Projection of Rainfed Rice Yield Using CMIP6 in the Lower Lancang–Mekong River Basin
Abstract
1. Introduction
2. Materials and Methods
2.1. Study Area
2.2. Historical Climate Data (1981–2020)
2.3. Future Climate Data (2021–2100)
2.4. Research Method
2.5. Model Evaluation
2.6. Correlation Analysis
3. Results
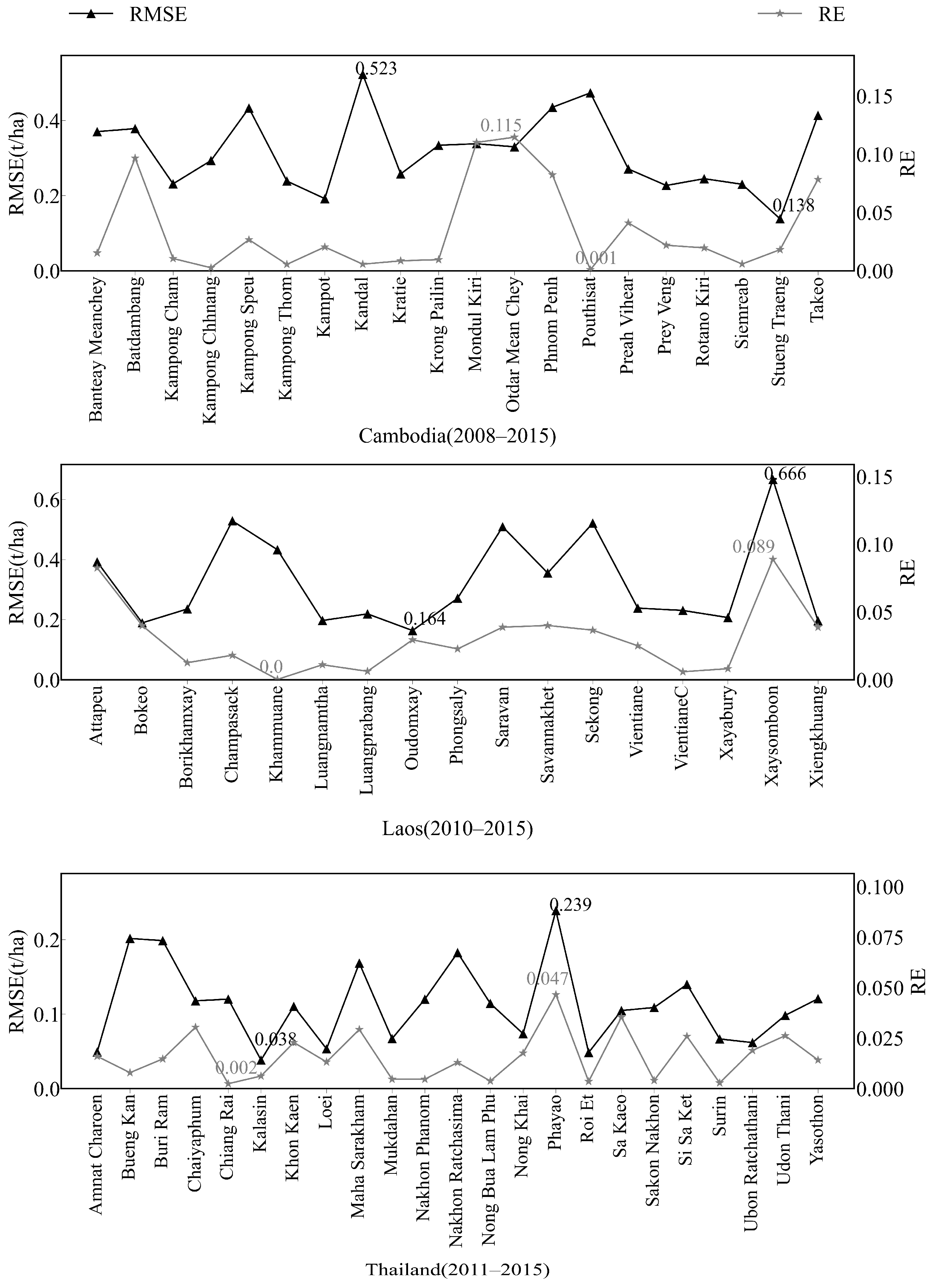
3.1. Model Calibration Result
3.2. Changes in Rice Yield in History and in the Future
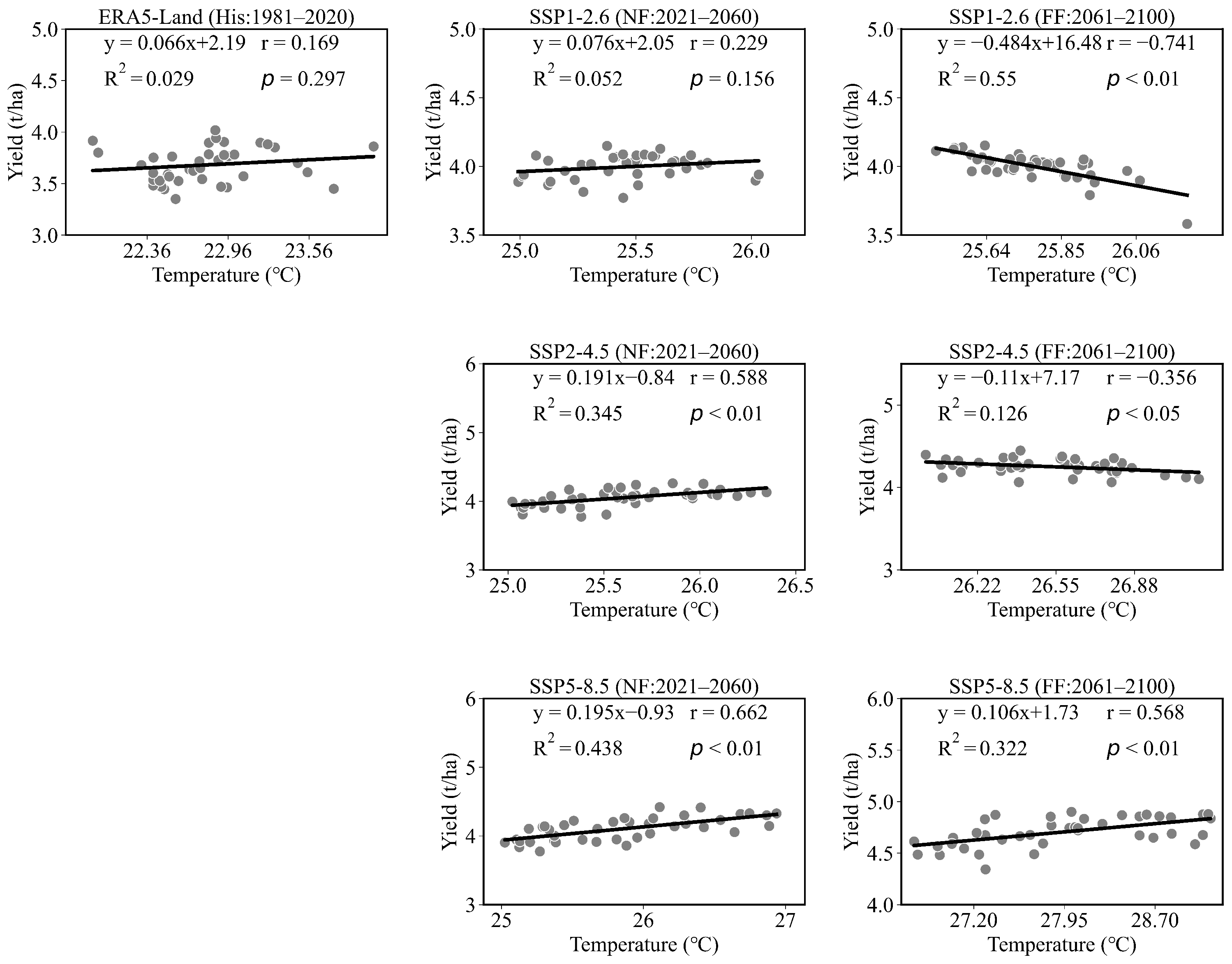
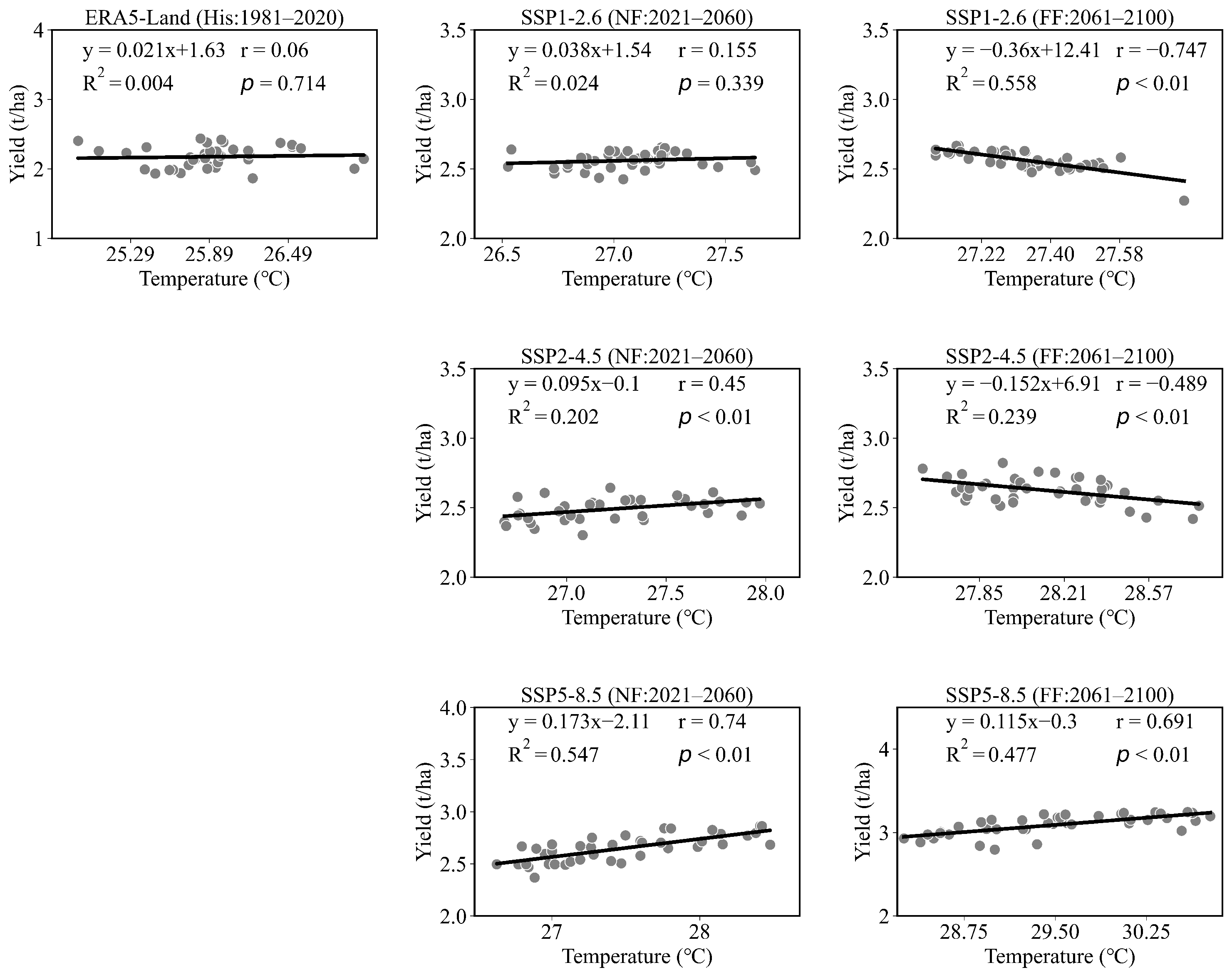
3.3. Correlation between the Yield and Temperature under Climate Change
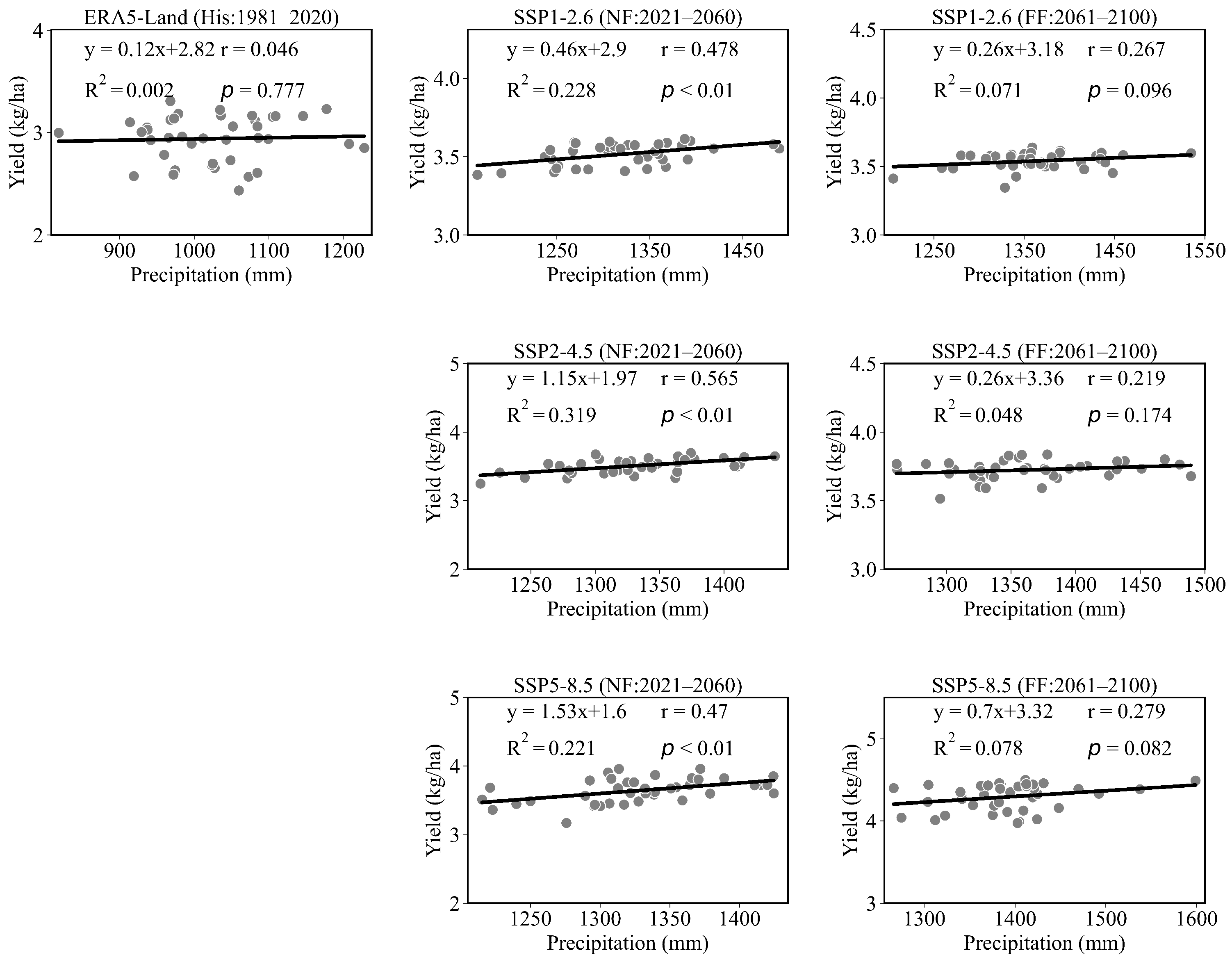
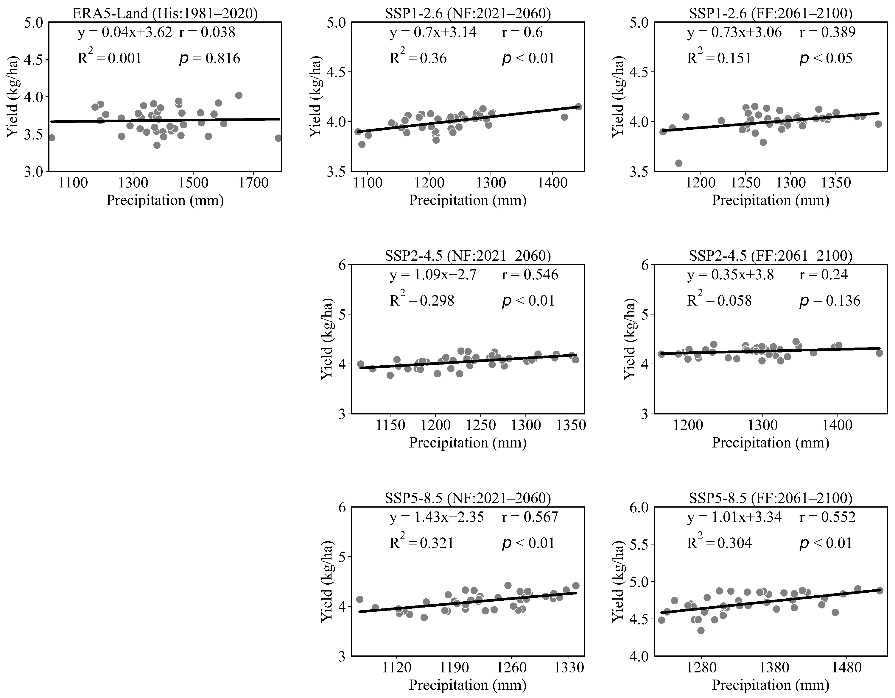
3.4. The Correlation between Yield and Precipitation under Climate Change
4. Discussion
5. Conclusions
Author Contributions
Funding
Data Availability Statement
Conflicts of Interest
References
- Bo, L.; Ziniu, X. Analysis of Climate Change in Lancang River Valley from 1951 to 2008 and Model Prediction Results under Different Scenarios from 2010 to 2099. Adv. Clim. Chang. Res. 2010, 6, 170–174. [Google Scholar]
- Li, Y.; Ye, W.; Wang, M.; Meng, W.; Xiaodong, Y. Climate change and drought a risk assessment of crop-yield impactss. Clim. Res. 2019, 39, 31–46. [Google Scholar] [CrossRef]
- Chakraborty, S.; Newton, A.C. Climate change, plant diseases and food security: An overview. Plant Pathol. 2011, 60, 2–14. [Google Scholar] [CrossRef]
- Lesk, C.; Rowhani, P.; Ramankutty, N. Influence of extreme weather disasters on global crop production. Nature 2016, 529, 84–87. [Google Scholar] [CrossRef] [PubMed]
- Jalota, S.K.; Kaur, H.; Ray, S.S.; Tripathi, R.; Vashisht, B.B.; Bal, S.K. Mitigating future climate change effects by shifting planting dates of crops in rice–wheat cropping system. Reg. Environ. Chang. 2012, 12, 913–922. [Google Scholar] [CrossRef]
- Minshen, Y.; Xiaoyu, L.; Hui, G. Impact of warming climate and elevated CO2 concentration on crops. J. Jiangsu Agric. 2021, 37, 246–258. [Google Scholar]
- Yu, L.; Jia, X.; Chi, Z.; Guoqing, W.; Qiang, H.; Tiesheng, G.; Ji, L.; Huicheng, Z. Impact of Climate Change on the Temporal and Spatial Characteristics of Meteorological, Hydrologic and Drought in the Lancang Mekong River Basin. Adv. Water Sci. 2021, 32, 508–519. [Google Scholar]
- Godfray, H.C.J.; Beddington, J.R.; Crute, I.R.; Haddad, L.; Lawrence, D.; Muir, J.F.; Pretty, J.; Robinson, S.; Thomas, S.M.; Toulmin, C. Food security: The challenge of feeding 9 billion people. Science 2010, 327, 812–818. [Google Scholar] [CrossRef]
