Abstract
The application of harvest aids is an important prerequisite for the mechanical harvesting of cotton that can effectively reduce the impurity content and improve the picking rate and operating efficiency of machine-picked cotton. However, determining the appropriate spraying time of harvest aids to achieve the synergistic improvement of cotton boll weight and fiber quality is still unclear. In this study, the damage of harvest aids to cotton boll weight and fiber quality as well as its quantitative relationship to cotton boll age were studied through testing different harvest aid compounds and spraying times. The spraying of harvest aids significantly shortened the boll growth period of cotton by 3.60–6.45 d, and concentrated boll opening was beneficial to cotton mechanical harvesting. The boll weight of immature cotton was significantly decreased by 0.63–1.12 g; the fiber strength was significantly decreased by 2.48–2.77 cN·tex−1, and the micronaire value deteriorated. The negative effect on the boll weight and fiber quality was aggravated by the decrease in the ratio of boll age to boll period (Rd/b) during the harvest aid spraying time. When the fiber strength damage was controlled at 1%, the spraying time Rd/b of the harvest aids was 0.77–0.82, and the boll weight loss was also controlled at 5%. Therefore, it is recommended that an Rd/b of 0.77–0.82 be used to balance the contradiction between cotton yield and fiber quality under harvest aid application.
1. Introduction
Cotton has an indeterminate growth habit, and cotton bolls can be opened 14 d after reaching the maximum dry weight [1]. Temperatures are unstable in the Xinjiang cotton belt, with minimum temperatures dropping sharply in early autumn [2], making it difficult for the upper cotton bolls to mature and open. Therefore, defoliants are usually combined with ethephon to promote rapid leaf shedding and boll opening [3,4]. Defoliation is an important prerequisite for cotton mechanical harvesting, but the decline in leaf sources caused by leaf shedding inevitably affects cotton boll development [5,6,7]. Thidiazuron is the main effective component of chemical defoliants [8], which is usually used with ethephon in production to increase endogenous ethylene release, achieve a good defoliation effect, and promote the concentrated opening of cotton bolls [1,9]. The high efficiency of defoliation and ripening is closely related to the temperature at that time. If the temperature is low in the late growth period and the defoliation effect is poor, this will inevitably result in a high impurity content in seed cotton. Therefore, determining the appropriate spraying time of harvest aids for achieving good defoliation and ripening effects and for coordinating the relationship between cotton yield and fiber quality are of great significance.
At present, the spraying time of harvest aids is mainly determined based on the cotton boll opening rate, the effective accumulated temperature method, the number of main stem nodes above the boll opening rate, the knife cutting method, and the micronaire prediction method [10]. Among these methods, the cotton boll opening rate is commonly used, and performing defoliation after 60% of cotton bolls are open is generally recommended [11,12]. However, the effects of defoliation and ripening are severely affected by the temperature drop during the late growth stage of cotton in Xinjiang. Therefore, the best spraying time for harvest aids is when the boll opening rate reaches 30–40% [13]. Harvest aids destroy the balance of endogenous hormones, reactive oxygen species, and carbon metabolism in cotton leaves by sharply reducing the photosynthetic rate and hindering cotton boll development [7,14,15]. If the harvest aid is applied too early, it seriously affects boll formation and fiber development [5] and increases the proportion of immature cotton bolls and fibers [12,16]. Harvest aids significantly decrease the weight of cotton bolls with a boll age of less than 37 d [17], and they reduce cotton yield and fiber quality [9]. Delaying the spraying time of harvest aids has a positive impact on cotton yield and quality, but it also increases the possibility of encountering severe weather, such as frost and low temperatures [18], which lead to withered leaves and increasing the content of leaf impurities in seed cotton [19,20]. Therefore, a reasonable spraying time for harvest aids helps balance the contradiction between cotton yield and quality so that the boll weight and fiber quality can be improved synergistically.
The cotton boll opening rate is a common method for judging the spraying time of harvest aids, but it does not consider the cotton varieties and cotton boll morphological characteristics. Instead, this problem can be effectively avoided by determining the spraying time of the harvest aids according to the ratio of boll age to boll period (Rd/b) of cotton bolls when harvest aids are sprayed [18]. As such, it is unclear how we can achieve the coordinated improvement of cotton boll weight and fiber quality under conditions of defoliation and ripening. According to the cotton boll characteristics and the damage amount of the fiber quality, the appropriate spraying time of harvest aids has been determined [18], but the Rd/b suitable for spraying harvest aids to coordinate the damage of single boll weight and fiber quality is still to be determined. Accordingly, this study proposed an assessment method for the suitable spraying time of harvest aids by analyzing the different influences and quantitative relationships between the spraying time of harvest aids and cotton single boll weight and fiber quality to provide theoretical and technical support for the coordinated improvement of the yield and quality of machine-picked cotton.
