Amendments of Severe Saline-Sodic Paddy Land: Optimal Combination of Phosphogypsum, Farmyard Fertilizer, and Wood Peat
Abstract
1. Introduction
2. Materials and Methods
2.1. Study Site
2.2. Test Materials and Design
2.2.1. Test Materials
2.2.2. Experimental Design
2.3. Determination Index and Method
2.3.1. Agronomic Characteristics of the Main Growth Period
2.3.2. Theoretical Yield and Its Components
2.3.3. Soil pH and EC
2.4. Data Processing
3. Results
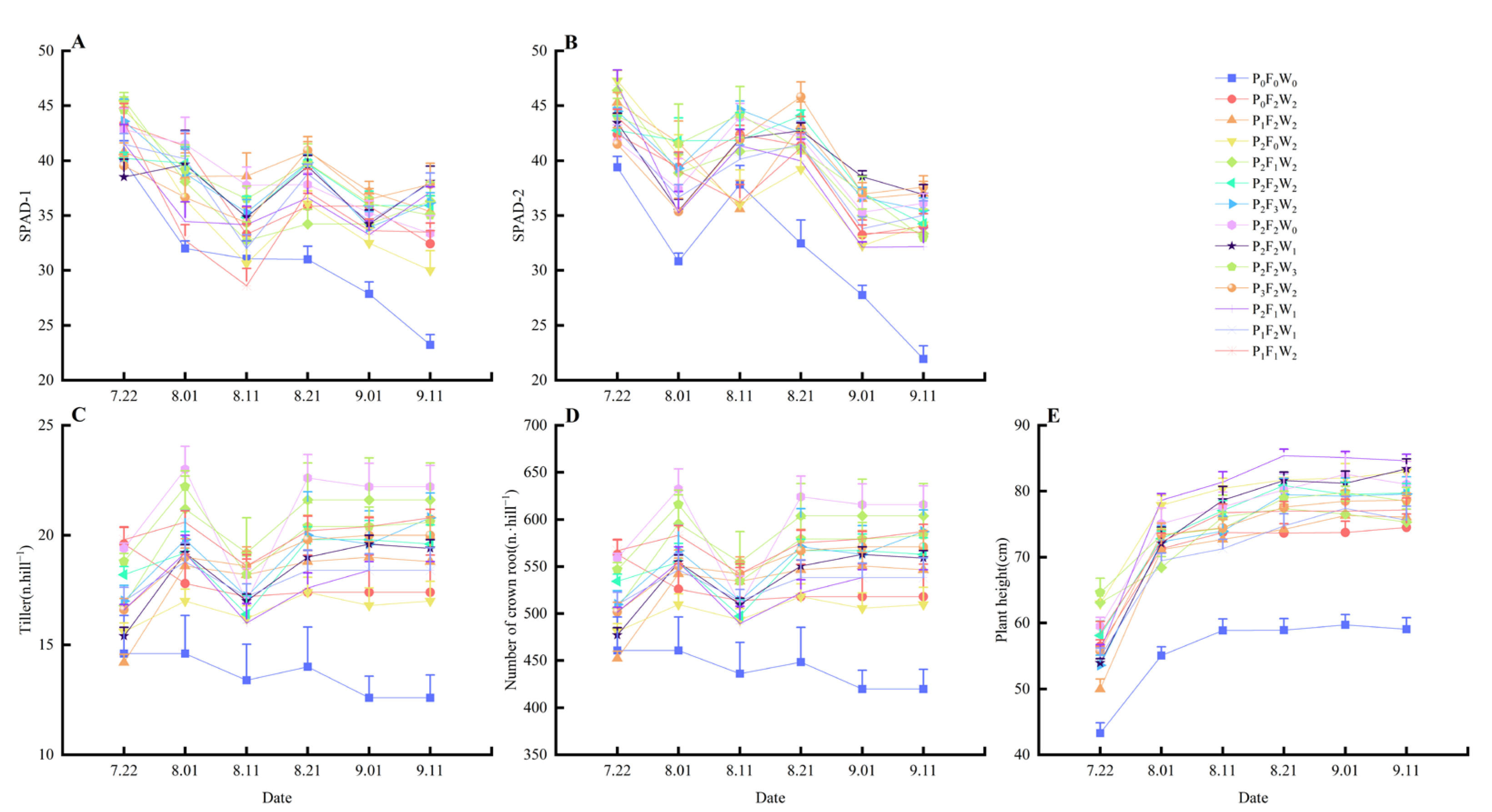
3.1. Effects of Amendments on Agronomic Characteristics during the Main Growth Period of Rice
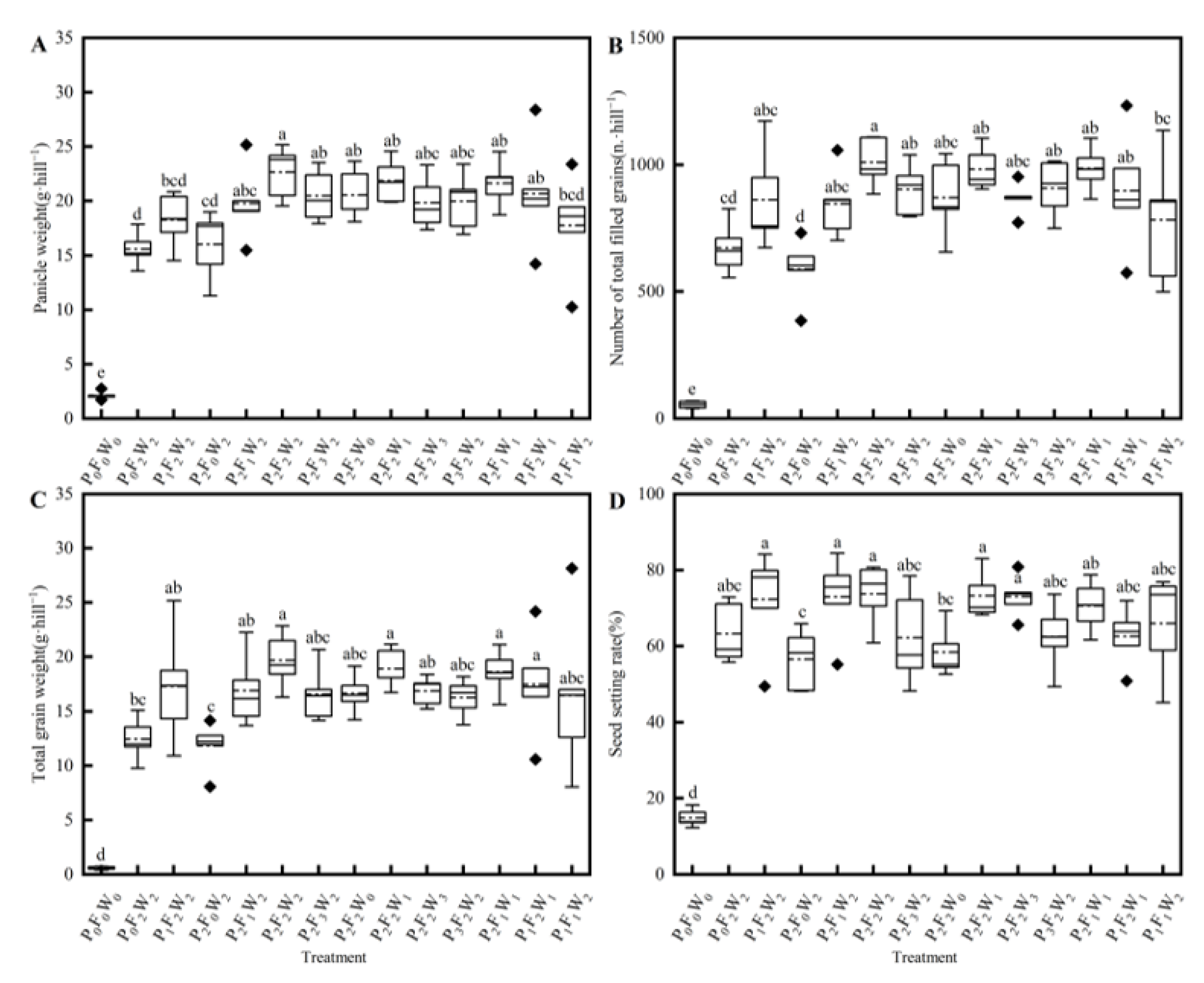
3.2. Effects of Amendments on the Theoretical Yield and Yield Components of Rice
3.2.1. Yield Components
3.2.2. Effect of Amendments on Rice Theoretical Yield
3.3. Application Effect and Optimum Dosage of the Amendment
3.3.1. Amendment Standardization
3.3.2. Effect of Single Improvement Factor on Rice Yield
3.3.3. Effect of Two Factors on Rice Yield
3.3.4. Three-Factor Improvement Effect Model and Optimal Dosage of Amendments
3.4. Effects of Different Amendments on pH and EC in Topsoil
4. Discussion
5. Conclusions
Author Contributions
Funding
Data Availability Statement
Acknowledgments
Conflicts of Interest
References
- Yang, J.; Yao, R.; Wang, X.; Xie, W.; Zhang, X.; Zhu, W.; Zhang, L.; Sun, R. Prevent soil salinization, improve soil productivity. Science 2021, 73, 30–34 + 2 + 4. [Google Scholar]
- Yang, J.; Yao, R. Management and efficient agricultural utilization of salt-affected soil in China. Soil Agric. 2015, 30, 257–265. [Google Scholar]
- Zhang, X.; Huang, B.; Liang, Z.; Zhao, Y.; Sun, W.; Hu, W. Study on salinization characteristics of surface soil in western songnen plain. Soils 2013, 45, 332–338. [Google Scholar]
- Wang, C. Saline soil resources in Northeast China. In The Salt-Affected Soil in Northeast China; Science Press: Beijing, China, 2004; pp. 23–27. [Google Scholar]
- National Bureau of Statistics of the People’s Republic of China. China Statistical Year Book; China Statistics Press: Beijing, China, 2017.
