Abstract
The fragrance in rice plays a significant role in consumer decisions and is influenced by many environmental factors, e.g., water and fertilizer application during cultivation and post-harvest management. Manganese (Mn) is an essential micronutrient for plant growth and development, and its effects on the fragrance and yield of fragrant rice varieties have not been well-studied. The aim of this research was to determine the effects of Mn application rates on the 2-acetyl-1-pyrroline (2AP) content, yield and gene expression of Thai fragrant varieties. Three rice varieties, i.e., BNM4, KDML105 and KH-CMU, were grown in pots with varying concentrations of MnSO4—150, 200 and 250 mg kg−1 soil—and compared with a control with no Mn application (Mn0). At maturity, the grain yield was evaluated, and the 2AP was analyzed with GC-MS as the grain aroma content. Taken together, the results suggest that Mn application during cultivation tends to increase the 2AP content of fragrant rice and its productivity and tends to affect gene expression. However, it is important to conduct further studies to evaluate the responses for more fragrant rice varieties and additional gene expression, including the determination of key intermediate compounds along the 2AP biosynthesis pathway to confirm the effect of Mn application on fragrant rice. This information could be useful in assisting plant breeders and physiologists in their efforts to improve the crop productivity and grain quality of fragrant rice varieties.
1. Introduction
Rice (Oryza sativa L.) is one of the major cereal crops in the world [1]. Fragrant rice is one type of rice considered to have premium grain quality with aroma characteristics, and its unique flavor and high economic value are of particular importance to consumers worldwide [2,3].
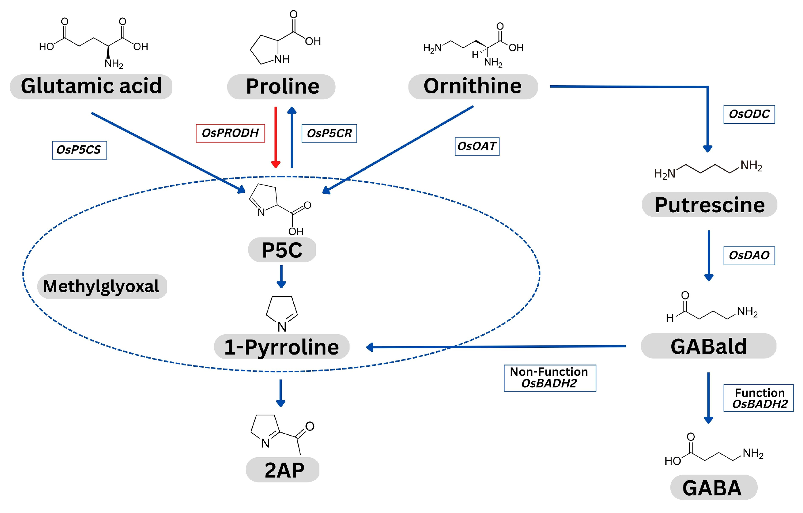
With advances in biotechnology, the mechanism of rice aroma synthesis is being studied in greater detail. 2-Acetyl-1-Pyrroline (2AP) has been found to be the major aromatic compound among the fragrant rice varieties [4], which can be influenced by the interaction between rice varieties and environmental conditions [5]. The compound 2AP is synthesized through a polyamine pathway and contains the precursor amino acid proline [6], which is regulated by the malfunctioning of the OsBADH2 gene (betaine aldehyde dehydrogenase 2). On the other hand, functional OsBADH2 inhibits the synthesis of 2AP, which renders rice grains non-aromatic [7] by catalyzing the oxidation of γ-aminobutyraldehyde (GABald) to γ-aminobutyric acid (GABA). Additionally, Okpala et al. [8] reported the accumulation of GABald in plant tissues as the substrate, thus producing Δ1-pyrolline before being converted into the 2AP compound. However, if the OsBADH2 gene is mutated, it becomes a recessive gene due to the absence of eight nucleotides at exon 7 [9,10]. A positive correlation between the amount of the 2AP compound and the proline content was observed [11], and the role of OsPRODH gene-inducing activity of the proline dehydrogenase (PDH) enzyme responsible for the proline precursor’s conversion to 1-pyrroline-5-carboxylate (P5C) was studied. In addition, other studies have reported the association between P5C and enzyme activities involved in 2AP synthesis [12,13]. An increase in P5C and 1-pyrrolyne content was reported to result in an increase in 2AP biosynthesis through OsPRODH, OsP5CS and OsOAT gene expression [11] (Figure 1).
On the other hand, environmental factors play a vital role in defining rice aroma [14]. In high-pH soils, manganese (Mn) deficiency has become a major nutritional problem affecting plant growth and productivity [15]. Mn is an essential element in virtually all living organisms; it is an essential micronutrient for plants during photosynthesis, acting as a cofactor of enzymes required for the synthesis of chlorophyll and for maintaining the integrity of the membrane structure of chlorophyll [16]. Therefore, severe Mn deficiency can cause the decay of chloroplasts [17] and severely reduce plant growth and yield [18,19]. As for its other functions in plants, Mn is also active in ATP synthesis [20], CO2 uptake [21] and nitrate uptake [22].
The role of Mn in the mechanism of 2AP biosynthesis is of interest for the cultivation of two fragrant Chinese rice varieties (Meixiangzhan and Nongxiang18). It has been found that Mn induces the accumulation of proline and P5C in rice, which serve as important precursors of 2AP. Mn has also been observed to increase the activity of P5CS and PRODH, which are enzymes directly involved in 2AP synthesis [13]. Additionally, Mn has been found to significantly increase the accumulation of 2AP in rice leaves from the tillering stage to the heading stage [23]. However, the role of Mn in 2AP’s biosynthesis mechanism has not been sufficiently studied for the knowledge to be applied or transferred to farmers. We hypothesized that Mn application may have a positive effect on yield and 2AP concentration by regulating the gene expression of OsPRODH in Thai fragrant rice. Therefore, the objective of this study was to evaluate the responses of Thai fragrant rice varieties to Mn application rates and their effects on 2AP content and yield in order to improve the quality of Thai fragrant rice. This information will also be useful for the development of other types of fragrant rice that can meet consumer demand.
