Effect and Mechanism of Rice-Pasture Rotation Systems on Yield Increase and Runoff Reduction under Different Fertilizer Treatments
Abstract
1. Introduction
2. Materials and Methods
2.1. Experimental Field
2.2. Experimental Design
2.3. Sample Collection
2.4. Metagenomic Library Pooling and Sequencing
2.5. Statistical Analysis
3. Results
3.1. Rice Yield and Nitrogen Contents in Different Parts of Rice
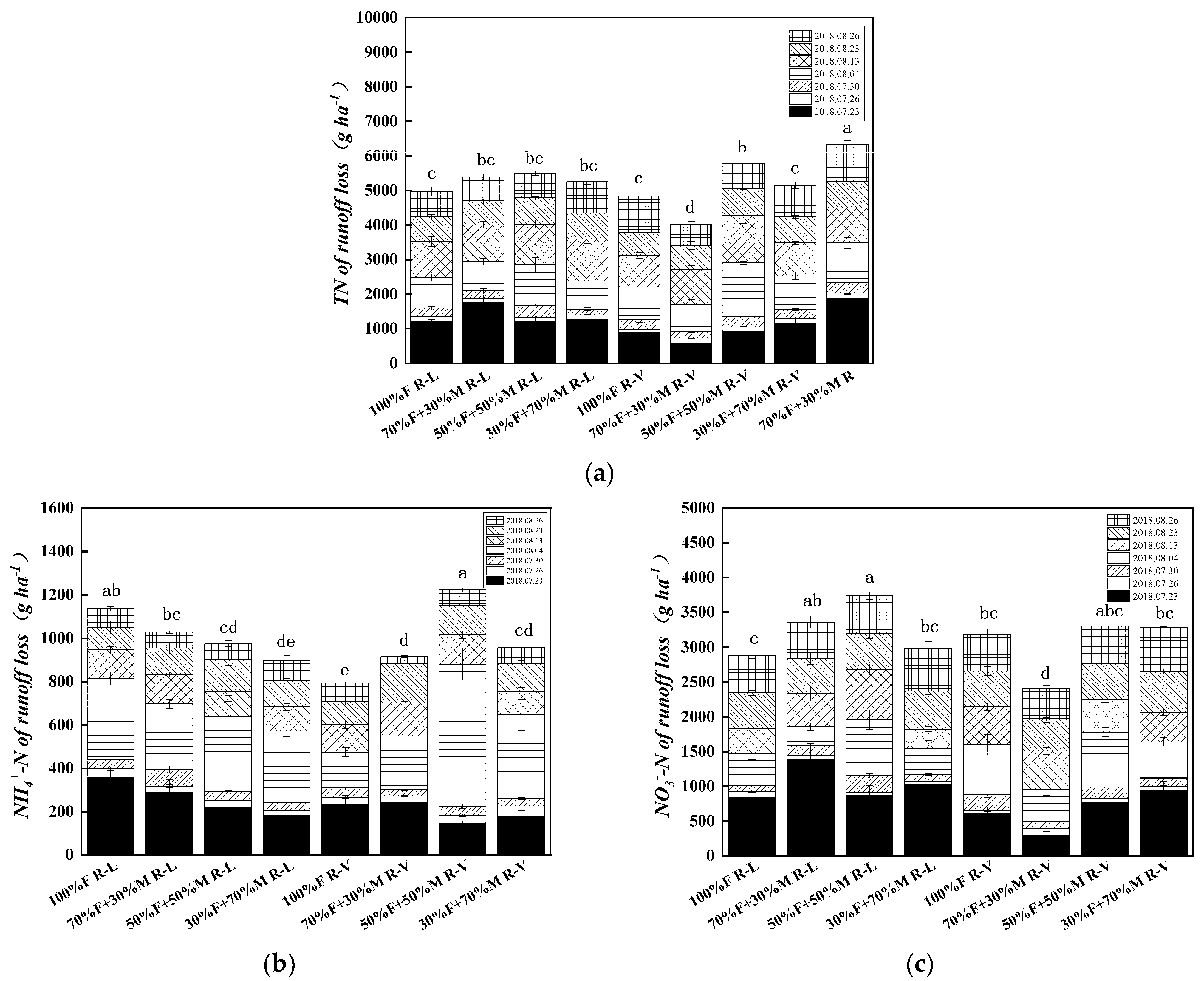
3.2. Nitrogen Loss in Rice Fields during Rainfall Runoff
3.3. Enzyme Activities and Nitrogen Content in Rhizosphere Soil during the Vigorous Growth Period of Rice
3.4. Changes in Soil Microbial Community Structure and LEfSe Analysis Based on KEGG Database
4. Discussion
4.1. Effects on Agricultural Productivity
4.2. Effects on Nitrogen Loss in Rice Fields
5. Conclusions
Author Contributions
Funding
Data Availability Statement
Conflicts of Interest
Appendix A
| Strains | 100% F R-L | 100% F R-V | 70% F—30% M R-L | 70% F—30% M R-V | 70% F—30% M R |
|---|---|---|---|---|---|
| Planctomycetes | 1.86 × 10−3 ± 1.01 × 10−5 a | 1.82 × 10−3 ± 4.88 × 10−5 ab | 1.72 × 10−3 ± 2.02 × 10−5 c | 1.73 × 10−3 ± 8.42 × 10−5 b | 1.81 × 10−3 ± 5.94 × 10−5 ab |
| Alphaproteobacteria | 0.1137 ± 0.0028 ab | 0.1108 ± 0.0061 ab | 0.1093 ± 0.0034 b | 0.1184 ± 0.0070 a | 0.1119 ± 0.0030 ab |
| Rhizobiales | 6.08 × 10−2 ± 1.37 × 10−3 ab | 5.93 × 10−2 ± 2.28 × 10−3 b | 5.93 × 10−2 ± 1.09 × 10−3 b | 6.26 × 10−2 ± 2.28 × 10−3 a | 6.11 × 10−2 ± 7.59 × 10−4 ab |
| Rhodopseudomonas | 4.18 × 10−3 ± 1.74 × 10−4 ab | 4.04 × 10−3 ± 1.68 × 10−4 b | 4.07 × 10−3 ± 8.10 × 10−5 ab | 4.30 × 10−3 ± 0.14 × −3 a | 4.14 × 10−3 ± 8.27 × 10−5 ab |
| Bradyrhizobium | 9.31 × 10−3 ± 4.63 × 10−4 ab | 8.89 × 10−3 ± 3.25 × 10−4 b | 9.11 × 10−3 ± 1.19 × 10−4 ab | 9.68 × 10−3 ± 5.47 × 10−4 a | 9.25 × 10−3 ± 2.85 × 10−4 ab |
| Pseudomonas stutzeri | 4.01 × 10−3 ± 9.29 × 10−5 ab | 4.01 × 10−3 ± 1.41 × 10−4 ab | 4.20 × 10−3 ± 1.98 × 10−4 a | 4.15 × 10−3 ± 1.83 × 10−4 a | 3.86 × 10−3 ± 5.18 × 10−5 b |
| Fusariumoxysporum | 5.98 × 10−4 ± 8.73 × 10−6 ab | 5.80 × 10−4 ± 1.49 × 10−5 b | 5.88 × 10−4 ± 6.99 × 10−6 ab | 5.88 × 10−4 ± 1.17 × 10−5 ab | 6.03 × 10−4 ± 5.59 × 10−6 a |
| Azotobacter Vinelandii | 3.38 × 10−4 ± 8.65 × 10−6 b | 3.38 × 10−4 ± 1.15 × 10−5 b | 3.76 × 10−4 ± 3.01 × 10−5 a | 3.61 × 10−4 ± 2.25 × 10−5 ab | 3.28 × 10−4 ± 5.01 × 10−6 b |
| Pseudomonas denitrificans | 3.96 × 10−6 ± 1.45 × 10−6 a | 3.00 × 10−6 ± 4.84 × 10−7 ab | 2.79 × 10−6 ± 3.76 × 10−7 ab | 2.65 × 10−6 ± 1.45 × 10−7 ab | 2.51 × 10−6 ± 3.27 × 10−7 b |
| 2017 | 2018 | ||||||
|---|---|---|---|---|---|---|---|
| Treatment | Seeds | Stem and Leaf | Treatment | Seeds | Stem and Leaf | Output of Seeds | Output of Stem and Leaf |
| 100% F | 8.393 ± 0.62 b | 3.082 ± 0.433 c | 100% F R-L | 10.033 ± 0.246 a | 5.513 ± 0.868 ab | 94.919 ± 19.366 bc | 33.909 ± 6.012 bc |
| 70% F +30% M | 9.648 ± 1.533 a | 5.536 ± 0.455 a | 70% F +30% M R-L | 9.901 ± 0.192 a | 5.789 ± 0.65 ab | 91.704 ± 26.923 bc | 35.186 ± 9.07 bc |