- Liu, S.; Li, C.; Fang, F.; Zhang, X.; Mao, Y.; Kong, X.; Zhang, K.; Wu, R. Study on the variation and comparative advantage of regional rice production structure in China. China Rice 2014, 20, 9–13. [Google Scholar]
- Wang, X.; Yang, X.; Tao, L.; Zhang, T.; Liu, T.; Xiang, H.; Sun, Y.; Liu, Z. Rice suitability zoning of alternative wetting and drying irrigation mode in three provinces of Northeast China. Trans. Chin. Soc. Agric. Eng. 2018, 34, 111–120. [Google Scholar]
- Cao, X.; Sun, B.; Chen, H.; Zhou, J.; Song, X.; Liu, X.; Deng, X.; Li, X.; Zhao, Y.; Zhang, J.; et al. Approaches and research progresses of marginal land productivity expansion and ecological benefit improvement in China. Strategy Policy Decis. Res. 2015, 33, 441–452. [Google Scholar]
- Liu, M.; Liang, Z.; Yang, F.; Ma, H.; Huang, L.; Wang, M. Impacts of sand amendment on rice (Oryza sativa L.) growth and yield in saline–sodic soils of Northeast China. Agric. Environ. 2010, 8, 412–418. [Google Scholar]
- Singh, R.; Redona, E.; Refuerzo, L. Varietal improvement for abiotic stress tolerance in crop plants: Special reference to salinity in rice. In Abiotic Stress Adaptation in Plants; Dordrecht: Berlin, Germany, 2009; pp. 387–415. [Google Scholar]
- Chi, C.; Zhao, C.; Sun, X.; Wang, Z. Reclamation of saline-sodic soil properties and improvement of rice(Oriza sativa L.) growth and yield using desulfurized gypsum in the west of Songnen Plain, northeast China. Geoderma 2012, 187, 24–30. [Google Scholar] [CrossRef]
- Huang, L.; Liu, X.; Wang, Z.; Liang, Z.; Wang, M.; Liu, M.; Suarez, D. Interactive effects of pH, EC and nitrogen on yields and nutrient absorption of rice (Oryza sativa L.). Agr. Water Manag. 2017, 194, 48–57. [Google Scholar] [CrossRef]
- Oster, J.; Shainberg, I.; Abrol, I. Reclamation of salt affected soils. In Agricultural Drainage; ASA-CSSA-SSSA: Madison, WI, USA, 1999; pp. 659–691. [Google Scholar]
- Aagli, A.; Tamer, N.; Atbir, A.; Boukbir, L.; El Hadek, M. Conversion of phosphogypsum to potassium sulfate–Part I. The effect of temperature on the solubility of calcium sulfate in concentrated aqueous chloride solutions. J. Therm. Anal. Calorim. 2005, 82, 395–399. [Google Scholar] [CrossRef]
- Zielonka, D.; Szulc, W.; Skowronska, M.; Rutkowska, B.; Russel, S. Hemp-based phytoaccumulation of heavy metals from municipal sewage sludge and phosphogypsum under field conditions. Agronomy 2020, 10, 907. [Google Scholar] [CrossRef]
- Wu, H.; Han, C.; Tang, Y. Research progress on reutilization of phosphogypsum in China. Mod. Chem. Ind. 2023, 43, 18–21. [Google Scholar]
- Liu, M.; Liang, Z.; Ma, H.; Huang, L.; Wang, M. Responses of rice (Oryza saliva L.) growth and yield to phosphogypsum amendment in saline–sodic soils of North–East China. J. Food Agric. Environ. 2010, 8, 827–833. [Google Scholar]
- Bello, S.; Alayafi, A.; AL–Solaimani, S.; Abo–Elyousr, K. Mitigating soil salinity stress with gypsum and bio–organic amendments: A review. Agronomy 2021, 11, 1735. [Google Scholar] [CrossRef]
- Xu, L.; Wang, Z.; Zhao, C.; Wang, Y.; Sun, X.; Wei, B.; Cao, L.; Zhu, M. Amelioration of soda saline–alkali soil through equidistant slotting in combining with gyp–sum application. Chin. J. Ecol. 2012, 31, 1179–1185. [Google Scholar]
- Komissarov, M.; Gabbasova, I.; Garipov, T.; Suleymanov, R.; Sidorova, L. The Effect of phosphogypsum and turkey litter application on the properties of eroded agrochernozem in the south ural region (Russia). Agronomy 2022, 12, 2594. [Google Scholar] [CrossRef]
