Effects of Biochar on the Cd Uptake by Rice and the Cd Fractions in Paddy Soil: A 3-Year Field Experiment
Abstract
1. Introduction
2. Materials and Methods
2.1. Location of Field Trial Site
2.2. Biochar Properties
2.3. Set-Up of Field Trial
2.4. Rice Variety and the Cultivation Conditions
2.5. Rice Sampling and Analysis
2.6. Soil Sampling and Analysis
- F1 (exchangeable fraction): 16 mL 1 mol l−1 MgCl2 (pH = 7.0) at 25 °C for 2 h;
- F2 (carbonate bound fraction): 16 mL 1 mol l−1 CH3COONa (pH = 5.0) at 25 °C for 2 h;
- F3 (Fe-Mn oxide bound fraction): 40 mL 0.04 mol l−1 NH2OH·HCl and 25% CH3COOH (pH = 2.0) at 90 ± 3 °C for 5 h;
- F4 (organic bound fraction): 6 ml 0.02 mol l−1 HNO3 and 10 mL 30% H2O2 (pH = 2.0) at 85 ± 2 °C for 2 h, then 6 ml 30% H2O2 (pH = 2.0) at 85 ± 2 °C for 3 h, 10 mL 3.2 mol l−1 CH3COONH4 and 20% HNO3 at 25 °C for 0.5 h;
- F5 (residual fraction): mixture acid of HF-HNO3-HCl with digestion.
2.7. Data Calculation
- The translocation factor (TF) was calculated as TF (%) = (Cd concentration in the rice organs/Cd concentration in root) × 100%, the rice organs include: brown rice, husk, leaf, and stem and sheath [35].
- The distribution factor (DF) is the percentage of Cd accumulation in different organs to the total accumulation in the acrial part of rice, and was calculated as DF(%) = (Cd accumulation in the rice organs/total Cd accumulation in acrial part) × 100%, the Cd accumulation in the rice organs was calculated as Cd concentration in the rice organs × the dry weight of the rice organs, and the total Cd accumulation in acrial part was the sum of each acrial rice organs.
- The soil Cd immobilization efficiency was calculated as Cd immobilization efficiency (%) = (1 − bioavailable Cd in biochar treatment ÷ bioavailable Cd in CK) × 100%, bioavailable Cd include F1 and F2, because both the exchangeable (F1) and carbonate (F2) bound fraction are available to plants [36].
- Risk assessment code (RAC) is a method presented by Perin et al. [37] for forecasting the environmental toxicity of sediment metal pollution. The RAC value is equivalent to the ratio of exchangeable (F1) and carbonate (F2) fractions to total content, and was calculated as RAC = (Cd content of F1 + Cd content of F2)/total Cd content in soil × 100%. RAC is generally divided into five risk levels: if RAC value < 1%, the soil is considered to be no risk to the environment, and low risk, medium risk, high risk, and very high risk are associated with RAC values of 1~10%, 11~30%, 31~50%, and >50%, respectively [38].
2.8. Statistical Analyses
3. Results and Discussion
3.1. Biochar Influences on Rice Dry Matter Accumulation and Cd Content in Rice
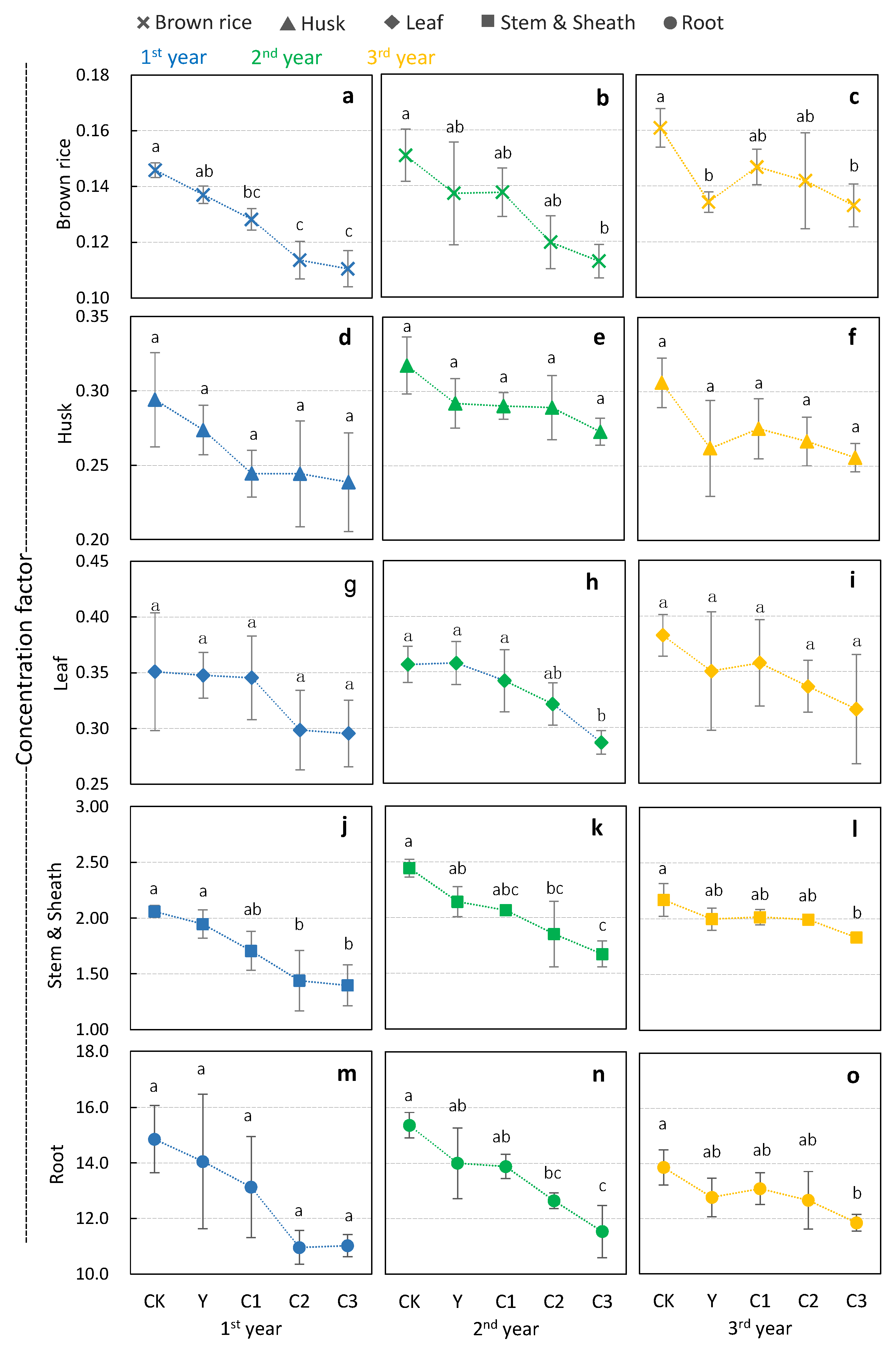
3.2. Impacts of Biochar on Cd Transportation, Distribution, and Concentration in Rice
3.3. Biochar Influences on Soil pH and SOC
3.4. Biochar Influences on Cd Fractions in Paddy Soil
3.5. The RAC and Biochar Immobilization Efficiency
3.6. Correlations between Cd Contents in Rice and the Soil Environmental Factors
4. Conclusions
Author Contributions
Funding
Data Availability Statement
Conflicts of Interest
References
- Deng, X.; Long, C.; Chen, L.; Du, Y.; Zhang, Z.; Gan, L.; Zeng, Y. Special Microbial Communities Enhanced the Role of Aged Biochar in Reducing Cd Accumulation in Rice. Agronomy 2023, 13, 81. [Google Scholar] [CrossRef]