2. Materials and Methods
2.1. Experimental Design
The experiment involving cotton was conducted during 2020 and 2021 at the Wulanwusu Agricultural Meteorological Experimental Station (44°17′ N, 85°49′ E) of the Xinjiang Shihezi Meteorological Bureau, where the average altitude was 468.2 m. Eighteen cotton cultivars (materials) with different defoliant sensitivities and boll morphologies were selected as the test materials, and the boll period was 47 to 66 d.
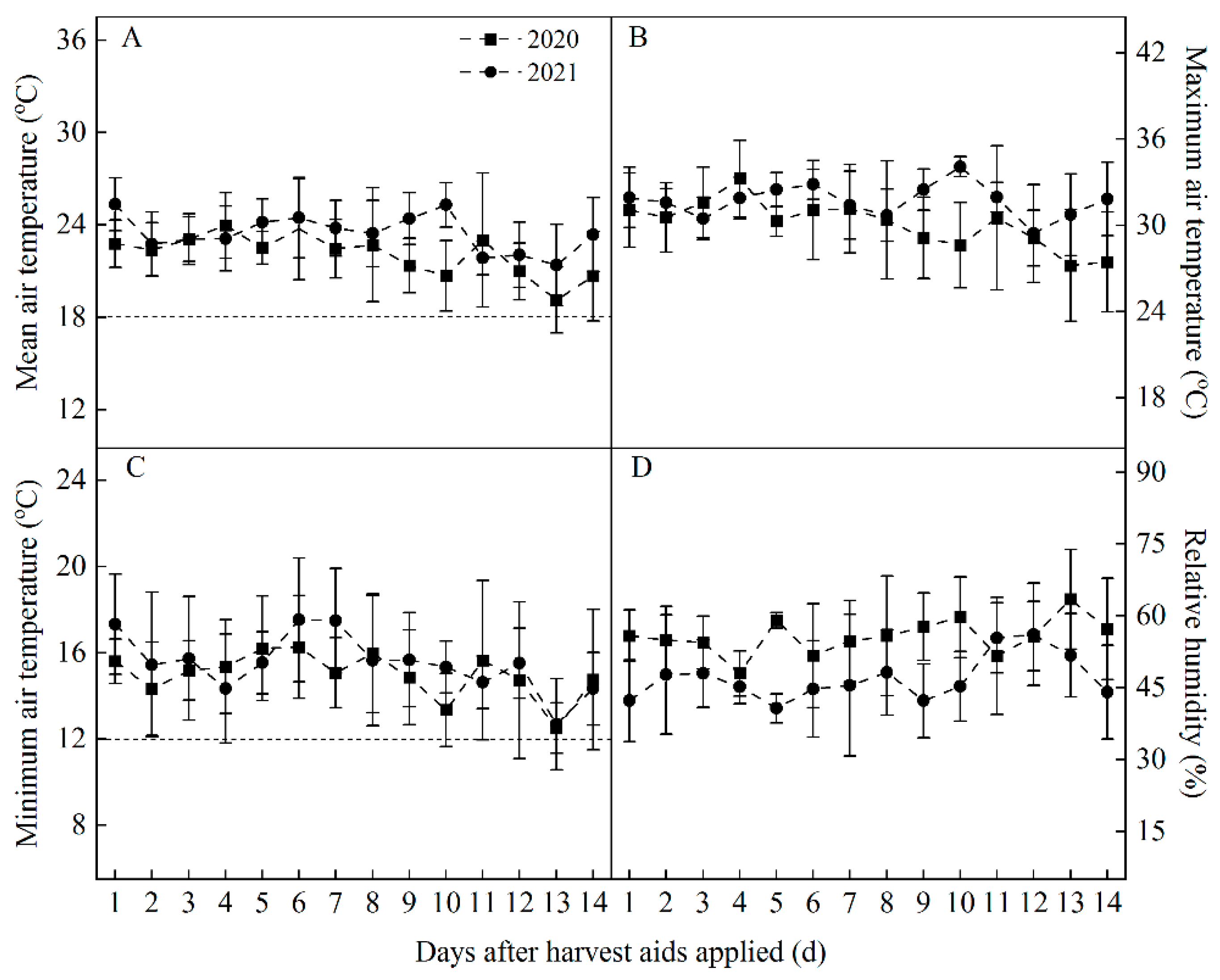
After the cotton plants blossomed, the white flowers on the first fruit node of the upper fruit branch (fruit branch 7–9) were labeled. A split-plot design was adopted. The main plot was treated with harvest aids, i.e., thidiazuron, ethephon, and thidiazuron combined with ethephon (Thid and Ethe), and the control was sprayed with water (CK). The subplot was the spraying time, and the spraying time of the harvest aids was set according to the ratio (Rd/b) of the boll age and boll period when harvest aids were sprayed, namely, as the boll age to the boll period × Rd/b 0.52, boll period × Rd/b 0.62, boll period × Rd/b 0.72, and boll period × Rd/b 0.82. The defoliation agent was a suspension agent containing thidiazuron (Jiangsu Anpon Electrochemical Co., Huaiyin, China), which included 360 g L−1 of thidiazuron and 180 g L−1 of diuron. The ripening agent used was ethephon (Jiangsu Anpon Electrochemical Co.), a 40% water agent, and the dosage was 1350 mL hm−2. The daily maximum, minimum, and mean air temperatures, as well as the daily average relative humidity after harvest aid application, are shown in Figure 1.