| 50% F +50% M | 8.329 ± 0.802 bc | 5.005 ± 0.275 b | 50% F +50% M R-L | 9.574 ± 1.003 ab | 5.027 ± 1.05 b | 87.865 ± 2.135 bc | 31.559 ± 5.949 bc |
| 30% F +70% M | 7.209 ± 0.621 c | 3.191 ± 0.471 c | 30% F +70% M R-L | 9.651 ± 1.001 ab | 5.543 ± 0.317 ab | 75.543 ± 7.591 c | 29.617 ± 1.762 c |
| 100% F R-V | 9.647 ± 1.256 ab | 5.59 ± 1.416 ab | 114.601 ± 29.886 b | 42.608 ± 10.816 ab | |||
| 70% F +30% M R-V | 10.947 ± 0.37 a | 6.508 ± 0.581 a | 133.103 ± 4.894 a | 51.273 ± 1.157 a | |||
| 50% F +50% M R-V | 9.807 ± 0.077 ab | 5.069 ± 0.949 ab | 104.024 ± 15.049 b | 35.24 ± 8.24 bc | |||
| 30% F +70% M R-V | 9.911 ± 1.187 a | 5.27 ± 0.834 ab | 101.31 ± 11.222 bc | 35.793 ± 5.345 bc | |||
| 70% F +30% M R | 8.507 ± 0.808 b | 4.648 ± 0.524 b | 72.282 ± 6.658 c | 29.387 ± 2.687 c | |||
References
- Li, Y.; Xiao, J.; Chen, L.; Huang, X.; Cheng, Z.; Han, B.; Zhang, Q.; Wu, C. Rice Functional Genomics Research: Past Decade and Future. Mol. Plant 2018, 11, 359–380. [Google Scholar] [CrossRef]
- Wang, Y.; Lu, Y. Evaluating the potential health and economic effects of nitrogen fertilizer application in grain production systems of China. J. Clean. Prod. 2020, 264, 121635. [Google Scholar] [CrossRef]
- Bangura, K.; Gong, H.; Deng, R.; Tao, M.; Liu, C.; Cai, Y.; Liao, K.; Liu, J.; Qi, L. Simulation analysis of fertilizer discharge process using the Discrete Element Method (DEM). PLoS ONE 2020, 15, e0235872. [Google Scholar] [CrossRef] [PubMed]
- Wu, L.; Jiang, Y.; Zhao, F.; He, X.; Liu, H.; Yu, K. Increased organic fertilizer application and reduced chemical fertilizer application affect the soil properties and bacterial communities of grape rhizosphere soil. Sci. Rep. 2020, 10, 9568. [Google Scholar] [CrossRef]
- Chen, H.; Yu, C.; Li, C.; Xin, Q.; Huang, X.; Zhang, J.; Yue, Y.; Huang, G.; Li, X.; Wang, W. Modeling the impacts of water and fertilizer management on the ecosystem service of rice rotated cropping systems in China. Agric. Ecosyst. Environ. 2016, 219, 49–57. [Google Scholar] [CrossRef]
- Djaman, K.; Mel, V.; Ametonou, F.; El-Namaky, R.; Diallo, M.; Koudahe, K. Effect of nitrogen fertilizer dose and application timing on yield and nitrogen use efficiency of irrigated hybrid rice under semi-arid conditions. J. Agric. Sci. Food Res. 2018, 9, 223. [Google Scholar]
- Xu, K.; Chai, Q.; Hu, F.; Fan, Z.; Yin, W. N-fertilizer postponing application improves dry matter translocation and increases system productivity of wheat/maize intercropping. Sci. Rep. 2021, 11, 22825. [Google Scholar] [CrossRef]
- Wang, X.; Wang, Y.; Zhang, Y.; Xiang, J.; Zhang, Y.; Zhu, D.; Chen, H. The nitrogen topdressing mode of indica-japonica and indica hybrid rice are different after side-deep fertilization with machine transplanting. Sci. Rep. 2021, 11, 1494. [Google Scholar] [CrossRef] [PubMed]