- Tilman, D.; Balzer, C.; Hill, J.; Befort, B.L. Global food demand and the sustainable intensification of agriculture. Proc. Natl. Acad. Sci. USA 2011, 108, 20260–20264. [Google Scholar] [CrossRef]
- Mainuddin, M.; Kirby, M.; Hoanh, C.T. Impact of climate change on rainfed rice and options. Nat. Hazards 2013, 66, 905–938. [Google Scholar] [CrossRef]
- Gerardeaux, E.; Giner, M.; Ramanantsoanirina, A.; Dusserre, J. Positive effects of climate change on rice in Madagascar. Agron. Sustain. Dev. 2012, 32, 619–627. [Google Scholar] [CrossRef]
- Karim, A.; Abukari, A.T.; Abdul-Malik, A. Testing the climate resilience of sorghum and millet with time series data. Cogent Food Agric. 2022, 8, 2088459. [Google Scholar]
- Murphy, T.; Irvine, K.; Sampson, M. The stress of climate change on water management in Cambodia with a focus on rice production. Clim. Dev. 2013, 5, 77–92. [Google Scholar] [CrossRef]
- Gregory, P.; Ingram, J.; Brklacich, M. Climate change and food security. Philosophical transactions of the Royal Society of London. Ser. B Biol. Sci. 2005, 360, 2139–2148. [Google Scholar] [CrossRef] [PubMed]
- Trisurat, Y.; Aekakkararungroj, A.; Ma, H.O.; Johnston, J.M. Basin-wide Impacts of Climate Change on Ecosystem Services in the Lower Mekong Basin. Ecol. Res. 2018, 33, 73–86. [Google Scholar] [CrossRef]
- Yamauchi, K. Climate change impacts on agriculture and irrigation in the Lower Mekong Basin. Paddy Water Environ. 2013, 12 (Suppl. 2), 227–240. [Google Scholar] [CrossRef]
- Kontgis, C.; Schneider, A.; Ozdogan, M.; Kucharik, C.; Van, P.D.T.; Nguyen, H.D.; Schatz, J. Climate change impacts on rice productivity in the Mekong River Delta. Appl. Geogr. 2019, 102, 71–83. [Google Scholar] [CrossRef]
- Mishra, A.; Ketelaar, J.W.; Uphoff, N.; Whitten, M. Food security and climate-smart agriculture in the lower Mekong basin of Southeast Asia: Evaluating impacts of system of rice intensification with special reference to rainfed agriculture. Int. J. Agric. Sustain. 2021, 19, 152–174. [Google Scholar] [CrossRef]
- Piman, T.; Lennaerts, T.; Southalack, P. Assessment of hydrological changes in the lower Mekong Basin from Basin-Wide development scenarios. Hydrol. Process. 2013, 27, 2115–2125. [Google Scholar] [CrossRef]
- Thilakarathne, M.; Sridhar, V. Characterization of future drought conditions in the Lower Mekong River Basin. Weather. Clim. Extrem. 2017, 17, 47–58. [Google Scholar] [CrossRef]
