Response of Grain Yield to Planting Density and Maize Hybrid Selection in High Latitude China—A Multisource Data Analysis
Abstract
1. Introduction
2. Materials and Methods
2.1. Site Description and Weather Data
2.2. Experimental Design and Field Management
2.3. Sampling and Measurements
2.4. Data Collection from Previous Studies
2.5. Statistical Analysis
3. Results
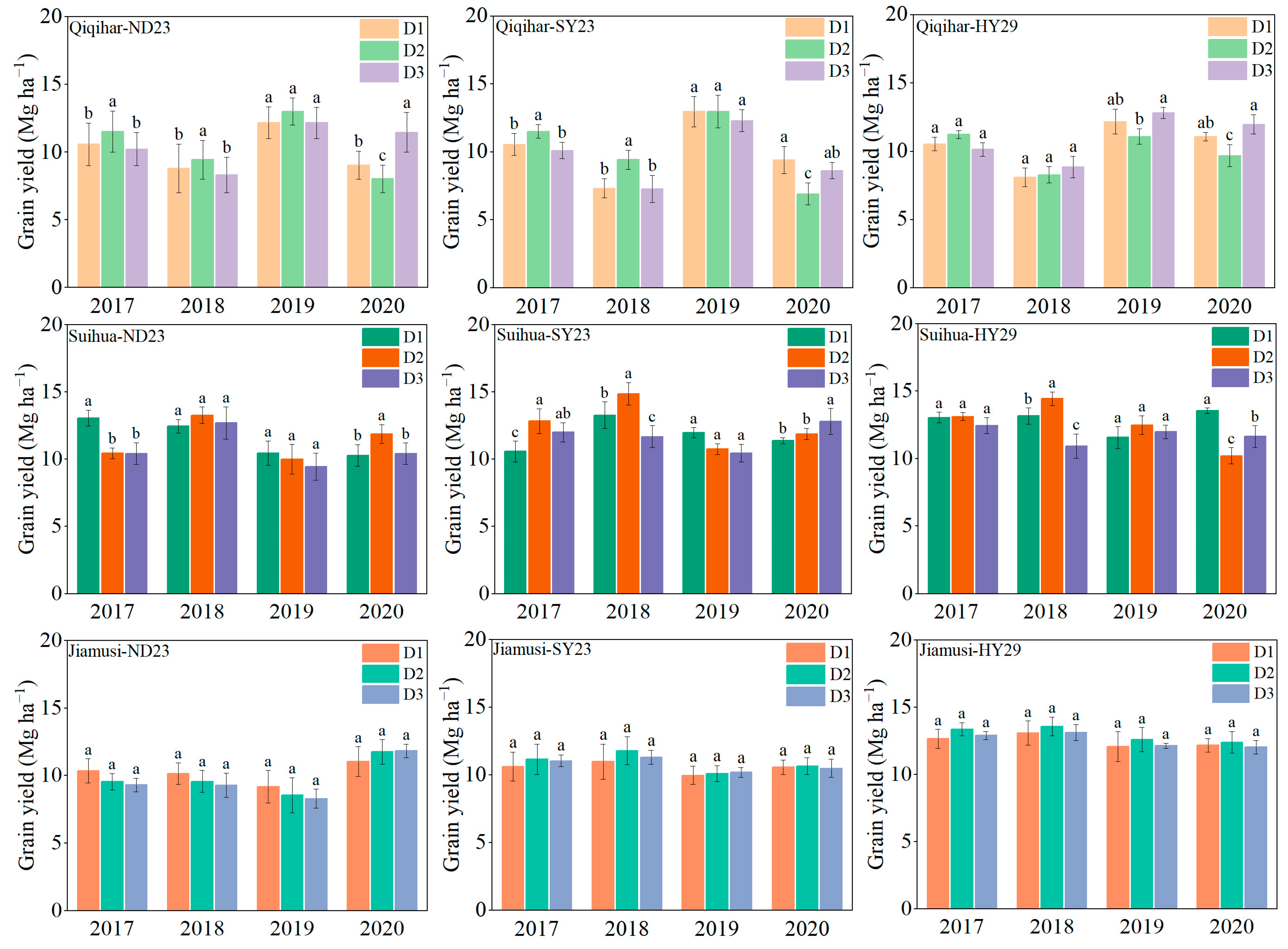
3.1. Maize Yield and Yield Stability Analysis
3.2. Dry Matter Accumulation
3.3. Response of Grain Yield to Plant Density
3.4. Relationship between Solar Radiation and Optimum Plant Density
4. Discussion
4.1. Effect of Dry Matter Accumulation on Grain Yield
4.2. Relationship between Solar Radiation and Planting Density and Yield
4.3. Increasing Planting Density and Hybrid Selection to Increase Maize Yield in High Latitude China
5. Conclusions
Author Contributions
Funding
Institutional Review Board Statement
Informed Consent Statement
Data Availability Statement
Conflicts of Interest
References
- Liu, B.; Chen, X.; Meng, Q.; Yang, H.; van Wart, J. Estimating maize yield potential and yield gap with agro-climatic zones in China—Distinguish irrigated and rainfed conditions. Agr. For. Meteorol. 2017, 239, 108–117. [Google Scholar] [CrossRef]
 - Lorenz, A.J.; Gustafson, T.J.; Coors, J.G.; de Leon, N. Breeding Maize for a Bioeconomy: A Literature Survey Examining Harvest Index and Stover Yield and Their Relationship to Grain Yield. Crop. Sci. 2010, 1, 1–12. [Google Scholar] [CrossRef]
 - Asseng, S.; Cammarano, D.; Basso, B.; Chung, U.; Alderman, P.D.; Sonder, K.; Reynolds, M.; Lobell, D.B. Hot spots of wheat yield decline with rising temperatures. Glob. Chang. Biol. 2017, 6, 2464–2472. [Google Scholar] [CrossRef] [PubMed]
 - Hou, P.; Liu, Y.E.; Liu, W.M.; Liu, G.Z.; Xie, R.Z.; Wang, K.R. How to increase maize production without extra nitrogen input. Resour. Conserv. Recyl. 2020, 160, 104913. [Google Scholar] [CrossRef]
 - Meng, Q.; Hou, P.; Wu, L.; Chen, X.; Cui, Z.; Zhang, F. Understanding production potentials and yield gaps in intensive maize production in China. Field Crop. Res. 2013, 143, 91–97. [Google Scholar] [CrossRef]
 - Duvick, D.N. The contribution of breeding to yield advances in maize (Zea mays L.). Adv. Agron. 2005, 86, 83–145. [Google Scholar]
 - Jaikumar, N.S.; Stutz, S.S.; Fernandes, S.B.; Leakey, A.D.B.; Bernacchi, C.J.; Brown, P.J.; Long, S.P. Can improved canopy light transmission ameliorate loss of photosynthetic efficiency in the shade? An investigation of natural variation in Sorghum bicolor. J. Exp. Bot. 2021, 13, 4965–4980. [Google Scholar] [CrossRef]
 - Rizzo, G.; Monzon, J.P.; Tenorio, F.A.; Howard, R.; Cassman, K.G.; Grassini, P. Climate and agronomy, not genetics, underpin recent maize yield gains in favorable environments. Proc. Natl. Acad. Sci. USA 2022, 4, e2113629119. [Google Scholar] [CrossRef]