- Gao, G.; Liu, Y.; Yang, B.; Wang, Y.; Guo, X.; Chen, M.; Zhao, B.; Liu, J. Effects of chemical fertilizer reduction combined with organic fertilizer on soil properties and cadmium forms in saline alkali land. Soil Fertil. Sci. China 2023, 1, 30–38. [Google Scholar]
- Zhang, Z.; Lv, F.; Xiao, Y.; Wang, R.; Lin, H.; Yuan, Z.; Wei, L.; Lv, R. Effects of nitrogen fertilizer reduction under organic and inorganic fertilizers combination on yield and quality of peanut in red soil farmland. Soils Crops 2022, 11, 417–427. [Google Scholar]
- Guo, Z.; Xue, Z.; Zhao, J.; Wang, Z.; Chen, X. Effects of nitrogen, phosphorus and potassium fertilizer on rice yield and nutrient utilization in a Hapli–Udic Cambisol in Liaoning Province. Soils Crops 2023, 12, 18–24. [Google Scholar]
- Sun, N.; Thompson, R.; Xu, J.; Liao, S.; Suo, L.; Peng, Y.; Chen, Q.; Yang, J.; Li, Y.; Zou, G.; et al. Arsenic and cadmium accumulation in soil as affected by continuous organic fertilizer application: Implications for clean production. Agronomy 2021, 11, 2272. [Google Scholar] [CrossRef]
- Balik, J.; Kulhanek, M.; Cerny, J.; Sedlar, O.; Suran, P.; Asrade, D. The influence of organic and mineral fertilizers on the quality of soil organic matter and glomalin content. Agronomy 2022, 12, 1375. [Google Scholar] [CrossRef]
- Liu, P.; Bi, J.; Li, W.; Hui, Z.; Xiao, G.; Sun, Q.; Wang, J. Transcriptome analysis of effect of bio–organic fertilizer on rice leaves. Acta Ecol. Sin. 2022, 42, 2342–2356. [Google Scholar]
- Zheng, G.; Yu, G.; Li, H.; Hu, F.; Li, X.; Ma, Y. Effects of leakage and organic fertilizer on panicle characters and yield of rice in saline–alkali soil. China Rice 2013, 19, 80–82. [Google Scholar]
- Li, X. Study on the Influence of Yellow River Sediment Mixed and Application Biological Fertilizer on Water and Salt Transport, Winter Wheat Growth in Saline–Alkali Land. Ph.D. Thesis, Chinese Academy of Agricultural Sciences, Beijing, China, 2020. [Google Scholar]
- Zheng, F.; Ma, X.; Cao, H.; Wang, L. Study on mending saline- alkaline soils with peat in fields. Territ. Nat. Resour. Study 2008, 1, 41–42. [Google Scholar]
- Zhao, W.; Ma, L.; Xu, J.; Tan, J.; Zhang, J.; Zhao, B. Effect of Application of Straw and Wood Peat for a Short Period on Soil Organic Matter and Microbial Community in Composition and Function in Fluvo–aquic Soil. Acta Pedol. Sin. 2020, 57, 153–164. [Google Scholar]
- Zheng, Y.; Zhang, J.; Tan, J.; Zhang, C.; Yu, Z. Chemical Composition and Structure of Humus Relative to Sources. Acta Pedol. Sin. 2019, 56, 386–397. [Google Scholar]
- Qu, C.; Chen, X.; Zhang, J.; Fan, S.; Tan, J.; Ruan, Y.; Zhang, Y.; Wu, D.; Han, Z.; Zhang, Z. Techniques and effects of quickly constructing high–quality tillage layers for newly–cultivated arable land in red soil and paddy field based on woody peat and organic materials. J. Soil Water Conserv. 2018, 32, 134–140. [Google Scholar]
- Zhao, Y.; Wang, S.; Li, Y.; Liu, J.; Zhuo, Y.; Chen, H.; Wang, J.; Xu, L.; Sun, Z. Extensive reclamation of saline–sodic soils with flue gas desulfurization gypsum on the Songnen Plain, Northeast China. Geoderma 2018, 321, 52–60. [Google Scholar] [CrossRef]
- Luo, S.; Wang, S.; Tian, L.; Shi, S.; Xu, S.; Yang, F.; Li, X.; Wang, Z.; Tian, C. Aggregate-related changes in soil microbial communities under different ameliorant applications in saline–sodic soils. Geoderma 2018, 329, 108–117. [Google Scholar] [CrossRef]
- Wang, M.; Rengasamy, P.; Wang, Z.; Yang, F.; Ma, H.; Huang, L.; Liu, M.; Yang, H.; Li, J.; An, F.; et al. Identification of the most limiting factor for rice yield using soil data collected before planting and during the reproductive stage. Land Degrad. Dev. 2018, 29, 2310–2320. [Google Scholar] [CrossRef]
