Next Article in Journal
The Physicochemical and Nutritional Value of Fresh and Processed Portulacaria afra (Spekboom) Leaves
Previous Article in Journal
Grazing Regulates Changes in Soil Microbial Communities in Plant-Soil Systems
 
 
Font Type:
Arial Georgia Verdana
Font Size:
Aa Aa Aa
Line Spacing:
Column Width:
Background:
Article

Effect of Deep Straw Return under Saline Conditions on Soil Nutrient and Maize Growth in Saline–Alkali Land

1
Agricultural College, Inner Mongolia Agricultural University, Hohhot 010010, China
2
Key Laboratory of Crop Cultivation and Genetic Improvement, Inner Mongolia Autonomous Region, Hohhot 010010, China
3
Vocational and Technical College, Inner Mongolia Agricultural University, Baotou 014000, China
*
Authors to whom correspondence should be addressed.
Agronomy 2023, 13(3), 707; https://doi.org/10.3390/agronomy13030707
Submission received: 20 December 2022 / Revised: 11 February 2023 / Accepted: 23 February 2023 / Published: 27 February 2023

Abstract

To clarify the effect of tillage methods on saline–alkali land improvement and maize growth in cropland salinized to different degrees, we set up two treatments (shallow rotation (15 cm depth; CK) and deep straw return (35 cm depth; DPR)) in land characterized by three different salinization degrees and analyzed the effects of the two treatments on soil nutrient content, salinity index, chlorophyll fluorescence, growth status, and yield at three salinization levels. The results show that (1) compared with CK, alkaline N, total N, Olsen P, exchangeable K, and organic matter in saline soils were all significantly improved, and total salt and pH values were reduced by 34.01–50.79% and 2.56–7.54%, respectively, under deep straw return conditions, representing the largest values in moderately saline–alkali land. (2) Compared with CK, chlorophyll fluorescence was significantly improved, and maximum photochemical efficiency (Fv/Fm), photochemical quenching (qP), and effective quantum yield of PSII (ΦPSII) were significantly increased by 8.09–15.41%, 9.13–17.93%, and 38.79–70.83% following deep straw return treatment; these increases were the largest ones observed in moderately saline–alkali land. (3) Deep straw return promoted the growth of maize and significantly increased the yield of maize. Plant height, leaf area index, and yield increased the most in moderately saline–alkali land and increased by 6.84–21.79%, 0.59–2.28 units, and 12.78–28.07%, respectively. The yield increased by 33.89 %, which was mainly due to the increase in 1000-grain weight. The results provide a theoretical basis for taking straw return measures to improve soil and increase maize yield in saline–alkali land.

1. Introduction

The Yellow River irrigation area is a maize-dominant production area in Inner Mongolia. As the amount of Yellow River water decreases year by year, the traditional method of “washing and draining salt by large amounts of water” is being more and more restricted. Therefore, choosing a simple, efficient, convenient, and economically sustainable method to improve saline soil has become urgent in agricultural development in the Yellow River irrigation area. Salinity stress is one of the environmental limiting factors in agricultural production in arid and semiarid regions [1,2]. For this reason, arable lands partially or entirely lose their fertility. According to statistics, approximately 20% of cultivated and 33% of irrigated agricultural lands have been subjected to salinity stress [3]. Under saline stress, plants mostly exhibit dwarfism, stunted development, leaves turning yellow, reduced leaf area, and significantly reduced biomass, and these conditions may even cause plant death [4,5]. Salinity stress seriously affects individual plant morphological development. For example, plants respond to stress by reducing the rate of leaf area expansion and eventually terminate leaf expansion with the increase in salinity [6]. The reduction in leaf area expansion results in smaller photosynthetic area, weaker carbon assimilation, reduced organic matter production, and growth inhibition. Under salt stress, photosynthesis is directly and indirectly affected, so growth is significantly inhibited [7].
Numerous studies have shown that straw return can increase the yield, reduce soil salinity and pH, and improve soil fertility [8,9,10,11,12,13]. Deep straw return was shown to be even more helpful in improving soil fertility. The research study by Dikgwatlhe et al. showed that soil organic carbon content following deep straw return was higher than that obtained with other tillage measures [14]. Deep straw return also significantly improved Olsen P content in soil [15]. The results of domestic and foreign research showed that straw returning effectively reduced the environmental pollution and soil water evaporation, improved moisture holding capacity, prevented soil salt from moving upwards, and improved soil quality [16], and these effects were shown to be persistent, so this technology has broad application prospects. Both abiotic and biotic stress factors can reduce photosynthetic activity and the growth rate of plants. Therefore, it is essential to examine the changes in plant photosynthetic activity under stress [17]. Chlorophyll fluorescence has been reported as the most modern and reliable technique for measuring photosynthetic activity [18]. According to Acosta-Motos et al., photochemical and non-photochemical quenching parameters such as maximum quantum yield, photochemical quenching, non-photochemical quenching, and effective quantum yield of photochemical energy conversion in PSII could be used for detecting salt stress [19]. Zivcak et al. found that abiotic stress not only caused structural damage to PSII but also affected the process of photosynthetic electron transport, maximum photochemical efficiency (Fv/Fm), and quantum yield of PSII (ΦPSII) [20].
In the context of the severe reduction in arable land area and continuous increase in maize demand, improving soil fertility and enhancing salt tolerance in maize are effective measures for improving maize yield. Soil chemical properties could directly reflect the quality of soil. Many studies have shown that deep straw returning could significantly improve the soil chemical properties of saline–alkali land. Concomitantly, the sensitivity of plants to salt stress varies with the degree of soil salinization. The effects of different salinity on maize growth and chlorophyll fluorescence parameters have been studied. Research has shown that chlorophyll fluorescence could be used to detect the harmful effects of salinity stress on plants [21]. The effects of deep straw return on soil chemistry and maize chlorophyll fluorescence properties in different saline–alkali soils have not been studied in detail. Further findings on the synchronous effects of straw return on soil and corn growth and development in saline land are lacking. Accordingly, the main purpose of this study was to investigate the improvement in soil chemical properties after deep straw return in different saline–alkali soils and the effect on maize growth. Therefore, maize was planted in different saline–alkali soils to compare the soil chemical properties and chlorophyll fluorescence characteristics of maize following different treatments, in order to compare the effect of deep straw return on different saline–alkali soils. The aim was to reveal the mechanism of deep straw return in improving salt tolerance and promoting growth of maize in arable land of different saline degrees and provide a theoretical basis for taking straw return measures to improve soil and increase maize yield in saline–alkali land.

2. Materials and Methods

2.1. General Situation of Test Area

The experiment was conducted in Yonglian Village (41°46′9.84″ N and 108°0′33.11″ E), Wayao Village (40°35′16.56″ N and 110°47′50.88″ E), and Ershisi Qingdi Village (40°24′39.11″ N and 110°39′0.40″ E) in 2021, respectively. The annual accumulated temperature values for maize growth were 3128.5 °C in Yonglian Village, 3130.9 °C in Wayao Village, and 3189.2 °C in Ershisi Qingdi Village. Annual rainfall values during the growing season were 246.4 mm, 351.9 mm, and 358.2 mm, respectively.
The previous crop was always maize. The basic conditions of the experimental sites are shown in Table 1. According to the soil salinity grading method devised by Wang et al. in China (1.5–3, 3–5, and >5 g·kg−1 of total salinity for low, medium, and high salinity, respectively) [22], Yonglian Village has lightly saline soils (S1); Wayao Village has moderately saline soils (S2); and Ershisi Qingdi Village has heavily saline soils (S3).