 - Zhang, J. China’s success in increasing per capita food production. J. Exp. Bot. 2011, 11, 3707–3711. [Google Scholar]
 - Maddonni, G.A.; Chelle, M.; Drouet, J.L.; Andrieu, B. Light interception of contrasting azimuth canopies under square and rectangular plant spatial distributions: Simulations and crop measurements. Field Crop. Res. 2001, 70, 1–13. [Google Scholar] [CrossRef]
 - Bernhard, B.J.; Below, F.E. Plant population and row spacing effects on corn: Phenotypic traits of positive yield-responsive hybrids. Agron. J. 2020, 3, 1589–1600. [Google Scholar] [CrossRef]
 - Xu, W.J.; Liu, C.W.; Wang, K.R.; Xie, R.Z.; Ming, B.; Wang, Y.H.; Zhang, G.Q.; Liu, G.Z.; Zhao, R.L.; Fan, P.P.; et al. Adjusting maize plant density to different climatic conditions across a large longitudinal distance in China. Field Crop. Res. 2017, 212, 126–134. [Google Scholar] [CrossRef]
 - Ming, B.X.R.Z.; Hou, P.; Li, L.L.; Wang, K.R.; Li, S.K. Changes of maize planting density in China. Sci. Agric. Sin. 2017, 50, 1960–1972. [Google Scholar]
 - National Bureau of Statistics of China (NBSC). China Statistics Yearbook; China Statistics Press: Beijing, China, 2021. [Google Scholar]
 - Qian, C.R.; Yu, Y.; Gong, X.J.; Jiang, Y.B.; Zhao, Y.; Yang, Z.L.; Hao, Y.B.; Li, L.; Song, Z.W.; Zhang, W.J. Response of grain yield to plant density and nitrogen rate in spring maize hybrids relesae from 1970 to 2010 in Northeast China. Crop. J. 2016, 6, 459–467. [Google Scholar] [CrossRef]
 - Gou, L.; Xue, J.; Qi, B.; Ma, B.; Zhang, W. Morphological variation of maize hybrids in response to elevated plant densities. Agron. J. 2017, 4, 1443–1453. [Google Scholar] [CrossRef]
 - Testa, G.; Reyneri, A.; Blandino, M. Maize grain yield enhancement through high plant density cultivation with different inter-row and intra-row spacings. Eur. J. Agron. 2016, 72, 28–37. [Google Scholar] [CrossRef]
 - Li, Y.; Guan, K.; Schnitkey, G.D.; DeLucia, E.; Peng, B. Excessive rainfall leads to maize yield loss of a comparable magnitude to extreme drought in the United States. Glob. Chang. Biol. 2019, 7, 2325–2337. [Google Scholar]
 - Yang, Y.; Xu, W.; Hou, P.; Liu, G.; Liu, W.; Wang, Y.; Zhao, R.; Ming, B.; Xie, R.; Wang, K.; et al. Improving maize grain yield by matching maize growth and solar radiation. Sci. Rep. 2019, 1, 3635. [Google Scholar] [CrossRef]
 - Zhang, Q.; Zhang, L.Z.; Evers, J.C.; van der Werf, W.; Zhang, W.Q.; Duan, L.S. Maize yield and quality in response to plant density and application of a novel plant growth regulator. Field Crop. Res. 2014, 164, 82–89. [Google Scholar] [CrossRef]
 - Chen, G.P. Dry matter production and distribution. J. Maize Sci. 1994, 2, 48–53. [Google Scholar]