- Sam, T.T.; Khoi, D.N.; Thao, N.T.T.; Nhi, P.T.T.; Quan, N.T.; Hoan, N.X.; Nguyen, V.T. Impact of climate change on meteorological, hydrological and agricultural droughts in the Lower Mekong River Basin: A case study of the Srepok Basin, Vietnam. Water Environ. J. WEJ 2019, 33, 547–559. [Google Scholar] [CrossRef]
- Rasanen, T.A.; Lindgren, V.; Guillaume, J.H.A.; Buckley, B.M.; Kummu, M. On the spatial and temporal variability of ENSO precipitation and drought teleconnection in mainland Southeast Asia. Clim. Past 2016, 12, 1889–1905. [Google Scholar] [CrossRef]
- Kang, H.; Sridhar, V.; Mainuddin, M.; Trung, L.D. Future rice farming threatened by drought in the Lower Mekong Basin. Sci. Rep. 2021, 11, 9383. [Google Scholar] [CrossRef] [PubMed]
- Jiang, Z.; Raghavan, S.V.; Hur, J.; Sun, Y.B.; Liong, S.Y.; Nguyen, V.Q.; Dang, T.V.P. Future changes in rice yields over the Mekong River Delta due to climate change—Alarming or alerting? Theor. Appl. Climatol. 2018, 137, 545–555. [Google Scholar] [CrossRef]
- Poulton, P.L.; Dalgliesh, N.P.; Vang, S.; Roth, C.H. Resilience of Cambodian lowland rice farming systems to future climate uncertainty. Field Crops Res. 2016, 198, 160–170. [Google Scholar] [CrossRef]
- Boonwichai, S.; Shrestha, S.; Babel, M.S.; Weesakul, S. Climate change impacts on irrigation water requirement, crop water productivity and rice yield in the Songkhram River Basin, Thailand. J. Clean. Prod. 2018, 198, 1157–1164. [Google Scholar] [CrossRef]
- Teixeira, E.I.; Fischer, G.; van Velthuizen, H.; Walter, C.; Ewert, F. Global hot-spots of heat stress on agricultural crops due to climate change. Agric. For. Meteorol. 2013, 170, 206–215. [Google Scholar] [CrossRef]
- Shrestha, S.; Chapagain, R.; Babel, M.S. Quantifying the impact of climate change on crop yield and water footprint of rice in the Nam Oon Irrigation Project, Thailand. Sci. Total Environ. 2017, 599, 689–699. [Google Scholar] [CrossRef] [PubMed]
- Cosslett, T.L.; Cosslett, P.D. Sustainable Development of Rice and Water Resources in Mainland Southeast Asia and Mekong River Basin; Springer Nature: Singapore, 2017; pp. 85–114. [Google Scholar]
- Dong, Z.; Liu, H.; Hu, H.; Khan, M.Y.A.; Wen, J.; Chen, L.; Tian, F. Future projection of seasonal drought characteristics using CMIP6 in the Lancang-Mekong River Basin. J. Hydrol. 2022, 610, 127815. [Google Scholar] [CrossRef]
- Lauri, H.; de Moel, H.; Ward, P.J.; Räsänen, T.A.; Keskinen, M.; Kummu, M. Future changes in Mekong River hydrology impact of climate change and reservoir operation on discharge. Hydrol. Earth Syst. Sci. 2012, 16, 4603–4619. [Google Scholar] [CrossRef]