2.2. Experimental Design and Field Management

The experiment adopted a large-area comparison design. Treatments consisted of two soil tillage methods: deep straw return (35 cm depth; DPR) and shallow rotation (15 cm depth; CK). The experimental areas were 666.7 m2. Tillage and straw return were carried out after the last season of corn harvest, and straw was crushed and returned to the field. The application rate of straw was 12 t/hm2. Maize varieties were DK159 and JSH257, which are popular local varieties. Three replicates were used in this experiment, and the planting density was 75,000 plants hm2. Row spacing was 60 cm. Plant spacing was 22.23 cm. Before sowing, 600 kg/hm2 compound fertilizer (28-12-10) was applied as the base fertilizer with film mulching. Other management procedures followed typical field production practices.

2.3. Measurement Indicators and Methods

2.3.1. Soil Nutrient Index

On the sowing date and during the maturity stage, 0–40 cm soil samples were taken from each treatment area. After soil samples were ventilated and dried in a cool place, they were crushed to pass through a 0.15–0.25 mm soil sieve. Soil samples of different particle sizes were used to determine the essential soil nutrients according to the measurement requirements [23].
(1) Organic matter was determined using the potassium dichromate titration method. (2) Soil total N was determined using a Kjeldahl nitrogen analyzer (K-9840; Jinan, China) and the semi-micro Kjeldahl method. (3) Olsen P was determined using the NaHCO3 (0.5 mol/L) Mo-Sb colorimetric method. (4) Exchangeable K was determined using the flame photometric method. (5) Available N was determined using the alkaline hydrolysis diffusion–absorption method.

2.3.2. Soil pH and Total Salt Content

Soil samples were taken from five soil layers, i.e., 0–10 cm, 10–20 cm, and 20–30 cm, at each test site, respectively, at sowing, before and after irrigation during the spatulation period, and in the harvest period. Soil pH was determined using an acidity meter. Soil total salinity was determined using the conductivity method.

2.3.3. Indicators of Morphological Characteristics of Maize

The following stem indicators were measured during the silking stage: (1) Plant height and ear height were measured using a steel ruler to measure the distance. (2) Green leaf area (LA) per plant and LAI were measured using the following formula [24]:
L A = i n L × W × 0.75
L A I = L A × P D 10 , 000
where the L is leaf length; W is maximum leaf width; n indicates the leaf number, with i = 1, 2, 3; and PD is plant density (75,000 plants ha−1).

2.3.4. Chlorophyll Fluorescence Parameters

Chlorophyll fluorescence parameters were measured using a portable, non-modulated fluorimeter Plant Efficiency Analyzer (Handy PEA; Hansatech Instruments, Kings Lynn, UK) during the spatulation stage. Closed clamps were used on each spike leaf to create dark acclimation conditions for 30 min before using the instrument. The minimum fluorescence (Fo) was measured when the leaves had adapted to the dark, and the maximum fluorescence (Fm) was measured after using the saturation pulse light for 0.8 s on these leaves. Then, using natural light as the actinic light, the saturation pulse for annihilation analysis was turned on; the fluorescence yield (F′) was determined at a random time; and the maximum fluorescence yield (F′m) was measured under light adaptation. PSII potential activity (Fv/Fo), maximum photochemical efficiency (Fv/Fm), photochemical quenching coefficient (qP), non-photochemical quenching coefficient (qN), and actual photochemical efficiency (ΦPSII) were calculated according to Rohacek’s method [25].
F v F 0 = F m F 0 F 0
F v F m = F m F 0 F m
qP = F m   F F m F 0
qN = F m F m F m F 0
Φ PSII = F m F s F m

2.3.5. Yield and Yield Components

In the physiological maturity stage, two rows in the middle of the measured production area were selected, and all plants in these rows were harvested after the removal of side plants. The number of harvested ears was counted. Ten plants with uniform ear growth were selected for the determination of ear rows, row grains, 1000-grain weight, and grain water content (measured with an LDS-1G moisture content detector), which were converted into maize yield (converted into hectare yield with 14% water content).

2.4. Statistical Analysis

Data recording and organization were performed using Microsoft Excel 2019. Analysis of variance, t-test at p < 0.05, and principal component analysis on different treatment groups were carried out using SPSS 25.0 (IBM, New York, NY, USA), and Origin 2021 (OriginLab, Northampton, MA, USA) software was used to plot graphs.

3. Results

3.1. Effect of Deep Straw Return on Soil Chemical Properties of Saline Land

3.1.1. Analysis of Variance for Soil Chemical Properties

The analysis of variance showed that the effects of different locations and tillage practices on alkaline N, total N, Olsen P, exchangeable K, organic matter, pH, and total salinity were significant at p < 0.05 (Table 2). Moreover, organic matter and pH were significantly different according to location × tillage.

3.1.2. Effect of Deep Straw Return on Soil Nutrient Characteristics of Saline Land

As shown in Table 3, the soil nutrient contents following DPR increased compared with CK. At the three test locations, alkaline N, total N, Olsen P, exchangeable K, and organic matter showed an increasing trend under deep straw return conditions. Alkaline N, total N, Olsen P, exchangeable K, and organic matter content increased by 1.81–23.18%, 1.92–8.93%, 1.17–16.62%, 0.68–16.60%, and 1.58–58.20%. At test location S1, organic matter was improved in the maximum range, and alkaline N, total N, available P, and exchangeable K showed the most significant increase in S3. Soil nutrients at different test locations could be ordered as S1 > S3 > S2.

3.1.3. Effect of Deep Straw Return on Soil Salinity Characteristics of Saline Land

As can be seen in Table 4, soil pH did not change too much among soil layers, and total soil salinity showed a decreasing trend with the increase in soil layer depth. DPR reduced soil pH by 2.56–7.54% and total soil salinity by 34.01–50.79% compared with CK. Before sowing, with DPR, total salinity at 0–20 cm soil depth was lower than with CK (by 34.40%) in S1, and total salinity at 20–30 cm soil depth was significantly lower than with CK (by 16.38%). With DPR, the pH at 0–20 cm soil depth was significantly lower than with CK (by 3.30%) on the 7th day after irrigation (p < 0.05) in S1. The pH with DPR was lower than with CK (by 9.77–11.64% before irrigation and 14.47–15.84% on the 7th day after irrigation) in S2. In S3, total salinity and pH with DPR were reduced by 41.75% and 4.71%, respectively, on the 7th day after irrigation. On the whole, S2 had the best improvement after DPR treatment, followed by S1, while S3 had the worst improvement.