 - Donald, C.M.; Hamblin, J. The biological yield and harvest index of cereals as agronomic and plant breeding criteria. Adv. Agron. 1976, 28, 361–405. [Google Scholar]
 - Di Matteo, J.A.; Ferreyra, J.M.; Cerrudo, A.A.; Echarte, L.; Andrade, F.H. Yield potential and yield stability of Argentine maize hybrids over 45 years of breeding. Field Crop. Res. 2016, 197, 107–116. [Google Scholar] [CrossRef]
 - Russell, W.A. Evaluations for plant, ear, and grain traits of maize hybrids representing seven eras of breeding. Maydica 1985, 1, 85–96. [Google Scholar]
 - Tollenaar, M. Genetic improvement in grain yield of commercial maize hybrids grown in Ontario from 1959 to 1988. Crop. Sci. 1989, 29, 1365–1371. [Google Scholar] [CrossRef]
 - Liu, W.M.; Hou, P.; Liu, G.Z.; Yang, Y.S.; Guo, X.X.; Ming, B.; Xie, R.Z.; Wang, K.R.; Liu, Y.E.; Li, S.K. Contribution of total dry matter and harvest index to maize grain yield—A multisource data analysis. Food Energy Secur. 2020, 4, e256. [Google Scholar] [CrossRef]
 - Liu, G.Z.; Yang, Y.S.; Guo, X.X.; Liu, W.M.; Xie, R.Z.; Ming, B.; Xue, J.; Wang, K.R.; Li, S.K.; Hou, P. A global analysis of dry matter accumulation and allocation for maize yield breakthrough from 1.0 to 25.0 Mg ha−1. Resour. Conserv. Recyl. 2023, 188, 106656. [Google Scholar] [CrossRef]
 - Liu, G.Z.; Hou, P.; Xie, R.Z.; Ming, B.; Wang, K.R.; Xu, W.J.; Liu, W.M.; Yang, Y.S.; Li, S.K. Canopy characteristics of high-yield maize with yield potential of 22.5 Mg ha−1. Field Crop. Res. 2017, 213, 221–230. [Google Scholar] [CrossRef]
 - Cao, Y.J.; Wang, L.C.; Gu, W.R.; Wang, Y.J.; Zhang, J.H. Increasing photosynthetic performance and post-silking N uptake by moderate decreasing leaf source of maize under high planting density. J. Integr. Agr. 2021, 2, 494–510. [Google Scholar] [CrossRef]
 - Yang, H.S.; Zhang, Y.Q.; Xu, S.J.; Li, G.H.; Gao, J.L.; Wang, Z.G. Characteristics of dry matter and nutrient accumulation and translocation of super-high-yield spring maize. Plant Nutri. Fertil. Sci. 2012, 18, 315–323. [Google Scholar]
 - Meng, Q.F.; Cui, Z.L.; Yang, H.S.; Zhang, F.S.; Chen, X.P. Establishing high-yielding maize system for sustainable intensification in China. Adv. Agron. 2018, 148, 85–109. [Google Scholar]
 - He, P.; Zhou, W.; Jin, J. Carbon and nitrogen metabolism related to grain formation in two different senescent types of maize. J. Plant Nutr. 2006, 2, 295–311. [Google Scholar] [CrossRef]
 - Tollenaar, M.; Ahmadzadeh, A.; Lee, E.A. Physiological basis of heterosis for grain yield in Maize. Crop. Sci. 2004, 6, 2086–2094. [Google Scholar] [CrossRef]
 - Dordas, C. Dry matter, nitrogen and phosphorus accumulation, partitioning and remobilization as affected by N and P fertilization and source–sink relations. Eur. J. Agron. 2009, 2, 129–139. [Google Scholar] [CrossRef]
