Effects of Drip Irrigation and Fertilization Frequency on Yield, Water and Nitrogen Use Efficiency of Medium and Strong Gluten Wheat in the Huang-Huai-Hai Plain of China
Abstract
1. Introduction
2. Materials and Methods
2.1. Experimental Site and Design
2.2. Sampling and Measurements
2.2.1. Net Photosynthetic Rate (Pn), Stomatal Conductance (Gs), Transpiration Rate
2.2.2. Dry Matter Accumulation and Distribution, Nitrogen Uptake and Nitrogen Utilization Efficiency
2.2.3. Water Use Efficiency
2.2.4. Grain Yield
2.3. Statistical Analysis
3. Results
3.1. Photosynthetic Characteristics
3.2. Distribution and Accumulation of Dry Matter and Nitrogen
3.3. Grain Yield
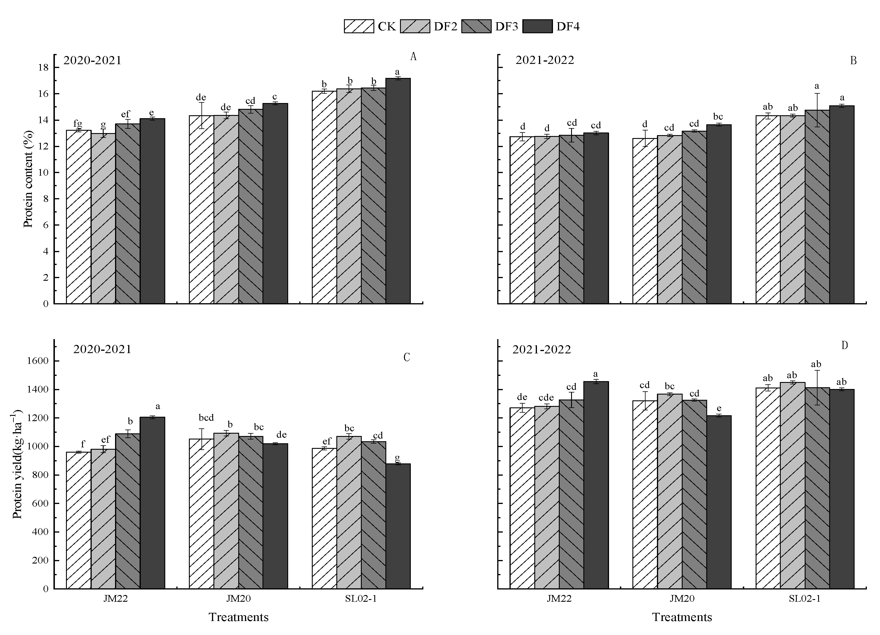
3.4. Protein Content and Protein Yield
3.5. Water and Nitrogen Utilization Efficiency
4. Discussion
5. Conclusions
Supplementary Materials
Author Contributions
Funding
Data Availability Statement
Acknowledgments
Conflicts of Interest
References
- Fan, M.S.; Shen, J.B.; Yuan, L.X.; Jiang, R.f.; Chen, X.P.; Davies, W.J.; Zhang, F.S. Improving crop productivity and resource use efficiency to ensure food security and environmental quality in china. J. Exp. Bot. 2012, 63, 13–24. [Google Scholar] [CrossRef] [PubMed]
- Huang, P.; Zhang, J.B.; Zhu, A.N.; Xin, X.L.; Zhang, C.Z.; Ma, D.H.; Yang, S.; Mirza, Z.; Wu, S.J. Coupled water and nitrogen (n) management as a key strategy for the mitigation of gaseous n losses in the huang-huai-hai plain. Biol. Fertil. Soils 2014, 51, 333–342. [Google Scholar] [CrossRef]
- Feng, Y.P.; Zhang, Y.Y.; Li, S.; Wang, C.; Yin, X.G.; Chu, Q.Q.; Chen, F. Sustainable options for reducing carbon inputs and improving the eco-efficiency of smallholder wheat-maize cropping systems in the huanghuaihai farming region of China. J. Clean Prod. 2020, 244, 2–8. [Google Scholar] [CrossRef]
- Zhang, Y.Q.; Wang, J.D.; Gong, S.H.; Xu, D.; Sui, J. Nitrogen fertigation effect on photosynthesis, grain yield and water use efficiency of winter wheat. Agric. Water Manag. 2017, 179, 277–287. [Google Scholar] [CrossRef]
- Shao, Y.; Xie, Y.; Wang, C.; Yue, J.; Yao, Y.; Li, X.; Liu, W.; Zhu, Y.; Guo, T. Effects of different soil conservation tillage approaches on soil nutrients, water use and wheat-maize yield in rainfed dry-land regions of north China. Eur. J. Agron. 2016, 81, 37–45. [Google Scholar] [CrossRef]
- Man, J.G.; Yu, S.; Yu, Z.W.; Zhang, Y.L. Dry matter production, photosynthesis of flag leaves and water use in winter wheat are affected by supplemental irrigation in the huang-huai-hai plain of China. PLoS ONE 2015, 10, e0137274. [Google Scholar] [CrossRef]