Figure 1.
Weather data 14 d after the application of the harvest aids in 2020 and 2021. (A). Daily average temperature. (B). Maximum daily air temperature. (C). Daily minimum temperature. (D). Daily relative humidity.
On 20 April 2020, and 17 April 2021, cotton was planted. Manual topping was carried out on July 9. The plot area was 7.0 m × 6.8 m, and the row spacing configuration was (66 + 10 + 66 + 10 + 66 + 10 cm) × 10 cm. The plant density was about 2.63 × 105 hm−2, and the field management measures followed local practices. The specific cotton varieties (materials), hanging date, and boll period are shown in Table 1.
Table 1.
Tested varieties, dates of marking the white flowers, and boll period.
2.2. Sample Collection and Measurement Items
When the marked cotton bolls cracked, the date was recorded, and the boll period was calculated. Before harvesting, 30–50 cotton bolls of the same size were collected for uniform air drying and ginning, and the fiber weight and seed weight of a single boll were measured. The ginned lint sample was sent to the Supervision, Inspection and Test Center of Cotton Quality, Ministry of Agriculture, Anyang, China, to determine fiber quality using a high-volume instrument (HVI).
The cotton boll period was calculated as the number of days from the date of white flowers to the date of cotton boll dehiscence (linear or micro dehiscence). Rd/b was the ratio of cotton boll age (d) and boll period (b) when harvest aids were applied. The amount of damage was determined as the difference between the control value and the treatment value with harvest aids. A positive value of the difference indicated that the treatment with harvest aids was lower than the control, while a negative value meant that it was higher than the control.
2.3. Data Statistics and Analysis
The DPS data processing system v19.05 was used for data analysis [21], and multiple comparisons were made using the least significant difference method. Origin 2021 (Origin Lab Co., Northampton, MA, USA) was used to plot the figures.
3. Results
3.1. Effect of Harvest Aids on the Cotton Boll Period
The harvest aids significantly affected the boll period of cotton (p < 0.0001). The boll period was shortened by 3.60–4.41 d as a result of the treatment with thidiazuron and ethephon. The boll period was only 49.62 d when thidiazuron was combined with ethephon, which was 6.45 d shorter than that of the control, and 2.04–2.85 d shorter than that with ethephon and thidiazuron (Figure 2). The spraying time of the harvest aids significantly affected the boll period (p < 0.0001). In the interaction of the harvest aids and spraying time, the boll period was not significantly different (Table 2). When the spraying time was an Rd/b of 0.72 and 0.62, the boll period was 50.04–53.29 d, which was significantly reduced by 4.30–5.14 d when compared with the control, and the boll period was shortened by about 3.49–6.73 d compared to when spraying occurred at an Rd/b of 0.82 (Figure 2). When the spraying time was an Rd/b of 0.52, the boll period was only 44.77 d, which was significantly reduced by 4.37–8.17 d when compared with the control. At different boll ages, the boll period was shortened by 5.23–8.17 d in the treatment with thidiazuron combined with ethephon, which was significantly reduced when compared with the control (Figure 2).
Figure 2.
Effects of harvest aid spraying time on the cotton boll period. The thick solid line in the figure indicates the average value. The different letters indicate significant differences between harvest aid treatments at the same spraying time (p < 0.05). When the spraying time was Rd/b 0.52, the number of samples was 9, and the number of other samples was 25.