 - Ye, Y.X.; Wen, Z.R.; Yang, H.; Lu, W.P.; Lu, D.L. Effects of post-silking water deficit on the leaf photosynthesis and senescence of waxy maize. J. Integr. Agr. 2020, 9, 2216–2228. [Google Scholar] [CrossRef]
 - Gao, J.; Zhao, B.; Dong, S.; Liu, P.; Ren, B.; Zhang, J. Response of summer maize photosynthate accumulation and distribution to shading stress assessed by using (13)CO(2) stable isotope tracer in the Field. Front. Plant Sci. 2017, 8, 1821. [Google Scholar] [CrossRef] [PubMed]
 - Hammad, H.M.; Abbas, F.; Ahmad, A.; Fahad, S.; Laghari, K.Q.; Alharby, H.; Farhad, W. The effect of nutrients shortage on plant’s efficiency to capture solar radiations under semi-arid environments. Environ. Sci. Pollut. Res. Int. 2016, 20, 20497–20505. [Google Scholar] [CrossRef]
 - Liu, G.Z.; Liu, W.M.; Hou, P.; Ming, B.; Yang, Y.S.; Guo, X.X.; Xie, R.Z.; Wang, K.R.; Li, S.K. Reducing maize yield gap by matching plant density and solar radiation. J. Integr. Agr. 2021, 2, 363–370. [Google Scholar] [CrossRef]
 - Wang, Y.; Zhang, Z.; Liang, Y.; Han, Y.; Han, Y.; Tan, J. High potassium application rate increased grain yield of shading-stressed winter wheat by improving photosynthesis and photosynthate translocation. Front. Plant Sci. 2020, 11, 134. [Google Scholar] [CrossRef]
 - Wu, H.Y.; Tang, H.K.; Liu, L.A.; Shi, L.; Zhang, W.F.; Jiang, C.D. Local weak light induces the improvement of photosynthesis in adjacent illuminated leaves in maize seedlings. Physiol. Plant 2021, 1, 125–136. [Google Scholar] [CrossRef]
 - Assefa, Y.; Vara Prasad, P.V.; Carter, P.; Hinds, M.; Bhalla, G.; Schon, R.; Jeschke, M.; Paszkiewicz, S.; Ciampitti, I.A. Yield responses to planting density for U.S. modern corn hybrids: A synthesis-analysis. Crop. Sci. 2016, 5, 2802–2817. [Google Scholar] [CrossRef]
 - Liu, W.; Zhang, J.W.; LÜ, P.; Yang, J.S.; Liu, P.; Dong, S.T.; Li, D.H.; Sun, Q.Q. Effect of plant density on grain yield dry matter accumulation and parti-tioning in summer maize hybrid denghai 661. Acta Agron. Sin. 2011, 7, 1301–1307. [Google Scholar] [CrossRef]
 - Chen, C.Y.; Hou, Y.H.; Sun, R.; Zhu, P.; Dong, Z.Q.; Zhao, M. Effects of planting density on yield performance and density-tolerance analysis for maize hybrids. Acta Agron. Sin. 2010, 7, 1153–1160. [Google Scholar] [CrossRef]
 - Haarhoff, S.J.; Swanepoel, P.A. Plant population and maize grain yield: A global systematic review of rainfed trials. Crop. Sci. 2018, 5, 1819–1829. [Google Scholar] [CrossRef]
 - Luo, N.; Wang, X.Y.; Hou, J.M.; Wang, Y.Y.; Wang, P.; Meng, Q.F. Agronomic optimal plant density for yield improvement in the major maize regions of China. Crop. Sci. 2020, 3, 1580–1590. [Google Scholar] [CrossRef]
 - Ci, X.K.; Li, M.S.; Liang, X.L.; Xie, Z.J.; Zhang, D.G.; Li, X.H.; Lu, Z.Y.; Ru, G.L.; Bai, L.; Xie, C.X.; et al. Genetic contribution to advanced yield for maize hybrids relesae from 1970 to 2000 in China. Crop. Sci. 2011, 1, 13–20. [Google Scholar] [CrossRef]