Figure 1.
Biosynthesis pathway for 2AP in scented rice varieties. OsP5CS: 1-pyrroline-5 carboxylate synthetase; OsP5CR: pyrroline-5 carboxylate reductase; OsOAT: ornithine aminotransferase; OsPRODH: proline dehydrogenase; OsODC: ornithine decarboxylase; OsDAO: diamine oxidase; P5C: 1-pyrroline-5 carboxylic acid; OsBADH2: betaine aldehyde dehydrogenase; 2AP: 2-acetyl-1-pyrroline; GABA: γ-aminobutyric acid; GABald: γ-amino butyraldehyde. (Adapted from [24]).
Figure 1.
Biosynthesis pathway for 2AP in scented rice varieties. OsP5CS: 1-pyrroline-5 carboxylate synthetase; OsP5CR: pyrroline-5 carboxylate reductase; OsOAT: ornithine aminotransferase; OsPRODH: proline dehydrogenase; OsODC: ornithine decarboxylase; OsDAO: diamine oxidase; P5C: 1-pyrroline-5 carboxylic acid; OsBADH2: betaine aldehyde dehydrogenase; 2AP: 2-acetyl-1-pyrroline; GABA: γ-aminobutyric acid; GABald: γ-amino butyraldehyde. (Adapted from [24]).

2. Materials and Methods
2.1. Experimental Design
Three Thai fragrant rice varieties were selected for testing in this study: Buer Ner Moo 4 (BNM4, a local variety with a colorless pericarp), Khao Dok Mali 105 (KDML105, a popular jasmine variety with a colorless pericarp), and Kum Hom Morchor (KH-CMU, a local variety with a purple pericarp) (Table 1).
Table 1.
Description of Thai fragrant rice varieties.
A greenhouse experiment was conducted at the Mae Hia Agricultural Research, Demonstrative and Training Center of the Faculty of Agriculture, Chiang Mai University (18°45′ N, 98°55′ E and 300 m above sea level), Chiang Mai, Thailand, between August and November 2021. The soil profile analysis revealed the following details: 0.30% organic matter content, 0.02% total nitrogen (N), unable to detect available phosphorus (P), 15.66 mg kg−1 exchangeable potassium (K) and 3.59 mg kg−1 available manganese (Mn).
After soaking for 24 h and when the seeds began to germinate, the fragrant rice seeds were sown in a seed tray for nursery raising. Then, 20-day-old seedlings were transplanted to 30 cm diameter undrained pots, at a density of five plants per pot; each pot was replicated three times. The plants were grown as wetland rice, with 10 cm of water maintained above the soil surface. A mixed fertilizer containing 15% N, 15% P2O2 and 15% K2O was applied at a rate of 1.0 g pot−1 7 days after transplantation, and a mixed fertilizer containing 46% N was applied at a rate of 0.5 g pot−1 30 days after transplantation. This study employed a completely randomized design with a factorial treatment design. The first factor was the three rice varieties, and the second factor was four Mn (MnSO4) rates comprising the control pot without Mn application (Mn0) and those with Mn application at rates of 150 mg kg−1, 200 mg kg−1 and 250 mg kg−1. The application of Mn was divided into three splits: 35%, 35% and 30% 7, 30 and 45 days after transplantation, respectively, to prevent toxicity.
2.2. Total RNA Extraction and cDNA Synthesis
Five days after the flowering stage, leaf samples from each individual plant were collected for gene expression analysis. The samples were ground into a fine powder in liquid nitrogen using a clean mortar and pestle. TRIzol reagent (Invitrogen, Carlsbad, CA, USA) was used for RNA extraction and phenol:chloroform:isoamylic alcohol (25:24:1, v/v) extraction, followed by purification. The quantity and quality of the RNA were determined using a ScanDrop2 nanovolume spectrophotometer (Analytik Jena, Jene, Germany) and 1.5% agarose gel electrophoresis. The total RNA was treated with DNaseI under the following conditions: 1 µg of total RNA, 2 µL of 10× reaction buffer, 1 µL of DNase1 and 20 µL of DEPC-treated water; the reaction solution was incubated at 37 °C for 30 min, 1 µL of 50 mM EDTA was subsequently added, and the solution was incubated at 65 °C for 10 min. The total isolated RNA was diluted to 100 ng/µL concentrations and used for the qRT-PCR experiments. The cDNA was synthesized from 1 µg of total RNA using a RevertAid first-strand cDNA synthesis kit (Thermo scientific, Waltham, MA, USA). Using 1 µg of total RNA (DNase I-treated), 1 µL of Oligo (dT)18, 2 µL of 10 mM dNTP mix, 4 µL of 5× RT buffer, 1 µL of RiboLock RNase inhibitor (20 U/µL), 1 µL of RevertAid RT (200 U/µL) and 20 µL of DEPC-treated water with a RevertAid first-strand cDNA synthesis kit (Thermo scientific, Waltham, MA, USA), the reaction solution was incubated at 42 °C for 60 min. The reaction was then terminated by incubating the solution at 70 °C for 5 min before being stored at −20 °C.
2.3. Determination of OsPRODH Gene Expression
Gene expression analysis was performed using semiquantitative reverse transcriptase-polymerase chain reaction (semi-qRT-PCR); 100 ng of cDNA was used as template, along with gene-specific primers and an internal standard, OsActin, with three biological replicates (n = 3) in the thermal cycler. The primers for the OsPRODH (Os10g0550900) gene were constructed using NCBI-Primer Blast software (http://www.ncbi.nlm.gov/tools/primer-blast/index) (accessed 29 September 2022) (Table 2). For data normalization, the band density of each transcript was scanned with the help of ImageJ.
Table 2.
Details of the genes and their primers used for gene expression analysis.
