | Organic Constituents |
|---|---|---|---|
| 3740–3600 | = | Hydrogen-bond SiO–H…OH2 stretch (amorph.) [60,61,62] | n/a |
| 3490 | ↓ | Water, liquid: asym. stretch v3 | O–H, phenolic, alcohol, carboxylic |
| 3350 | ↓ | Hydrogen-bonded SiO–H…H2O SiO–H stretch (α-quartz) [60] water: v1, v3, and overt. of v2 | n/a |
| 3270 | ↓ | Water, liquid: sym. stretch v1 | O–H, phenolic, alcohol, carboxylic C=O ov. |
| → 3130–3065 | = *** | n/a | C–H aromatic chain stretch |
| → 3035–3030 | ↑ *** | n/a | C–H aromatic chain stretch; C–H alkene chain stretch |
| ← 2970–2960 | = | (?) SiO2 overt.-comb. bands | C–H, CH3 asym. stretch |
| ← 2930–2910 | ↑ | (?) SiO2, overt.-comb. bands | C–H, CH2 asym. stretch [63,64,65,66] |
| ← 2880 | = | n/a | C–H, CH3 sym. stretch |
| ← 2860–2850 | ↓ | n/a | C–H, CH2 sym. stretch [63,64,65,66] |
| 1845 | ↑ | SiO2 comb. band | C=O stretch |
| ← 1790−1780 | ↑ | SiO2 comb. band | C=O stretch |
| 1775 (sh) Q | = | (?) SiO2 comb. band | C=O stretch |
| → 1740 | = | n/a | C=O stretch |
| 1730−1700 | ↑ | (?) SiO2 comb. band | N–H bend, amine; alkene –C=C– stretch; substituted aromatics |
| 1680 Q | = | SiO2 comb. band | n/a |
| 1670−1650 | =*** | Water, absorbed: bend v2 [67] | amide I, aromatic –C=C– stretch [68] |
| 1625 | ↓ | H-bonded SiOH…OH2 HO–H stretch [60] Water: bend v2 | N–H bend, C=O stretch, C=C stretch |
| 1580 Q | =↓ | SiO2 overt. | C–C stretch, aromatic rings |
| ← 1560 | ↑ | n/a | Carboxylate, asym. stretch; (?) C=O stretch |
| ← 1540−1510 Q | =↓ | SiO2 comb. band [69] | amide II, aromatic rings, carboxyl C |
| ← 1460−1450 | = | SiO2 amorph. comb. band; carbonate [70] | O–H, C–H scissoring |
| → 1420 | ↓ | Mg–OH stretch [71] | C–O stretch |
| → 1395−1375, triplet | = | SiO2 comb. band [71] Water: O–H, coordinated bonded | Aromatic rings; carboxylate, sym. stretch; a comb. band of phenolic or COO stretch with CH2 and CH3 bands; non-carboxyl C–O–H in-plane bend [72] |
| → 1360 | ↑ | SiO2 comb. band [71] | n/a |
| → 1265 | ↑ | SiO2 comb. band | amide III, C–O stretch, aromatic rings and carboxylic acids [65], CH2 rocking; C–N stretch |
| → 1220−1210 | ↓ | SiO2 lattice [73] | n/a |
| 1175 Q | ↓ | SiO2 comb. band [71], amorph. [74] | CH2 wagging |
| ← 1153−1163 Q | ↑ | SiO2 lattice [73] | C-O of carbohydrates; hydrogen-bonded stretching mode of C-OH groups; CH deformations [75,76,77] |
| → 1120−1110 | ↑ | amorph. silica [78] | n/a |
| ← 1080 Q | ↓ | O–Si–O lattice stretch [73] | n/a |
| 1070 Q | ↓ | SiO2, (kaolinite, illite) O–Si–O lattice asym. stretch [73] | n/a |
| → 1037 Q | ↓ | Silicate (kaolinite, illite) Si–O asym. stretch; Al–O stretch [70] | In plane C–H bend (non-aromatic) and carbohydrates; carboxyl out-of-plane C–O–H bend |
| 1025−1000 | = *** | SiO2 Si–O stretch lattice | C–H bend (non-aromatic) |
| 930–910 (sh) | ↓ | Silicate, aluminosilicate, ov. [74] | n/a |
| ← 840–830 | = **** | Al–OH (clay minerals), smectite, illite [79]; interfacial water librations [80] | cellulose |
| → 796 Q | ↓ | SiO2 silicate, lattice sym. Si–O–Si stretch [73,74] | Out of plane C–H bend (non-aromatic) |
| → 775 Q | ↓ | α-quartz [73,78] | n/a |
| → 750–730 (sh) (soddy podzolic) | ↑ | Mg–OH, Al–OH (clay minerals) | Polyaromatic [81] Out of plane C–H bend (aromatic); in-phase rock vibrations of C4+ alkanes [82] |
| → 697 Q | = | SiO2 Si–O–Si bend [73] | n/a |
| 630–610 Q | = | Structural vibrations in quartz [83] Water: librations [80] | non-carboxylic, out-of-plane C–O–H bend; CH out-of-plane bending vibrations in biosystems [84] |
| 535 Q | ↑ | α-quartz (?) [73] kaolinite | n/a |
| 513 Q | = | silicate O–Si–O bend [73], | n/a |
| 470 Q | = | SiO2 O–Si–O bend [74]; O–Al–O [70] | n/a |
| 450 Q | = | SiO2 O–Si–O bend lattice [73,74] | C–C–C vibrations [85] |
| 430–420 Q | = | Mg–OH, Al–OH (clay minerals) | C–C–C vibrations [85] |
Disclaimer/Publisher’s Note: The statements, opinions and data contained in all publications are solely those of the individual author(s) and contributor(s) and not of MDPI and/or the editor(s). MDPI and/or the editor(s) disclaim responsibility for any injury to people or property resulting from any ideas, methods, instructions or products referred to in the content. |
© 2023 by the authors. Licensee MDPI, Basel, Switzerland. This article is an open access article distributed under the terms and conditions of the Creative Commons Attribution (CC BY) license (https://creativecommons.org/licenses/by/4.0/).
Share and Cite
Proskurnin, M.A.; Volkov, D.S.; Rogova, O.B. Temperature Dependences of IR Spectral Bands of Humic Substances of Silicate-Based Soils. Agronomy 2023, 13, 1740. https://doi.org/10.3390/agronomy13071740
Proskurnin MA, Volkov DS, Rogova OB. Temperature Dependences of IR Spectral Bands of Humic Substances of Silicate-Based Soils. Agronomy. 2023; 13(7):1740. https://doi.org/10.3390/agronomy13071740
Chicago/Turabian StyleProskurnin, Mikhail A., Dmitry S. Volkov, and Olga B. Rogova. 2023. "Temperature Dependences of IR Spectral Bands of Humic Substances of Silicate-Based Soils" Agronomy 13, no. 7: 1740. https://doi.org/10.3390/agronomy13071740
APA StyleProskurnin, M. A., Volkov, D. S., & Rogova, O. B. (2023). Temperature Dependences of IR Spectral Bands of Humic Substances of Silicate-Based Soils. Agronomy, 13(7), 1740. https://doi.org/10.3390/agronomy13071740