- Anadon, L.D.; Chan, G.; Harley, A.G.; Matus, K.; Moon, S.; Murthy, S.L.; Clark, W.C. Making technological innovation work for sustainable development. Proc. Natl. Acad. Sci. USA 2016, 113, 9682–9690. [Google Scholar] [CrossRef]
- Nkoa, R. Agricultural benefits and environmental risks of soil fertilization with anaerobic digestates: A review. Agron. Sustain. Dev. 2014, 34, 473–492. [Google Scholar] [CrossRef]
- Ammar, E.E.; Aioub, A.A.A.; Elesawy, A.E.; Karkour, A.M.; Mouhamed, M.S.; Amer, A.A.; El-Shershaby, N.A. Algae as Bio-fertilizers: Between current situation and future prospective. Saudi J. Biol. Sci. 2022, 29, 3083–3096. [Google Scholar] [CrossRef]
- Iqbal, A.; He, L.; Ali, I.; Ullah, S.; Khan, A.; Khan, A.; Akhtar, K.; Wei, S.; Zhao, Q.; Zhang, J.; et al. Manure combined with chemical fertilizer increases rice productivity by improving soil health, post-anthesis biomass yield, and nitrogen metabolism. PLoS ONE 2020, 15, e0238934. [Google Scholar] [CrossRef] [PubMed]
- Kumar, U.; Shahid, M.; Tripathi, R.; Mohanty, S.; Kumar, A.; Bhattacharyya, P.; Lal, B.; Gautam, P.; Raja, R.; Panda, B.B.J. Variation of functional diversity of soil microbial community in sub-humid tropical rice-rice cropping system under long-term organic and inorganic fertilization. Ecol. Indic. 2017, 73, 536–543. [Google Scholar] [CrossRef]
- Bandyopadhyay, K.; Misra, A.; Ghosh, P.; Hati, K.M. Effect of integrated use of farmyard manure and chemical fertilizers on soil physical properties and productivity of soybean. Soil Tillage Res. 2010, 110, 115–125. [Google Scholar] [CrossRef]
- Arif, M.; Tasneem, M.; Bashir, F.; Yaseen, G.; Iqbal, R.M. Effect of integrated use of organic manures and inorganic fertilizers on yield and yield components of rice. J. Agric. Res. 2014, 52, 197–206. [Google Scholar]
- Zhang, M.; Yao, Y.; Tian, Y.; Ceng, K.; Zhao, M.; Zhao, M.; Yin, B.J.F. Increasing yield and N use efficiency with organic fertilizer in Chinese intensive rice cropping systems. Field Crops Res. 2018, 227, 102–109. [Google Scholar] [CrossRef]
- Muluneh, M.W.; Talema, G.A.; Abebe, K.B.; Dejen Tsegaw, B.; Kassaw, M.A.; Teka Mebrat, A. Determinants of Organic Fertilizers Utilization Among Smallholder Farmers in South Gondar Zone, Ethiopia. Environ. Health Insig. 2022, 16, 1–9. [Google Scholar] [CrossRef]
- Dobermann, A.; Cassman, K.G. Cereal area and nitrogen use efficiency are drivers of future nitrogen fertilizer consumption. Sci. China Ser. C Life Sci. 2005, 48, 745–758. [Google Scholar]
- Pramanik, P.; Haque, M.M.; Kim, P.J. Effect of nodule formation in roots of hairy vetch (Vicia villosa) on methane and nitrous oxide emissions during succeeding rice cultivation. Agric. Ecosyst. Environ. 2013, 178, 51–56. [Google Scholar] [CrossRef]
- Nyfeler, D.; Huguenin-Elie, O.; Suter, M.; Frossard, E.; Lüscher, A. Grass–legume mixtures can yield more nitrogen than legume pure stands due to mutual stimulation of nitrogen uptake from symbiotic and non-symbiotic sources. Agric. Ecosyst. Environ. 2011, 140, 155–163. [Google Scholar] [CrossRef]