2.4. Determination of Grain 2AP Concentration
Rice grains were ground into a powder and sieved through a 35-mesh sieve. Then, the rice powder (1.00 g) was weighed into a headspace vial, to which 1.00 µL of 500.00 mg L−1 2,4,6-trimethylpyridine (TMP) was added as an internal standard. The headspace vial was then immediately sealed with PTFE/silicone septum and aluminum caps prior to analysis by SHS-GC–NPD. A static headspace autosampler (TurboMatrix 40, PerkinElmer, Inc., Waltham, MA, USA) that was connected to a PerkinElmer Clarus 690 Series GC system coupled to an NPD detector was used. Volatiles were separated using an Elite-5MS column (column length, 30.0 m; inner diameter, 0.25 mm; film thickness, 0.25 µm; PerkinElmer, Inc., Waltham, MA, USA) with splitless injection at 250 °C. The column temperature was programmed to increase from 45 °C to 125 °C at a gradient of 7 °C min−1. The headspace operating conditions for the rice grains were an oven temperature of 125 °C and a vial equilibration time of 15 min.
2.5. Determination of Mn Concentration in Plants
The concentration of Mn in unpolished grain and shoot were analyzed by atomic absorption spectrophotometry (AA) (Z-8230 Polarized Zeeman, Hitachi, Japan) using approximately 0.5 g of the ground sample, which was weighed before being subjected to dry-ash burning in a muffle furnace at 535 °C for 8 h; the ash samples were then acid-extracted by dissolving them in an HCl (1:1; HCl to deionized water) solution and incubated at 70 °C for 20 min. The solution of the samples was adjusted with deionized water to a final volume of 10 mL, filtered with Whatman No. 1 filter paper and diluted 10 times before determination of Mn using atomic absorption spectroscopy. The grain Mn content was calculated by multiplying the grain Mn concentration by the mass of the grain dry matter. The Mn concentration of each sample was expressed in mg/kg and calculated as follows: concentration (mg/kg) = concentration (mg/L) × dilution factor/sample weight (g).
2.6. Determination of Yield and Yield Components
At the physiological maturity stage, plant height (cm), the number of tillers per plant, the number of panicles per plant, spikelet number, filled grains per panicle and hundred grain weight were recorded. The grains were sun-dried and adjusted to determine the yield at 14% moisture content.
2.7. Statistical Analysis
Analyses of variance (ANOVA) followed by Fisher’s least significant difference (LSD) test at p < 0.05 were used to study the differences among the Mn concentrations and rice varieties. All statistical analyses were performed using R Studio version 1.3.959. Gene expression levels were analyzed by intensity relative to the reference gene (OsActin (Os11g0163100)) using ImageJ software version 1.50i (Wayne Rasband National Institutes of Health, Bethesda, MD, USA).
3. Results
3.1. The Concentration of 2AP and Expression of the OsPRODH Gene
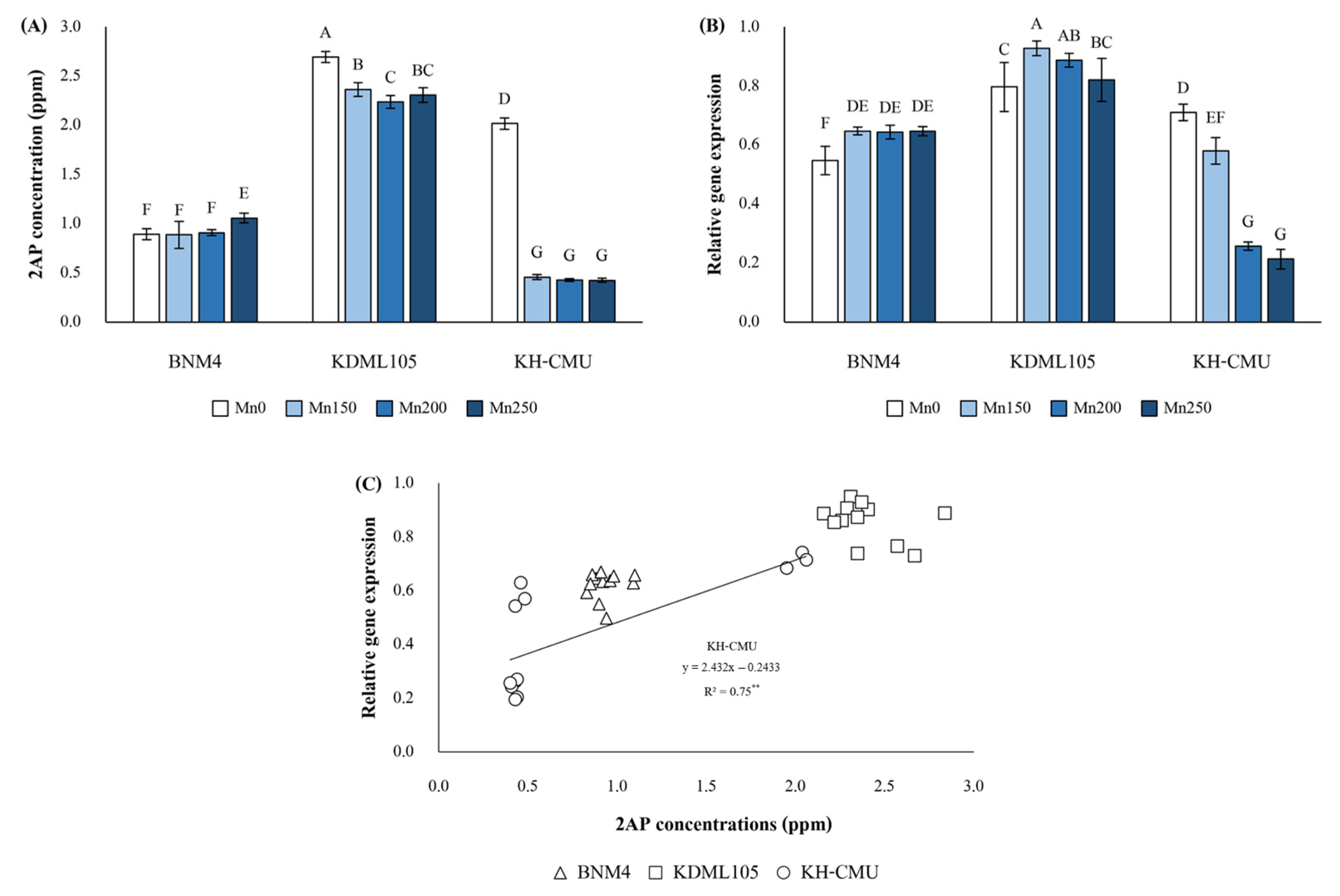
The interaction between the rice varieties and Mn application rates had effects on grain 2AP concentrations (Figure 2A). The concentration varied by 0.89–1.06, 2.24–2.69 and 0.42–2.02 ppm in BNM4, KDML105 and KH-CMU, respectively. The highest concentration was observed in KDML105 as compared with the other two varieties for all Mn applications. In BNM4, the highest concentration resulted from an increase of 19.1% from Mn0 when Mn250 was applied, but no significant difference was noted for the other Mn rates. In KDML105, the concentration of 2AP decreased from Mn0 by 12.3, 16.7 and 14.1% after the application of Mn150, Mn200 and Mn250, respectively. In KH-CMU, all Mn treatments had noticeably lower grain 2AP concentrations compared with Mn0.