 - Niu, X.K.; Xie, R.Z.; Liu, X.; Zhang, F.L.; Li, S.K.; Gao, S.J. Maize yield gains in northeast China in the last six decades. J. Integr. Agr. 2013, 4, 630–637. [Google Scholar] [CrossRef]
 - Ci, X.K.; Li, M.S.; Xu, J.S.; Lu, Z.Y.; Bai, P.F.; Ru, G.L.; Liang, X.L.; Zhang, D.G.; Li, X.H.; Bai, L.; et al. Trends of grain yield and plant traits in Chinese maize hybrids from the 1950s to the 2000s. Euphytica 2012, 3, 395–406. [Google Scholar] [CrossRef]
 - Sangoi, L.; Gracietti, M.A.; Rampazzo, C.; Bianchetti, P. Response of Brazilian maize hybrids from different eras to changes in plant density. Field Crop. Res. 2002, 79, 39–51. [Google Scholar] [CrossRef]
 - Ma, D.L.; Li, S.K.; Zhai, L.C.; Yu, X.F.; Xie, R.Z.; Gao, J.L. Response of maize barrenness to density and nitrogen increases in Chinese hybrids relesae from the 1950s to 2010s. Field Crop. Res. 2020, 250, 107766. [Google Scholar] [CrossRef]
 - Wang, T.Y.; Ma, X.L.; Li, Y.; Bai, D.P.; Liu, C.; Liu, Z.Z.; Tan, X.J.; Shi, Y.S.; Song, Y.C.; Carlone, M.; et al. Changes in yield and yield components of single-cross maize hybrids relesae in China between 1964 and 2001. Crop. Sci. 2011, 2, 512–525. [Google Scholar] [CrossRef]
 - Li, Y.; Ma, X.L.; Wang, T.Y.; Li, Y.X.; Liu, C.; Liu, Z.Z.; Sun, B.C. Increasing maize productivity in China by planting hybrids with germplasm that responds favorably to higher planting densities. Crop. Sci. 2011, 6, 2391–2400. [Google Scholar] [CrossRef]
 






| Experimental | Precipitation | Mean Daily Air Temperature | ||||||
|---|---|---|---|---|---|---|---|---|
| Site | (mm) | (°C) | ||||||
| 2017 | 2018 | 2019 | 2020 | 2017 | 2018 | 2019 | 2020 | |
| Qiqihar | 247.0 | 557.5 | 525.0 | 547.0 | 20.0 | 20.0 | 19.2 | 19.6 | 
| Suihua | 388.4 | 442.0 | 778.0 | 698.0 | 19.2 | 19.4 | 18.6 | 19.1 | 
| Jiamusi | 481.2 | 627.6 | 829.0 | 577.0 | 18.9 | 18.5 | 18.1 | 18.8 | 
| Hybrid | Breeding Institute | Year of Release | Relative Maturity | 
|---|---|---|---|
| Nendan23 (ND23)  | Qiqihar Branch of Heilongjiang Academy of Agricultural Science | 2019 | 122 | 
| Suiyu23 (SY23)  | Suihua Branch of Heilongjiang Academy of Agricultural Science | 2011 | 120 | 
| Heyu29 (HY29)  | Jiamusi Branch of Heilongjiang Academy of Agricultural Science | 2017 | 125 | 
| Source | Yield | Ear Density | Kernel Number per Ear | 1000-Kernel Weight | 
|---|---|---|---|---|
| Year (Y) | ** | ** | ** | ** | 
| Hybrid (H) | ** | ** | ns | ** | 
| Density (D) | * | ** | ** | ** | 
| Y × H | ns | ** | ns | ** | 
| Y × D | ns | ns | ns | ** | 
| H × D | * | * | ns | ** | 
| Y × H × D | ns | * | ** | ** | 
| Source of Variation | Population Dry Matter Accumulation (Mg ha−1) | |||
|---|---|---|---|---|
| Silking | Post-Silking | Maturity | ||
| Density (plants ha−1) | 60,000 | 10.19 ± 1.77 a | 11.18 ± 2.88 ab | 27.82 ± 3.49 c | 