- Ballester, C.; Vote, C.; Hornbuckle, J.; Inthavong, T.; Lim, V.; Oeurng, C.; Quayle, W.; Seng, V.; Sengxua, P.; Sihathep, V.; et al. Effects of Frequency of Irrigation on Dry-Season Furrow-Irrigated Maize and Peanut Production in the Rice-Growing Lowlands of the Lower Mekong Basin. Agriculture 2019, 9, 128. [Google Scholar] [CrossRef]
- Yoshida, Y.; Lee, H.S.; Trung, B.H.; Tran, H.D.; Lall, M.K.; Kakar, K.; Xuan, T.D. Impacts of Mainstream Hydropower Dams on Fisheries and Agriculture in Lower Mekong Basin. Sustainability 2020, 12, 2408. [Google Scholar] [CrossRef]
- Zhang, B.H.; Zhang, L.; Guo, H.D.; Leinenkugel, P.; Zhou, Y.; Li, L.; Shen, Q. Drought impact on vegetation productivity in the Lower Mekong Basin. Int. J. Remote Sens. 2014, 35, 2835–2856. [Google Scholar] [CrossRef]
- Ly, K.; Metternicht, G.; Marshall, L. Linking Changes in Land Cover and Land Use of the Lower Mekong Basin to Instream Nitrate and Total Suspended Solids Variations. Sustainability 2020, 12, 2992. [Google Scholar] [CrossRef]
- Gustafson, S.; Cadena, A.J.; Ngo, C.C.; Kawash, A.; Saenghkaew, I.; Hartman, P. Merging science into community adaptation planning processes: A cross-site comparison of four distinct areas of the Lower Mekong Basin. Clim. Chang. 2017, 149, 91–106. [Google Scholar] [CrossRef]
- Gao, Z.; Huang, B.s.; Ma, Z.Q.; Chen, X.H.; Qiu, J.; Liu, D. Comprehensive Comparisons of State-of-the-Art Gridded Precipitation Estimates for Hydrological Applications over Southern China. Remote Sens. 2020, 12, 3997. [Google Scholar] [CrossRef]
- Pelosi, A.; Terribile, F.; DUrso, G.; Chirico, G.B. Comparison of ERA5-Land and UERRA MESCAN-SURFEX Reanalysis Data with Spatially Interpolated Weather Observations for the Regional Assessment of Reference Evapotranspiration. Water 2020, 12, 1669. [Google Scholar] [CrossRef]
- Muñoz-Sabater, J.; Dutra, E.; Agustí-Panareda, A.; Albergel, C.; Arduini, G.; Balsamo, G.; Boussetta, S.; Choulga, M.; Harrigan, S.; Hersbach, H. ERA5-Land: A state-of-the-art global reanalysis dataset for land applications. Earth Syst. Sci. Data 2021, 13, 4349–4383. [Google Scholar] [CrossRef]
- Muñoz-Sabater, J. ERA5-Land Hourly Data from 1981 to Present, Copernicus Climate Change Service (C3S) Climate Data Store (CDS) [Data Set]. 2019. Available online: https://cds.climate.copernicus.eu/cdsapp#!/dataset/10.24381/cds.e2161bac?tab=overview (accessed on 10 May 2022).