- Rahim, H.U.; Akbar, W.A.; Alatalo, J.M. A Comprehensive Literature Review on Cadmium (Cd) Status in the Soil Environment and Its Immobilization by Biochar-Based Materials. Agronomy 2022, 12, 877. [Google Scholar] [CrossRef]
- Peera Sheikh Kulsum, P.G.; Khanam, R.; Das, S.; Nayak, A.K.; Tack, F.M.G.; Meers, E.; Vithanage, M.; Shahid, M.; Kumar, A.; Chakraborty, S.; et al. A State-of-the-Art Review on Cadmium Uptake, Toxicity, and Tolerance in Rice: From Physiological Response to Remediation Process. Environ. Res. 2023, 220, 115098. [Google Scholar] [CrossRef] [PubMed]
- Liu, M.; Xu, M.; Zhang, X.; Zhou, J.; Ma, Q.; Wu, L. Poorly Crystalline Fe(II) Mineral Phases Induced by Nano Zero-Valent Iron Are Responsible for Cd Stabilization with Different Soil Moisture Conditions and Soil Types. Ecotoxicol. Environ. Saf. 2021, 223, 112616. [Google Scholar] [CrossRef]
- Liu, X.; Tian, G.; Jiang, D.; Zhang, C.; Kong, L. Cadmium (Cd) Distribution and Contamination in Chinese Paddy Soils on National Scale. Environ. Sci. Pollut. Res. Int. 2016, 23, 17941–17952. [Google Scholar] [CrossRef]
- Tu, C.; Guan, F.; Sun, Y.; Guo, P.; Liu, Y.; Li, L.; Scheckel, K.G.; Luo, Y. Stabilizing Effects on a Cd Polluted Coastal Wetland Soil Using Calcium Polysulphide. Geoderma 2018, 332, 190–197. [Google Scholar] [CrossRef]
- Zhang, Y.; Chen, T.; Liao, Y.; Reid, B.J.; Chi, H.; Hou, Y.; Cai, C. Modest Amendment of Sewage Sludge Biochar to Reduce the Accumulation of Cadmium into Rice (Oryza sativa L.): A Field Study. Environ. Pollut. 2016, 216, 819–825. [Google Scholar] [CrossRef]
- Gong, Y.; Zhao, D.; Wang, Q. An Overview of Field-Scale Studies on Remediation of Soil Contaminated with Heavy Metals and Metalloids: Technical Progress over the Last Decade. Water Res. 2018, 147, 440–460. [Google Scholar] [CrossRef]
- Qin, X.; Liu, Y.; Huang, Q.; Liu, Y.; Zhao, L.; Xu, Y. In-Situ Remediation of Cadmium and Atrazine Contaminated Acid Red Soil of South China Using Sepiolite and Biochar. Bull. Environ. Contam. Toxicol. 2019, 102, 128–133. [Google Scholar] [CrossRef]
- Zhou, H.; Yang, W.-T.; Zhou, X.; Liu, L.; Gu, J.-F.; Wang, W.-L.; Zou, J.-L.; Tian, T.; Peng, P.-Q.; Liao, B.-H. Accumulation of Heavy Metals in Vegetable Species Planted in Contaminated Soils and the Health Risk Assessment. Int. J. Environ. Res. Public. Health 2016, 13, 289. [Google Scholar] [CrossRef]
- Jeffery, S.; Verheijen, F.G.A.; van der Velde, M.; Bastos, A.C. A Quantitative Review of the Effects of Biochar Application to Soils on Crop Productivity Using Meta-Analysis. Agric. Ecosyst. Environ. 2011, 144, 175–187. [Google Scholar] [CrossRef]
- Sohi, S.P.; Krull, E.; Lopez-Capel, E.; Bol, R. Chapter 2—A Review of Biochar and Its Use and Function in Soil. In Advances in Agronomy; Academic Press: Cambridge, MA, USA, 2010; Volume 105, pp. 47–82. [Google Scholar]
- Wang, M.; Zhu, Y.; Cheng, L.; Andserson, B.; Zhao, X.; Wang, D.; Ding, A. Review on Utilization of Biochar for Metal-Contaminated Soil and Sediment Remediation. J. Environ. Sci. China 2018, 63, 156–173. [Google Scholar] [CrossRef] [PubMed]