- Yu, T. Study on the Construction of Alfalfa Fertilizer Model and Physiological Mechanism of Nutrient Efficiency in the Arid Irrigation Area of Northwest China. Ph.D. Thesis, Gansu Agricultural University, Lanzhou, China, 2018. [Google Scholar]
- Li, H.; Ye, H.; Li, B.; Li, C.; Shi, W.; Guo, J.; Su, Y.; Li, S. Frequency analysis and fertilization decision data field fertilizer efficiency test. Chin. Agric. Sci. Bull. 2014, 30, 132–138. [Google Scholar]
- Liu, D.; Yang, S.; Shi, H.; Zheng, X.; Sun, L.; Chang, C. Effect of combined nitrogen and phosphorus fertilizer application of wheat–maize intercropping system. Chin. J. Eco–Agric. 2014, 22, 262–269. [Google Scholar] [CrossRef]
- Zhang, X.; Yu, Z.; Li, H.; Liu, H.; Zhang, Z.; Zhao, M.; Wang, X. Remote sensing estimation model of SPAD for rice leaves in Northeast China. J. China Agric. Niversity 2020, 25, 66–75. [Google Scholar]
- Liu, M.; Liang, Z.; Huang, L.; Wang, M.; Yang, H. An effective method for estimation of rice (Oryza sativa L.) crown root numbers at the heading stage in saline-sodic soils of Northeast China. Phyton-Int. J. Exp. Bot. 2016, 85, 162–168. [Google Scholar]
- Liang, Z.; Yang, F.; Wang, Z.; Chen, Y. Effect of the main growth characteristics of rice under saline–alkali stress. Ecol. Environ. 2004, 13, 43–46. [Google Scholar]
- Suhayda, C.; Yin, L.; Redmann, R.; Li, J. Gypsum amendment improves native grass establishment on saline–alkali soils in northeast China. Soil Use Manag. 1997, 13, 43–47. [Google Scholar] [CrossRef]
- Lv, L.; Wu, Y.; Sun, Z.; Bi, Y. Effect of organic fertilizer on growth of castor bean seeding under saline sodic soil. J. China Agric. Univ. 2013, 18, 73–80. [Google Scholar]
- Li, B.; Wei, Y.; Xue, Y.; Pan, B.; Liu, J. Effect of basal application of organic fertilizer replacing inorganic N tillering fertilizer retroposition on rice yield and growth. Chin. Agric. Sci. Bull. 2018, 34, 21–26. [Google Scholar]
- Hanafi, M.; Azizi, P.; Vijayanathan, J. Phosphogypsum organic, a byproduct from rare-earth metals processing, improves plant and soil. Agronomy 2021, 11, 2561. [Google Scholar] [CrossRef]
- Shen, J.; Zheng, H.; Yin, M.; Xie, Z.; He, Z.; Huang, H. Effect of dark–direct seeding on characters of rice panicle and yield. Crops 2014, 4, 84–87. [Google Scholar]
- Zhao, Q.; Hao, X.; Ali, I.; Iqbal, A.; Ullah, S.; Huang, M.; Kong, F.; Li, T.; Xuan, Y.; Li, F.; et al. Characterization and grouping of all primary branches at various positions on a rice panicle based on grain growth dynamics. Agronomy 2020, 10, 223. [Google Scholar] [CrossRef]
- Zuo, J.; Li, J.; Yang, F. Effects of different soil types on the panicle traits and yield components of northern Japon–ica rice. Chin. J. Ecol. 2013, 32, 59–63. [Google Scholar]
- Yang, F.; Liang, Z.; Wang, Z.; Zhang, J.; Chen, Y. Comparison of yield characters between screening test of salinealkali tolerant rice varieties and regional experiment. J. Jilin Agric. Univ. 2007, 29, 596–600. [Google Scholar]
- Zhai, C.; Zhang, J.; Cui, S.; Chen, P. Effects of salt stress on the panicle traits and yield components of rice cultivars. Chin. Agric. Sci. Bull. 2022, 38, 1–9. [Google Scholar]
- Xiao, F.; Zhou, B.; Wang, H.; Duan, M.; Feng, L. Effects of different soil amendments on physicochemical property of soda saline-alkali soil and crop yield in Northeast China. Int. J. Agr. Biol. Eng. 2022, 15, 192–198. [Google Scholar] [CrossRef]
- Su, Q.; Li, W.; Chi, F. Effect of organic fertilizer application on soil salt content and the yield of rice. Chin. Agric. Sci. Bull. 2006, 22, 299–301. [Google Scholar]