- Gusain, A.; Ghosh, S.; Karmakar, S. Added value of CMIP6 over CMIP5 models in simulating Indian summer monsoon rainfall. Atmos. Res. 2020, 232, 104680. [Google Scholar] [CrossRef]
- Eyring, V.; Bony, S.; Meehl, G.A.; Senior, C.A.; Stevens, B.; Stouffer, R.J.; Taylor, K.E. Overview of the Coupled Model Intercomparison Project Phase 6 (CMIP6) experimental design and organization. Geosci. Model Dev. 2016, 9, 1937–1958. [Google Scholar] [CrossRef]
- Long, S.M.; Hu, K.M.; Li, G.; Huang, G.; Qu, X. Surface Temperature Changes Projected by FGOALS Models under Low Warming Scenarios in CMIP5 and CMIP6. Adv. Atmos. Sci. 2020, 38, 203–220. [Google Scholar] [CrossRef]
- Zhu, H.; Jiang, Z.; Li, L. Projection of climate extremes in China, an incremental exercise from CMIP5 to CMIP6. Sci. Bull. 2021, 66, 2528–2537. [Google Scholar] [CrossRef] [PubMed]
- Riahi, K.; van Vuuren, D.P.; Kriegler, E.; Edmonds, J.; O’Neill, B.C.; Fujimori, S.; Bauer, N.; Calvin, K.; Dellink, R.; Fricko, O.; et al. The Shared Socioeconomic Pathways and their energy, land use, and greenhouse gas emissions implications: An overview. Glob. Environ. Chang.-Hum. Policy Dimens. 2017, 42, 153–168. [Google Scholar] [CrossRef]
- MRC. Irrigation Database Improvement for the Lower Mekong Basin; Mekong River Commission: Vientiane, Laos, 2018.
- MRC. Agriculture and Irrigation Programme (AIP); Mekong River Commission: Vientiane, Laos, 2011.
- Babel, M.S.; Agarwal, A.; Swain, D.K.; Herath, S. Evaluation of climate change impacts and adaptation measures for rice cultivation in Northeast Thailand. Clim. Res. 2011, 46, 137–146. [Google Scholar] [CrossRef]
- Huang, Z.C.; Li, Z.H.; Zhou, K.; Huang, W.; Pan, X.W. Rice production and hybrid rice development in thailand. Hybrid Rice 2018, 33, 68–71. [Google Scholar]
- Sawano, S.; Hasegawa, T.; Goto, S.; Konghakote, P.; Polthanee, A.; Ishigooka, Y.; Kuwagata, T.; Toritani, H. Modeling the dependence of the crop calendar for rain-fed rice on precipitation in Northeast Thailand. Paddy Water Environ. 2008, 6, 83–90. [Google Scholar] [CrossRef]
- Sinnarong, N.; Chen, C.C.; McCarl, B.; Tran, B.L. Estimating the potential efects of climate change on rice production in Thailand. Paddy Water Environ. 2019, 17, 761–769. [Google Scholar] [CrossRef]
- Chung, S.; Takeuchi, J.; Fujihara, M.; Oeurng, C. Flood damage assessment on rice crop in the Stung Sen River Basin of Cambodia. Paddy Water Environ. 2019, 17, 255–263. [Google Scholar] [CrossRef]
- Erban, L.E.; Gorelick, S.M. Closing the irrigation deficit in Cambodia implications for transboundary impacts on groundwater and Mekong River flow. J. Hydrol. 2016, 535, 85–92. [Google Scholar] [CrossRef]
- Ly, P.; Jensen, L.S.; Bruun, T.B.; de Neergaard, A. Factors explaining variability in rice yields in a rain-fed lowland rice ecosystem in Southern Cambodia. NJAS-Wagening. J. Life Sci. 2016, 78, 129–137. [Google Scholar] [CrossRef]
- Yu, B.; Fan, S. Rice production response in Cambodia. Agric. Econ. 2011, 42, 437–450. [Google Scholar] [CrossRef]
- CropWtch. Drought in the lower Mekong River Basin and its impact on rice. In Global Agricultural Remote Sensing Flash Report; CropWtch: Alstonville, Australia, 2020; pp. 193–196. [Google Scholar]
- FAO. Crop Yield Response to Water; FAO: Rome, Italy, 2012. [Google Scholar]
- MRC. MRC Annual Mekong Hydrology, Flood and Drought Report 2019: Drought in the Lower Mekong River Basin; MRC Secretariat: Vientiane, Laos, 2020.
- Steffen, W.; Rockström, J.; Richardson, K.; Lenton, T.M.; Folke, C.; Liverman, D.; Summerhayes, C.P.; Barnosky, A.D.; Cornell, S.E.; Crucifix, M.; et al. Trajectories of the Earth System in the Anthropocene. Proc. Natl. Acad. Sci. USA 2018, 115, 8252–8259. [Google Scholar] [CrossRef] [PubMed]
- Nerem, R.S.; Beckley, B.D.; Fasullo, J.T.; Hamlington, B.D.; Masters, D.; Mitchum, G.T. Climate-change–driven accelerated sea-level rise detected in the altimeter era. Proc. Natl. Acad. Sci. USA 2018, 115, 2022–2025. [Google Scholar] [CrossRef] [PubMed]
- Tapley, B.D.; Watkins, M.M.; Flechtner, F.; Reigber, C.; Bettadpur, S.; Rodell, M.; Sasgen, I.; Famiglietti, J.S.; Landerer, F.W.; Chambers, D.P.; et al. Contributions of GRACE to understanding climate change. Nat. Clim. Chang. 2019, 5, 358–369. [Google Scholar] [CrossRef] [PubMed]
- Bamber, J.L.; Oppenheimer, M.; Kopp, R.E.; Aspinall, W.P.; Cooke, R.M. Ice sheet contributions to future sea-level rise from structured expert judgment. Proc. Natl. Acad. Sci. USA 2019, 116, 11195–11200. [Google Scholar] [CrossRef]
- Sridhar, V. Tracking the Influence of Irrigation on Land Surface Fluxes and Boundary Layer Climatology. J. Contemp. Water Res. Educ. 2013, 152, 79–93. [Google Scholar] [CrossRef]
- Smajgl, A.; Toan, T.Q.; Nhan, D.K.; Ward, J.; Trung, N.H.; Tri, L.Q.; Tri, V.P.D.; Vu, P.T. Responding to rising sea levels in the Mekong Delta. Nat. Clim. Chang. 2015, 5, 167–174. [Google Scholar] [CrossRef]