Figure 2.
Effects of different manganese concentrations on the grain 2AP concentration (A), relative gene expression (B) and correlation between the 2AP concentration and relative gene expression (C) of different Thai fragrant rice varieties. Each column represents the mean of three data points ± standard errors (n = 3). Means sharing a common letter do not differ significantly at p < 0.05. ** Significantly different at p < 0.01.
Similar to the concentration of 2AP, the expression of the OsPRODH gene in the rice varieties was differently affected by the Mn treatments (Figure 2B). The application of the various Mn rates (Mn150, Mn200 and Mn250) substantially improved the gene expression level by 25.5–27.5% in BNM4 as compared with Mn0. The expression level in KDML105 under the application of Mn150 and Mn200 increased by 16.3 and 11.3% from Mn0, respectively, while no significant difference in gene expression was found under Mn250 and Mn0. On the other hand, the gene expression of OsPRODH in KH-CMU decreased from Mn0 by 18.3, 63.4 and 70.4% under Mn150, Mn200 and Mn250, respectively.
An ambiguous correlation between the 2AP concentration and the gene expression of OsPRODH in fragrant rice varieties was found; however, KH-CMU displayed a correlation (r = 0.75, p < 0,01), which was not observed for BNM4 and KDML105 (Figure 2C).
3.2. The Grain and Straw Mn Concentrations
The influence of the Mn treatments on grain and straw was significant (Figure 3). Applying Mn150, Mn200 and Mn250 increased grain Mn concentrations by 222.8–347.5% in BNM4, 361.9–581.6% in KDML105 and 297.9–460.6% in KH-CMU as compared with Mn0. The highest grain Mn concentration was observed in all fragrant rice varieties when Mn250 was applied (Figure 3A). The Mn concentration in straw increased with an increase in the Mn rate, by 531.6–758.6% in BNM4, 790.1–940.5% in KDML105 and 1639.2–1940.31% in KH-CMU as compared with Mn0 in all the rice varieties (Figure 3B). The highest straw Mn concentration was observed in BNM4 and KDML105 under the Mn250 treatment; the concentration in KH-CMU under Mn200 was higher than that under Mn250.
Figure 3.
Effects of different manganese concentrations on grain (A) and straw (B) Mn concentrations of different Thai fragrant rice varieties. Each column represents the mean of three data points ± standard errors (n = 3). Means sharing a common letter do not differ significantly at p < 0.05.
3.3. Yield and Yield Component
Grain yield and yield component were affected by the interaction between the Mn treatments and rice varieties, except for the spikelet number per panicle and filled grain percentage (Figure 4). Increasing Mn rates substantially improved the yield and yield components in all rice varieties. Compared with Mn0, the plant height increased by 17.0% in BNM4 and 15.8% in KDML105, while it decreased by 4.2% and 9.2% in Mn200 and Mn250 from Mn0 and Mn150, respectively, in KH-CMU. Panicle number per plant in the three rice varieties was higher by 100.4–160.6% in BNM4, 49.4–69.2% in KDML105 and 114.3–157.1% in KH-CMU under Mn150-Mn250 as compared to Mn0. However, only the spikelet number per panicle under Mn150 in BNM4 and KH-CMU was different from that under Mn0. Filled grain percentage followed the same trend as that of the panicle number per plant, i.e., Mn250 > Mn200 > Mn150 in BNM4 and KH-CMU, except KDML105 (Table 3). The grain yield increased significantly in all varieties with Mn treatments as compared with Mn0, with an increase of 166.2–246.7% in BNM4, 73.8–134.1% in KDML105 and 172.1–224.5% in KH-CMU under Mn150–Mn250, respectively.
Figure 4.
Effects of different manganese concentrations on the grain yield of different Thai fragrant rice varieties. Each column represents the mean of three data points ± standard errors (n = 3). Means sharing a common letter do not differ significantly at p < 0.05.
Table 3.
Yield components of three rice varieties (i.e., BNM4, KDML105 and KH-CMU) grown in soil with four rates of Mn concentration (0, 150, 200 and 250 mg/kg soil).