Table 2.
Variance analysis of cotton boll periods under different harvest aids.
3.2. Effect of Harvest Aids on Single Boll Components and the Quantitative Relationship with Rd/b
3.2.1. Changes in Fiber Weight and Cottonseed Weight per Boll
The harvest aids significantly affected the fiber weight per boll (p = 0.0003). The fiber weight per boll was lowest under the treatment with thidiazuron. The average fiber weight per boll was only 1.51–1.55 g, which was significantly reduced by 24.0–25.9% when compared with the control. The fiber weight per boll under the ethephon treatment was significantly decreased by 0.39 g when compared with the control, which was a decrease of 19.39% (Figure 3). The fiber weight per boll showed a significant interaction between the harvest aid combination and the spraying time. The amount of damage to the fiber weight per boll increased with the decrease in the Rd/b value of the spraying time (Table 3). When the spraying time was an Rd/b of 0.82 and 0.72, the fiber weight per boll was 1.80–2.00 g, and the different spraying treatments decreased by 0.17–0.46 g when compared with the control (Figure 3). When the spraying time was an Rd/b of 0.62 and 0.52, the fiber weight per boll was only 0.90–1.61 g, which was 0.36–0.84 g lower than that of the control (Figure 3).
Figure 3.
Effects of harvest aid spraying time on fiber weight per boll. The thick solid line in the figure indicates the average value. The different letters indicate significant differences between harvest aid treatments at the same spraying time (p < 0.05). When spraying occurred at Rd/b 0.52, the number of samples was 9, and the number of other samples was 25.
Table 3.
Variance analysis of single boll components under different harvest aids.
The cottonseed weight per boll was significantly affected by the harvest aid treatment (p = 0.0004). Thidiazuron and thidiazuron combined with ethephon had the greatest impact on the cottonseed weight per boll, which was significantly reduced by 0.57–0.59 g when compared with the control; this constituted a decrease of 19.8–20.5% (Figure 4). The cottonseed weight per boll was also significantly reduced by 0.24 g (8.6%) under ethephon treatment (Figure 4). There was a significant interaction between the effects of the harvest aid combination and spraying time on the cottonseed weight per boll (Table 3). With the decrease in the Rd/b value of spraying time, the amount of damage to the cottonseed weight per boll also decreased. When the spraying time was an Rd/b of 0.82 and 0.72, the cottonseed weight per boll was 2.58–2.71 g, and the different harvest aids decreased by 0.14–0.48 g when compared with the control (Figure 4). When the spraying time was an Rd/b of 0.62 and 0.52, the cottonseed weight per boll was lowest under the thidiazuron treatment and the thidiazuron combined with ethephon treatment at only 1.85–2.23 g, which was 0.51–0.97 g lower than the control, and the ethephon treatment was 0.32 g lower than the control (Figure 4).
Figure 4.
Effects of harvest aid spraying time on seed weight per boll. The thick solid line in the figure indicates the average value. The different letters indicate significant differences between harvest aid treatments at the same spraying time (p < 0.05). When spraying occurred at Rd/b 0.52, the number of samples was 9, and the number of other samples was 25.
3.2.2. Quantitative Relationship between the Amount of Damage to a Single Boll Component and the Rd/b Value
The amount of damage to the single boll fiber weight and single boll cottonseed weight was negatively correlated with the Rd/b value (Table 4 and Figure 5). According to the fitting between the damage amount and the Rd/b value, the coefficients of determination between the damage amount of fiber weight per boll and cottonseed weight per boll and the value of Rd/b were 0.3033–0.4775 and 0.0934–0.3534, respectively (Figure 5). When the damage to the fiber weight and cottonseed weight per boll was 0%, the Rd/b value was 0.83–0.86 and 0.84–0.88. If the amount of damage was controlled at 5%, the Rd/b value was between 0.77 and 0.82, and the Rd/b value was at its lowest when ethephon was sprayed (Table 4).
Table 4.
Correlation analysis and appropriate Rd/b value of a single boll component damage under different harvest aids.
Figure 5.
The quantitative relationship between the amount of damage to a single boll component and the Rd/b value. The Rd/b value in the figure indicates the ratio of the cotton boll age (d) when the harvest aids were sprayed in the control during the boll period (b), and the control boll period (b) is the boll period that was not sprayed with harvest aids.