- Wassmann, R.; Hien, N.X.; Hoanh, C.T.; Honah, C.T.; Tuong, T.P. Sea level rise affecting the Vietnamese Mekong delta: Water elevation in the flood season and implications for rice production. Clim. Chang. 2004, 66, 89–107. [Google Scholar] [CrossRef]
- Vu, D.T.; Yamada, T.; Ishidaira, H. Assessing the impact of sea level rise due to climate change on seawater intrusion in Mekong Delta, Vietnam. Water Sci. Technol. 2018, 77, 1632–1639. [Google Scholar] [CrossRef]
- Basak, J.K.; Ali, M.A.; Islam, M.N.; Alam, M.J.B. Assessment of the effect of climate change on boro rice production in Bangladesh using DSSAT model. J. Civ. Eng. 2011, 38, 95–108. [Google Scholar]
- Subash, N.; Mohan, H.S.R. Evaluation of the impact of climatic trends and variability in rice-wheat system productivity using Cropping System Model DSSAT over the Indo-Gangetic Plains of India. Agric. For. Meteorol. 2012, 164, 71–81. [Google Scholar] [CrossRef]















| Scholars | Perspectives |
|---|---|
| Yamauchi et al. [16] | Climate change increases annual rainfall deviation, and insufficient precipitation in the early rainy season will lead to reduced rice yield. |
| Kang et al. [23] | Rice yield will increase due to increased CO2 concentration and precipitation. |
| Jiang et al. [24] | Under rainfed conditions, seasonal changes in temperature rise and precipitation will significantly reduce rice yield, while the positive effect of CO2 rise will significantly increase rice yield. |
| Poulton et al. [25] | Rice yield will decrease by about 4% for each 1 °C increase in air temperature over the baseline temperature. |
| Boonwichai et al. [26,27,28] | Higher temperatures will increase crop water requirements, and rice yields will decrease. |
| Model | Institution/Country | Resolution (km) | Grids (Latitude/Longitude) |
|---|---|---|---|
| CanESM5 | Canadian Center for Climate Modelling and Analysis, Victoria, Canada | 500 | 64 × 128 |
| EC-Earth3-Veg | EC-Earth Consortium, Europe | 100 | 256 × 512 |
| FGOALS-g3 | Chinese Academy of Sciences Flexible Global Ocean–Atmosphere–Land System Model, China | 250 | 80 × 180 |
| GFDL-ESM4 | Geophysical Fluid Dynamics Laboratory, NJ, USA | 100 | 180 × 288 |
| IPSL-CM6A-LR | Institute Pierre Simon Laplace (IPSL), Paris, France | 250 | 143 × 144 |
| MIROC6 | Japan Agency for Marine–Earth Science and Technology (JAMSTEC), Kanagawa, Japan | 250 | 128 × 256 |
| MPI-ESM1-2-HR | Max Planck Institute for Meteorology (MPI-M), Germany | 100 | 192 × 384 |
| MRI-ESM2-0 | Meteorological Research Institute, Ibaraki, Japan | 100 | 160 × 320 |
| Parameters | Description | Reference Value (Range) |
|---|---|---|
| WP | Water productivity normalized for ET0 and CO2 | 19 (g/m2) |
| Kc | Crop coefficient when canopy is complete but prior to senescence | 0.45–1.29 |
| Tbase, Tupp | Base and upper temperatures, respectively | 8 °C, 30 °C |
| Zmin, Zmax | Minimum and maximum effective rooting depth, respectively | 0.3 m, 0.5 m |
| CGC | Canopy growth coefficient | 0.006–0.008 |
| CDC | Canopy decline coefficient | 0.005 |
| Code | Texture |
|---|---|
| 1 | Clay (heavy) |
| 2 | Silty clay |
| 3 | Clay |
| 4 | Silty clay loam |
| 5 | Clay loam |
| 6 | Silt |
| 7 | Silt loam |
| 8 | Sandy clay |
| 9 | Loam |
| 10 | Sandy clay loam |
| 11 | Sandy clay |
| 12 | Loam sand |
| 13 | Sand |
| Country | Data Information | Source | Calibration Period | Verification Period |
|---|---|---|---|---|
| Cambodia (20 provinces) | 2008–2019 Annual yield and harvested area | MRC Socioeconomic Database: https://www.mrcmekong.org, accessed on 15 May 2022. Cambodian National Bureau of Statistics: http://www.nis.gov.kh/index.php/km, accessed on 16 May 2022. | 2008–2015 | 2016–2019 |
| Laos (17 provinces) | 2010–2019 Rainy season yield and harvested area | Lao National Bureau of Statistics (LAOSIS): http://www.lsb.gov.la/en/home/, accessed on 18 May 2022. | 2010–2015 | 2016–2019 |
| Thailand (23 provinces) | 2011–2020 Annual yield and harvested area | Thailand National Agricultural Big Datacenter: https://www.nabc.go.th, accessed on 20 May 2022. | 2011–2015 | 2016–2020 |
| Province | Plant Date | Harvest Date | HI | Calibration Period (2008–2015) | Validation Period (2016–2019) | ||||||
|---|---|---|---|---|---|---|---|---|---|---|---|
| Observation Yield (t/ha) | Simulation Yield (t/ha) | RMSE | RE | Observation Yield (t/ha) | Simulation Yield (t/ha) | RMSE | RE | ||||
| Banteay Meanchey | 06/20 | 10/30 | 0.21 | 2.711 | 2.752 | 0.371 | 0.015 | 3.231 | 2.982 | 0.431 | 0.077 |
| Batdambang | 07/30 | 11/30 | 0.24 | 2.803 | 3.074 | 0.379 | 0.097 | 3.308 | 3.003 | 0.559 | 0.092 |
| Kampong Cham | 06/20 | 10/30 | 0.25 | 3.505 | 3.542 | 0.231 | 0.011 | 3.675 | 3.697 | 0.101 | 0.006 |
| Kampong Chhnang | 06/30 | 11/08 | 0.22 | 3.125 | 3.134 | 0.294 | 0.003 | 3.553 | 3.271 | 0.401 | 0.079 |