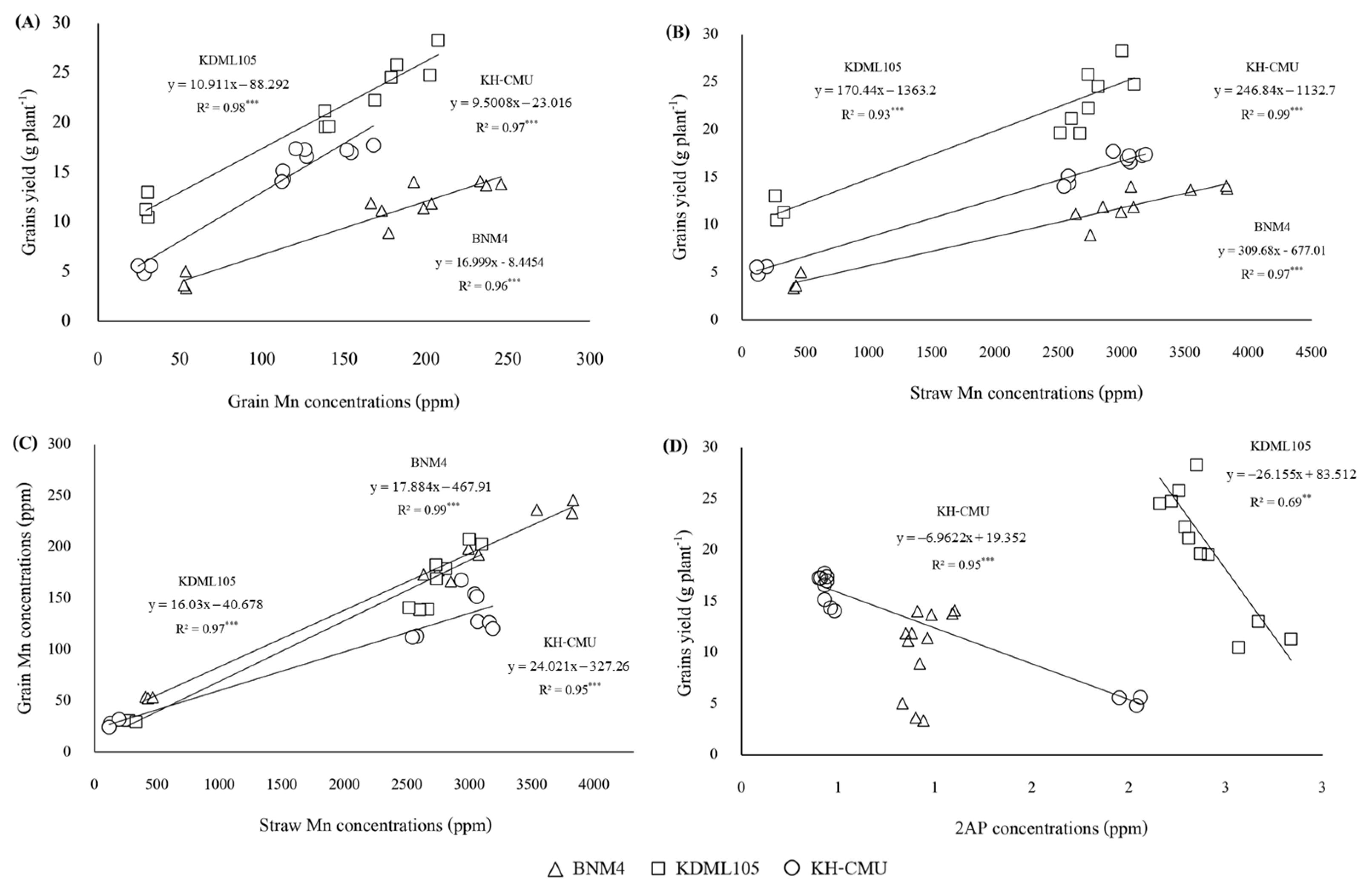
3.4. Correlation between Grain and Straw Mn Concentration and Yield and between 2AP Concentration and Yield
Grain yield was significantly positively correlated with grain Mn concentration in BNM4 (r = 0.96, p < 0.001), KDML105 (r = 0.98, p < 0.001) and KH-CMU (r = 0.97, p < 0.001) (Figure 5A). Grain yield was also positively correlated with straw Mn concentration in BNM4 (r = 0.97, p < 0.001), KDML105 (r = 0.93, p < 0.001) and KH-CMU (r = 0.99, p < 0.001) (Figure 5B). There was a positive correlation between grain and straw Mn concentration in BNM4 (r = 0.99, p < 0.001), KDML105 (r = 0.97, p < 0.001) and KH-CMU (r = 0.95, p < 0.001) (Figure 5C). However, 2AP concentration showed a negative correlation with grain yield in KDML105 (r = −0.95, p < 0.001) and KH-CMU (r = −0.69, p < 0.01) (Figure 5D).
Figure 5.
Correlation between grain yield and Mn concentration in grain (A), between grain yield and Mn concentration in straw (B), between Mn concentration in grain and Mn concentration in straw (C) and between the grain yield and 2AP concentration (D) of different Thai fragrant rice varieties. *** Significantly different at p < 0.001.
3.5. Grain 2AP and Mn Contents
In this experiment, the 2AP concentration decreased with increased grain yield caused by the increase in Mn application. Therefore, the 2AP content, i.e., the 2AP yield, was determined, as well as the grain Mn content. The interaction between the different rice varieties and Mn treatments had effects on grain 2AP content (Figure 6A). The highest 2AP content was observed in KDML105. The 2AP content increased significantly with increasing Mn rates in two varieties when compared with Mn0; there was an increase of 268.6–420.0% in BNM4 and 152.2–200.6% in KDML105 under Mn150–Mn250. However, the 2AP content in KH-CMU did not differ when compared to Mn0.
Figure 6.
Effects of different manganese concentrations on the grain 2AP (A) and Mn (B) contents of different Thai fragrant rice varieties. Each column represents the mean of three data points ± standard errors (n = 3). Means sharing a common letter do not differ significantly at p < 0.05.
In addition, grain Mn content increased by 871.4–1576.2% in BNM4, 800.0–2594.3% in KDML105 and 1093.3–1826.7% in KH-CMU as compared with Mn0, i.e., Mn250 > Mn200 > Mn150 > Mn0 in all varieties (Figure 6B).