- Wang, D. Water use efficiency and optimal supplemental irrigation in a high yield wheat field. Field Crop. Res. 2017, 213, 213–220. [Google Scholar] [CrossRef]
- Sun, H.Y.; Liu, C.M.; Zhang, X.Y.; Shen, Y.J.; Zhang, Y.Q. Effects of irrigation on water balance, yield and wue of winter wheat in the north china plain. Agric. Water Manag. 2006, 85, 211–218. [Google Scholar] [CrossRef]
- Wu, X.Y.; Cai, X.; Li, Q.Q.; Ren, B.Z.; Bi, Y.P.; Zhang, J.P.; Wang, D. Effects of nitrogen application rate on summer maize (Zea mays L.) yield and water–nitrogen use efficiency under micro–sprinkling irrigation in the huang–huai–hai plain of China. Arch. Agron. Soil Sci. 2021, 68, 1915–1929. [Google Scholar] [CrossRef]
- Foulkes, M.J.; Slafer, G.A.; Davies, W.J.; Berry, P.M.; Sylvester-Bradley, R.; Martre, P.; Calderini, D.F.; Griffiths, S.; Reynolds, M.P. Raising yield potential of wheat. Iii. Optimizing partitioning to grain while maintaining lodging resistance. J. Exp. Bot. 2011, 62, 469–486. [Google Scholar] [CrossRef]
- Liu, M.; Wu, X.; Li, C.; Li, M.; Xiong, T.; Tang, Y. Dry matter and nitrogen accumulation, partitioning, and translocation in synthetic-derived wheat cultivars under nitrogen deficiency at the post-jointing stage. Field Crop. Res. 2020, 248, 107720. [Google Scholar] [CrossRef]
- De Oliveira Silva, A.; Ciampitti, I.A.; Slafer, G.A.; Lollato, R.P. Nitrogen utilization efficiency in wheat: A global perspective. Eur. J. Agron. 2020, 114, 126008. [Google Scholar] [CrossRef]
- Moradi, L.; Siosemardeh, A.; Sohrabi, Y.; Bahramnejad, B.; Hosseinpanahi, F. Dry matter remobilization and associated traits, grain yield stability, n utilization, and grain protein concentration in wheat cultivars under supplemental irrigation. Agric. Water Manag. 2022, 263, 107449. [Google Scholar] [CrossRef]
- Yan, S.C.; Wu, Y.; Fan, J.L.; Zhang, F.C.; Guo, J.J.; Zheng, J.; Wu, L.F. Optimization of drip irrigation and fertilization regimes to enhance winter wheat grain yield by improving post-anthesis dry matter accumulation and translocation in northwest China. Agric. Water Manag. 2022, 271, 107782. [Google Scholar] [CrossRef]
- Kubar, M.S.; Feng, M.; Sayed, S.; Shar, A.H.; Rind, N.A.; Ullah, H.; Kalhoro, S.A.; Xie, Y.; Yang, C.; Yang, W.; et al. Agronomical traits associated with yield and yield components of winter wheat as affected by nitrogen managements. Saudi J. Biol. Sci. 2021, 28, 4852–4858. [Google Scholar] [CrossRef]
- Cassman, K.G.; Dobermann, A.R.; Walters, D.T. Agroecosystems, nitrogen-use efficiency, and nitrogen management. AMBIO A J. Hum. Environ. 2002, 31, 132–140. [Google Scholar] [CrossRef]