3.2. Effect of Deep Straw Return on Chlorophyll Fluorescence Characteristics of Maize for Improving Saline Land

Fluorescence parameters are variables or constants and are used to describe the photosynthetic and physiological status and mechanism of the plant. They are often used to study the relationship between photosynthesis in the plant body and its environment of action. As shown in Table 5, the PSII energy conversion potential (Fv/Fo) and the effective quantum yield of PSII (ΦPSII) were extremely significantly different among locations, between tillage practices, and considering locations × tillage practices. The maximum photochemical efficiency (Fv/Fm) was significantly different among locations and between tillage practices (p < 0.05). Non-photochemical quenching (qN) was extremely different among locations and between tillage practices (p < 0.01).
Compared with CK, with DPR, Fv/Fo, Fv/Fm, qP, and ΦPSII were increased by 23.45–72.68%, 8.09–15.41%, 9.13–17.93%, and 38.79–70.83%, respectively; however, qN decreased by 28.65–43.14 % with DPR compared with CK. Fv/Fo significantly increased by 71.66 % and 72.68 % with DPR compared with CK in S2 and S3. With DPR, Fv/Fm significantly increased by 8.57% compared with CK in S3. With DPR, ΦPSII significantly increased by 70.83% compared with CK in S2. On the whole, Fv/Fo and qN had the largest values in S3, and Fv/Fm, qP and ΦPSII had the largest increases in S2.

3.3. Effect of Deep Straw Return on Agronomic Traits of Maize for Improving Saline Land

3.3.1. Variance Analysis of Agronomic Traits

The results of the multi-factor ANOVA of agronomic traits (Table 6) show that plant height, ear height, and leaf area index were all highly significantly different among locations, between tillage methods, and considering locations × tillage method. Ear height was highly significantly different between varieties, and considering locations × varieties and locations × variety × tillage method (p < 0.05).

3.3.2. Effect of Deep Straw Return on Corn Plant Height and Ear Height

As can be seen in Figure 1, the average plant height and ear height following CK were 227.72 cm and 84.83 cm in all locations. Compared with CK, plant height following DPR significantly increased by 6.84–21.79% at each test location (p < 0.05). In S1 and S2, ear height following DPR significantly increased by 7.06–44.44% compared with CK. Thus, this illustrates that DPR could effectively increase the plant height and ear height of maize in saline land, and the effect on ear height was more obvious. DPR caused the largest increase in plant height in S1 and the largest increase in ear height in S2.

3.3.3. Effect of Deep Straw Return on Leaf Area Index of Maize

As can be seen in Figure 2, the leaf area index following DPR significantly increased by 0.59–2.28 units compared with CK at the three test locations (p < 0.05). The largest increase was observed in S2, with 84.49%, followed by S1, with 60.29%, and S3, with 31.89%.

3.4. Effect of Deep Straw Return on Maize Yield and Its Constituent Factors in Saline Land

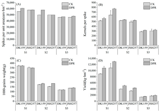
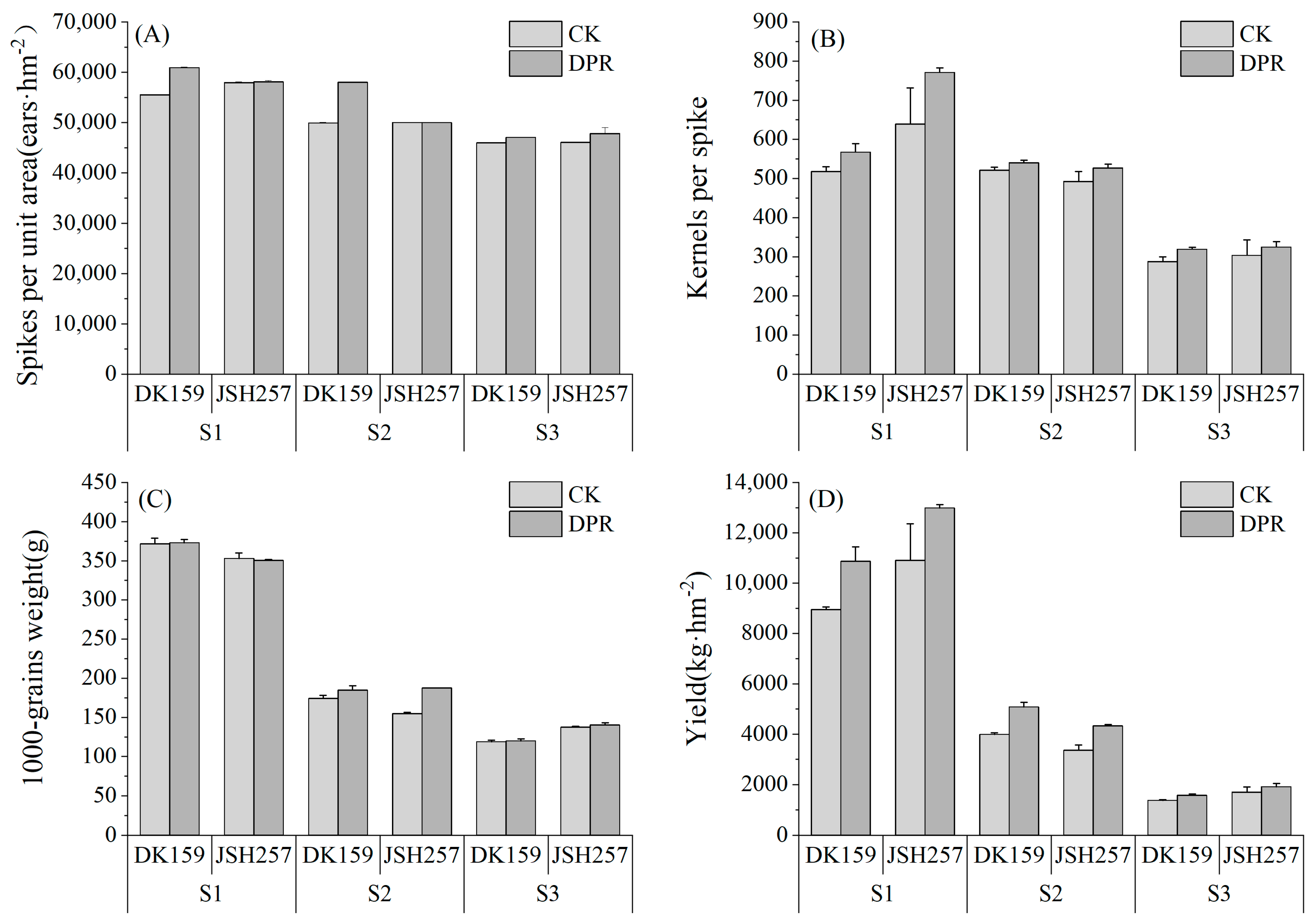
The results of the multi-factor ANOVA of maize yield and its components (Table 7) show that effective panicles, grain number per spike, 1000-grain weight, and yield were all highly significantly different among locations, between varieties, between tillage practices, and considering locations × varieties and varieties × tillage practices. Effective panicles and 1000-grain weight were highly significantly different according to locations × tillage practices and locations × varieties × tillage practices (p < 0.05).
In Figure 3, it can be seen that DPR could increase the number of grains per ear compared with CK by 15.09%, 5.34%, and 55.93% at the three test locations, respectively. The 1000-grain weight following DPR increased by 15.99% compared with CK in S2 (p < 0.05), but it did not increase significantly in S1 or S3. Compared with CK, the yield following DPR significantly increased by 20.30%, 28.07%, and 12.78% at the three test locations. In general, S2 had the largest increase in yield.