- Hu, J.; Jin, V.L.; Konkel, J.Y.M.; Schaeffer, S.M.; Schneider, L.G.; DeBruyn, J.M. Soil Health Management Enhances Microbial Nitrogen Cycling Capacity and Activity. Msphere 2021, 6, e01237-20. [Google Scholar] [CrossRef] [PubMed]
- Li, T.; Gao, J.; Bai, L.; Wang, Y.; Huang, J.; Kumar, M.; Zeng, X. Influence of green manure and rice straw management on soil organic carbon, enzyme activities, and rice yield in red paddy soil. Soil Till. Res. 2019, 195, 104428. [Google Scholar] [CrossRef]
- Cui, N.; Cai, M.; Zhang, X.; Abdelhafez, A.A.; Zhou, L.; Sun, H.; Chen, G.; Zou, G.; Zhou, S. Runoff loss of nitrogen and phosphorus from a rice paddy field in the east of China: Effects of long-term chemical N fertilizer and organic manure applications. Glob. Ecol. Conserv. 2020, 22, e01011. [Google Scholar] [CrossRef]
- Li, Y.; Pan, F.; Yao, H. Response of symbiotic and asymbiotic nitrogen-fixing microorganisms to nitrogen fertilizer application. J. Soil Sediment 2019, 19, 1948–1958. [Google Scholar] [CrossRef]
- Walker, D.M.; Murray, C.M.; Talbert, D.; Tinker, P.; Graham, S.P.; Crowther, T.W. A salamander’s top down effect on fungal communities in a detritivore ecosystem. Fems Microbiol. Ecol. 2018, 94, fiy168. [Google Scholar] [CrossRef]
- Bao, S. Soil Agrochemical Analysis; China Agricultural Press: Beijing, China, 2000; Volume 67, p. 72. [Google Scholar]
- Xue, F.; Liu, T. DNA sequence and community structure diversity of multi-year soil fungi in Grape of Xinjiang. Sci. Rep. 2021, 11, 16367. [Google Scholar] [CrossRef]
- Moe, K.; Mg, K.W.; Win, K.K.; Yamakawa, T. Effects of combined application of inorganic fertilizer and organic manures on nitrogen use and recovery efficiencies of hybrid rice (Palethwe-1). Am. J. Plant Sci. 2017, 8, 1043. [Google Scholar] [CrossRef]
- Hou, M.; Yu, M.; Li, Z.; Ai, Z.; Chen, J. Molecular Regulatory Networks for Improving Nitrogen Use Efficiency in Rice. Int. J. Mol. Sci. 2021, 22, 9040. [Google Scholar] [CrossRef]
- Maalcke, W.J.; Reimann, J.; De Vries, S.; Butt, J.N.; Dietl, A.; Kip, N.; Mersdorf, U.; Barends, T.R.; Jetten, M.S.; Keltjens, J.T. Characterization of anammox hydrazine dehydrogenase, a key N2-producing enzyme in the global nitrogen cycle. J. Biol. Chem. 2016, 291, 17077–17092. [Google Scholar] [CrossRef]
- Van Kessel, M.A.; Speth, D.R.; Albertsen, M.; Nielsen, P.H.; Op den Camp, H.J.; Kartal, B.; Jetten, M.S.; Lücker, S. Complete nitrification by a single microorganism. Nature 2015, 528, 555–559. [Google Scholar] [CrossRef]
- Zehr, J.P.; Jenkins, B.D.; Short, S.M.; Steward, G.F. Nitrogenase gene diversity and microbial community structure: A cross-system comparison. Environ. Microbiol. 2003, 5, 539–554. [Google Scholar] [CrossRef] [PubMed]
- Zhang, Y.; Burris, R.; Ludden, P.; Roberts, G. Posttranslational regulation of nitrogenase activity by anaerobiosis and ammonium in Azospirillum brasilense. J. Bacteriol. 1993, 175, 6781–6788. [Google Scholar] [CrossRef]
