Effects of Conservation Agriculture Practices on Tomato Yield and Economic Performance
Abstract
1. Introduction
2. Materials and Methods
2.1. Site Characteristics
2.2. Experimental Layout and Managament Systems
Technical Itineraries
2.3. Data Collection
2.3.1. Agronomic Parameters
2.3.2. Operational Performance
2.3.3. Economic Performance
2.4. Statistical Analysis
3. Results
3.1. Dry Biomass of Cover Crops and Weeds
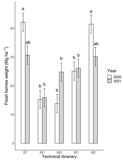
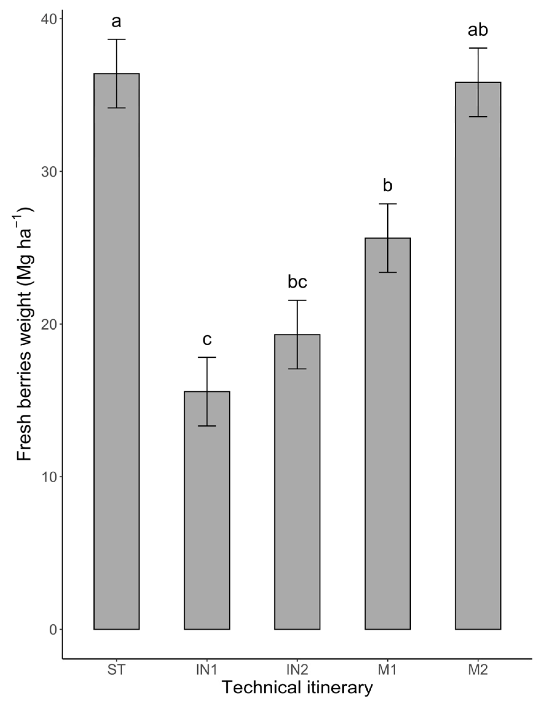
3.2. Fresh Tomato Berries Weight
3.3. Operative Performances of the Technical Itinearies
3.4. Economic Performances of the Technical Itineraries
4. Discussion
4.1. Cover Crops Biomass Production and Weed Control
4.2. Processing Tomato Yield
4.3. Total Field Time and Fuel Consumption of the Technical Itinearies
4.4. Gross Salable Production, Average Variable Costs, and Gross Income
5. Conclusions
Author Contributions
Funding
Data Availability Statement
Acknowledgments
Conflicts of Interest
References
- Godfray, H.C.J.; Beddington, J.R.; Crute, I.R.; Haddad, L.; Lawrence, D.; Muir, J.F.; Pretty, J.; Robinson, S.; Thomas, S.M.; Toulmin, C. Food Security: The Challenge of Feeding 9 Billion People. Science 2010, 327, 812–818. [Google Scholar] [CrossRef]
- Zalles, V.; Hansen, M.C.; Potapov, P.V.; Stehman, S.V.; Tyukavina, A.; Pickens, A.; Song, X.-P.; Adusei, B.; Okpa, C.; Aguilar, R.; et al. Near Doubling of Brazil’s Intensive Row Crop Area since 2000. Proc. Natl. Acad. Sci. USA 2019, 116, 428–435. [Google Scholar] [CrossRef]
- Browne, W.P. The Failure of National Rural Policy: Institutions and Interests; Georgetown University Press: Washington, DC, USA, 2001. [Google Scholar]
- Oldfield, E.E.; Bradford, M.A.; Wood, S.A. Global Meta-Analysis of the Relationship between Soil Organic Matter and Crop Yields. Soil 2019, 5, 15–32. [Google Scholar] [CrossRef]
- Cisilino, F.; Bodini, A.; Zanoli, A. Rural Development Programs’ Impact on Environment: An Ex-Post Evaluation of Organic Faming. Land Use Policy 2019, 85, 454–462. [Google Scholar] [CrossRef]
- Peigné, J.; Ball, B.C.; Roger-Estrade, J.; David, C. Is Conservation Tillage Suitable for Organic Farming? A Review. Soil Use Manag. 2007, 23, 129–144. [Google Scholar] [CrossRef]
- Morris, D.R.; Gilbert, R.A.; Reicosky, D.C.; Gesch, R.W. Oxidation Potentials of Soil Organic Matter in Histosols under Different Tillage Methods. Soil Sci. Soc. Am. J. 2004, 68, 817–826. [Google Scholar] [CrossRef]
- Šarauskis, E.; Kriaučiūnienė, Z.; Romaneckas, K.; Buragienė, S. Impact of Tillage Methods on Environment, Energy and Economy. In Sustainable Agriculture Reviews 33; Lichtfouse, E., Ed.; Sustainable Agriculture Reviews; Springer International Publishing: Cham, Switzerland, 2018; Volume 33, pp. 53–97. ISBN 978-3-319-99075-0. [Google Scholar]
- Kuhwald, M.; Blaschek, M.; Brunotte, J.; Duttmann, R. Comparing Soil Physical Properties from Continuous Conventional Tillage with Long-Term Reduced Tillage Affected by One-Time Inversion. Soil Use Manag. 2017, 33, 611–619. [Google Scholar] [CrossRef]
- Jaleta, M.; Baudron, F.; Krivokapic-Skoko, B.; Erenstein, O. Agricultural Mechanization and Reduced Tillage: Antagonism or Synergy? Int. J. Agric. Sustain. 2019, 17, 219–230. [Google Scholar] [CrossRef]
- Rutkowska, B.; Szulc, W.; Sosulski, T.; Skowrońska, M.; Szczepaniak, J. Impact of Reduced Tillage on CO2 Emission from Soil under Maize Cultivation. Soil Tillage Res. 2018, 180, 21–28. [Google Scholar] [CrossRef]