3.5. Principal Component Analysis of Chlorophyll Fluorescence and Yield in Soils with Different Salt Concentrations

In order to better reflect the comprehensive indicators that play a dominant role in different degrees of salinity, a principal component analysis was conducted on 11 indicators of maize, including plant height, ear height, leaf area index, Fv/Fo, Fv/Fm, qP, qN, ΦPSII, and yield. The data were first standardized to derive the principal component characteristic roots, variance contribution rates, and principal component loading matrices. As can be seen in Figure 4, the cumulative contribution to the variance of the two principal components reached 90.0%, which indicates strong information representativeness. The first principal component consisted of Fv/Fo, Fv/Fm, qN, ΦPSII, and yield. The second principal component consisted of plant height, ear height, LAI, and qP.
Using the formula, the values of the principal component scores were normalized. As can be seen in Table 8, the comprehensive evaluation of the indicators when considering deep straw return showed that the different treatment locations could be ordered as S3 > S2 > S1. According to the comprehensive evaluation, S2 and S3 had the highest scores.

4. Discussion

Many studies have pointed out that deep straw return could effectively improve soil fertility, maize growth, and maize yield [26,27,28,29,30]. Soil pH and total salinity are often used as indicators to evaluate the effectiveness of saline land improvement. Tan et al. showed that straw return could effectively reduce soil pH and regulate soil acidity [31]. In this study, we found that total salt content following deep straw return could significantly decrease 7 days after irrigation in different saline–alkaline land. All soil salinity characteristics showed the best improvement in moderately saline land, but the soil pH of lightly saline land and soil total salt of heavily saline land were less reduced. Li et al. showed that corn straw returning could increase the content of organic matter in the soil, improve its chemicals, and increase its soil fertility, thus improving saline land [32]. Moreover, in this study, it was found that at the three test locations, soil alkaline N, total N, exchangeable K, and organic matter content were improved. Deep straw return had the greatest effect on soil exchangeable K content, but it had the least effect on soil available N content. It was similar to the result obtained by Tan et al. in non-saline land, which means that deep straw return is still an effective way to increase soil fertility in saline land [31]. It was probably due to straw return having significantly lowered soil pH, thus increasing the solubility of soil nutrients such as nitrogen, phosphorus, and potassium [33]. The increase in organic matter following treatment with deep straw return might have been due to the greater viscosity of saline–alkali land, which makes it easy to store water, so the degree of straw decomposition was greater. Moreover, deep straw return allowed straw to be present in deep soil areas, so the fusion between corn straw and soil was better. Finally, soil organic matter increased. However, no specific reason for it was found in this study, so it needs to be confirmed with further experiments. In addition, this study found that deep straw return had different effects on different levels of saline soil land; the effect on moderately saline land was the best, followed by lightly saline land, while the effect of heavily saline land was the worst.
Soil salinity adversely affects crops through two processes: osmotic stress and ionic toxicity [34]. These processes affect photosynthesis and dry matter accumulation and then reduce grain number and grain weight, eventually leading to decreased grain yield in maize [35,36]. These processes also restrain electron transport and reaction centers at PSII sites and disrupt the exoxygenation complex, making Fv/Fm significantly decrease [37,38]. In this study, deep straw return could significantly increase plant height, ear height, and leaf area index in maize in saline soil. This may have been due to the fact that straw returning can improve the soil environment, which in turn can promote the growth and development of plants and increase plant height and ear height [39]. In this study, we found that maize yield was significantly improved after deep straw return, and the yield increase extent in moderately saline land showed the highest degree of improvement, followed by lightly saline land, while the increase extent in heavily saline land was small. At the same time, deep straw return in moderately saline–alkali land increased Fv/Fm, qP, and ΦPSII the most, and the increase in yield might have been related to this. A further analysis of yield composition showed that the increase in yield was mainly attributed to the increase in 1000-grain weight. However, Zhang et al. concluded that the decrease in salinity affected the numbers of ears and grains, and grain weight, thus increasing maize yield [40]. This is different from the conclusion of this experiment. The reason might be that the above study was performed in coastal saline soil and that saline–alkali land improvement measures increased soil Ca2+ and raised effective spike number and grain number per spike. Therefore, we still need to carry out further research on the effect of maize yield components in soil salt ions. Overall, deep straw return in moderately saline–alkali land could improve soil and increase soil nutrients to the greatest extent, thereby improving the photosynthetic capacity of maize, such as increasing Fv/Fm, qP, and ΦPSII; promoting maize growth; and increasing yield.

5. Conclusions

Deep straw return could significantly improve soil properties and promote maize growth and development. It had different effects on soils with different degrees of salinization. In moderately saline–alkali land, the contents of total N, available N, and Olsen P increased the most; furthermore, soil pH and total salt content decreased the most. In mildly saline–alkaline land, the increase in organic matter content was the largest. In severely saline–alkaline land, the increase in exchangeable K content was the largest. The improvement in soil properties significantly enhanced the chlorophyll fluorescence parameters of maize. Fv/Fm, qP, and ΦPSII showed the largest increase in moderately saline–alkali land. Fv/Fo and qN increased the most in severely saline–alkali land. Further, maize plant height, ear height, and leaf area index also increased the most in moderately saline–alkali land. Thus, deep straw return had the best effect on the improvement in moderately saline–alkali land, which caused the largest increase in 1000-grain weight, which increased the yield.

Author Contributions

H.Z., J.G., S.H. and T.S. performed the experiments.; H.Z., D.M. and X.Y. analyzed the data; J.G., X.Y. and D.M. critically revised the manuscript for important intellectual content; H.Z. and X.Y. wrote the paper. All authors have read and agreed to the published version of the manuscript.

Funding

This study was supported by Key Program of Action Plan to Revitalize Inner Mongolia through Science and Technology (KJXM2020001-06); Key Laboratory of Crop Cultivation and Genetic Improvement, Inner Mongolia Autonomous Region, National Maize Industrial Technology Systems (grant No. CARS-02-74); The Crop Science Observation & Experiment Station in Loess Plateau of North China, Ministry of Agriculture, P. R. of China (grant No. 25204120).

Institutional Review Board Statement

Not applicable.

Informed Consent Statement

Not applicable.

Data Availability Statement

Not applicable.

Conflicts of Interest

The authors declare no conflict of interest.