- Schott, J.; Griffin, B.M.; Schink, B. Anaerobic phototrophic nitrite oxidation by Thiocapsa sp. strain KS1 and Rhodopseudomonas sp. strain LQ17. Microbiology 2010, 156, 2428–2437. [Google Scholar] [CrossRef] [PubMed]
- Yen, K.S.; Sundar, L.S.; Chao, Y.Y. Foliar Application of Rhodopseudomonas palustris Enhances the Rice Crop Growth and Yield under Field Conditions. Plants 2022, 11, 2452. [Google Scholar] [CrossRef] [PubMed]
- Lee, J.; Choi, H.L. The dynamics of nitrogen derived from a chemical nitrogen fertilizer with treated swine slurry in paddy soil-plant systems. PLoS ONE 2017, 12, e0174747. [Google Scholar] [CrossRef] [PubMed]
- Müller, S.; Széliová, D.; Zanghellini, J. Elementary vectors and autocatalytic sets for resource allocation in next-generation models of cellular growth. PLoS Comput. Biol. 2022, 18, e1009843. [Google Scholar] [CrossRef]
- Zhao, J.; Chen, J.; Beillouin, D.; Lambers, H.; Yang, Y.; Smith, P.; Zeng, Z.; Olesen, J.E.; Zang, H. Global systematic review with meta-analysis reveals yield advantage of legume-based rotations and its drivers. Nat. Commun. 2022, 13, 4926. [Google Scholar] [CrossRef]
- Mazzoncini, M.; Sapkota, T.B.; Bàrberi, P.; Antichi, D.; Risaliti, R. Long-term effect of tillage, nitrogen fertilization and cover crops on soil organic carbon and total nitrogen content. Soil Till. Res. 2011, 114, 165–174. [Google Scholar] [CrossRef]
- Pramanik, P.; Haque, M.M.; Kim, S.Y.; Kim, P.J. C and N accumulations in soil aggregates determine nitrous oxide emissions from cover crop treated rice paddy soils during fallow season. Sci. Total Environ. 2014, 490, 622–628. [Google Scholar] [CrossRef]
- Daims, H.; Lücker, S.; Wagner, M. A new perspective on microbes formerly known as nitrite-oxidizing bacteria. Trends Microbiol. 2016, 24, 699–712. [Google Scholar] [CrossRef]
- Diaz-Barrera, A.; Soto, E. Biotechnological uses of Azotobacter vinelandii: Current state, limits and prospects. Afr. J. Biotechnol. 2010, 9, 5240–5250. [Google Scholar]
- Peiffer, J.A.; Spor, A.; Koren, O.; Jin, Z.; Tringe, S.G.; Dangl, J.L.; Buckler, E.S.; Ley, R.E. Diversity and heritability of the maize rhizosphere microbiome under field conditions. Proc. Natl. Acad. Sci. USA 2013, 110, 6548–6553. [Google Scholar] [CrossRef]
- Noar, J.; Bruno-Bárcena, J.M. Azotobacter vinelandii: The source of 100 years of discoveries and many more to come. Microbiology 2018, 164, 421–436. [Google Scholar] [CrossRef]
- Annapurna, K.; Govindasamy, V.; Sharma, M.; Rajrana, Y.; Swarnalakshmi, K.; Paul, S.; Ghosh, A.; Chikara, S.K. Draft genome sequence of Pseudomonas stutzeri strain KMS 55, an endophytic diazotroph isolated from rice roots. Genome Announc. 2017, 5, e00972-17. [Google Scholar] [CrossRef]