- Wu, Q.; Luo, J. Discussion on analysis method of ”3414” fertilizer test. Shandong Agric. Sci. 2010, 8, 90–194. [Google Scholar]
- Qadir, M.; Schubert, S. Degradation processes and nutrient constraints in sodic soils. Land Degrad. Dev. 2002, 13, 275–294. [Google Scholar] [CrossRef]
- Yu, B.; Wu, K.; Huang, Q. Study on the effect of woody peat on the dry matter accumulation and yield of millet. Soil Fertil. China 2018, 5, 102–108. [Google Scholar]
- Zhang, P.; Gao, L.; Li, X.; Wang, X.; Liu, J.; Xu, C.; Zhang, X. Phosphogypsum and organic fertilizer: Effects on yield and leaf physiological characteristics of broomcorn millet in saline–alkali soil. Chin. Agric. Sci. Bull. 2018, 34, 26–32. [Google Scholar]
- Shu, X.; Peng, B. Effect of combined application of phosphogypsum and organic fertilizer on water environment of saline–alkali soil. Sci. Technol. Innov. 2019, 18, 72–73. [Google Scholar]
- Cong, S. Effects of Different Amelioration Techniques on Soil Saline-Alkali Characteristics in Songnen Plain; Northeast Institute of Geography and Agroecology: Changchun, China, 2022. [Google Scholar]
- Wang, X.; Chen, X.; Zhang, F.; Mao, D. The application of fertilizer model is recommended in our country. Plant Nutr. Fertil. Sci. 1998, 4, 67–74. [Google Scholar]
- Wang, S.; Chen, X.; Gao, X.; Mao, D.; Zhang, F. Study on simulation of “3414” fertilizer experiments. Plant Nutr. Fertil. Sci. 2002, 8, 409–413. [Google Scholar]
- Xao, Y.; Ge, G.; Lv, S.; Yin, Q.; Mi, F. The research of “ZhongMu No.2” alfalfa in high yield and fertilizer. J. Arid. Land Resour. Environ. 2016, 30, 183–189. [Google Scholar]
- Kamra, S.; Narayana, V.; Rao, K. Water harvesting for reclaiming alkali soils. Agr. Water Manag. 1986, 11, 127–135. [Google Scholar] [CrossRef]
- Qadir, M.; Oster, J.; Schubert, S.; Noble, A.; Sahrawat, K. Phytoremediation of sodic and saline–sodic soils. Adv. Agron. 2007, 96, 197–247. [Google Scholar]
- Dobermann, A.; Fairhurst, T. Rice Ecosystems. Rice–Nutrient Disorders and Nutrient Management; Potash and Phosphate Institute (PPI) and International Rice Research Institute (IRRI): Los Baños, Philippines, 2000; pp. 2–11. [Google Scholar]
- Al–Enazy, A.; Al–Barakah, F.; Al–Oud, S.; Usman, A. Effect of phosphogypsum application and bacteria co-inoculation on biochemical properties and nutrient availability to maize plants in a saline soil. Arch. Agron. Soil Sci. 2018, 64, 1394–1406. [Google Scholar] [CrossRef]
- Huang, L.; Liu, Y.; Ferreira, J.; Wang, M.; Na, J.; Huang, J.; Liang, Z. Long-term combined effects of tillage and rice cultivation with phosphogypsum or farmyard manure on the concentration of salts, minerals, and heavy metals of saline–sodic paddy fields in Northeast China. Soil Till Res. 2022, 215, 105222. [Google Scholar] [CrossRef]
- Ahmad, S.; Ghafoor, A.; Akhtar, M.; Khan, M. Implication of gypsum rates to optimize hydraulic conductivity for variable–texture saline–sodic soils reclamation. Land Degrad. Dev. 2016, 27, 550–560. [Google Scholar] [CrossRef]
- Clark, G.; Dodgshun, N.; Sale, P.; Tang, C. Changes in chemical and biological properties of a sodic clay subsoil with addition of organic amendments. Soil Biol. Biochem. 2007, 39, 2806–2817. [Google Scholar] [CrossRef]
- Ranjbar, F.; Jalali, M. Effects of plant residues and calcite amendments on soil sodicity. J. Plant Nutr. Soil Sci. 2011, 174, 874–883. [Google Scholar] [CrossRef]
- Chen, S.; Nie, H.; Tan, J.; Xing, W.; Chen, Q. Effect of wood peat on greenhouse tomato growth and soil improvement. China Veg. 2015, 10, 42–46. [Google Scholar]