- Hu, F.; Chai, Q.; Yu, A.; Yin, W.; Cui, H.; Gan, Y. Less Carbon Emissions of Wheat–Maize Intercropping under Reduced Tillage in Arid Areas. Agron. Sustain. Dev. 2015, 35, 701–711. [Google Scholar] [CrossRef]
- Mei, K.; Wang, Z.; Huang, H.; Zhang, C.; Shang, X.; Dahlgren, R.A.; Zhang, M.; Xia, F. Stimulation of N2O Emission by Conservation Tillage Management in Agricultural Lands: A Meta-Analysis. Soil Tillage Res. 2018, 182, 86–93. [Google Scholar] [CrossRef]
- Yuan, J.; Yan, L.; Li, G.; Sadiq, M.; Rahim, N.; Wu, J.; Ma, W.; Xu, G.; Du, M. Effects of Conservation Tillage Strategies on Soil Physicochemical Indicators and N2O Emission under Spring Wheat Monocropping System Conditions. Sci. Rep. 2022, 12, 7066. [Google Scholar] [CrossRef]
- Van Kessel, C.; Venterea, R.; Six, J.; Adviento-Borbe, M.A.; Linquist, B.; Van Groenigen, K.J. Climate, Duration, and N Placement Determine N2O Emissions in Reduced Tillage Systems: A Meta-Analysis. Glob. Change Biol. 2013, 19, 33–44. [Google Scholar] [CrossRef]
- Feng, J.; Li, F.; Zhou, X.; Xu, C.; Ji, L.; Chen, Z.; Fang, F. Impact of Agronomy Practices on the Effects of Reduced Tillage Systems on CH4 and N2O Emissions from Agricultural Fields: A Global Meta-Analysis. PLoS ONE 2018, 13, e0196703. [Google Scholar] [CrossRef]
- Filipovic, D.; Kosutic, S.; Gospodaric, Z.; Zimmer, R.; Banaj, D. The Possibilities of Fuel Savings and the Reduction of CO2 Emissions in the Soil Tillage in Croatia. Agric. Ecosyst. Environ. 2006, 115, 290–294. [Google Scholar] [CrossRef]
- Salem, H.M.; Valero, C.; Muñoz, M.Á.; Rodríguez, M.G.; Silva, L.L. Short-Term Effects of Four Tillage Practices on Soil Physical Properties, Soil Water Potential, and Maize Yield. Geoderma 2015, 237–238, 60–70. [Google Scholar] [CrossRef]
- Nichols, V.; Verhulst, N.; Cox, R.; Govaerts, B. Weed Dynamics and Conservation Agriculture Principles: A Review. Field Crop. Res. 2015, 183, 56–68. [Google Scholar] [CrossRef]
- Cooper, J.; Baranski, M.; Stewart, G.; Nobel-de Lange, M.; Bàrberi, P.; Fließbach, A.; Peigné, J.; Berner, A.; Brock, C.; Casagrande, M.; et al. Shallow Non-Inversion Tillage in Organic Farming Maintains Crop Yields and Increases Soil C Stocks: A Meta-Analysis. Agron. Sustain. Dev. 2016, 36, 22. [Google Scholar] [CrossRef]
- Benincasa, P.; Tosti, G.; Guiducci, M.; Farneselli, M.; Tei, F. Crop Rotation as a System Approach for Soil Fertility Management in Vegetables. In Advances in Research on Fertilization Management of Vegetable Crops; Tei, F., Nicola, S., Benincasa, P., Eds.; Advances in Olericulture; Springer International Publishing: Cham, Switzerland, 2017; pp. 115–148. ISBN 978-3-319-53624-8. [Google Scholar]
- Carlesi, S.; Bigongiali, F.; Antichi, D.; Ciaccia, C.; Tittarelli, F.; Canali, S.; Bàrberi, P. Green Manure and Phosphorus Fertilization Affect Weed Community Composition and Crop/Weed Competition in Organic Maize. Renew. Agric. Food Syst. 2020, 35, 493–502. [Google Scholar] [CrossRef]
- Koudahe, K.; Allen, S.C.; Djaman, K. Critical Review of the Impact of Cover Crops on Soil Properties. Int. Soil Water Conserv. Res. 2022, 10, 343–354. [Google Scholar] [CrossRef]
- Hwang, H.Y.; Kim, G.W.; Lee, Y.B.; Kim, P.J.; Kim, S.Y. Improvement of the Value of Green Manure via Mixed Hairy Vetch and Barley Cultivation in Temperate Paddy Soil. Field Crop. Res. 2015, 183, 138–146. [Google Scholar] [CrossRef]