References

  1. Ivushkin, K.; Bartholomeus, H.; Bregt, A.K.; Pulatov, A.; Kempen, B.; De Sousa, L. Global mapping of soil salinity change. Remote Sens. Environ. 2019, 231, 111260. [Google Scholar] [CrossRef]
  2. Mubushar, M.; El-Hendawy, S.; Tahir, M.U.; Alotaibi, M.; Mohammed, N.; Refay, Y.; Tola, E. Assessing the Suitability of Multivariate Analysis for Stress Tolerance Indices, Biomass, and Grain Yield for Detecting Salt Tolerance in Advanced Spring Wheat Lines Irrigated with Saline Water under Field Conditions. Agronomy 2022, 12, 3084. [Google Scholar] [CrossRef]
  3. Shrivastava, P.; Kumar, R. Soil salinity: A serious environmental issue and plant growth promoting bacteria as one of the tools for its alleviation. Saudi J. Biol. Sci. 2015, 22, 123–131. [Google Scholar] [CrossRef] [PubMed]
  4. Hernández-Herrera, R.M.; Sánchez-Hernández, C.V.; Palmeros-Suárez, P.A.; Ocampo-Alvarez, H.; Santacruz-Ruvalcaba, F.; Meza-Canales, I.D.; Becerril-Espinosa, A. Seaweed Extract Improves Growth and Productivity of Tomato Plants under Salinity Stress. Agronomy 2022, 12, 2495. [Google Scholar] [CrossRef]
  5. He, H.; Zhou, W.; Lü, H.; Liang, B. Growth, Leaf Morphological and Physiological Adaptability of Leaf Beet (Beta vulgaris var. cicla) to Salt Stress: A Soil Culture Experiment. Agronomy 2022, 12, 1393. [Google Scholar] [CrossRef]
  6. Wang, Y.; Nii, N. Changes in chlorophyll, ribulose bisphosphate carboxylase-oxygenase, glycine betaine content, photosynthesis and transpiration in Amaranthus tricolor leaves during salt stress. J. Hortic. Sci. Biotechnol. 2000, 75, 623–627. [Google Scholar] [CrossRef]
  7. Wang, L.; Zhao, K. Physiological response of maize seedlings to salt stress. Acta Agron. Sin. 2005, 2, 264–266. (In Chinese) [Google Scholar]
  8. Reiter, M.; Reeves, D.W.; Burmester, C.; Torbert, H. Cotton Nitrogen Management in a High-Residue Conservation System: Cover Crop Fertilization. Soil Sci. Soc. Am. J. 2008, 72, 1330–1336. [Google Scholar] [CrossRef]
  9. Gwathmey, O.; Bradley, J.F.; Chambers, A.Y.; Howard, D.D.; Tyler, D.D. Physiological Responses to Tillage Systems, Cover Crops, and Residue Management. In Physiology of Cotton; Springer: Berlin/Heidelberg, Germany, 2010; pp. 246–254. [Google Scholar]
  10. Zhang, Y.; Mao, W.; Liu, H.; Sun, Y.; Jia, L.; Zheng, Q. Effects of straw turnover on physical properties of coastal saline clay and cotton yield. Chin. Agric. Sci. Bull. 2016, 32, 75–80. (In Chinese) [Google Scholar]
  11. Xu, G.; Hua, D.; Wang, Z.; Liu, L.; Yang, J. Effect of wheat-residue application on physical and chemical characters and enzymatic activities in soil. Chin. Agric. Sci. 2009, 42, 934–942. (In Chinese) [Google Scholar]
  12. Chen, S.; Zhu, Z.; Wu, J.; Liu, D.; Wang, C. Decomposition characteristics of straw in purple soil hilly areas and its effect on soil fertility. J. Soil Water Conserv. 2006, 6, 141–144. (In Chinese) [Google Scholar]
  13. Hao, X.; Yang, C.; Yuan, Y.; Han, X.; Li, L.; Jiang, H. Effects of continuous straw repatriation on organic carbon content and soil fertility in black soil aggregates. Chin. Agric. Sci. Bull. 2013, 29, 263–269. (In Chinese) [Google Scholar]
  14. Dikgwatlhe, S.B.; Chen, Z.; Lal, R.; Zhang, H.; Chen, F. Changes in soil organic carbon and nitrogen as affected by tillage and residue management under wheat–maize cropping system in the North China Plain. Soil Tillage Res. 2014, 144, 110–118. [Google Scholar] [CrossRef]
  15. Chen, L.; Ma, X.; Tian, B.; Liu, S. Effects of tillage practices and straw return on soil fertility. Anhui Agric. Sci. 2019, 47, 64–66+69. (In Chinese) [Google Scholar]
  16. Unger, P.W. Straw-mulch Rate Effect on Soil Water Storage and Sorghum Yield. Soil Sci. Soc. Am. J. 1978, 42, 486–491. [Google Scholar] [CrossRef]
  17. Doru, A. Effects of heat stress on photosystem II activity and antioxidant enzymes in two maize cultivars. Planta 2021, 253, 85. [Google Scholar] [CrossRef] [PubMed]
  18. Doru, A.; Akirlar, H. Effects of leaf age on chlorophyll fluorescence and antioxidant enzymes activity in winter rapeseed leaves under cold acclimation conditions. Braz. J. Bot. 2020, 43, 11–20. [Google Scholar] [CrossRef]
  19. Acosta-Motos, J.R.; Ortuño, M.F.; Bernal-Vicente, A.; Diaz-Vivancos, P.; Sanchez-Blanco, M.J.; Hernandez, J.A. Plant Responses to Salt Stress: Adaptive Mechanisms. Agronomy 2017, 7, 18. [Google Scholar] [CrossRef]
  20. Zivcak, M.; Brestic, M.; Balatova, Z.; Drevenakova, P.; Olsovska, K.; Kalaji, H.; Yang, X.; Allakhverdiev, I. Photosynthetic electron transport and specific photoprotective responses in wheat leaves under drought stress. Photosynth. Res. 2013, 117, 529–546. [Google Scholar] [CrossRef]
  21. Kalaji, H.; Schansker, G.; Brestic, M.; Bussotti, F.; Calatayud, A.; Ferroni, L.; Goltsev, V.; Guidi, L.; Jajoo, A.; Li, P.; et al. Frequently asked questions about chlorophyll fluorescence, the sequel. Photosynth. Res. 2017, 132, 13–66. [Google Scholar] [CrossRef]
  22. Wang, Z. Saline Soils of China; Science Press: Beijing, China, 1993. (In Chinese) [Google Scholar]
  23. Bao, S. Soil Agrochemical Analysis, 3rd ed.; China Agricultural Press: Beijing, China, 2005; pp. 30–107+264–270. (In Chinese) [Google Scholar]
  24. Huang, C.; Ma, S.; Gao, Y.; Liu, Z.; Qin, A.; Zhao, B.; Ning, D.; Duan, A.; Liu, X.; Chen, H.; et al. Response of Summer Maize Growth and Water Use to Different Irrigation Regimes. Agronomy 2022, 12, 768. [Google Scholar] [CrossRef]
  25. Roháek, K. Chlorophyll Fluorescence Parameters: The Definitions, Photosynthetic Meaning, and Mutual Relationships. Photosynthetica 2002, 40, 13–29. [Google Scholar] [CrossRef]
  26. Fan, W.; Wu, J.; Ahmed, S.; Hu, J.; Chen, X.; Li, X.; Zhu, W.; Opoku-Kwanowaa, Y. Short-Term Effects of Different Straw Returning Methods on the Soil Physicochemical Properties and Quality Index in Dryland Farming in NE China. Sustainability 2020, 12, 2631. [Google Scholar] [CrossRef]
  27. Song, X.; Sun, R.; Chen, W.; Wang, M. Effects of surface straw mulching and buried straw layer on soil water content and salinity dynamics in saline soils. Can. J. Soil Sci. 2019, 100, 58–68. [Google Scholar] [CrossRef]
  28. Cui, S.; Zhang, J.; Sun, M.; Chen, H.; Feng, Z. Leaching effectiveness of desalinization by rainfall combined with wheat straw mulching on heavy saline soil. Arch. Agron. Soil Sci. 2018, 64, 891–902. [Google Scholar] [CrossRef]
  29. Chen, Z.; Wang, H.; Liu, X.; Zhao, X.; Lu, D.; Zhou, J.; Li, C. Changes in soil microbial community and organic carbon fractions under short-term straw return in a rice–wheat cropping system. Soil Tillage Res. 2017, 165, 121–127. [Google Scholar] [CrossRef]