- Qiu, G.Y.; Wang, L.; He, X.; Zhang, X.; Chen, S.; Chen, J.; Yang, Y. Water use efficiency and evapotranspiration of winter wheat and its response to irrigation regime in the north china plain. Agric. For. Meteorol. 2008, 148, 1848–1859. [Google Scholar] [CrossRef]
- Olszewski, J.; Makowska, M.; Pszczółkowska, A.; Okorski, A.; Bieniaszewski, T. The effect of nitrogen fertilization on flag leaf and ear photosynthesis and grain yield of spring wheat. Plant Soil Environ. 2014, 60, 531–536. [Google Scholar] [CrossRef]
- Yang, J.C.; Zhang, J.H.; Huang, Z.L.; Zhu, Q.S.; Wang, L. Remobilization of carbon reserves is improved by controlled soil-drying during grain filling of wheat. Crop. Sci. 2000, 40, 1645–1655. [Google Scholar] [CrossRef]
- Wu, Y.L.; Guo, Q.F.; Luo, Y.; Tian, F.X.; Wang, W. Differences in physiological characteristics between two wheat cultivars exposed to field water deficit conditions. Russ. J. Plant Physiol. 2014, 61, 451–459. [Google Scholar] [CrossRef]
- Cui, Y.k.; Tian, Z.W.; Zhang, X.; Muhammad, A.; Han, H.; Jiang, D.; Cao, W.X.; Dai, T.B. Effect of water deficit during vegetative growth periods on post-anthesis photosynthetic capacity and grain yield in winter wheat (Triticum aestivum L.). Acta Physiol. Plant. 2015, 37, 196. [Google Scholar] [CrossRef]
- Qu, W.K.; Xu, X.X.; Hao, T.J.; Liu, S.; Zhao, J.K.; Meng, F.G.; Zhao, C.X. Effects of nitrogen application rate on annual yield and n-use efficiency of winter wheat-summer maize rotation under drip irrigation. J. Plant Nutr. Fert. 2022, 28, 1271–1282. [Google Scholar]
- Han, H.F.; Li, Q.Q.; Dong, B.D.; Liu, M.Y. Effects of irrigation frequency and stages on grain yield and quality characteristics of winter wheat. Acta Ecol. Sin. 2010, 30, 1548–1555. [Google Scholar]
- Liu, S.; Lin, X.; Wang, W.; Zhang, B.; Wang, D. Supplemental irrigation increases grain yield, water productivity, and nitrogen utilization efficiency by improving nitrogen nutrition status in winter wheat. Agric. Water Manag. 2022, 264, 107505. [Google Scholar] [CrossRef]
- Ali, S.; Xu, Y.; Jia, Q.; Ahmad, I.; Wei, T.; Ren, X.; Zhang, P.; Din, R.; Cai, T.; Jia, Z. Cultivation techniques combined with deficit irrigation improves winter wheat photosynthetic characteristics, dry matter translocation and water use efficiency under simulated rainfall conditions. Agric. Water Manag. 2018, 201, 207–218. [Google Scholar] [CrossRef]