- ISMEA. Ortaggi—Focus Conserve di Pomodoro. Tendenze e Dinamiche Recenti; ISMEA: Rome, Italy, 2022. [Google Scholar]
- Tribouillois, H.; Cohan, J.-P.; Justes, E. Cover Crop Mixtures Including Legume Produce Ecosystem Services of Nitrate Capture and Green Manuring: Assessment Combining Experimentation and Modelling. Plant Soil 2016, 401, 347–364. [Google Scholar] [CrossRef]
- Schipanski, M.E.; Barbercheck, M.; Douglas, M.R.; Finney, D.M.; Haider, K.; Kaye, J.P.; Kemanian, A.R.; Mortensen, D.A.; Ryan, M.R.; Tooker, J.; et al. A Framework for Evaluating Ecosystem Services Provided by Cover Crops in Agroecosystems. Agric. Syst. 2014, 125, 12–22. [Google Scholar] [CrossRef]
- Farneselli, M.; Tosti, G.; Onofri, A.; Benincasa, P.; Guiducci, M.; Pannacci, E.; Tei, F. Effects of N Sources and Management Strategies on Crop Growth, Yield and Potential N Leaching in Processing Tomato. Eur. J. Agron. 2018, 98, 46–54. [Google Scholar] [CrossRef]
- Tosti, G.; Benincasa, P.; Farneselli, M.; Tei, F.; Guiducci, M. Barley–Hairy Vetch Mixture as Cover Crop for Green Manuring and the Mitigation of N Leaching Risk. Eur. J. Agron. 2014, 54, 34–39. [Google Scholar] [CrossRef]
- Martín-Closas, L.; Bach, M.A.; Pelacho, A.M. Biodegradable Mulching in an Organic Tomato Production System. Acta Hortic. 2008, 767, 267–274. [Google Scholar] [CrossRef]
- Shen, M.; Song, B.; Zeng, G.; Zhang, Y.; Huang, W.; Wen, X.; Tang, W. Are Biodegradable Plastics a Promising Solution to Solve the Global Plastic Pollution? Environ. Pollut. 2020, 263, 114469. [Google Scholar] [CrossRef]
- Shruti, V.C.; Kutralam-Muniasamy, G. Bioplastics: Missing Link in the Era of Microplastics. Sci. Total Environ. 2019, 697, 134139. [Google Scholar] [CrossRef]
- Touchaleaume, F.; Martin-Closas, L.; Angellier-Coussy, H.; Chevillard, A.; Cesar, G.; Gontard, N.; Gastaldi, E. Performance and Environmental Impact of Biodegradable Polymers as Agricultural Mulching Films. Chemosphere 2016, 144, 433–439. [Google Scholar] [CrossRef]
- Sekara, A.; Pokluda, R.; Cozzolino, E.; Del Piano, L.; Cuciniello, A.; Caruso, G. Plant Growth, Yield, and Fruit Quality of Tomato Affected by Biodegradable and Non-Degradable Mulches. Hortic. Sci. 2019, 46, 138–145. [Google Scholar] [CrossRef]
- Macua, J.I.; Jiménez, E.; Suso, M.L.; Gervas, C.; Lahoz, I. The Future of Processing Tomato Crops in The Ebro Valley Lies with the Use of Biodegradable Mulching. Acta Hortic. 2013, 971, 143–146. [Google Scholar] [CrossRef]
- Cirujeda, A.; Aibar, J.; Anzalone, Á.; Martín-Closas, L.; Meco, R.; Moreno, M.M.; Pardo, A.; Pelacho, A.M.; Rojo, F.; Royo-Esnal, A.; et al. Biodegradable Mulch Instead of Polyethylene for Weed Control of Processing Tomato Production. Agron. Sustain. Dev. 2012, 32, 889–897. [Google Scholar] [CrossRef]
- Cirujeda, A.; Aibar, J.; Moreno, M.M.; Zaragoza, C. Effective Mechanical Weed Control in Processing Tomato: Seven Years of Results. Renew. Agric. Food Syst. 2013, 30, 223–232. [Google Scholar] [CrossRef]
- Raffaelli, M.; Fontanelli, M.; Frasconi, C.; Sorelli, F.; Ginanni, M.; Peruzzi, A. Physical Weed Control in Processing Tomatoes in Central Italy. Renew. Agric. Food Syst. 2011, 26, 95–103. [Google Scholar] [CrossRef]
- ISMEA. ISMEA Mercati. Available online: http://www.ismeamercati.it/flex/cm/pages/ServeBLOB.php/L/IT/IDPagina/1881 (accessed on 11 April 2023).