  30. Yu, B.; Yu, X.; Gao, J.; Hu, S.; Sun, J.; Wang, Z.; Gao, X.; Zhu, W. Effects of deep tillage and straw return on soil structure of high-yield spring maize field. Chin. J. Eco-Agric. 2018, 26, 584–592. (In Chinese) [Google Scholar]
  31. Tan, D.; Jin, J.; Huang, S. Effect of long-term application of K fertilizer on spring maize yield and soil K in northeast China. Chin. Agric. Sci. 2007, 40, 2234–2240. (In Chinese) [Google Scholar]
  32. Li, R.; Tao, R.; Ling, N.; Chu, G. Chemical, organic and bio-fertilizer management practices effect on soil physicochemical property and antagonistic bacteria abundance of a cotton field: Implications for soil biological quality. Soil Tillage Res. 2017, 167, 30–38. [Google Scholar] [CrossRef]
  33. Neumann, G.; Rmheld, V. Marschner’s Mineral Nutrition of Higher Plants, 3rd ed.; Academic Press: Cambridge, MA, USA, 2012. [Google Scholar]
  34. Hanin, M.; Ebel, C.; Ngom, M.; Laplaze, L.; Masmoudi, K. New Insights on Plant Salt Tolerance Mechanisms and Their Potential Use for Breeding. Front. Plant Sci. 2016, 7, 1787. [Google Scholar] [CrossRef]
  35. Hiyane, R.; Hiyane, S.; Tang, A.; Boyer, J. Sucrose feeding reverses shade-induced kernel losses in maize. Ann. Bot. 2010, 106, 395–403. [Google Scholar] [CrossRef] [PubMed]
  36. Schubert, S. Salt Resistance of Crop Plants: Physiological Characterization of a Multigenic Trait. In The Molecular and Physiological Basis of Nutrient Use Efficiency in Crops; Wiley-Blackwell: New York, NY, USA, 2011. [Google Scholar]
  37. Mehta, P.; Jajoo, A.; Mathur, S.; Bharti, S. Chlorophyll a fluorescence study revealing effects of high salt stress on Photosystem II in wheat leaves. Plant Physiol. Biochem. 2010, 48, 16–20. [Google Scholar] [CrossRef] [PubMed]
  38. Kalaji, H.; Rastogi, A.; Zivcak, M.; Brestic, M.; Daszkowska-Golec, A.; Sitko, K.; Al-sharafa, K.; Lotfi, R.; Stypinski, P.; Samborska, I.; et al. Prompt chlorophyll fluorescence as a tool for crop phenotyping: An example of barley landraces exposed to various abiotic stress factors. Photosynthetica 2018, 56, 953–961. [Google Scholar] [CrossRef]
  39. Bai, W.; Zhang, L.; Pang, H.; Sun, Z.; Niu, S.; Cai, Q.; An, J. Effect of straw return with nitrogen fertilizer on photosynthetic performance and yield of spring maize in northeast China. Acta Agron. Sin. 2017, 43, 11. (In Chinese) [Google Scholar] [CrossRef]
  40. Zhang, J.; Jiang, X.; Xue, Y.; Li, Z.; Yu, B.; Xu, L.; Lu, X.; Miao, Q.; Liu, Z.; Cui, Z. Closing Yield Gaps through Soil Improvement for Maize Production in Coastal Saline Soil. Agronomy 2019, 9, 573. [Google Scholar] [CrossRef]
Figure 1. Effects of deep straw return to field on plant height and ear height of maize in saline land.
Figure 1. Effects of deep straw return to field on plant height and ear height of maize in saline land.
Agronomy 13 00707 g001
Figure 2. Effects of deep straw return on leaf area index during silking stage in saline land.
Figure 2. Effects of deep straw return on leaf area index during silking stage in saline land.
Agronomy 13 00707 g002
Figure 3. Effects of deep straw return on maize yield and its constituents in saline land. (A,B), and (C) represent the components of maize yield, and (D) represents maize yield. CK is shallow rotation, and DPR is deep straw return treatment.
Figure 3. Effects of deep straw return on maize yield and its constituents in saline land. (A,B), and (C) represent the components of maize yield, and (D) represents maize yield. CK is shallow rotation, and DPR is deep straw return treatment.
Agronomy 13 00707 g003
Figure 4. Principal component analysis of chlorophyll and yield. LAI is the leaf area index; Fv/Fo is the photochemical efficiency; Fv/Fm is the maximum photochemical efficiency; qP is the photochemical quenching coefficient; qN is the non-photochemical burst coefficient; ΦPSII is the actual photochemical efficiency.
Figure 4. Principal component analysis of chlorophyll and yield. LAI is the leaf area index; Fv/Fo is the photochemical efficiency; Fv/Fm is the maximum photochemical efficiency; qP is the photochemical quenching coefficient; qN is the non-photochemical burst coefficient; ΦPSII is the actual photochemical efficiency.
Agronomy 13 00707 g004
Table 1. Basic conditions of experimental sites.
Table 1. Basic conditions of experimental sites.
LocationpHEC1:5
(mS/cm)
Soil Salt Content
(g kg−1)
Organic Matter
(g kg−1)
Olsen P
(mg kg−1)
Exchangeable K (mg kg−1)Available N
(mg kg−1)
Total N
(g kg−1)
S18.71.282.5714.7915.53221.1439.110.515
S29.52.213.635.465.017628.490.367
S39.02.855.768.422.915556.530.507
Table 2. Variance analysis of soil physical and chemical properties with each treatment (F-value).
Table 2. Variance analysis of soil physical and chemical properties with each treatment (F-value).
Source of VariationAvailable NTotal NOlsen PExchangeable KOrganic MatterpHSoil Salt Content
Location (L)267.07 **491.19 **6.36 *90.85 **171.75 **21.64 **10.07 **
Tillage method (T)18.17 **6.92 *14.68 **15.65 **19.06 **70.42 **45.28 **
L × T0.160.280.100.016.57 *10.95 **1.90
Note: * and ** indicates significant difference (p < 0.05 and p < 0.01)
Table 3. Effects of deep straw return on soil nutrient characteristics.
Table 3. Effects of deep straw return on soil nutrient characteristics.
LocationGrowth
Period
Tillage
Method
Soil
Depth
Available N
(mg kg−1)
Total N
(g kg−1)
Olsen P
(mg kg−1)
Exchangeable K
(mg kg−1)
Organic
Matter
(g kg−1)
S1Before
sowing
CK0–2059.62 ± 2.140.93 ± 0.0925.21 ± 3.91175.47 ± 11.8120.83 ± 2.37
20–4032.90 ± 1.050.78 ± 0.0417.24 ± 1.39151.73 ± 2.8413.65 ± 1.46
DPR0–2066.90 ± 2.29 *0.97 ± 0.1326.74 ± 1.15183.01 ± 1.6521.86 ± 0.45
20–4035.16 ± 1.290.84 ± 0.0418.95 ± 0.44167.20 ± 4.64 **14.32 ± 1.06
MaturityCK0–2036.92 ± 1.761.23 ± 0.0921.22 ± 3.87199.99 ± 10.5514.99 ± 0.18
20–4031.67 ± 4.661.07 ± 0.0414.48 ± 4.57188.03 ± 9.3912.88 ± 0.20
DPR0–2037.58 ± 0.841.27 ± 0.1324.13 ± 2.21201.35 ± 12.2823.72 ± 2.02 **
20–4033.67 ± 3.151.13 ± 0.0415.37 ± 0.18194.40 ± 4.7713.39 ± 0.03 *
S2Before
sowing
CK0–2043.86 ± 0.820.89 ± 0.0316.59 ± 0.20153.68 ± 9.9715.78 ± 1.60
20–4020.58 ± 1.230.67 ± 0.0714.81 ± 0.12141.62 ± 0.5812.44 ± 0.89
DPR0–2045.75 ± 1.400.92 ± 0.1119.08 ± 0.87 **163.18 ± 4.0116.41 ± 1.78
20–4023.03 ± 0.88 *0.69 ± 0.0916.05 ± 0.37 **154.37 ± 2.77 **13.00 ± 1.18
MaturityCK0–2033.83 ± 2.721.16 ± 0.1324.81 ± 1.39167.35 ± 11.7124.91 ± 0.04
20–4023.77 ± 0.731.00 ± 0.0316.27 ± 1.17162.61 ± 8.8113.10 ± 0.22
DPR0–2041.68 ± 2.64 *1.26 ± 0.0428.93 ± 1.05 *172.80 ± 4.6225.30 ± 0.29
20–4025.14 ± 0.931.05 ± 0.0616.46 ± 0.14166.64 ± 10.9713.56 ± 0.33
S3Before
sowing