| Kampong Speu | 07/10 | 11/20 | 0.20 | 2.831 | 2.755 | 0.433 | 0.027 | 3.025 | 3.014 | 0.095 | 0.004 |
| Kampong Thom | 06/10 | 10/20 | 0.19 | 2.666 | 2.68 | 0.239 | 0.006 | 3.001 | 2.736 | 0.353 | 0.088 |
| Kampot | 06/10 | 10/17 | 0.21 | 3.061 | 3.123 | 0.192 | 0.02 | 3.225 | 3.197 | 0.113 | 0.009 |
| Kandal | 07/01 | 11/10 | 0.28 | 3.722 | 3.701 | 0.523 | 0.006 | 3.949 | 4.121 | 0.259 | 0.043 |
| Kratie | 06/10 | 10/20 | 0.20 | 3.031 | 3.005 | 0.258 | 0.009 | 3.25 | 3.062 | 0.195 | 0.058 |
| Krong Pailin | 06/10 | 10/17 | 0.21 | 3.356 | 3.388 | 0.334 | 0.01 | 3.135 | 3.432 | 0.366 | 0.095 |
| Mondul Kiri | 06/20 | 10/30 | 0.16 | 2.311 | 2.565 | 0.338 | 0.11 | 2.825 | 2.602 | 0.234 | 0.079 |
| Otdar Mean Chey | 06/20 | 10/30 | 0.18 | 2.304 | 2.568 | 0.33 | 0.115 | 2.802 | 2.593 | 0.392 | 0.075 |
| Phnom Penh | 06/10 | 10/20 | 0.21 | 2.97 | 2.726 | 0.435 | 0.082 | 2.83 | 2.997 | 0.209 | 0.059 |
| Pouthisat | 07/25 | 11/25 | 0.21 | 3.06 | 3.058 | 0.474 | 0.001 | 3.192 | 3.079 | 0.669 | 0.035 |
| Preah Vihear | 06/10 | 10/20 | 0.18 | 2.665 | 2.774 | 0.271 | 0.041 | 3.103 | 2.825 | 0.432 | 0.089 |
| Prey Veng | 06/20 | 10/30 | 0.22 | 3.271 | 3.199 | 0.227 | 0.022 | 3.627 | 3.324 | 0.314 | 0.084 |
| Rotano Kiri | 06/10 | 10/19 | 0.14 | 2.255 | 2.299 | 0.245 | 0.02 | 2.4 | 2.331 | 0.125 | 0.029 |
| Siemreab | 06/20 | 10/30 | 0.18 | 2.644 | 2.659 | 0.23 | 0.006 | 2.825 | 2.669 | 0.257 | 0.055 |
| Stueng Traeng | 06/10 | 10/19 | 0.17 | 2.652 | 2.604 | 0.138 | 0.018 | 2.653 | 2.664 | 0.158 | 0.004 |
| Takeo | 06/30 | 10/30 | 0.24 | 3.745 | 3.451 | 0.414 | 0.078 | 3.4 | 3.655 | 0.832 | 0.075 |
| Province | Plant Date | Harvest Date | HI | Calibration Period (2010–2015) | Validation Period (2016–2019) | ||||||
|---|---|---|---|---|---|---|---|---|---|---|---|
| Observation Yield (t/ha) | Simulation Yield (t/ha) | RMSE | RE | Observation Yield (t/ha) | Simulation Yield (t/ha) | RMSE | RE | ||||
| Attapeu | 07/03 | 11/10 | 0.2 | 2.945 | 3.189 | 0.392 | 0.083 | 3.317 | 3.212 | 0.647 | 0.032 |
| Bokeo | 06/01 | 10/16 | 0.22 | 3.553 | 3.695 | 0.189 | 0.040 | 3.815 | 3.758 | 0.181 | 0.015 |
| Borikhamxay | 06/01 | 10/16 | 0.21 | 3.738 | 3.691 | 0.235 | 0.013 | 3.939 | 3.751 | 0.287 | 0.048 |
| Champasack | 07/10 | 11/20 | 0.24 | 4.049 | 3.975 | 0.529 | 0.018 | 4.364 | 3.983 | 0.438 | 0.087 |
| Khammuane | 06/10 | 10/10 | 0.22 | 3.739 | 3.740 | 0.433 | 0.000 | 4.006 | 3.808 | 0.595 | 0.049 |
| Luangnamtha | 06/15 | 11/06 | 0.17 | 3.477 | 3.515 | 0.197 | 0.011 | 3.258 | 3.499 | 0.278 | 0.074 |
| Luangprabang | 06/20 | 10/30 | 0.16 | 2.842 | 2.860 | 0.219 | 0.006 | 2.791 | 2.858 | 0.310 | 0.024 |
| Oudomxay | 06/15 | 11/06 | 0.19 | 3.327 | 3.425 | 0.164 | 0.029 | 3.487 | 3.417 | 0.357 | 0.020 |
| Phongsaly | 05/20 | 10/04 | 0.17 | 2.941 | 3.008 | 0.271 | 0.023 | 3.134 | 3.012 | 0.132 | 0.039 |
| Saravan | 06/02 | 10/10 | 0.24 | 3.676 | 3.819 | 0.509 | 0.039 | 4.197 | 3.961 | 0.370 | 0.056 |
| Savannakhet | 06/10 | 10/20 | 0.26 | 3.917 | 4.074 | 0.355 | 0.040 | 4.233 | 4.181 | 0.324 | 0.012 |
| Sekong | 07/20 | 11/10 | 0.25 | 3.409 | 3.533 | 0.521 | 0.037 | 4.012 | 3.906 | 0.366 | 0.026 |
| Vientiane | 06/01 | 10/16 | 0.27 | 4.256 | 4.363 | 0.238 | 0.025 | 4.474 | 4.418 | 0.233 | 0.013 |
| VientianeC | 06/15 | 11/06 | 0.29 | 4.485 | 4.459 | 0.231 | 0.006 | 4.488 | 4.544 | 0.115 | 0.012 |
| Xayabury | 06/01 | 10/23 | 0.2 | 3.859 | 3.890 | 0.207 | 0.008 | 4.026 | 3.919 | 0.184 | 0.027 |
| Xaysomboon | 06/10 | 10/30 | 0.14 | 3.490 | 3.179 | 0.666 | 0.089 | 3.202 | 3.378 | 0.269 | 0.055 |
| Xiengkhuang | 06/15 | 11/06 | 0.18 | 3.615 | 3.755 | 0.196 | 0.039 | 3.760 | 3.656 | 0.218 | 0.027 |
| Province | Plant Date | Harvest Date | HI | Calibration Period (2011–2015) | Validation Period (2016–2020) | ||||||
|---|---|---|---|---|---|---|---|---|---|---|---|
| Observation Yield (t/ha) | Simulation Yield (t/ha) | RMSE | RE | Observation Yield (t/ha) | Simulation Yield (t/ha) | RMSE | RE | ||||
| Amnat Charoen | 06/20 | 11/04 | 0.14 | 2.125 | 2.159 | 0.049 | 0.016 | 2.2 | 2.141 | 0.076 | 0.027 |
| Bueng Kan | 06/10 | 10/25 | 0.13 | 2.005 | 1.989 | 0.202 | 0.008 | 1.958 | 2.005 | 0.076 | 0.024 |
| Buri Ram | 06/20 | 10/28 | 0.16 | 2.351 | 2.317 | 0.199 | 0.015 | 2.249 | 2.349 | 0.179 | 0.045 |
| Chaiyaphum | 06/10 | 10/18 | 0.15 | 2.323 | 2.394 | 0.118 | 0.03 | 2.288 | 2.399 | 0.137 | 0.049 |
| Chiang Rai | 06/15 | 10/27 | 0.24 | 3.746 | 3.737 | 0.12 | 0.002 | 3.544 | 3.781 | 0.257 | 0.067 |
| Kalasin | 06/20 | 11/01 | 0.15 | 2.285 | 2.299 | 0.038 | 0.006 | 2.319 | 2.261 | 0.096 | 0.025 |
| Khon Kaen | 06/25 | 11/02 | 0.14 | 2.121 | 2.072 | 0.11 | 0.023 | 2.089 | 2.062 | 0.102 | 0.013 |
| Loei | 06/10 | 10/18 | 0.15 | 2.393 | 2.425 | 0.053 | 0.013 | 2.31 | 2.417 | 0.142 | 0.046 |
| Maha Sarakham | 06/01 | 10/09 | 0.16 | 2.321 | 2.253 | 0.169 | 0.029 | 2.249 | 2.185 | 0.273 | 0.028 |