| 67,500 | 10.29± 1.73 a | 11.52 ± 3.28 a | 30.93 ± 4.15 b | |
| 75,000 | 10.98 ± 1.94 a | 10.81 ± 3.30 b | 31.73 ± 4.24 a | |
| Hybrid | ND23 | 9.33 ± 1.25 b | 10.47 ± 2.62 b | 29.34 ± 3.07 b | 
| SY23 | 10.33 ± 1.88 ab | 11.17 ± 3.08 ab | 29.52 ± 4.37 b | |
| HY29 | 10.80 ± 1.86 a | 11.92 ± 3.35 a | 31.61 ± 4.41 a | |
| Site | Qiqihar | 11.91 ± 1.51 a | 10.73 ± 3.95 a | 33.05 ± 4.43 a | 
| Suihua | 9.50 ± 1.36 b | 11.18 ± 2.90 a | 27.84 ± 3.58 c | |
| Jiamusi | 10.05 ± 1.25 b | 11.21 ± 2.62 a | 29.59 ± 3.07 b | |
| Year | 2018 | 9.83 ± 1.73 a | 11.31 ± 3.14 a | 30.54 ± 4.27 a | 
| 2019 | 10.39 ± 1.52 a | 10.95 ± 3.46 a | 30.04 ± 3.61 a | |
| 2020 | 10.23 ± 2.45 a | 11.26 ± 3.19 a | 29.89 ± 4.94 a | |
| Density (D) | ns | ns | ** | |
| Hybrid (H) | * | * | * | |
| Site (S) | * | * | ** | |
| Year (Y) | ns | ns | ns | |
| D × H | ns | ns | ** | |
| D × S | * | * | ** | |
| H × S | ** | ** | ** | |
| H× Y | * | * | * | |
| S × Y | ns | ns | * | |
| D × H × S | * | * | * | |
| D × H × Y | ns | ns | * | |
| S × H × Y | * | * | * | |
| D× H × S × Y | * | ** | ** | |
Disclaimer/Publisher’s Note: The statements, opinions and data contained in all publications are solely those of the individual author(s) and contributor(s) and not of MDPI and/or the editor(s). MDPI and/or the editor(s) disclaim responsibility for any injury to people or property resulting from any ideas, methods, instructions or products referred to in the content.  | 
© 2023 by the authors. Licensee MDPI, Basel, Switzerland. This article is an open access article distributed under the terms and conditions of the Creative Commons Attribution (CC BY) license (https://creativecommons.org/licenses/by/4.0/).
Share and Cite
Sun, S.; Huang, Z.; Liu, H.; Xu, J.; Zheng, X.; Xue, J.; Li, S. Response of Grain Yield to Planting Density and Maize Hybrid Selection in High Latitude China—A Multisource Data Analysis. Agronomy 2023, 13, 1333. https://doi.org/10.3390/agronomy13051333
Sun S, Huang Z, Liu H, Xu J, Zheng X, Xue J, Li S. Response of Grain Yield to Planting Density and Maize Hybrid Selection in High Latitude China—A Multisource Data Analysis. Agronomy. 2023; 13(5):1333. https://doi.org/10.3390/agronomy13051333
Chicago/Turabian StyleSun, Shanwen, Zhaofu Huang, Haiyan Liu, Jian Xu, Xu Zheng, Jun Xue, and Shaokun Li. 2023. "Response of Grain Yield to Planting Density and Maize Hybrid Selection in High Latitude China—A Multisource Data Analysis" Agronomy 13, no. 5: 1333. https://doi.org/10.3390/agronomy13051333
APA StyleSun, S., Huang, Z., Liu, H., Xu, J., Zheng, X., Xue, J., & Li, S. (2023). Response of Grain Yield to Planting Density and Maize Hybrid Selection in High Latitude China—A Multisource Data Analysis. Agronomy, 13(5), 1333. https://doi.org/10.3390/agronomy13051333
        