CK0–2025.08 ± 0.880.35 ± 0.0213.14 ± 1.44144.00 ± 1.6911.37 ± 0.26
20–4018.20 ± 0.700.32 ± 0.028.89 ± 0.66119.56 ± 8.8510.48 ± 0.16
DPR0–2028.34 ± 1.01 *0.35 ± 0.0114.91 ± 0.79155.40 ± 1.82 **11.91 ± 0.18 *
20–4020.08 ± 0.70 *0.34 ± 0.029.66 ± 1.81121.61 ± 8.4910.84 ± 0.14 *
MaturityCK0–2024.50 ± 4.680.60 ± 0.0230.48 ± 3.65176.70 ± 6.8411.67 ± 0.11
20–4015.89 ± 2.180.57 ± 0.0315.21 ± 0.52146.81 ± 3.4010.32 ± 0.67
DPR0–2027.75 ± 2.240.65 ± 0.02 *35.12 ± 5.64179.42 ± 4.3012.22 ± 0.37
20–4017.28 ± 0.170.59 ± 0.0317.40 ± 0.27 **162.37 ± 6.27 *10.98 ± 0.53
Note: * indicates significant difference in the same group (p < 0.05), and ** indicates highly significant difference in the same group (p < 0.01) (same below).
Table 4. Effects of deep straw return on soil pH value of saline land.
Table 4. Effects of deep straw return on soil pH value of saline land.
LocationGrowth
Period
Tillage
Method
pH ValueSoil Salt Content (g kg−1)
0–1010–2020–300–1010–2020–30
S1Before sowingCK8.08 ± 0.408.05 ± 0.348.02 ± 0.284.22 ± 0.123.57 ± 0.542.93 ± 0.95
DPR7.80 ± 0.057.64 ± 0.147.48 ± 0.242.57 ± 0.36 **2.51 ± 0.06 *2.45 ± 0.24
Before irrigationCK8.72 ± 0.028.70 ± 0.118.79 ± 0.128.06 ± 1.456.68 ± 1.345.30 ± 1.23
DPR8.62 ± 0.108.68 ± 0.138.65 ± 0.243.90 ± 2.803.41 ± 1.682.93 ± 0.56 *
7 days after irrigationCK8.68 ± 0.018.57 ± 0.078.47 ± 0.132.88 ± 0.752.93 ± 0.423.29 ± 0.03
DPR8.32 ± 0.12 **8.36 ± 0.04 **8.39 ± 0.052.15 ± 1.162.72 ± 0.592.99 ± 0.08 **
MaturityCK9.51 ± 0.479.49 ± 0.189.59 ± 0.313.68 ± 1.992.91 ± 1.002.14 ± 0.02
DPR9.39 ± 0.069.41 ± 0.409.32 ± 0.321.48 ± 0.391.48 ± 0.221.49 ± 0.04 **
S2Before sowingCK8.28 ± 0.038.24 ± 0.038.24 ± 0.0212.24 ± 8.378.41 ± 4.664.58 ± 0.95
DPR8.25 ± 0.088.23 ± 0.278.18 ± 0.513.63 ± 0.713.46 ± 0.773.28 ± 0.83
Before irrigationCK9.28 ± 0.449.29 ± 0.309.31 ± 0.1510.18 ± 9.086.70 ± 4.924.28 ± 0.30
DPR8.20 ± 0.32 *8.30 ± 0.22 **8.40 ± 0.13 **5.22 ± 0.474.75 ± 0.383.22 ± 0.77
7 days after irrigationCK8.71 ± 0.748.60 ± 0.538.50 ± 0.325.40 ± 5.154.23 ± 0.644.92 ± 0.56
DPR7.33 ± 0.31 *7.30 ± 0.23 *7.27 ± 0.15 **3.53 ± 0.733.73 ± 3.062.05 ± 0.95 *
MaturityCK10.01 ± 0.859.89 ± 0.619.77 ± 0.377.11 ± 2.305.15 ± 1.343.20 ± 0.36
DPR9.54 ± 0.409.50 ± 0.309.47 ± 0.202.01 ± 1.89 *1.52 ± 1.18 *1.02 ± 0.47 **
S3Before sowingCK8.89 ± 0.118.85 ± 0.158.82 ± 0.204.58 ± 1.364.32 ± 0.984.07 ± 0.59
DPR8.67 ± 0.108.55 ± 0.148.43 ± 0.172.97 ± 1.873.03 ± 1.593.10 ± 1.32
Before irrigationCK9.70 ± 0.089.72 ± 0.129.74 ± 0.156.87 ± 1.955.89 ± 1.454.92 ± 0.93
DPR9.50 ± 0.249.58 ± 0.129.66 ± 0.016.57 ± 0.045.05 ± 0.053.52 ± 0.13
7 days after irrigationCK8.43 ± 0.078.42 ± 0.108.41 ± 0.135.72 ± 0.047.68 ± 0.169.64 ± 0.35
DPR8.06 ± 0.21 *8.02 ± 0.10 **7.99 ± 0.01 **4.3 ± 1.224.27 ± 1.01 **4.24 ± 0.81 **
MaturityCK9.15 ± 0.119.27 ± 0.159.39 ± 0.195.00 ± 3.144.85 ± 2.574.70 ± 2.00
DPR8.82 ± 0.11 *8.96 ± 0.159.10 ± 0.202.29 ± 0.682.55 ± 0.552.81 ± 0.41
Note: * indicates significant difference in the same group (p < 0.05), and ** indicates highly significant difference in the same group (p < 0.01).
Table 5. Effects of deep straw return on the chlorophyll fluorescence parameters of maize in saline land.
Table 5. Effects of deep straw return on the chlorophyll fluorescence parameters of maize in saline land.
LocationVarietyTillage MethodFv/FoFv/FmqPqNΦPSⅡ
S1DK159CK1.73 ± 0.36 b0.61 ± 0.07 b0.89 ± 0.13 a0.56 ± 0.11 a0.37 ± 0.04 b
DPR2.38 ± 0.33 a,b0.7 ± 0.03 a0.94 ± 0.06 a0.42 ± 0.34 a0.51 ± 0.14 a,b
JSH257CK2.36 ± 0.5 a,b0.7 ± 0.04 a0.87 ± 0.1 a0.65 ± 0.21 a0.37 ± 0.13 b
DPR2.58 ± 0.46 a0.71 ± 0.03 a0.98 ± 0.06 a0.44 ± 0.11 a0.57 ± 0.04 a
S2DK159CK2.25 ± 0.42 b0.75 ± 0.02 a0.88 ± 0.05 a,b0.41 ± 0.11 a0.46 ± 0.01 b
DPR3.69 ± 0.13 a0.9 ± 0.16 a0.97 ± 0.06 a0.21 ± 0.15 a0.69 ± 0.03 a
JSH257CK2.08 ± 0.37 b0.74 ± 0.03 a0.78 ± 0.08 b0.51 ± 0.12 a0.36 ± 0.06 c
DPR3.73 ± 1.09 a0.82 ± 0.26 a0.98 ± 0.02 a0.38 ± 0.24 a0.69 ± 0.01 a
S3DK159CK2.74 ± 0.74 b0.7 ± 0.01 b0.8 ± 0.29 a0.26 ± 0.11 a0.52 ± 0.31 a
DPR4.23 ± 0.61 a0.76 ± 0.04 a0.98 ± 0.01 a0.16 ± 0.07 a0.77 ± 0.06 a
JSH257CK2.33 ± 0.12 b0.7 ± 0 b0.94 ± 0.01 a0.23 ± 0.04 a0.61 ± 0.02 a
DPR4.45 ± 0.51 a0.76 ± 0.02 a0.99 ± 0.01 a0.12 ± 0.08 a0.79 ± 0.01 a
Source of variation
Location (L)14.66 **5.19 *0.1812.22 **12.29 **
Variety (V)0.240.010.180.940.06
Tillage method (T)50.56 **6.01 *10.3 **7.47 *38.16 **
L × V0.880.711.000.880.78
L × T5.55 **0.360.260.160.74
V × T0.140.610.030.010.22
L × V × T0.760.171.180.110.42
Note: Different lowercase letters of the same place in the same column indicate significant differences. * and ** indicates significant difference (p < 0.05 and p < 0.01).
Table 6. Analysis of variance of maize agronomic traits following each treatment (F-value).
Table 6. Analysis of variance of maize agronomic traits following each treatment (F-value).
Source of VariationPlant Height (cm)Ear Height (cm)Leaf Area Index
Location (L)66.03 **134.55 **10.53 **
Variety (V)0.4217.62 **0.30
Tillage method (T)68.36 **79.82 **59.86 **
L × V2.296.98 **4.43 *
L × T4.59 *26.03 **3.55 *
V × T3.443.371.09
L × V × T1.153.40 *0.72
Note: * indicates significant difference in the same group (p < 0.05), and ** indicates highly significant difference in the same group (p < 0.01).
Table 7. Analysis of variance of corn yield and its constituent factors following each treatment (F-value).
Table 7. Analysis of variance of corn yield and its constituent factors following each treatment (F-value).
Source of VariationEffective PaniclesGrain Number per Spike1000-Grain WeightYield
Location (L)516.62 **20.94 **32.90 **47.39 **
Variety (V)2971.75 **311.52 **11246.20 **1245.84 **
Tillage method (T)108.20 **23.43 **5.78 *12.67 **
L × V39.28 **4.12 *27.28 **10.90 **
L × T304.71 **1.945.90 *0.01
V × T128.39 **28.95 **77.82 **25.65 **
L × V × T114.22 **1.758.58 **0.07
Note: * indicates significant difference (p < 0.05), and ** indicates highly significant difference (p < 0.01).
Table 8. Principal component scores and comprehensive evaluation of each index under different degrees of salinity.
Table 8. Principal component scores and comprehensive evaluation of each index under different degrees of salinity.
Treatmenty1y2yOverview
LocationTillage Method
S1CK−1.29−0.08−1.495
DPR−0.721.450.553
S2CK−0.42−1.14−1.526
DPR0.840.711.582
S3CK0.24−1.03−0.694
DPR1.360.091.581
Disclaimer/Publisher’s Note: The statements, opinions and data contained in all publications are solely those of the individual author(s) and contributor(s) and not of MDPI and/or the editor(s). MDPI and/or the editor(s) disclaim responsibility for any injury to people or property resulting from any ideas, methods, instructions or products referred to in the content.