- Han, Y.; Wang, R.; Yang, Z.; Zhan, Y.; Ma, Y.; Ping, S.; Zhang, L.; Lin, M.; Yan, Y. 1-aminocyclopropane-1-carboxylate deaminase from Pseudomonas stutzeri A1501 facilitates the growth of rice in the presence of salt or heavy metals. J. Microbiol. Biotechn. 2015, 25, 1119–1128. [Google Scholar] [CrossRef]
- Shu, X.; Wang, Y.; Wang, Y.; Ma, Y.; Men, M.; Zheng, Y.; Xue, C.; Peng, Z.; Noulas, C. Response of soil N2O emission and nitrogen utilization to organic matter in the wheat and maize rotation system. Sci. Rep. 2021, 11, 4396. [Google Scholar] [CrossRef] [PubMed]
- Rudinskienė, A.; Marcinkevičienė, A.; Velička, R.; Kosteckas, R.; Kriaučiūnienė, Z.; Vaisvalavičius, R. The Comparison of Soil Agrochemical and Biological Properties in the Multi-Cropping Farming Systems. Plants 2022, 11, 774. [Google Scholar] [CrossRef]
- Hua, L.I.; Liang, X.; Yingxu, C.; Yanfeng, L.I.A.N.; Guangming, T.; Wuzhong, N. Effect of nitrification inhibitor DMPP on nitrogen leaching, nitrifying organisms, and enzyme activities in a rice-oilseed rape cropping system. J. Environ. Sci. 2008, 20, 149–155. [Google Scholar]
- Fu, Q.; Abadie, M.; Blaud, A.; Carswell, A.; Misselbrook, T.H.; Clark, I.M.; Hirsch, P.R. Effects of urease and nitrification inhibitors on soil N, nitrifier abundance and activity in a sandy loam soil. Biol. Fert. Soils 2020, 56, 185–194. [Google Scholar] [CrossRef]
- Wang, S.; Guo, S.; Zhai, L.; Hua, L.; Khoshnevisan, B.; Wang, H.; Liu, H. Comprehensive effects of integrated management on reducing nitrogen and phosphorus loss under legume-rice rotations. J. Clean. Prod. 2022, 361, 132031. [Google Scholar] [CrossRef]
- Tang, Q.; Cotton, A.; Wei, Z.; Xia, Y.; Daniell, T.; Yan, X. How does partial substitution of chemical fertiliser with organic forms increase sustainability of agricultural production? Sci. Total Environ. 2022, 803, 149933. [Google Scholar] [CrossRef] [PubMed]
- Liao, Y.; Zhuo, M.; Li, D.; Guo, T.; Li, J.; Xie, Z. Formulated fertilization for reducing nitrogen and phosphorus losses from paddy fields and increasing rice yield. Trans. Chin. Soc. Agric. Eng. 2013, 29, 210–217. [Google Scholar]
- Zhao, Z.; Sha, Z.; Liu, Y.; Wu, S.; Zhang, H.; Li, C.; Zhao, Q.; Cao, L. Modeling the impacts of alternative fertilization methods on nitrogen loading in rice production in Shanghai. Sci. Total. Environ. 2016, 566, 1595–1603. [Google Scholar] [CrossRef] [PubMed]
- Zhao, W.; Liang, H.; Fu, Y.; Liu, Y.; Yang, C.; Zhang, T.; Wang, T.; Rong, L.; Zhang, S.; Wu, Z.; et al. Effects of different fertilization modes on rice yield and quality under a rice-crab culture system. PLoS ONE 2020, 15, e0230600. [Google Scholar] [CrossRef] [PubMed]
- Yu, Y.; Xue, L.; Yang, L. Winter legumes in rice crop rotations reduces nitrogen loss, and improves rice yield and soil nitrogen supply. Agron. Sustain. Dev. 2014, 34, 633–640. [Google Scholar] [CrossRef]
- Shao, C.H.; Qiu, C.F.; Qian, Y.F.; Liu, G.R. Nitrate deficiency decreased photosynthesis and oxidation-reduction processes, but increased cellular transport, lignin biosynthesis and flavonoid metabolism revealed by RNA-Seq in Oryza sativa leaves. PLoS ONE 2020, 15, e0235975. [Google Scholar] [CrossRef]