- Zhai, X.; Li, Z.; Huang, B.; Luo, N.; Huang, M.; Zhang, Q.; Zeng, G. Remediation of Multiple Heavy Metal-Contaminated Soil through the Combination of Soil Washing and in Situ Immobilization. Sci. Total Environ. 2018, 635, 92–99. [Google Scholar] [CrossRef]
- García, A.C.; Tavares, O.C.H.; de Oliveira, D.F. Biochar as Agricultural Alternative to Protect the Rice Plant Growth in Fragile Sandy Soil Contaminated with Cadmium. Biocatal. Agric. Biotechnol. 2020, 29, 101829. [Google Scholar] [CrossRef]
- Beesley, L.; Moreno-Jiménez, E.; Gomez-Eyles, J.L.; Harris, E.; Robinson, B.; Sizmur, T. A Review of Biochars’ Potential Role in the Remediation, Revegetation and Restoration of Contaminated Soils. Environ. Pollut. 2011, 159, 3269–3282. [Google Scholar] [CrossRef]
- Houben, D.; Evrard, L.; Sonnet, P. Mobility, Bioavailability and pH-Dependent Leaching of Cadmium, Zinc and Lead in a Contaminated Soil Amended with Biochar. Chemosphere 2013, 92, 1450–1457. [Google Scholar] [CrossRef]
- Tang, J.; Zhu, W.; Kookana, R.; Katayama, A. Characteristics of Biochar and Its Application in Remediation of Contaminated Soil. J. Biosci. Bioeng. 2013, 116, 653–659. [Google Scholar] [CrossRef]
- Li, H.; Li, Z.; Huang, L.; Mao, X.; Dong, Y.; Fu, S.; Su, R.; Chang, Y.; Zhang, C. Environmental Factors Influence the Effects of Biochar on the Bioavailability of Cd and Pb in Soil Under Flooding Condition. Water. Air. Soil Pollut. 2023, 234, 100. [Google Scholar] [CrossRef]
- Awad, M.; Liu, Z.; Skalicky, M.; Dessoky, E.S.; Brestic, M.; Mbarki, S.; Rastogi, A.; EL Sabagh, A. Fractionation of Heavy Metals in Multi-Contaminated Soil Treated with Biochar Using the Sequential Extraction Procedure. Biomolecules 2021, 11, 448. [Google Scholar] [CrossRef]
- O’Connor, D.; Peng, T.; Zhang, J.; Tsang, D.C.W.; Alessi, D.S.; Shen, Z.; Bolan, N.S.; Hou, D. Biochar Application for the Remediation of Heavy Metal Polluted Land: A Review of in Situ Field Trials. Sci. Total Environ. 2018, 619–620, 815–826. [Google Scholar] [CrossRef]
- Martin, T.A.; Ruby, M.V. Review of in Situ Remediation Technologies for Lead, Zinc, and Cadmium in Soil. Remediat. J. 2004, 14, 35–53. [Google Scholar] [CrossRef]
- Peng, J.; Song, Y.; Yuan, P.; Cui, X.; Qiu, G. The Remediation of Heavy Metals Contaminated Sediment. J. Hazard. Mater. 2009, 161, 633–640. [Google Scholar] [CrossRef] [PubMed]
- Derakhshan Nejad, Z.; Jung, M.C.; Kim, K.-H. Remediation of Soils Contaminated with Heavy Metals with an Emphasis on Immobilization Technology. Environ. Geochem. Health 2018, 40, 927–953. [Google Scholar] [CrossRef] [PubMed]
- Bian, R.; Chen, D.; Liu, X.; Cui, L.; Li, L.; Pan, G.; Xie, D.; Zheng, J.; Zhang, X.; Zheng, J.; et al. Biochar Soil Amendment as a Solution to Prevent Cd-Tainted Rice from China: Results from a Cross-Site Field Experiment. Ecol. Eng. 2013, 58, 378–383. [Google Scholar] [CrossRef]
- Chen, D.; Guo, H.; Li, R.; Li, L.; Pan, G.; Chang, A.; Joseph, S. Low Uptake Affinity Cultivars with Biochar to Tackle Cd-Tainted Rice—A Field Study over Four Rice Seasons in Hunan, China. Sci. Total Environ. 2016, 541, 1489–1498. [Google Scholar] [CrossRef]
- Bian, R.; Joseph, S.; Cui, L.; Pan, G.; Li, L.; Liu, X.; Zhang, A.; Rutlidge, H.; Wong, S.; Chia, C.; et al. A Three-Year Experiment Confirms Continuous Immobilization of Cadmium and Lead in Contaminated Paddy Field with Biochar Amendment. J. Hazard. Mater. 2014, 272, 121–128. [Google Scholar] [CrossRef]