- Takahagi, J.; Open, M.; Saburo, M.; Kazuo, A. Humic fertilizers. Humic. Acid. 1989, 2, 43–61. [Google Scholar]







| Detection Index | Test Result | ||
|---|---|---|---|
| P | F | W | |
| pH | 4.5 | 7.6 | 5.41 |
| Cd (%) | 0.0001 | <0.1 | 0.13 |
| Cr (%) | 0.0005 | 15.4 | 3.68 |
| As (%) | 0.0003 | 6.9 | 1.19 |
| Pb (%) | 0.0012 | 7.3 | 3.67 |
| Hg (%) | 0.0001 | 0.2 | 0.04 |
| a(H2O) (%) | 16 | 28.4 | |
| S (%) | 18.4 | ||
| N (%) | 2.31 | 0.685 | |
| Organic matter (%) | 35.3 | 90.98 | |
| P2O5 (%) | 1.63 | 0.007 | |
| K2O (%) | 1.94 | 0.015 | |
| Number of fecal coliforms (n·g−1) | <3.0 | ||
| Mortality of ascarid egg (%) | 100 | ||
| GI (%) | 80.2 | ||
| Weed seed activity (%) | 0.0 | ||
| Mechanical impurities (%) | 0.0 | ||
| Cl− (%) | 0.75 | ||
| Dry bulk density (g·cm−4) | 0.412 | ||
| Total amount of humic acid (%) | 45.35 | ||
| CaSO4·2H2O (%) | 90 | ||
| Numbering | Treatment | Code | Application Rate (t·ha−1) | ||||
|---|---|---|---|---|---|---|---|
| P | F | W | P | F | W | ||
| 1 | P0F0W0 | 0 | 0 | 0 | 0 | 0 | 0 |
| 2 | P0F2W2 | 0 | 0.67 | 0.67 | 0 | 50 | 30 |
| 3 | P1F2W2 | 0.33 | 0.67 | 0.67 | 15 | 50 | 30 |
| 4 | P2F0W2 | 0.67 | 0 | 0.67 | 30 | 0 | 30 |
| 5 | P2F1W2 | 0.67 | 0.33 | 0.67 | 30 | 25 | 30 |
| 6 | P2F2W2 | 0.67 | 0.67 | 0.67 | 30 | 50 | 30 |
| 7 | P2F3W2 | 0.67 | 1 | 0.67 | 30 | 75 | 30 |
| 8 | P2F2W0 | 0.67 | 0.67 | 0 | 30 | 50 | 0 |
| 9 | P2F2W1 | 0.67 | 0.67 | 0.33 | 30 | 50 | 15 |
| 10 | P2F2W3 | 0.67 | 0.67 | 1 | 30 | 50 | 45 |
| 11 | P3F2W2 | 1 | 0.67 | 0.67 | 45 | 50 | 30 |
| 12 | P2F1W1 | 0.67 | 0.33 | 0.33 | 30 | 25 | 15 |
| 13 | P1F2W1 | 0.33 | 0.67 | 0.33 | 15 | 50 | 15 |
| 14 | P1F1W2 | 0.33 | 0.33 | 0.67 | 15 | 25 | 30 |
| Treatment | Plant Height (cm) | Tiller (n.·hill−1) | SP AD-1 | SP AD-2 | Number of Crown Root (n.·hill−1) |
|---|---|---|---|---|---|
| P0F0W0 | 59.08 ± 1.75 e | 12.60 ± 1.03 e | 23.22 ± 0.94 e | 21.94 ± 1.20 d | 419.84 ± 21.03 e |
| P0F2W2 | 74.50 ± 2.04 d | 17.40 ± 1.69 cd | 32.44 ± 1.18 cd | 34.02 ± 1.15 abc | 517.91 ± 34.55 cd |
| P1F2W2 | 76.08 ± 3.65 cd | 18.80 ± 1.07 abcd | 35.38 ± 1.44 abc | 37.02 ± 1.10 ab | 546.51 ± 21.81 abcd |
| P2F0W2 | 82.98 ± 1.59 abc | 17.00 ± 0.89 d | 30.02 ± 1.78 d | 34.16 ± 1.44 abc | 509.74 ± 18.27 d |
| P2F1W2 | 75.32 ± 2.01 d | 21.60 ± 1.69 ab | 36.30 ± 1.75 abc | 33.34 ± 2.17 bc | 603.71 ± 34.55 ab |
| P2F2W2 | 79.72 ± 1.45 abcd | 19.60 ± 0.87 abcd | 35.90 ± 0.91 abc | 34.26 ± 1.17 abc | 562.85 ± 17.81 abcd |
| P2F3W2 | 79.60 ± 2.61 abcd | 20.80 ± 1.11 abc | 36.18 ± 0.91 abc | 35.48 ± 1.13 abc | 587.37 ± 22.75 abc |
| P2F2W0 | 81.08 ± 3.45 abcd | 22.20 ± 0.97 a | 33.38 ± 1.62 bcd | 36.12 ± 0.87 abc | 615.97 ± 19.81 a |
| P2F2W1 | 83.38 ± 1.53 ab | 19.40 ± 0.40 abcd | 38.08 ± 1.44 a | 36.90 ± 0.92 ab | 558.77 ± 8.17 abcd |
| P2F2W3 | 78.50 ± 2.10 abcd | 20.60 ± 0.98 abc | 35.04 ± 1.21 abc | 32.98 ± 0.39 bc | 583.28 ± 20.02 abc |
| P3F2W2 | 78.62 ± 0.75 abcd | 20.00 ± 0.84 abcd | 37.84 ± 1.92 a | 37.60 ± 1.01 a | 571.03 ± 17.09 abcd |
| P2F1W1 | 84.64 ± 0.97 a | 18.40 ± 0.40 bcd | 37.14 ± 0.49 ab | 32.18 ± 1.71 c | 538.34 ± 8.17 bcd |
| P1F2W1 | 75.58 ± 2.15 d | 18.40 ± 1.03 bcd | 37.94 ± 0.93 a | 35.02 ± 1.32 abc | 538.34 ± 21.03 bcd |
| P1F1W2 | 77.16 ± 1.83 bcd | 20.80 ± 0.37 abc | 33.48 ± 0.84 bcd | 33.50 ± 0.40 bc | 587.37 ± 7.64 abc |
| Treatments | Quadratic Equation with One Unknown | Significant Test | NO. | ||
|---|---|---|---|---|---|
| R2 | F | F0.05 | |||
| P | Y = −4586.9 P2 + 6182.6 P + 3492.6 | 0.949 | 9.3 | 0.226 | (1) |
| F | Y = −5090.8 F2 + 6851.8 F + 3286.2 | 0.963 | 13.0 | 0.193 | (2) |
| W | Y = −3471.6 W2 + 3578.7 W + 4841.0 | 0.933 | 6.9 | 0.260 | (3) |