4. Discussion
Manganese (Mn) is an essential micronutrient involved in the metabolic processes of growth and development, and its deficiency limits the growth and yield of several crop varieties, including rice [16]. The involvement of Mn in the creation of aromatic flavor among fragrant rice varieties is rather complicated due to the complexity of the 2AP biosynthesis pathways involved in the expression of several genes such as the OsPRODH gene (Figure 1). An explanation of the mechanism behind the expression of OsPRODH in relation to Mn accumulation in rice plants would be very useful for the cultivation of high-quality fragrant rice in all regions. In this study, the concentration of 2AP in plant tissues decreased after the treatments, which was similar to the expression of OsPRODH. However, the grain yield and grain Mn concentration in the fragrant rice varieties substantially increased at different magnitudes when the Mn supply rates were increased, indicating the dilution of 2AP due to the improvement of grain yield when Mn was applied; therefore, it is important to note that the increase in grain yield came at the cost of a decrease in the aroma quality (Figure 5D).
The expression of OsPRODH differed among the rice varieties. The variety with the highest expression also seemed to have higher grain 2AP concentration, but the responses of 2AP content to the Mn application rates differed among the rice varieties. The varieties BNM4 and KDML105 were observed to have higher expression when the Mn rates were increased as compared to a deficient Mn condition; the opposite result was observed in KH-CMU, and the expression of OsPRODH was relative to 2AP concentration among the varieties (Figure 2C). The opposite expression of OsPRODH in KH-CMU in comparison to the other varieties was probably due to its origin as a temperate Japonica variety; the other two were Indica varieties [26]. However, the responses of different rice types to Mn application should be further studied because they may respond differently under different levels of Mn supply.
The variation of 2AP among fragrant varieties has been reported by other researchers [27], and the present study confirmed that it can also be affected by management factors, e.g., Mn application. Plants grown under stress conditions were reported to produce more stress compounds such as proline, which is an important precursor of the 2AP biosynthesis pathway [28]. A previous study found that salinity-tolerant rice varieties (Oryza sativa L. cv. dhan54) contained higher proline concentrations when grown under severe soil salinity [29]. A higher proline concentration was also reported when the rice had been grown under stress conditions [11,30] and a soil texture [31] caused by drought. Nevertheless, it is not clear as to whether Mn supply is related to gene expression and 2AP concentration in the 2AP biosynthesis pathways, although the results indirectly confirm that Mn application rates affect 2AP synthesis in fragrant rice varieties. However, in this study, we found that the highest 2AP concentration was not associated with the highest expression of OsPRODH, as it was reported that OsP5CS was able to convert proline into P5C, the mediator of 2AP biosynthesis [10,32]; this is an interesting topic that should be further evaluated in the near future. On the other hand, it is also possible that the aroma compound produced by KH-CMU may not be 2AP, as it is in the other varieties, and more purple rice varieties will be explored in a further study to determine the differences in response between white and purple rice. Therefore, the scanning of aromatic volatiles should also be considered for rice varieties from different zones of origin.
A higher Mn supply significantly increased the grain Mn concentration and straw dry weight of all varieties (p < 0.05) (Figure 3), which is consistent with studies by Jhanji and Sadana [33] and Li et al. [13], who reported that a higher Mn concentration had a significant effect on rice yield (p < 0.05). Grain yield increased when Mn application rates were increased, but it was reduced under the Mn deficiency condition for all three varieties (Figure 4). The effect of Mn deficiency was especially observed during the tillering to flowering stages through a reduction in the number of panicles per plant, filled grain percentage and 100-grain weight (Figure 7), which are attributes of productivity (Table 3).
Figure 7.
Rice plants at the flowering stage of three fragrant rice varieties (BNM4 (A), KDML105 (B) and KH-CMU (C)) grown under four manganese concentrations. Photographs were taken 69, 80 and 57 days after germination of BNM4, KDML105 and KH-CMU, respectively.
The correlation observed in this study between grain and straw Mn concentration and yield indicates the positive function of the Mn concentration of tissues in relation to the productivity of aromatic rice varieties (Figure 5). A previous study by Schmidt and Husted [34] found that Mn acts as cofactor of many enzymes and has a direct effect on metabolic processes, e.g., its responsibility for the splitting of water molecules into electrons, which is the first step of photosynthesis in photosystem II (PSII). This is supported by several previously reported phenomena whereby Mn deficiency impairs the photosynthetic efficiency of rice, causing stem stunting [35,36]. In the present study, we found that Mn plays an important role in productivity, from the vegetative stage up to grain replenishment; however, the differing responses among the varieties will require further evaluation.
5. Conclusions
This study established the genotypic variation of the selected aromatic rice varieties in response to Mn application and its effects on 2AP compound biosynthesis and yield. The varieties responded differently to Mn supply through the expression of the OsPRODH gene and 2AP concentration. The higher accumulation of tissue Mn in different plant parts supported the production of grain and straw by enhancing the yield components, which are the major attributes of grain yield. However, the concentration of 2AP declined when Mn application rates were increased due to a large increment in grain yield. Therefore, the 2AP content was calculated as a representative of 2AP yield from the final harvested yield. The 2AP yield increased when Mn application was increased, but the magnitude differed among the aromatic rice varieties, which should be further studied in more detail. This demonstrates that the proper management of Mn in rice cultivation is necessary to improve both the grain yield and 2AP content of aromatic varieties; however, the specific rate of application for each variety may need to be carefully evaluated, particularly under practical field conditions.
Author Contributions
Conceptualization, T.P.; methodology, W.I., S.J., C.P.-u.-t. and T.P.; writing—original draft preparation, W.I. and T.P.; writing—review and editing, W.I., C.P.-u.-t. and T.P.; supervision, T.P.; project administration, T.P.; funding acquisition, T.P. All authors have read and agreed to the published version of the manuscript.
Funding
This research project was supported by the Fundamental Fund 2022 (FF65) of Chiang Mai University and partially supported by the Royal Society, Newton Mobility Grant (NMG\R1\180191).