- Barmeier, G.; Schmidhalter, U. High-Throughput Phenotyping of Wheat and Barley Plants Grown in Single or Few Rows in Small Plots Using Active and Passive Spectral Proximal Sensing. Sensors 2016, 16, 1860. [Google Scholar] [CrossRef]
- Dyke, G.V. Agricultural Field Experiments: Design and Analysis. Field Crops Res. 1995, 41, 63–64. [Google Scholar] [CrossRef]
- Li, F.; Fan, Z.; Xiao, P.; Oh, K.; Ma, X.; Hou, W. Contamination, Chemical Speciation and Vertical Distribution of Heavy Metals in Soils of an Old and Large Industrial Zone in Northeast China. Environ. Geol. 2009, 57, 1815–1823. [Google Scholar] [CrossRef]
- Li, X.; Liu, L.; Wang, Y.; Luo, G.; Chen, X.; Yang, X.; Hall, M.H.P.; Guo, R.; Wang, H.; Cui, J.; et al. Heavy Metal Contamination of Urban Soil in an Old Industrial City (Shenyang) in Northeast China. Geoderma 2013, 192, 50–58. [Google Scholar] [CrossRef]
- Gaskin, J.; Steiner, C.; Harris, K.; Das, K.C.; Bibens, B. Effect of Low-Temperature Pyrolysis Conditions on Biochar for Agricultural Use. Trans. Asabe 2008, 51, 2061–2069. [Google Scholar] [CrossRef]
- Tessier, A.; Campbell, P.G.C.; Bisson, M. Sequential Extraction Procedure for the Speciation of Particulate Trace Metals. Anal. Chem. 1979, 51, 844–851. [Google Scholar] [CrossRef]
- He, T.; Meng, J.; Chen, W.; Liu, Z.; Cao, T.; Cheng, X.; Huang, Y.; Yang, X. Effects of Biochar on Cadmium Accumulation in Rice and Cadmium Fractions of Soil: A Three-Year Pot Experiment. BioResources 2016, 12, 622–642. [Google Scholar] [CrossRef]
- Liu, A.; Tian, D.; Xiang, Y.; Mo, H. Effects of Biochar on Growth of Asian Lotus (Nelumbo nucifera Gaertn.) and Cadmium Uptake in Artificially Cadmium-Polluted Water. Sci. Hortic. 2016, 198, 311–317. [Google Scholar] [CrossRef]
- Zhang, Z.; Solaiman, Z.M.; Meney, K.; Murphy, D.V.; Rengel, Z. Biochars Immobilize Soil Cadmium, but Do Not Improve Growth of Emergent Wetland Species Juncus subsecundus in Cadmium-Contaminated Soil. J. Soils Sediments 2013, 13, 140–151. [Google Scholar] [CrossRef]
- Perin, G.; Craboledda, L.; Lucchese, L.; Cirillo, R.; Dotta, L.; Orio, A. Heavy Metal Speciation in the Sediments of Northern Adriatic Sea. A New Approach for Environmental Toxicity Determination. In International Conference “Heavy Metals in the Environment”; CEP Consultants: Edinburg, UK, 1985; Volume 2, pp. 454–456. [Google Scholar]
- Guo, Y.; Zhang, Y.; Zhao, X.; Xu, J.; Qiu, G.; Jia, W.; Wu, J.; Guo, F. Multifaceted Evaluation of Distribution, Occurrence, and Leaching Features of Typical Heavy Metals in Different-Sized Coal Gasification Fine Slag from Ningdong Region, China: A Case Study. Sci. Total Environ. 2022, 831, 154726. [Google Scholar] [CrossRef]
- Islam, M.S.; Magid, A.S.I.A.; Chen, Y.; Weng, L.; Arafat, M.Y.; Khan, Z.H.; Ma, J.; Li, Y. Arsenic and Cadmium Load in Rice Tissues Cultivated in Calcium Enriched Biochar Amended Paddy Soil. Chemosphere 2021, 283, 131102. [Google Scholar] [CrossRef]
- Yin, X.; Chen, J.; Cao, F.; Tao, Z.; Huang, M. Short-Term Application of Biochar Improves Post-Heading Crop Growth but Reduces Pre-Heading Biomass Translocation in Rice. Plant Prod. Sci. 2020, 23, 522–528. [Google Scholar] [CrossRef]