- Ma, S.C.; Duan, A.W.; Wang, R.; Guan, Z.M.; Yang, S.J.; Ma, S.T.; Shao, Y. Root-sourced signal and photosynthetic traits, dry matter accumulation and remobilization, and yield stability in winter wheat as affected by regulated deficit irrigation. Agric. Water Manag. 2015, 148, 123–129. [Google Scholar] [CrossRef]
- Dong, W.J.; Cai, L.J.; Zhen, W.F.; Wang, C.Y.; Zhang, Y.; Sun, G.L. Effects of nitrogen spraying on the post-anthesis stage of winter wheat under waterlogging stress. Acta Physiol. Plant. 2013, 36, 207–216. [Google Scholar]
- Kopyra, M.; Gwód, E.A. The role of nitric oxide in plant growth regulation and responses to abiotic stresses. Acta Physiol. Plant. 2004, 26, 459–472. [Google Scholar] [CrossRef]
- Wu, X.L.; Tang, Y.L.; Li, C.S.; Wu, C. Characterization of the rate and duration of grain filling in wheat in southwestern China. Plant Prod. Sci. 2018, 21, 358–369. [Google Scholar] [CrossRef]
- Ma, R.Q.; Wang, D.M.; Qiang, T.Z.; Jie, W.Y.; Shuang, Y.Y. Response of dry matter and nitrogen accumulation of wheats with different gluten contents to topdressing rate of nitrogen fertilizer. J. Plant Nutr. Fert. 2022, 28, 622–631. [Google Scholar]
- Agegnehu, G.; vanBeek, C.; Bird, M.I. Influence of integrated soil fertility management in wheat and tef productivity and soil chemical properties in the highland tropical environment. J. Soil Sci. Plant Nutr. 2014, 14, 532–545. [Google Scholar] [CrossRef]
- Sieling, K.; Böttcher, U.; Kage, H. Dry matter partitioning and canopy traits in wheat and barley under varying n supply. Eur. J. Agron. 2016, 74, 1–8. [Google Scholar] [CrossRef]
- Lei, J.J.; Sai, L.H. Effects of nitrogen topdressing period on yield and quality of high-quality wheat. Xinjiang Agric. Sci. 2007, 44 (Suppl. S1), 168–170. [Google Scholar]
- Shen, J.H.; Dai, T.B.; Jing, Q.; Jiang, D.; Cao, W.X.; Guo, W.S.; Wang, L.J. Effect of nitrogen topdressing time on the accumulation and transfer of nitroge, yield and protein content in specialty wheat. J. Triticeae Crop. 2004, 24, 55–58. [Google Scholar]
- Yang, Z.G.; Wang, J.A.; Pei, X.X.; Zhang, D.Y. The effect of n top-dressing stage on the yield and quality of genotypes with different gluten content. Soil Fert. Sci. China 2008, 26, 32–34. [Google Scholar]
- Xia, L.L.; Lam, S.K.; Chen, D.L.; Wang, J.Y.; Tang, Q.; Yan, X.Y. Can knowledge-based n management produce more staple grain with lower greenhouse gas emission and reactive nitrogen pollution? A meta-analysis. Glob. Chang. Biol. 2017, 23, 1917–1925. [Google Scholar] [CrossRef]
- Liu, L.; Zhang, S.R.; Chen, M.M.; Cui, D.J.; Ding, X.D. Organic amendment increases wheat yield by improving soil n transformations and reducing n loss in north china plain. Arch. Agron. Soil Sci. 2021, 68, 1974–1987. [Google Scholar] [CrossRef]