Data Availability Statement
No new data were created or analyzed in this study. Data sharing is not applicable to this article.
Acknowledgments
We thank the members of the CMUPNLab at Chiang Mai University for their advice throughout this study.
Conflicts of Interest
The authors declare no conflict of interest.
References
- Gutaker, R.M.; Groen, S.C.; Bellis, E.S.; Choi, J.Y.; Pires, I.S.; Bocinsky, R.K.; Slayton, E.R.; Wilkins, O.; Castillo, C.C.; Negrão, S.; et al. Genomic history and ecology of the geographic spread of rice. Nat. Plants 2020, 6, 492–502. [Google Scholar] [CrossRef] [PubMed]
- Engku Ariff, E.E.; Rahim, H.; Harun, R.; Sobri, A.A. Fragrant rice overview: Benefits and implications of local production. Econ. Technol. Manag. Rev. 2019, 14, 1–11. [Google Scholar]
- Zhang, J.; Tong, T.; Potcho, P.M.; Li, L.; Huang, S.; Yan, Q.; Tang, X. Harvest time effects on yield, quality and aroma of fragrant rice. J. Plant Growth Regul. 2021, 40, 2249–2257. [Google Scholar] [CrossRef]
- Poonlaphdecha, J.; Gantet, P.; Maraval, I.; Sauvage, F.X.; Menut, C.; Morère, A.; Boulanger, R.; Wüst, M.; Gunata, Z. Biosynthesis of 2-acetyl-1-pyrroline in rice calli cultures: Demonstration of 1-pyrroline as a limiting substrate. Food Chem. 2016, 197, 965–971. [Google Scholar] [CrossRef]
- Prodhan, Z.H.; Qingyao, S. Rice Aroma: A Natural Gift Comes with Price and the Way Forward. Rice Sci. 2020, 27, 86–100. [Google Scholar] [CrossRef]
- Kaikavoosi, K.; Kad, T.D.; Zanan, R.L.; Nadaf, A.B. 2-Acetyl-1-pyrroline augmentation in scented indica rice (Oryza sativa L.) varieties through Δ1-pyrroline-5-carboxylate synthetase (P5CS) gene transformation. Appl. Biochem. Biotechnol. 2015, 177, 1466–1479. [Google Scholar] [CrossRef]
- Chen, S.; Yang, Y.; Shi, W.; Ji, Q.; He, F.; Zhang, Z.; Cheng, Z.; Liu, X.; Xua, M. Badh2, encoding betaine aldehyde dehydrogenase, inhibits the biosynthesis of 2-acetyl-1-pyrroline, a major component in rice fragrance. Plant Cell 2008, 20, 1850–1861. [Google Scholar] [CrossRef] [PubMed]
- Okpala, N.E.; Mo, Z.; Duan, M.; Tang, X. The genetics and biosynthesis of 2-acetyl-1-pyrroline in fragrant rice. Plant Physiol. Biochem. 2019, 135, 272–276. [Google Scholar] [CrossRef]
- Bradbury, L.M.; Gillies, S.A.; Brushett, D.J.; Waters, D.L.; Henry, R.J. Inactivation of an aminoaldehyde dehydrogenase is responsible for fragrance in rice. Plant Mol. Biol. 2008, 68, 439–449. [Google Scholar] [CrossRef]
- Hinge, V.R.; Patil, H.B.; Nadaf, A.B. Aroma volatile analyses and 2AP characterization at various developmental stages in Basmati and Non-Basmati scented rice (Oryza sativa L.) cultivars. Rice 2016, 9, 1–22. [Google Scholar] [CrossRef]
- Bao, G.; Ashraf, U.; Wang, C.; He, L.; Wei, X.; Zheng, A.; Mo, Z.; Tang, X. Molecular basis for increased 2-acetyl-1-pyrroline contents under alternate wetting and drying (AWD) conditions in fragrant rice. Plant Physiol. Biochem. 2018, 133, 149–157. [Google Scholar] [CrossRef]
- Ghosh, P.; Roychoudhury, A. Differential regulation of genes associated with aroma production in indica rice cultivars during grain developmental stages. Vegetos 2020, 33, 313–322. [Google Scholar] [CrossRef]
- Li, M.; Ashraf, U.; Tian, H.; Mo, Z.; Pan, S.; Anjum, S.A.; Duan, M.; Tang, X. Manganese-induced regulations in growth, yield formation, quality characters, rice aroma and enzyme involved in 2-acetyl-1-pyrroline biosynthesis in fragrant rice. Plant Physiol. Biochem. 2016, 103, 167–175. [Google Scholar] [CrossRef] [PubMed]
- Fitzgerald, M.A.; Sackville Hamilton, N.R.; Calingacion, M.N.; Verhoeven, H.A.; Butardo, V.M. Is there a second fragrance gene in rice. Plant Biotechnol. J. 2008, 6, 416–423. [Google Scholar] [CrossRef] [PubMed]
- Yang, X.E.; Chen, W.R.; Feng, Y. Improving human micronutrient nutrition through biofortification in the soil–plant system: China as a case study. Environ. Geochem. Health 2007, 29, 413–428. [Google Scholar] [CrossRef] [PubMed]
- Jhanji, S.; Sekhon, N.K.; Sadana, U.S.; Gill, T.P.S. Characterization of morphophysiological traits of rice genotypes with diverse manganese efficieny. Indian J. Plant Physiol. 2011, 16, 245. [Google Scholar]
- Lidon, F.C.; Barreiro, M.G.; Ramalho, J.C. Manganese accumulation in rice: Implications for photosynthetic functioning. J. Plant Physiol. 2004, 161, 1235–1244. [Google Scholar] [CrossRef]
- Jhanji, S.; Sadana, U.S.; Sekhon, N.K.; Gill, T.P.S.; Khurana, M.P.S.; Kaur, R. Screening Diverse Rice (Oryza sativa L.) Genotypes for Manganese Efficiency. Proc. Natl. Acad. Sci. India Sect. B Biol. Sci. 2012, 82, 447–452. [Google Scholar] [CrossRef]