- Liu, Y.; Li, H.; Hu, T.; Mahmoud, A.; Li, J.; Zhu, R.; Jiao, X.; Jing, P. A Quantitative Review of the Effects of Biochar Application on Rice Yield and Nitrogen Use Efficiency in Paddy Fields: A Meta-Analysis. Sci. Total Environ. 2022, 830, 154792. [Google Scholar] [CrossRef]
- Spokas, K.A.; Cantrell, K.B.; Novak, J.M.; Archer, D.W.; Ippolito, J.A.; Collins, H.P.; Boateng, A.A.; Lima, I.M.; Lamb, M.C.; McAloon, A.J.; et al. Biochar: A Synthesis of Its Agronomic Impact beyond Carbon Sequestration. J. Environ. Qual. 2012, 41, 973–989. [Google Scholar] [CrossRef]
- Ippolito, J.A.; Laird, D.A.; Busscher, W.J. Environmental Benefits of Biochar. J. Environ. Qual. 2012, 41, 967–972. [Google Scholar] [CrossRef] [PubMed]
- Jeffery, S.; Abalos, D.; Prodana, M.; Catarina Bastos, A.; van Groenigen, J.W.; Hungate, B.A.; Verheijen, F. Biochar Boosts Tropical but Not Temperate Crop Yields. Environ. Res. Lett. 2017, 12, 053001. [Google Scholar] [CrossRef]
- Tao, Q.; Li, M.; Xu, Q.; Kováč, J.; Yuan, S.; Li, B.; Li, Q.; Huang, R.; Gao, X.; Wang, C. Radial Transport Difference Mediated by Root Endodermal Barriers Contributes to Differential Cadmium Accumulation between Japonica and Indica Subspecies of Rice (Oryza sativa L.). J. Hazard. Mater. 2022, 425, 128008. [Google Scholar] [CrossRef]
- Li, H.; Xiao, J.; Zhao, Z.; Zhong, D.; Chen, J.; Xiao, B.; Xiao, W.; Wang, W.; Crittenden, J.C.; Wang, L. Reduction of Cadmium Bioavailability in Paddy Soil and Its Accumulation in Brown Rice by FeCl3 Washing Combined with Biochar: A Field Study. Sci. Total Environ. 2022, 851, 158186. [Google Scholar] [CrossRef] [PubMed]
- Jing, F.; Yang, Z.; Chen, X.; Liu, W.; Guo, B.; Lin, G.; Huang, R.; Liu, W. Potentially Hazardous Element Accumulation in Rice Tissues and Their Availability in Soil Systems after Biochar Amendments. J. Soils Sediments 2019, 19, 2957–2970. [Google Scholar] [CrossRef]
- Guo, J.-J.; Tan, X.; Fu, H.-L.; Chen, J.-X.; Lin, X.-X.; Ma, Y.; Yang, Z.-Y. Selection for Cd Pollution-Safe Cultivars of Chinese Kale (Brassica alboglabra L. H. Bailey) and Biochemical Mechanisms of the Cultivar-Dependent Cd Accumulation Involving in Cd Subcellular Distribution. J. Agric. Food Chem. 2018, 66, 1923–1934. [Google Scholar] [CrossRef]
- Yu, E.; Wang, W.; Yamaji, N.; Fukuoka, S.; Che, J.; Ueno, D.; Ando, T.; Deng, F.; Hori, K.; Yano, M.; et al. Duplication of a Manganese/Cadmium Transporter Gene Reduces Cadmium Accumulation in Rice Grain. Nat. Food 2022, 3, 597–607. [Google Scholar] [CrossRef]
- Bogusz, A.; Oleszczuk, P. Effect of Biochar Addition to Sewage Sludge on Cadmium, Copper and Lead Speciation in Sewage Sludge-Amended Soil. Chemosphere 2020, 239, 124719. [Google Scholar] [CrossRef]
- Cui, L.; Pan, G.; Li, L.; Bian, R.; Liu, X.; Yan, J.; Quan, G.; Ding, C.; Chen, T.; Liu, Y.; et al. Continuous Immobilization of Cadmium and Lead in Biochar Amended Contaminated Paddy Soil: A Five-Year Field Experiment. Ecol. Eng. 2016, 93, 1–8. [Google Scholar] [CrossRef]
- Rodríguez-Vila, A.; Asensio, V.; Forján, R.; Covelo, E.F. Chemical Fractionation of Cu, Ni, Pb and Zn in a Mine Soil Amended with Compost and Biochar and Vegetated with Brassica juncea L. J. Geochem. Explor. 2015, 158, 74–81. [Google Scholar] [CrossRef]