- Chu, P.F.; Yu, Z.W.; Wang, D.; Zhang, Y.L.; Xu, Z.Z. Effects of irrigation stage and amount on winter wheat fructan accumulation and translocation after anthesis and water use efficiency. Chin. J. Appl. Ecol. 2009, 20, 2691–2698. [Google Scholar]





| Growing Season | Organic Matter (g·kg−1) | Soil pH | Hydrolysable N (mg·kg−1) | Available P (mg·kg−1) | Available K (mg·kg−1) |
|---|---|---|---|---|---|
| 2020–2021 | 16.21 | 7.55 | 127.9 | 15.14 | 136.5 |
| 2021–2022 | 17.24 | 7.62 | 129.3 | 15.98 | 134.2 |
| Wheat Seasons | Dates of Sowing | Dates of Harvest | Dates of Drip Fertigation | |||
|---|---|---|---|---|---|---|
| Jointing | Booting | Flowering | Grouting | |||
| 2020–2021 | 11 October | 17 June | 6 April | 25 April | 7 May | 25 May |
| 2021–2022 | 28 October | 18 June | 18 April | 21 April | 13 May | 27 May |
| Amount of Irrigation and N Fertilizer | Irrigation Method | Treatment | Wheat Growth Period | |||||
|---|---|---|---|---|---|---|---|---|
| Seeding | Jointing | Booting | Flowering | Filling | Total | |||
| N application (kg·ha−1) | Border irrigation | CK | 90 | 120 | 210 | |||
| Drip fertigation | DF4 | 90 | 30 | 30 | 30 | 30 | 210 | |
| DF3 | 90 | 40 | 40 | 40 | 210 | |||
| DF2 | 90 | 60 | 60 | 210 | ||||
| Irrigation volumes (mm) | Border irrigation | CK | 75 | 75 | 150 | |||
| Drip fertigation | DF4 | 30 | 30 | 30 | 30 | 120 | ||
| DF3 | 40 | 40 | 40 | 120 | ||||
| DF2 | 60 | 60 | 120 | |||||
| Year | Variety | Treatment | Upper Three Leaves | Other Leaves | Stem | Grain | Glume + Rachis | Remaining Tillers | Total | |||||||
|---|---|---|---|---|---|---|---|---|---|---|---|---|---|---|---|---|
| DMA (kg·ha−1) | NA (kg·ha−1) | DMA (kg·ha−1) | NA (kg·ha−1) | DMA (kg·ha−1) | NA (kg·ha−1) | DMA (kg·ha−1) | NA (kg·ha−1) | DMA (kg·ha−1) | NA (kg·ha−1) | DMA (kg·ha−1) | NA (kg·ha−1) | DMA (kg·ha−1) | NA (kg·ha−1) | |||
| 2020–2021 | Jimai22 | CK | 1284 bcd | 26.7 bc | 452 b | 5.9 b | 5332 cd | 18.8 b | 7624 def | 176.9 b | 1783 ab | 10.7 bc | 68.8 ab | 8.9 ab | 17,164 c | 248 c |
| DF2 | 952 e | 19.3 c | 296 d | 4.9 bc | 5206 cd | 19.5 b | 8314 cd | 189.7 b | 2485 a | 17.3 a | 47.7 bc | 5.9 bc | 17,730 bc | 257 c | ||
| DF3 | 1111 de | 19.5 c | 350 cd | 5.8 b | 5940 ab | 22.0 ab | 9464 ab | 227.6 a | 2446 a | 15.2 ab | 54.0 bc | 6.6 abc | 19,851 a | 297 b | ||
| DF4 | 1177 cde | 19.9 c | 374 bcd | 6.1 b | 6342 a | 22.7 ab | 9940 a | 246.0 a | 2283 a | 14.1 ab | 36.4 bcd | 4.4 bcd | 20,481 a | 313 ab | ||