| Mukdahan | 06/15 | 10/30 | 0.15 | 2.342 | 2.331 | 0.067 | 0.005 | 2.457 | 2.299 | 0.194 | 0.064 |
| Nakhon Phanom | 07/01 | 11/15 | 0.15 | 2.36 | 2.349 | 0.12 | 0.005 | 2.233 | 2.286 | 0.136 | 0.024 |
| Nakhon Ratchasima | 06/25 | 11/02 | 0.17 | 2.338 | 2.368 | 0.183 | 0.013 | 2.244 | 2.429 | 0.33 | 0.083 |
| Nong Bua Lam Phu | 06/20 | 10/28 | 0.25 | 3.8 | 3.815 | 0.114 | 0.004 | 3.828 | 3.692 | 0.264 | 0.035 |
| Nong Khai | 06/15 | 10/30 | 0.15 | 2.322 | 2.281 | 0.074 | 0.018 | 2.271 | 2.318 | 0.066 | 0.021 |
| Phayao | 06/20 | 10/28 | 0.2 | 3.44 | 3.28 | 0.239 | 0.047 | 3.076 | 3.244 | 0.187 | 0.055 |
| Roi Et | 06/10 | 10/22 | 0.16 | 2.35 | 2.359 | 0.049 | 0.004 | 2.265 | 2.332 | 0.101 | 0.03 |
| Sa Kaeo | 06/10 | 10/22 | 0.13 | 2.06 | 1.988 | 0.105 | 0.035 | 2.006 | 1.999 | 0.068 | 0.003 |
| Sakon Nakhon | 06/15 | 10/30 | 0.14 | 2.138 | 2.13 | 0.109 | 0.004 | 2.159 | 2.023 | 0.181 | 0.063 |
| Si Sa Ket | 06/15 | 10/30 | 0.16 | 2.356 | 2.417 | 0.14 | 0.026 | 2.238 | 2.355 | 0.17 | 0.052 |
| Surin | 06/10 | 10/22 | 0.16 | 2.378 | 2.372 | 0.067 | 0.003 | 2.358 | 2.273 | 0.182 | 0.036 |
| Ubon Ratchathani | 07/01 | 11/15 | 0.14 | 2.117 | 2.157 | 0.062 | 0.019 | 2.202 | 2.157 | 0.074 | 0.021 |
| Udon Thani | 06/10 | 10/22 | 0.16 | 2.343 | 2.405 | 0.098 | 0.026 | 2.31 | 2.427 | 0.127 | 0.051 |
| Yasothon | 06/20 | 11/01 | 0.15 | 2.318 | 2.285 | 0.121 | 0.014 | 2.26 | 2.271 | 0.072 | 0.005 |
| Country | Calibration Period | Validation Period | ||||||
|---|---|---|---|---|---|---|---|---|
| Observation Yield (t/ha) | Simulation Yield (t/ha) | RMSE | RE | Observation Yield (t/ha) | Simulation Yield (t/ha) | RMSE | RE | |
| Cambodia | 3.047 | 3.052 | 0.230 | 0.002 | 3.276 | 3.131 | 0.213 | 0.044 |
| Laos | 3.797 | 3.866 | 0.233 | 0.018 | 4.034 | 3.920 | 0.236 | 0.028 |
| Thailand | 2.353 | 2.356 | 0.057 | 0.001 | 2.302 | 2.334 | 0.089 | 0.014 |
| Scene | Country | NF | FF | ||||
|---|---|---|---|---|---|---|---|
| 2021–2030 (t/ha) | 2051–2060 (t/ha) | Growth Rate | 2061–2070 (t/ha) | 2091–2100 (t/ha) | Growth Rate | ||
| SSP1-2.6 | Cambodia | 3.428 | 3.573 | 4.2% | 3.568 | 3.505 | −1.8% |
| Laos | 3.890 | 4.049 | 4.1% | 4.018 | 3.937 | −2.0% | |
| Thailand | 2.487 | 2.606 | 4.8% | 2.568 | 2.544 | −0.9% | |
| SSP2-4.5 | Cambodia | 3.364 | 3.607 | 7.2% | 3.708 | 3.743 | 0.9% |
| Laos | 3.889 | 4.148 | 6.7% | 4.226 | 4.214 | −0.3% | |
| Thailand | 2.395 | 2.535 | 5.8% | 2.633 | 2.576 | −2.2% | |
| SSP5-8.5 | Cambodia | 3.412 | 3.858 | 13.1% | 4.059 | 4.433 | 9.2% |
| Laos | 3.908 | 4.291 | 9.8% | 4.543 | 4.778 | 5.2% | |
| Thailand | 2.486 | 2.798 | 12.6% | 2.937 | 3.186 | 8.5% | |
| Scene | Country | Temperature (°C) | Yield (t/ha) | ||||
|---|---|---|---|---|---|---|---|
| HIS | NF − HIS | FF − NF | HIS | NF − HIS | FF − NF | ||
| SSP1-2.6 | Cambodia | 26.97 | +0.18 | +0.23 | 2.94 | +0.58 | +0.02 |
| Laos | 22.80 | +2.66 | +0.31 | 3.68 | +0.32 | +0.00 | |
| Thailand | 25.92 | +1.11 | +0.30 | 2.17 | +0.39 | +0.00 | |
| SSP2-4.5 | Cambodia | 26.97 | +0.35 | +0.81 | 2.94 | +0.57 | +0.21 |
| Laos | 22.80 | +2.80 | +0.92 | 3.68 | +0.37 | +0.20 | |
| Thailand | 25.92 | +1.32 | +0.90 | 2.17 | +0.32 | +0.13 | |
| SSP5-8.5 | Cambodia | 26.97 | +0.55 | +1.87 | 2.94 | +0.70 | +0.65 |
| Laos | 22.80 | +3.06 | +2.07 | 3.68 | +0.42 | +0.60 | |
| Thailand | 25.92 | +1.56 | +2.01 | 2.17 | +0.48 | +0.44 | |
Disclaimer/Publisher’s Note: The statements, opinions and data contained in all publications are solely those of the individual author(s) and contributor(s) and not of MDPI and/or the editor(s). MDPI and/or the editor(s) disclaim responsibility for any injury to people or property resulting from any ideas, methods, instructions or products referred to in the content. |
© 2023 by the authors. Licensee MDPI, Basel, Switzerland. This article is an open access article distributed under the terms and conditions of the Creative Commons Attribution (CC BY) license (https://creativecommons.org/licenses/by/4.0/).
Share and Cite
Xie, S.; Liu, H.; Liu, D.; Hu, H.; Dong, Z.; Wang, T.; Ming, G. Projection of Rainfed Rice Yield Using CMIP6 in the Lower Lancang–Mekong River Basin. Agronomy 2023, 13, 1504. https://doi.org/10.3390/agronomy13061504
Xie S, Liu H, Liu D, Hu H, Dong Z, Wang T, Ming G. Projection of Rainfed Rice Yield Using CMIP6 in the Lower Lancang–Mekong River Basin. Agronomy. 2023; 13(6):1504. https://doi.org/10.3390/agronomy13061504
Chicago/Turabian StyleXie, Shimeng, Hui Liu, Dengfeng Liu, Hongchang Hu, Zhiqiang Dong, Tianci Wang, and Guanghui Ming. 2023. "Projection of Rainfed Rice Yield Using CMIP6 in the Lower Lancang–Mekong River Basin" Agronomy 13, no. 6: 1504. https://doi.org/10.3390/agronomy13061504
APA StyleXie, S., Liu, H., Liu, D., Hu, H., Dong, Z., Wang, T., & Ming, G. (2023). Projection of Rainfed Rice Yield Using CMIP6 in the Lower Lancang–Mekong River Basin. Agronomy, 13(6), 1504. https://doi.org/10.3390/agronomy13061504