- Yin, D.; Wang, X.; Peng, B.; Tan, C.; Ma, L.Q. Effect of Biochar and Fe-Biochar on Cd and As Mobility and Transfer in Soil-Rice System. Chemosphere 2017, 186, 928–937. [Google Scholar] [CrossRef] [PubMed]
- Gotoh, S.; Patrick, W.H., Jr. Transformation of Iron in a Waterlogged Soil as Influenced by Redox Potential and pH. Soil Sci. Soc. Am. J. 1974, 38, 66–71. [Google Scholar] [CrossRef]
- Yu, H.-Y.; Wang, X.; Li, F.; Li, B.; Liu, C.; Wang, Q.; Lei, J. Arsenic Mobility and Bioavailability in Paddy Soil under Iron Compound Amendments at Different Growth Stages of Rice. Environ. Pollut. 2017, 224, 136–147. [Google Scholar] [CrossRef]
- Zhang, R.-H.; Li, Z.-G.; Liu, X.-D.; Wang, B.; Zhou, G.-L.; Huang, X.-X.; Lin, C.-F.; Wang, A.; Brooks, M. Immobilization and Bioavailability of Heavy Metals in Greenhouse Soils Amended with Rice Straw-Derived Biochar. Ecol. Eng. 2017, 98, 183–188. [Google Scholar] [CrossRef]
- Zhang, P.; Zhang, X.; Li, Y.; Han, L. Influence of Pyrolysis Temperature on Chemical Speciation, Leaching Ability, and Environmental Risk of Heavy Metals in Biochar Derived from Cow Manure. Bioresour. Technol. 2020, 302, 122850. [Google Scholar] [CrossRef] [PubMed]
- Sarmah, M.; Borgohain, A.; Gogoi, B.B.; Yeasin, M.; Paul, R.K.; Malakar, H.; Handique, J.G.; Saikia, J.; Deka, D.; Khare, P.; et al. Insights into the Effects of Tea Pruning Litter Biochar on Major Micronutrients (Cu, Mn, and Zn) Pathway from Soil to Tea Plant: An Environmental Armour. J. Hazard. Mater. 2023, 442, 129970. [Google Scholar] [CrossRef]
- Meng, L.; Huang, T.; Shi, J.; Chen, J.; Zhong, F.; Wu, L.; Xu, J. Decreasing Cadmium Uptake of Rice (Oryza sativa L.) in the Cadmium-Contaminated Paddy Field through Different Cultivars Coupling with Appropriate Soil Amendments. J. Soils Sediments 2019, 19, 1788–1798. [Google Scholar] [CrossRef]
- Wang, Y.; Zhang, K.; Lu, L.; Xiao, X.; Chen, B. Novel Insights into Effects of Silicon-Rich Biochar (Sichar) Amendment on Cadmium Uptake, Translocation and Accumulation in Rice Plants. Environ. Pollut. 2020, 265, 114772. [Google Scholar] [CrossRef]
- Xing, D.; Cheng, H.; Ning, Z.; Liu, Y.; Lin, S.; Li, Y.; Wang, X.; Hill, P.; Chadwick, D.; Jones, D.L. Field Aging Declines the Regulatory Effects of Biochar on Cadmium Uptake by Pepper in the Soil. J. Environ. Manag. 2022, 321, 115832. [Google Scholar] [CrossRef]
- Wang, Y.-M.; Wang, S.-W.; Wang, C.-Q.; Zhang, Z.-Y.; Zhang, J.-Q.; Meng, M.; Li, M.; Uchimiya, M.; Yuan, A.X.-Y. Simultaneous Immobilization of Soil Cd(II) and As(V) by Fe-Modified Biochar. Int. J. Environ. Res. Public. Health 2020, 17, 827. [Google Scholar] [CrossRef]









| Property | Value |
|---|---|
| Cd contents (mg kg−1) | Not detectable |
| pH | 8.98 ± 0.11 |
| CEC (cmol kg−1) | 21.59 ± 0.63 |
| Specific surface area (m2 g−1) | 28.14 ± 0.46 |
| Total pore volume (ml g−1) | 0.05 ± 0.01 |
| Average pore diameter (nm) | 10.88 ± 0.21 |
| Total C (%) | 43.58 ± 1.09 |
| Total H (%) | 6.91 ± 0.58 |
| Total O (%) | 21.8 ± 0.95 |
| Total N (%) | 1.38 ± 0.03 |
| Total P (%) | 0.13 ± 0.008 |
| Total K (%) | 0.09 ± 0.006 |
| Total S (%) | 0.31 ± 0.01 |
| Year | Treatment | Dry Matter Accumulation in Different Organs of Rice (t ha−1) | |||
|---|---|---|---|---|---|