| Jimai20 | CK | 1471 b | 23.1 bc | 565 a | 8.1 a | 6109 a | 28.4 a | 6744 fg | 169.8 b | 1429 b | 7.4 c | 67.4 ab | 8.7 ab | 16,993 c | 246 c | |
| DF2 | 962 e | 8.2 d | 415 bc | 4.0 cd | 6392 a | 25.3 ab | 7610 def | 191.8 b | 2388 a | 13.0 ab | 90.3 a | 10.8 a | 18,670 b | 253 c | ||
| DF3 | 974 e | 8.1 d | 418 bc | 3.6 cd | 6157 a | 22.6 ab | 7295 efg | 189.6 b | 2585 a | 13.9 ab | 56.7 abc | 5.5 bcd | 17,997 bc | 243 c | ||
| DF4 | 1026 de | 7.6 d | 401 bc | 3.4 d | 6009 a | 20.2 ab | 6790 fg | 181.9 b | 2460 a | 13.1 ab | 39.2 bcd | 3.8 cd | 17,078 c | 230 c | ||
| Shiluan02-1 | CK | 1795 a | 48.4 a | 358 cd | 8.4 a | 4609 e | 26.7 ab | 6552 g | 186.5 b | 1948 ab | 12.3 ab | 23.5 cd | 4.0 cd | 15,497 d | 286 b | |
| DF2 | 1439 bc | 30.7 b | 346 cd | 6.4 b | 5515 bc | 26.6 ab | 8923 bc | 256.2 a | 1891 ab | 12.2 ab | 43.9 bcd | 6.9 abc | 18,554 b | 339 a | ||
| DF3 | 1404 bc | 28.9 b | 346 cd | 6.3 b | 5270 cd | 22.5 ab | 8333 cd | 240.5 a | 1962 ab | 12.4 ab | 27.2 cd | 3.8 cd | 17,587 bc | 315 ab | ||
| DF4 | 1453 b | 28.6 b | 354 cd | 6.4 b | 5010 de | 20.7 ab | 7806 de | 235.3 a | 2107 ab | 12.9 ab | 9.2 d | 1.3 d | 16,822 c | 305 b | ||
| 2021–2022 | Jimai22 | CK | 1093 bc | 9.8 b | 311 cd | 2.6 d | 4536 ab | 13.7 cd | 8395 e | 188 g | 2034 a | 7.6 b | 198 bc | 2.2 c | 16,567 f | 223 g |
| DF2 | 795 g | 5.9 d | 269 d | 2.5 d | 4358 ab | 12.1 cd | 9149 e | 205 fg | 2625 a | 10.1 b | 404 ab | 4.8 b | 17,601 ef | 240 fg | ||
| DF3 | 835 fg | 5.9 d | 315 cd | 2.7 d | 4526 ab | 11.0 d | 9285 de | 209 fg | 2593 a | 9.9 b | 224 bc | 2.5 c | 17,778 ef | 241 fg | ||
| DF4 | 868 fg | 5.8 d | 346 bcd | 2.5 d | 4686 ab | 11.3 d | 9487 de | 217 ef | 2487 a | 9.4 b | 125 c | 1.1 c | 17,998 de | 247 fg | ||
| Jimai20 | CK | 1301 a | 10.1 b | 568 a | 5.1 ab | 4711 ab | 15.0 bc | 11163 abc | 247 cd | 2787 a | 12.2 ab | 307 bc | 1.4 c | 20,836 ab | 290 cd | |
| DF2 | 1024 cd | 7.8 c | 445 b | 4.1 bc | 4812 ab | 15.1 bc | 11504 ab | 259 bc | 2633 a | 16.3 a | 580 a | 4.6 b | 20,997 ab | 307 bc | ||
| DF3 | 980 de | 6.2 d | 449 b | 3.5 cd | 4600 ab | 13.0 cd | 10375 cd | 239 cde | 2536 a | 11.6 ab | 242 bc | 1.7 c | 19,182 cd | 275 de | ||
| DF4 | 911 ef | 5.3 d | 425 bc | 3.2 cd | 4209 b | 11.7 cd | 9252 de | 222 def | 2758 a | 11.5 ab | 209 bc | 1.5 c | 17,764 ef | 255 ef | ||
| Shiluan02-1 | CK | 1312 a | 14.7 a | 385 bc | 5.1 ab | 4513 ab | 21.9 a | 8899 e | 224 def | 2144 a | 9.2 b | 406 ab | 4.4 b | 17,660 ef | 279 de | |
| DF2 | 1100 bc | 14.7 a | 368 bcd | 5.2 a | 4971 a | 22.4 a | 12144 a | 305 a | 2424 a | 12.9 ab | 584 a | 6.6 a | 21,590 a | 367 a | ||