- Moreno, M.M.; González-Mora, S.; Villena, J.; Campos, J.A.; Moreno, C. Deterioration Pattern of Six Biodegradable, Potentially Low-Environmental Impact Mulches in Field Conditions. J. Environ. Manag. 2017, 200, 490–501. [Google Scholar] [CrossRef]
- Ronga, D.; Gallingani, T.; Zaccardelli, M.; Perrone, D.; Francia, E.; Milc, J.; Pecchioni, N. Carbon Footprint and Energetic Analysis of Tomato Production in the Organic vs. the Conventional Cropping Systems in Southern Italy. J. Clean. Prod. 2019, 220, 836–845. [Google Scholar] [CrossRef]
- Vincent, C.; Panneton, B.; Fleurat-Lessard, F. (Eds.) Physical Control Methods in Plant Protection; Softcover reprint of the original 1st ed. 2001; Springer: Berlin/Heidelberg, Germany, 2014; ISBN 978-3-662-04586-2. [Google Scholar]
- Castellini, M.; Fornaro, F.; Garofalo, P.; Giglio, L.; Rinaldi, M.; Ventrella, D.; Vitti, C.; Vonella, A. Effects of No-Tillage and Conventional Tillage on Physical and Hydraulic Properties of Fine Textured Soils under Winter Wheat. Water 2019, 11, 484. [Google Scholar] [CrossRef]
- Blanco-Canqui, H.; Ruis, S.J. No-Tillage and Soil Physical Environment. Geoderma 2018, 326, 164–200. [Google Scholar] [CrossRef]
- Strudley, M.; Green, T.; Ascoughii, J. Tillage Effects on Soil Hydraulic Properties in Space and Time: State of the Science. Soil Tillage Res. 2008, 99, 4–48. [Google Scholar] [CrossRef]
- Reichert, J.M.; Da Rosa, V.T.; Vogelmann, E.S.; Da Rosa, D.P.; Horn, R.; Reinert, D.J.; Sattler, A.; Denardin, J.E. Conceptual Framework for Capacity and Intensity Physical Soil Properties Affected by Short and Long-Term (14 Years) Continuous No-Tillage and Controlled Traffic. Soil Tillage Res. 2016, 158, 123–136. [Google Scholar] [CrossRef]
- Testani, E.; Ciaccia, C.; Diacono, M.; Fornasier, F.; Ferrarini, A.; Montemurro, F.; Canali, S. Agroecological Practices Improve Soil Biological Properties in an Organic Vegetable System. Nutr. Cycl. Agroecosyst. 2023, 125, 471–486. [Google Scholar] [CrossRef]
- Feldman, R.S.; Holmes, C.E.; Blomgren, T.A. Use of Fabric and Compost Mulches for Vegetable Production in a Low Tillage, Permanent Bed System: Effects on Crop Yield and Labor. Am. J. Alt. Ag. 2000, 15, 146–153. [Google Scholar] [CrossRef]
- Moitzi, G.; Wagentristl, H.; Refenner, K.; Weingartmann, H.; Piringer, G.; Boxberger, J.; Gronauer, A. Effects of Working Depth and Wheel Slip on Fuel Consumption of Selected Tillage Implements. Agric. Eng. Int. CIGR J. 2014, 16, 182–190. [Google Scholar]
- Pratibha, G.; Srinivas, I.; Rao, K.V.; Raju, B.M.K.; Thyagaraj, C.R.; Korwar, G.R.; Venkateswarlu, B.; Shanker, A.K.; Choudhary, D.K.; Rao, K.S.; et al. Impact of Conservation Agriculture Practices on Energy Use Efficiency and Global Warming Potential in Rainfed Pigeonpea–Castor Systems. Eur. J. Agron. 2015, 66, 30–40. [Google Scholar] [CrossRef]
- Andrade, C.S.; Palha, M.D.G.; Duarte, E. Biodegradable Mulch Films Performance for Autumn-Winter Strawberry Production. JBR 2014, 4, 193–202. [Google Scholar] [CrossRef]