| Husk | Leaf | Brown Rice | Stem and Sheath | ||
| 1st year | CK | 1.38 ± 0.21 | 2.44 ± 0.16 | 4.60 ± 0.61 | 5.75 ± 0.14 |
| Y | 1.46 ± 0.15 | 2.48 ± 0.09 | 4.85 ± 0.57 | 6.05 ± 0.26 | |
| C1 | 1.47 ± 0.16 | 2.62 ± 0.17 | 4.92 ± 0.42 | 6.47 ± 0.46 | |
| C2 | 1.44 ± 0.15 | 2.46 ± 0.12 | 4.91 ± 0.54 | 6.36 ± 0.16 | |
| C3 | 1.43 ± 0.11 | 2.49 ± 0.22 | 4.74 ± 0.36 | 6.28 ± 0.50 | |
| 2nd year | CK | 1.80 ± 0.21 | 3.17 ± 0.11 | 6.02 ± 0.57 | 7.68 ± 0.00 |
| Y | 1.76 ± 0.11 | 2.80 ± 0.24 | 5.91 ± 0.36 | 7.40 ± 0.09 | |
| C1 | 1.80 ± 0.13 | 2.94 ± 0.17 | 6.09 ± 0.42 | 7.67 ± 0.15 | |
| C2 | 1.83 ± 0.14 | 2.86 ± 0.27 | 6.08 ± 0.54 | 7.51 ± 0.21 | |
| C3 | 1.76 ± 0.17 | 2.82 ± 0.11 | 5.77 ± 0.61 | 7.46 ± 0.49 | |
| 3rd year | CK | 1.37 ± 0.04 | 2.02 ± 0.34 | 4.75 ± 0.19 | 6.03 ± 0.39 |
| Y | 1.45 ± 0.04 | 2.11 ± 0.27 | 5.00 ± 0.17 | 6.10 ± 0.39 | |
| C1 | 1.42 ± 0.07 | 2.10 ± 0.18 | 4.87 ± 0.14 | 6.09 ± 0.40 | |
| C2 | 1.50 ± 0.12 | 2.01 ± 0.02 | 4.97 ± 0.26 | 5.92 ± 0.04 | |
| C3 | 1.49 ± 0.06 | 2.01 ± 0.09 | 4.87 ± 0.27 | 5.96 ± 0.57 | |
| Transfer Factor % | Distribution Factor % | ||||||
|---|---|---|---|---|---|---|---|
| 1st Year | 2nd Year | 3rd Year | 1st Year | 2nd Year | 3rd Year | ||
| Leaf | CK | 2.35 ± 0.18 | 2.32 ± 0.17 | 2.76 ± 0.14 | 6.26 ± 1.40 | 5.29 ± 0.46 | 5.12 ± 0.51 |
| Y | 2.51 ± 0.29 | 2.57 ± 0.24 | 2.76 ± 0.56 | 6.30 ± 0.54 | 5.51 ± 0.14 | 5.25 ± 0.43 | |
| C1 | 2.66 ± 0.40 | 2.47 ± 0.24 | 2.73 ± 0.22 | 6.99 ± 0.24 | 5.52 ± 0.53 | 5.31 ± 0.57 | |
| C2 | 2.74 ± 0.43 | 2.54 ± 0.20 | 2.67 ± 0.28 | 6.86 ± 0.85 | 5.76 ± 0.64 | 4.99 ± 0.40 | |
| C3 | 2.68 ± 0.24 | 2.49 ± 0.12 | 2.68 ± 0.48 | 7.15 ± 1.02 | 5.63 ± 0.29 | 5.10 ± 1.10 | |
| Stem and sheath | CK | 13.95 ± 1.38 | 15.89 ± 0.28 | 15.64 ± 0.34 | 85.97 ± 0.90 | 87.81 ± 0.81 | 86.95 ± 0.69 |
| Y | 14.21 ± 3.28 | 15.35 ± 1.26 | 15.63 ± 0.24 | 85.92 ± 1.41 | 87.20 ± 0.22 | 87.18 ± 1.41 | |
| C1 | 13.08 ± 1.36 | 14.89 ± 0.46 | 15.40 ± 0.33 | 85.29 ± 1.17 | 87.02 ± 1.04 | 86.80 ± 0.90 | |
| C2 | 13.26 ± 3.25 | 14.66 ± 2.54 | 15.81 ± 1.36 | 84.63 ± 1.48 | 86.38 ± 0.98 | 86.88 ± 1.16 | |
| C3 | 12.73 ± 2.07 | 14.60 ± 2.22 | 15.46 ± 0.23 | 84.45 ± 2.22 | 86.50 ± 0.72 | 86.70 ± 1.55 | |
| Brown rice | CK | 0.99 ± 0.07 | 0.98 ± 0.04 | 1.16 ± 0.09 | 4.86 ± 0.46 | 4.24 ± 0.22 | 5.15 ± 0.98 |
| Y | 1.00 ± 0.19 | 0.98 ± 0.04 | 1.05 ± 0.08 | 4.85 ± 0.49 | 4.45 ± 0.44 | 4.83 ± 0.52 | |
| C1 | 0.99 ± 0.15 | 0.99 ± 0.08 | 1.12 ± 0.10 | 4.92 ± 0.72 | 4.60 ± 0.48 | 5.10 ± 0.77 | |
| C2 | 1.04 ± 0.12 | 0.95 ± 0.09 | 1.13 ± 0.18 | 5.20 ± 0.37 | 4.54 ± 0.12 | 5.20 ± 0.82 | |
| C3 | 1.00 ± 0.05 | 0.99 ± 0.13 | 1.12 ± 0.05 | 5.08 ± 0.60 | 4.54 ± 0.58 | 5.16 ± 0.21 | |
| Husk | CK | 1.98 ± 0.06 | 2.07 ± 0.09 | 2.21 ± 0.06 | 2.92 ± 0.09 | 2.66 ± 0.15 | 2.79 ± 0.22 |
| Y | 1.99 ± 0.36 | 2.10 ± 0.29 | 2.06 ± 0.27 | 2.93 ± 0.44 | 2.84 ± 0.31 | 2.75 ± 0.45 | |
| C1 | 1.89 ± 0.32 | 2.09 ± 0.05 | 2.11 ± 0.34 | 2.81 ± 0.47 | 2.86 ± 0.09 | 2.78 ± 0.52 | |
| C2 | 2.22 ± 0.22 | 2.29 ± 0.15 | 2.11 ± 0.23 | 3.32 ± 0.78 | 3.32 ± 0.41 | 2.93 ± 0.20 | |
| C3 | 2.16 ± 0.25 | 2.37 ± 0.18 | 2.16 ± 0.10 | 3.32 ± 0.63 | 3.33 ± 0.33 | 3.04 ± 0.34 | |
| Acrial part | CK | 6.57 ± 0.36 | 7.45 ± 0.21 | 7.65 ± 0.27 | - | - | - |
| Y | 6.77 ± 1.66 | 7.28 ± 0.42 | 7.45 ± 0.25 | - | - | - | |