| DF3 | 1137 b | 8.1 c | 399 bc | 3.5 cd | 4747 ab | 18.2 b | 11012 bc | 285 ab | 2564 a | 12.0 ab | 366 b | 2.6 c | 20,226 bc | 330 b | ||
| DF4 | 1086 bc | 6.6 d | 396 bc | 2.8 d | 4738 ab | 17.9 b | 10377 cd | 275 b | 2580 a | 10.8 ab | 304 bc | 2.0 c | 19,482 c | 315 bc | ||
| 2020–2022 | Year | ** | ** | ns | ** | ** | ** | ** | ** | ** | * | ** | ** | ** | ns | |
| Variety | ** | ** | ** | ** | ** | ** | * | ** | ns | ns | ** | ns | * | ** | ||
| Treatment | ** | ** | ** | ** | ns | * | ** | ** | ns | ** | ** | ** | ** | ** | ||
| Year*Variety | ** | ** | ** | ** | ** | ** | ** | ** | ns | ** | ** | ** | ** | ** | ||
| Year*Treatment | ns | ** | ns | ** | ns | ns | * | * | ns | ns | Ns | ns | ** | * | ||
| Variety*Treatment | ns | * | ** | ** | ** | ns | ** | ** | ns | ns | Ns | ns | ** | ** | ||
| Year*Variety*Treatment | ns | ns | ns | ns | ns | ns | ns | ns | ns | ns | Ns | ns | * | ns | ||
| Year | Variety | Treatment | Spike Number (104·ha−1) | Grain Number | 1000-Grain Weight | Yield (kg·ha−1) | HI (%) | GPS (%) |
|---|---|---|---|---|---|---|---|---|
| 2020–2021 | Jimai22 | CK | 614.4 ef | 31.00 bcd | 42.67 d | 7267 bcde | 44.4 ab | 81.0 abc |
| DF2 | 587.2 fg | 31.57 bc | 44.14 c | 7555 bc | 46.9 a | 77.1 abc | ||
| DF3 | 571.1 gh | 33.37 ab | 44.72 c | 7947 ab | 47.7 a | 79.5 abc | ||
| DF4 | 569.4 gh | 35.16 a | 44.20 c | 8545 a | 48.5 a | 81.3 ab | ||
| Jimai20 | CK | 661.1 cd | 26.53 fg | 43.94 c | 7333 bcd | 39.7 c | 82.5 a | |
| DF2 | 614.4 ef | 27.59 efg | 45.69 b | 7615 abc | 40.8 bc | 76.2 abc | ||
| DF3 | 586.7 fg | 27.72 efg | 46.32 b | 7234 bcde | 40.6 bc | 73.9 bc | ||
| DF4 | 545.0 h | 28.05 efg | 47.42 a | 6679 cdef | 39.8 c | 73.4 c | ||
| Shiluan02-1 | CK | 855.6 a | 25.55 g | 31.10 g | 6082 f | 42.1 bc | 76.9 abc | |
| DF2 | 752.2 b | 27.47 efg | 33.13 f | 6535 def | 48.1 a | 82.5 a | ||
| DF3 | 688.9 c | 28.59 def | 34.37 e | 6293 ef | 47.4 a | 81.0 abc | ||
| DF4 | 640.0 de | 30.09 cde | 34.27 e | 5109 g | 46.4 a | 79.0 abc | ||
| 2021–2022 | Jimai22 | CK | 596.1 de | 40.75 abc | 38.25 c | 9973 bcd | 51.0 a | 81.1 a |
| DF2 | 572.2 de | 40.80 abc | 41.03 abc | 10,045 bcd | 52.0 a | 77.8 a | ||
| DF3 | 561.1 e | 42.30 ab | 41.21 ab | 10,334 abcd | 52.2 a | 78.2 a | ||
| DF4 | 526.1 e | 44.22 a | 42.75 a | 11,176 a | 52.7 a | 79.3 a | ||
| Jimai20 | CK | 786.7 b | 32.83 e | 39.55 bc | 10,469 abc | 53.6 a | 80.0 a | |
| DF2 | 747.2 bc | 37.17 cd | 38.78 bc | 10,657 ab | 54.8 a | 81.4 a | ||
| DF3 | 633.9 d | 37.75 cd | 40.81 abc | 10,078 bcd | 54.1 a | 80.5 a | ||
| DF4 | 550.9 e | 38.10 cd | 41.21 ab | 8917 e | 52.1 a | 78.2 a | ||