| ST | IN1 | IN2 | M1 | M2 | ||
|---|---|---|---|---|---|---|
| Soil Tillage | Conventional tillage (subsoiler, heavy cultivator, and rotary harrow). | ✓ | - | - | ✓ | - |
| Reduced tillage (combined cultivator). | - | ✓ | ✓ | - | ✓ | |
| Cover Crop | Combined harrowing and sowing, shredding and burial with combined cultivator. | - | ✓ | ✓ | - | ✓ |
| Weed Control | Mulch film application and mechanical weeding. | ✓ | - | - | - | ✓ |
| False seedbed technique and mechanical weeding after transplanting. | - | ✓ | ✓ | ✓ | - | |
| Side-flaming. | - | - | ✓ | - | - |
| ST | IN1 | IN2 | M1 | M2 | ||||||||
|---|---|---|---|---|---|---|---|---|---|---|---|---|
| Unit | 2020 | 2021 | 2020 | 2021 | 2020 | 2021 | 2020 | 2021 | 2020 | 2021 | ||
| GSP | € ha−1 | 49,301 | 34,364 | 17,837 | 17,798 | 16,153 | 27,801 | 29,386 | 29,276 | 48,522 | 33,808 | |
| VC | Labor | € ha−1 | 6373 | 3838 | 3961 | 3837 | 6396 | |||||
| Fuel | € ha−1 | 284 | 198 | 227 | 221 | 264 | ||||||
| Machinery | € ha−1 | 4585 | 4639 | 4905 | 4710 | 4580 | ||||||
| Technical means | € ha−1 | 7060 | 6780 | 6804 | 6460 | 7380 | ||||||
| Total VC | € ha−1 | 18,303 | 15,456 | 15,898 | 15,230 | 18,622 | ||||||
| GI | € ha−1 | 30,998 | 16,060 | 2381 | 2342 | 254 | 11,903 | 14,156 | 14,046 | 29,900 | 15,186 | |
Disclaimer/Publisher’s Note: The statements, opinions and data contained in all publications are solely those of the individual author(s) and contributor(s) and not of MDPI and/or the editor(s). MDPI and/or the editor(s) disclaim responsibility for any injury to people or property resulting from any ideas, methods, instructions or products referred to in the content. |
© 2023 by the authors. Licensee MDPI, Basel, Switzerland. This article is an open access article distributed under the terms and conditions of the Creative Commons Attribution (CC BY) license (https://creativecommons.org/licenses/by/4.0/).
Share and Cite
Gagliardi, L.; Sportelli, M.; Fontanelli, M.; Sbrana, M.; Luglio, S.M.; Raffaelli, M.; Peruzzi, A. Effects of Conservation Agriculture Practices on Tomato Yield and Economic Performance. Agronomy 2023, 13, 1704. https://doi.org/10.3390/agronomy13071704
Gagliardi L, Sportelli M, Fontanelli M, Sbrana M, Luglio SM, Raffaelli M, Peruzzi A. Effects of Conservation Agriculture Practices on Tomato Yield and Economic Performance. Agronomy. 2023; 13(7):1704. https://doi.org/10.3390/agronomy13071704
Chicago/Turabian StyleGagliardi, Lorenzo, Mino Sportelli, Marco Fontanelli, Massimo Sbrana, Sofia Matilde Luglio, Michele Raffaelli, and Andrea Peruzzi. 2023. "Effects of Conservation Agriculture Practices on Tomato Yield and Economic Performance" Agronomy 13, no. 7: 1704. https://doi.org/10.3390/agronomy13071704
APA StyleGagliardi, L., Sportelli, M., Fontanelli, M., Sbrana, M., Luglio, S. M., Raffaelli, M., & Peruzzi, A. (2023). Effects of Conservation Agriculture Practices on Tomato Yield and Economic Performance. Agronomy, 13(7), 1704. https://doi.org/10.3390/agronomy13071704