| Treatments | Optimal Application Amount (t·ha−1) | Corresponding Yield (kg·ha−1) |
|---|---|---|
| P | 30.33 | 5575.92 |
| F | 50.47 | 5591.69 |
| W | 23.19 | 5763.22 |
| Treatment | Binary Quadratic Equations | Significant Test | NO. | ||
|---|---|---|---|---|---|
| R2 | F0.05 | F | |||
| P, F | Y = 648.9 + 6825.0 P + 7420.8 F − 4251.6 P2 − 4690.8 F2 − 1526.5 PF | 0.963 | 10.3 | 0.091 | (1) |
| P, W | Y = 2096.3 + 7164.8 P + 4075.3 W − 4502.5 P2 − 2959.3 W2 − 1608.8 PW | 0.955 | 8.5 | 0.109 | (2) |
| F, W | Y = 4730.1 + 3553.4 F − 132.0 W − 4986.4 F2 − 3004.0 W2 + 4746.3 FW | 0.970 | 12.8 | 0.074 | (3) |
| Treatments | Highest-Yield Application Amount (t·ha−1) | Highest Yield (kg·ha−1) | ||
|---|---|---|---|---|
| P | F | W | ||
| P, F | 30.62 | 51.02 | 5495.18 | |
| P, W | 31.81 | 22.34 | 5640.31 | |
| F, W | 41.56 | 18.71 | 5687.37 | |
| Ternary Quadratic Equation | Significant Test | ||
|---|---|---|---|
| R2 | F | P | |
| Y = 189.4 + 9435.7 P + 5734.1 F + 1882.3 W − 4533.5 P2−4972.7 F2 − 2990.3 W2 − 2645.7 PF − 2397.3 PW + 4016.8 FW | 0.992 | 57.9 | 0.0007 |
| Item | Code | P | F | W | |||
|---|---|---|---|---|---|---|---|
| Counts | Frequency | Counts | Frequency | Counts | Frequency | ||
| (%) | (%) | (%) | |||||
| 0 | 0 | 0 | 7 | 4.6 | 18 | 11.8 | |
| 0.167 | 4 | 2.6 | 14 | 9.2 | 22 | 14.5 | |
| 0.333 | 18 | 11.8 | 22 | 14.5 | 26 | 17.1 | |
| 0.5 | 30 | 19.7 | 29 | 19.1 | 26 | 17.1 | |
| 0.667 | 36 | 23.7 | 32 | 21.1 | 24 | 15.8 | |
| 0.833 | 35 | 23 | 30 | 19.7 | 23 | 15.1 | |
| 1 | 29 | 19.1 | 18 | 11.8 | 13 | 8.6 | |
| Code the weighted mean | 0.683 | 0.582 | 0.484 | ||||
| Standard error | 0.019 | 0.022 | 0.025 | ||||
| 95% confidence interval | 0.647–0.720 | 0.538–0.626 | 0.435–0.532 | ||||
| Optimal fertilizer (t·ha−1) | 29.09–32.38 | 40.36–46.97 | 19.57–23.95 | ||||
Disclaimer/Publisher’s Note: The statements, opinions and data contained in all publications are solely those of the individual author(s) and contributor(s) and not of MDPI and/or the editor(s). MDPI and/or the editor(s) disclaim responsibility for any injury to people or property resulting from any ideas, methods, instructions or products referred to in the content. |
© 2023 by the authors. Licensee MDPI, Basel, Switzerland. This article is an open access article distributed under the terms and conditions of the Creative Commons Attribution (CC BY) license (https://creativecommons.org/licenses/by/4.0/).
Share and Cite
Duan, G.; Liu, M.; Liang, Z.; Wang, M.; Yang, H.; Xu, Y.; Yu, T.; Jin, Y.; Hu, J.; Liu, J. Amendments of Severe Saline-Sodic Paddy Land: Optimal Combination of Phosphogypsum, Farmyard Fertilizer, and Wood Peat. Agronomy 2023, 13, 1364. https://doi.org/10.3390/agronomy13051364
Duan G, Liu M, Liang Z, Wang M, Yang H, Xu Y, Yu T, Jin Y, Hu J, Liu J. Amendments of Severe Saline-Sodic Paddy Land: Optimal Combination of Phosphogypsum, Farmyard Fertilizer, and Wood Peat. Agronomy. 2023; 13(5):1364. https://doi.org/10.3390/agronomy13051364
Chicago/Turabian StyleDuan, Guokang, Miao Liu, Zhengwei Liang, Mingming Wang, Haoyu Yang, Yang Xu, Tianhe Yu, Yangyang Jin, Jiafeng Hu, and Junqing Liu. 2023. "Amendments of Severe Saline-Sodic Paddy Land: Optimal Combination of Phosphogypsum, Farmyard Fertilizer, and Wood Peat" Agronomy 13, no. 5: 1364. https://doi.org/10.3390/agronomy13051364
APA StyleDuan, G., Liu, M., Liang, Z., Wang, M., Yang, H., Xu, Y., Yu, T., Jin, Y., Hu, J., & Liu, J. (2023). Amendments of Severe Saline-Sodic Paddy Land: Optimal Combination of Phosphogypsum, Farmyard Fertilizer, and Wood Peat. Agronomy, 13(5), 1364. https://doi.org/10.3390/agronomy13051364