| Shiluan02-1 | CK | 898.8 a | 34.50 de | 30.09 e | 9854 bcd | 50.4 a | 80.5 a | |
| DF2 | 896.7 a | 35.82 de | 30.03 e | 10,105 bcd | 56.3 a | 83.4 a | ||
| DF3 | 784.4 b | 35.67 de | 33.17 d | 9572 cde | 54.5 a | 81.1 a | ||
| DF4 | 707.2 c | 38.33 bcd | 33.23 d | 9485 de | 53.3 a | 80.1 a | ||
| 2020–2022 | Year | ** | ** | ** | ** | ** | ns | |
| Variety | ** | ** | ** | ** | ** | ns | ||
| Treatment | ** | ** | ** | ns | * | ns | ||
| Year*Variety | ** | ns | ** | ** | ** | ns | ||
| Year*Treatment | ** | ns | Ns | ns | ns | ns | ||
| Variety*Treatment | ** | ns | Ns | ** | ns | ns | ||
| Year*Variety*Treatment | * | ns | Ns | ns | ns | ns | ||
Disclaimer/Publisher’s Note: The statements, opinions and data contained in all publications are solely those of the individual author(s) and contributor(s) and not of MDPI and/or the editor(s). MDPI and/or the editor(s) disclaim responsibility for any injury to people or property resulting from any ideas, methods, instructions or products referred to in the content. |
© 2023 by the authors. Licensee MDPI, Basel, Switzerland. This article is an open access article distributed under the terms and conditions of the Creative Commons Attribution (CC BY) license (https://creativecommons.org/licenses/by/4.0/).
Share and Cite
Hao, T.; Zhu, Z.; Zhang, Y.; Liu, S.; Xu, Y.; Xu, X.; Zhao, C. Effects of Drip Irrigation and Fertilization Frequency on Yield, Water and Nitrogen Use Efficiency of Medium and Strong Gluten Wheat in the Huang-Huai-Hai Plain of China. Agronomy 2023, 13, 1564. https://doi.org/10.3390/agronomy13061564
Hao T, Zhu Z, Zhang Y, Liu S, Xu Y, Xu X, Zhao C. Effects of Drip Irrigation and Fertilization Frequency on Yield, Water and Nitrogen Use Efficiency of Medium and Strong Gluten Wheat in the Huang-Huai-Hai Plain of China. Agronomy. 2023; 13(6):1564. https://doi.org/10.3390/agronomy13061564
Chicago/Turabian StyleHao, Tianjia, Zixin Zhu, Yulu Zhang, Shuai Liu, Yufan Xu, Xuexin Xu, and Changxing Zhao. 2023. "Effects of Drip Irrigation and Fertilization Frequency on Yield, Water and Nitrogen Use Efficiency of Medium and Strong Gluten Wheat in the Huang-Huai-Hai Plain of China" Agronomy 13, no. 6: 1564. https://doi.org/10.3390/agronomy13061564
APA StyleHao, T., Zhu, Z., Zhang, Y., Liu, S., Xu, Y., Xu, X., & Zhao, C. (2023). Effects of Drip Irrigation and Fertilization Frequency on Yield, Water and Nitrogen Use Efficiency of Medium and Strong Gluten Wheat in the Huang-Huai-Hai Plain of China. Agronomy, 13(6), 1564. https://doi.org/10.3390/agronomy13061564