- Yu, Q.; Ma, J.; Zou, P.; Lin, H.; Sun, W.; Yin, J.; Fu, J. Effects of combined application of organic and inorganic fertilizers plus nitrification inhibitor DMPP on nitrogen runoff loss in vegetable soils. Environ. Sci. Pollut. Res. Int. 2015, 22, 472–481. [Google Scholar] [CrossRef]
- Agüera, E.; de la Haba, P. Climate Change Impacts on Sunflower (Helianthus annus L.) Plants. Plants 2021, 10, 2646. [Google Scholar] [CrossRef]
- Raghuram, N.; Aziz, T.; Kant, S.; Zhou, J.; Schmidt, S. Nitrogen Use Efficiency and Sustainable Nitrogen Management in Crop Plants. Front. Plant Sci. 2022, 13, 637108. [Google Scholar] [CrossRef]
- Ko, H.-J.; Tsai, C.-Y.; Chiou, S.-J.; Lai, Y.-L.; Wang, C.-H.; Cheng, J.-T.; Chuang, T.-H.; Huang, C.-Y.F.; Kwan, A.-L.; Loh, J.-K. The phosphorylation STATUS of Drp1-Ser637 by PKA in mitochondrial fission modulates mitophagy via PINK1/Parkin to exert multipolar spindles assembly during mitosis. Biomolecules 2021, 11, 424. [Google Scholar] [CrossRef]
- Lin, Y.; Huang, L.; Zhang, X.; Yang, J.; Chen, X.; Li, F.; Liu, J.; Huang, R. Multi-omics analysis reveals anti-Staphylococcus aureus activity of Actinomycin D originating from Streptomyces parvulus. Int. J. Mol. Sci. 2021, 22, 12231. [Google Scholar] [CrossRef] [PubMed]




| pH | TP | TN | NH4+-N | NO3−-N | COD | |
|---|---|---|---|---|---|---|
| Background value of diary manure slurry (mg L−1) | 8.89 | 21.5 | 6015.56 | 2635.7 | 608.65 | 9512 |
| Nutrient input amount (kg ha−1) | - | 1.63 | 457.18 | 200.31 | 46.26 | 722.91 |
| Rotation Period | Date | Management Item | Notes |
|---|---|---|---|
| Rice season | 30 May 2017 | Base fertilizer application and transplanting rice seedlings | Water sample collection time: 05/30, 06/08, 06/18, 06/28, 07/08, 07/18, 07/28, 08/07, 08/17, 08/27, 09/06, 09/16 |
| 17 June 2017 | Fertilizer application at tillering stage | ||
| 6 August 2017 | Fertilizer application at heading stage | ||
| 1 October 2017 | Harvest and yield measurement | ||
| Herbage season | 18 October 2017 | Soil preparation | |
| 19 October 2017 | Seed sowing | Both species of forage were seeded at 150 g 30 m−2 | |
| 22 February 2018 | The first cut of Villose Vetch | ||
| 24 February 2018 | Dairy manure slurry application | Each plot was applied with 108 L of dairy manure slurry | |
| 3 April 2018 | The first cut of ryegrass | ||
| 9 April 2018 | Dairy manure slurry application | Each plot was applied with 120 L of dairy manure slurry | |
| 17 May 2018 | The second cut of Villose Vetch and ryegrass |
| Year | Treatment | Total Fertilization | |||
|---|---|---|---|---|---|
| Urea (N, 46.4%) | Superphosphate (P2O5, 16%) | Potassium Sulfate (K2O, 50%) | Fresh Dairy Manure | ||
| 2017 | 100% F | 344.83 | 418.73 | 116 | 0 |
| 70% F—30% M | 241.37 | 418.73 | 116 | 9793.87 | |
| 50% F—50% M | 172.4 | 418.73 | 116 | 16,323.13 | |