- Andresen, E.; Peiter, E.; Küpper, H. Trace metal metabolism in plants. J. Exp. Bot. 2018, 69, 909–954. [Google Scholar] [CrossRef]
- Pfeffer, P.E.; Tu, S.I.; Gerasimowicz, W.V.; Cavanaugh, J.R. In vivo 31P NMR studies of corn root tissue and its uptake of toxic metals. Plant Physiol. 1986, 80, 77–84. [Google Scholar] [CrossRef]
- Houtz, R.L.; Nable, R.O.; Cheniae, G.M. Evidence for effects on the in vivo activity of ribulose bisphosphate carboxylase/oxygenase during development of Mn toxicity in tobacco. Plant Physiol. 1988, 86, 1143–1149. [Google Scholar] [CrossRef] [PubMed]
- Ducic, T.; Polle, A. Transport and detoxification of manganese and copper in plants. Braz. J. Plant Physiol. 2005, 17, 103–112. [Google Scholar] [CrossRef]
- Nawara, W.; Bennett, C.; Norkaew, O.; Sookwong, P.; Moolkam, S.; Naruebal, S.; Mahatheeranont, S. Variation of the impact aroma compound, 2-acetyl-1-pyrroline, content in Thai fragrant rice plants and its enhanced accumulation by soil nutritional elements. J. Agric. Sci. 2020, 12, 36–45. [Google Scholar] [CrossRef]
- Bao, G.; Huang, S.; Ashraf, U.; Qiao, J.; Zheng, A.; Zhou, Q.; Li, L.; Wan, X. Insights of Improved Aroma under Additional Nitrogen Application at Booting Stage in Fragrant Rice. Genes 2022, 13, 2092. [Google Scholar] [CrossRef] [PubMed]
- Kim, B.R.; Nam, H.Y.; Kim, S.U.; Kim, S.I.; Chang, Y.J. Normalization of reverse transcription quantitative-PCR with housekeeping genes in rice. Biotechnol. Lett. 2003, 25, 1869–1872. [Google Scholar] [CrossRef] [PubMed]
- Fongfon, S.; Pusadee, T.; Prom-u-thai, C.; Rerkasem, B.; Jamjod, S. Diversity of Purple Rice (Oryza sativa L.) Landraces in Northern Thailand. Agronomy 2021, 11, 2029. [Google Scholar] [CrossRef]
- Bennett, C.; Sriyotai, W.; Wiratchan, S.; Semakul, N.; Mahatheeranont, S. Determination of 2-Acetyl-1-pyrroline via a Color-Change Reaction Using Chromium Hexacarbonyl. Molecules 2022, 27, 3957. [Google Scholar] [CrossRef]
- Yoshihashi, T.; Huong, N.T.T.; Inatomi, H. Precursors of 2-acetyl-1-pyrroline, a potent flavor compound of an aromatic rice variety. J. Agric. Food Chem. 2002, 50, 2001–2004. [Google Scholar] [CrossRef]
- Hasanuzzaman, M.; Alam, M.; Rahman, A.; Hasanuzzaman, M.; Nahar, K.; Fujita, M. Exogenous proline and glycine betaine mediated upregulation of antioxidant defense and glyoxalase systems provides better protection against salt-induced oxidative stress in two rice (Oryza sativa L.) varieties. BioMed Res. Int. 2014, 2014, 757219. [Google Scholar] [CrossRef]
- Lum, M.S.; Hanafi, M.M.; Rafii, Y.M.; Akmar, A.S.N. Effect of drought stress on growth, proline and antioxidant enzyme activities of upland rice. JAPS J. Anim. Plant Sci. 2014, 24, 1487–1493. [Google Scholar]
- Boontakham, P.; Sookwong, P.; Jongkaewwattana, S.; Wangtueai, S.; Mahatheeranont, S. Comparison of grain yield and 2-acetyl-1-pyrroline (2AP) content in leaves and grain of two Thai fragrant rice cultivars cultivated at greenhouse and open-air conditions. Aust. J. Crop Sci. 2019, 13, 159–169. [Google Scholar] [CrossRef]
- Verma, D.K.; Thakur, M.; Srivastav, P.P. Biochemistry and molecular aspects of 2-acetyl-1-pyrroline biosynthesis in rice (Oryza sativa L.): A review. Isr. J. Plant Sci. 2020, 67, 129–143. [Google Scholar] [CrossRef]
- Jhanji, S.; Sadana, U.S. Unraveling the Effect of Differentially Applied Manganese on Root Dynamics and Efficiency of Diverse Rice Genotypes. Commun. Soil Sci. Plant Anal. 2018, 49, 2357–2368. [Google Scholar] [CrossRef]
- Schmidt, S.B.; Husted, S. The biochemical properties of manganese in plants. Plants 2019, 8, 381. [Google Scholar] [CrossRef] [PubMed]
- Alejandro, S.; Höller, S.; Meier, B.; Peiter, E. Manganese in plants: From acquisition to subcellular allocation. Front. Plant Sci. 2020, 11, 300. [Google Scholar] [CrossRef]
- Bricker, T.M.; Roose, J.L.; Fagerlund, R.D.; Frankel, L.K.; Eaton-Rye, J.J. The extrinsic proteins of Photosystem II. Biochim. Et. Biophys. Acta (BBA)-Bioenerg. 2012, 1817, 121–142. [Google Scholar] [CrossRef]
Disclaimer/Publisher’s Note: The statements, opinions and data contained in all publications are solely those of the individual author(s) and contributor(s) and not of MDPI and/or the editor(s). MDPI and/or the editor(s) disclaim responsibility for any injury to people or property resulting from any ideas, methods, instructions or products referred to in the content. |
© 2023 by the authors. Licensee MDPI, Basel, Switzerland. This article is an open access article distributed under the terms and conditions of the Creative Commons Attribution (CC BY) license (https://creativecommons.org/licenses/by/4.0/).