| C1 | 6.41 ± 0.61 | 7.10 ± 0.10 | 7.46 ± 0.34 | - | - | - | |
| C2 | 6.53 ± 1.24 | 6.94 ± 0.86 | 7.48 ± 0.53 | - | - | - | |
| C3 | 6.32 ± 0.86 | 7.03 ± 0.64 | 7.40 ± 0.31 | - | - | - | |
| F1 | F2 | F3 | F4 | F5 | ||
|---|---|---|---|---|---|---|
| 1st year | CK | 1.14 ± 0.03 a | 0.22 ± 0.01 a | 1.01 ± 0.05 b | 0.23 ± 0.01 a | 0.60 ± 0.03 a |
| Y | 0.93 ± 0.02 bc | 0.22 ± 0.00 a | 1.06 ± 0.04 b | 0.22 ± 0.02 a | 0.64 ± 0.03 a | |
| C1 | 0.99 ± 0.01 b | 0.22 ± 0.01 a | 1.09 ± 0.04 b | 0.23 ± 0.00 a | 0.63 ± 0.03 a | |
| C2 | 0.89 ± 0.04 c | 0.22 ± 0.00 a | 1.26 ± 0.04 a | 0.25 ± 0.02 a | 0.65 ± 0.04 a | |
| C3 | 0.71 ± 0.01 d | 0.22 ± 0.01 a | 1.34 ± 0.04 a | 0.23 ± 0.02 a | 0.65 ± 0.04 a | |
| 2nd year | CK | 1.01 ± 0.02 a | 0.20 ± 0.01 a | 1.10 ± 0.02 d | 0.18 ± 0.01 b | 0.62 ± 0.03 b |
| Y | 0.82 ± 0.04 b | 0.21 ± 0.02 a | 1.18 ± 0.01 cd | 0.21 ± 0.03 ab | 0.63 ± 0.02 b | |
| C1 | 0.88 ± 0.03 b | 0.20 ± 0.01 a | 1.22 ± 0.01 c | 0.20 ± 0.02 ab | 0.64 ± 0.01 b | |
| C2 | 0.67 ± 0.06 c | 0.19 ± 0.00 a | 1.31 ± 0.06 b | 0.23 ± 0.01 ab | 0.69 ± 0.01 a | |
| C3 | 0.54 ± 0.05 d | 0.20 ± 0.00 a | 1.40 ± 0.03 a | 0.24 ± 0.02 a | 0.69 ± 0.03 a | |
| 3rd year | CK | 0.97 ± 0.05 a | 0.21 ± 0.02 a | 1.1 ± 0.04 b | 0.13 ± 0.02 b | 0.69 ± 0.08 a |
| Y | 0.74 ± 0.01 c | 0.22 ± 0.01 a | 1.16 ± 0.06 b | 0.19 ± 0.02 a | 0.74 ± 0.03 a | |
| C1 | 0.83 ± 0.02 b | 0.20 ± 0.00 a | 1.15 ± 0.04 b | 0.20 ± 0.02 a | 0.69 ± 0.07 a | |
| C2 | 0.74 ± 0.01 c | 0.19 ± 0.00 a | 1.21 ± 0.04 ab | 0.21 ± 0.01 a | 0.71 ± 0.04 a | |
| C3 | 0.71 ± 0.04 c | 0.19 ± 0.00 a | 1.31 ± 0.03 a | 0.23 ± 0.02 a | 0.65 ± 0.08 a |
Disclaimer/Publisher’s Note: The statements, opinions and data contained in all publications are solely those of the individual author(s) and contributor(s) and not of MDPI and/or the editor(s). MDPI and/or the editor(s) disclaim responsibility for any injury to people or property resulting from any ideas, methods, instructions or products referred to in the content. |
© 2023 by the authors. Licensee MDPI, Basel, Switzerland. This article is an open access article distributed under the terms and conditions of the Creative Commons Attribution (CC BY) license (https://creativecommons.org/licenses/by/4.0/).
Share and Cite
Sun, X.; Wang, J.; Zhang, M.; Liu, Z.; E, Y.; Lan, Y.; He, T.; Meng, J. Effects of Biochar on the Cd Uptake by Rice and the Cd Fractions in Paddy Soil: A 3-Year Field Experiment. Agronomy 2023, 13, 1335. https://doi.org/10.3390/agronomy13051335
Sun X, Wang J, Zhang M, Liu Z, E Y, Lan Y, He T, Meng J. Effects of Biochar on the Cd Uptake by Rice and the Cd Fractions in Paddy Soil: A 3-Year Field Experiment. Agronomy. 2023; 13(5):1335. https://doi.org/10.3390/agronomy13051335
Chicago/Turabian StyleSun, Xiaoxue, Jiangnan Wang, Miao Zhang, Zunqi Liu, Yang E, Yu Lan, Tianyi He, and Jun Meng. 2023. "Effects of Biochar on the Cd Uptake by Rice and the Cd Fractions in Paddy Soil: A 3-Year Field Experiment" Agronomy 13, no. 5: 1335. https://doi.org/10.3390/agronomy13051335
APA StyleSun, X., Wang, J., Zhang, M., Liu, Z., E, Y., Lan, Y., He, T., & Meng, J. (2023). Effects of Biochar on the Cd Uptake by Rice and the Cd Fractions in Paddy Soil: A 3-Year Field Experiment. Agronomy, 13(5), 1335. https://doi.org/10.3390/agronomy13051335