| 30% F—70% M | 103.43 | 418.73 | 116 | 22,852.37 | |
| 2018 | 100% F | 345 | 687 | 116 | 0 |
| 70% F—30% M | 265 | 481 | 116 | 7535 | |
| 50% F—50% M | 212 | 343 | 116 | 12,559 | |
| 30% F—70% M | 159 | 206 | 116 | 17,582 | |
| Treatment | Grain (kg ha−1) | Stem (kg ha−1) | Harvest Index (%) |
|---|---|---|---|
| 100% F R-L | 9433 b | 6167 bc | 60.47 a |
| 70% F—30% M R-L | 9233 b | 6067 bc | 60.35 a |
| 50% F—50% M R-L | 9233 b | 6300 bc | 59.44 ab |
| 30% F—70% M R-L | 7933 b | 5367 c | 59.65 ab |
| 100% F R-V | 11,733 ab | 7633 a | 60.59 a |
| 70% F—30% M R-V | 12,167 a | 7933 a | 60.53 a |
| 50% F—50% M R-V | 10,600 ab | 6933 ab | 60.46 a |
| 30% F—70% M R-V | 10,233 ab | 6800 ab | 60.08 a |
| 70% F—30% M R | 8500 bc | 6333 bc | 57.30 b |
| CK-R | 5900 c | 4567 c | 56.37 b |
| Treatment | NO3−-N (%) | NH4+-N (%) |
|---|---|---|
| 100% F R-L | 0.445 ± 0.038 a | 0.299 ± 0.018 bc |
| 100% F R-V | 0.427 ± 0.079 a | 0.349 ± 0.069 ab |
| 70% F—30% M R-L | 0.258 ± 0.041 c | 0.289 ± 0.039 bc |
| 70% F—30% M R-V | 0.276 ± 0.042 bc | 0.281 ± 0.017 c |
| 50% F—50% M R-L | 0.372 ± 0.085 a | 0.327 ± 0.022 abc |
| 50% F—50% M R-V | 0.361 ± 0.014 ab | 0.379 ± 0.061 a |
| 30% F—70% M R-L | 0.225 ± 0.034 c | 0.293 ± 0.005 bc |
| 30% F—70% M R-V | 0.260 ± 0.059 c | 0.304 ± 0.013 bc |
Disclaimer/Publisher’s Note: The statements, opinions and data contained in all publications are solely those of the individual author(s) and contributor(s) and not of MDPI and/or the editor(s). MDPI and/or the editor(s) disclaim responsibility for any injury to people or property resulting from any ideas, methods, instructions or products referred to in the content. |
© 2023 by the authors. Licensee MDPI, Basel, Switzerland. This article is an open access article distributed under the terms and conditions of the Creative Commons Attribution (CC BY) license (https://creativecommons.org/licenses/by/4.0/).
Share and Cite
Xing, Y.; Wang, C.; Li, Z.; Chen, J.; Li, Y. Effect and Mechanism of Rice-Pasture Rotation Systems on Yield Increase and Runoff Reduction under Different Fertilizer Treatments. Agronomy 2023, 13, 866. https://doi.org/10.3390/agronomy13030866
Xing Y, Wang C, Li Z, Chen J, Li Y. Effect and Mechanism of Rice-Pasture Rotation Systems on Yield Increase and Runoff Reduction under Different Fertilizer Treatments. Agronomy. 2023; 13(3):866. https://doi.org/10.3390/agronomy13030866
Chicago/Turabian StyleXing, Yun, Chunxue Wang, Zuran Li, Jianjun Chen, and Yuan Li. 2023. "Effect and Mechanism of Rice-Pasture Rotation Systems on Yield Increase and Runoff Reduction under Different Fertilizer Treatments" Agronomy 13, no. 3: 866. https://doi.org/10.3390/agronomy13030866
APA StyleXing, Y., Wang, C., Li, Z., Chen, J., & Li, Y. (2023). Effect and Mechanism of Rice-Pasture Rotation Systems on Yield Increase and Runoff Reduction under Different Fertilizer Treatments. Agronomy, 13(3), 866. https://doi.org/10.3390/agronomy13030866