Share and Cite

MDPI and ACS Style

Zhang, H.; Gao, J.; Yu, X.; Ma, D.; Hu, S.; Shen, T. Effect of Deep Straw Return under Saline Conditions on Soil Nutrient and Maize Growth in Saline–Alkali Land. Agronomy 2023, 13, 707. https://doi.org/10.3390/agronomy13030707

AMA Style

Zhang H, Gao J, Yu X, Ma D, Hu S, Shen T. Effect of Deep Straw Return under Saline Conditions on Soil Nutrient and Maize Growth in Saline–Alkali Land. Agronomy. 2023; 13(3):707. https://doi.org/10.3390/agronomy13030707

Chicago/Turabian Style

Zhang, Hao, Julin Gao, Xiaofang Yu, Daling Ma, Shuping Hu, and Tianao Shen. 2023. "Effect of Deep Straw Return under Saline Conditions on Soil Nutrient and Maize Growth in Saline–Alkali Land" Agronomy 13, no. 3: 707. https://doi.org/10.3390/agronomy13030707

APA Style

Zhang, H., Gao, J., Yu, X., Ma, D., Hu, S., & Shen, T. (2023). Effect of Deep Straw Return under Saline Conditions on Soil Nutrient and Maize Growth in Saline–Alkali Land. Agronomy, 13(3), 707. https://doi.org/10.3390/agronomy13030707

Note that from the first issue of 2016, this journal uses article numbers instead of page numbers. See further details here.

Article Metrics

Back to TopTop