3.3. Quantitative Relationship between the Fiber Quality and Rd/b Value under Different Harvest Aids
3.3.1. Change in Fiber Quality
The fiber length was significantly affected by the harvest aids (p = 0.0260) and decreased by 0.61–0.86 mm when compared with the control, while the control fiber length was 28.82 mm (Figure 6). The effect of harvest aid spraying time on fiber length was not significant (Table 5). When the spraying time was an Rd/b of 0.82 and 0.72, the fiber length between different harvest aid treatments was 28.18–28.73 mm, with no significant difference (Figure 6). When spraying occurred at an Rd/b of 0.62 and 0.52, the fiber length between different harvest aids significantly decreased by 0.77–1.49 mm when compared with the control, and the largest reduction was 1.52–2.00 mm when spraying occurred at an Rd/b of 0.52 (Figure 6).
Figure 6.
Effects of harvest aid spraying time on fiber length. The thick solid line in the figure indicates the average value. The different letters indicate significant differences between harvest aid treatments at the same spraying time (p < 0.05). When spraying occurred at Rd/b 0.52, the number of samples was 9, and the number of other samples was 25.
Table 5.
Variance analysis of the fiber length, fiber strength, and micronaire value under different harvest aids.
The fiber strength was significantly affected by the harvest aids, which was significantly reduced by 2.48–2.77 cN·tex−1 when compared with the control (Figure 7). Of the harvest aids, thidiazuron combined with ethephon had the greatest reduction, reaching 3.32 cN·tex−1, while the fiber strength of the control was about 30.04 cN·tex−1 (Figure 7). The effect of harvest aid spraying time on fiber strength was not significant (Table 5). When spraying occurred at an Rd/b of 0.82 and 0.72, the fiber strength of the different harvest aid treatments was 28.43–28.74 cN·tex−1, and there was no significant difference between the treatments (Figure 7). When spraying occurred at an Rd/b of 0.62 and 0.52, the fiber strength among the different harvest aids significantly decreased by 2.78–6.07 cN·tex−1 when compared with the control, and the largest reduction was at an Rd/b of 0.52, where it reached 5.38–6.77 cN·tex−1 (Figure 7).
Figure 7.
Effects of harvest aid and spraying time on fiber strength. The thick solid line in the figure indicates the average value. The different letters indicate significant differences between harvest aid treatments at the same spraying time (p < 0.05). When spraying occurred at Rd/b 0.52, the number of samples was 9, and the number of other samples was 25.
The micronaire value was significantly affected by the harvest aids (Table 5). The micronaire value was 3.90 under the control and was significantly reduced by 0.74 under the ethephon treatment and by 0.93–0.97 under the thidiazuron and thidiazuron combined with ethephon treatment (Figure 8). The spraying time of the harvest aids had a significant effect on the micronaire value (p < 0.0001). When the spraying time was an Rd/b of 0.82, the micronaire value under the different harvest aid treatments was 3.67–4.33, mostly in the A-level range (Figure 8). When spraying occurred at an Rd/b of 0.72, 0.62, and 0.52, the micronaire value decreased significantly by 0.80–1.08 when compared with the control under the different harvest aids, of which an Rd/b of 0.52 decreased the most, and the micronaire value was only 2.77 (Figure 8).
Figure 8.
Effects of harvest aid spraying time on fiber micronaire. The thick solid line in the figure indicates the average value. The different letters indicate significant differences between harvest aid treatments at the same spraying time (p < 0.05). When spraying occurred at Rd/b 0.52, the number of samples was 9, and the number of other samples was 25.
3.3.2. Quantitative Relationship between Fiber Quality Damage and the Rd/b Value
The damage to fiber length was not significantly affected by the Rd/b value of the spraying time of the harvest aids (p > 0.05). The amount of damage to the fiber strength was significantly and negatively correlated with the Rd/b (p < 0.006) under the treatment with different harvest aids (Table 6). By fitting the damage amount and the Rd/b, the correlation coefficient between the damage amount of fiber strength and the value of the Rd/b was 0.1982–0.2549 (Figure 9). When the fiber strength damage was 0.0 cN·tex−1, the Rd/b was 0.79–0.84. When the damage amount was controlled at 0.3 cN·tex−1, the Rd/b was 0.77–0.84 (Table 6). There was a significant positive correlation between the micronaire value and the Rd/b value. By fitting the micronaire and the Rd/b values, the correlation coefficient between the micronaire and the Rd/b values was 0.2309–0.3731 (Figure 9). When the micronaire value was in the A-level range, the Rd/b was 0.77–0.91 (Table 6).
Table 6.
Variance analysis of the fiber quality damage and Rd/b value under different harvest aid treatments and the appropriate Rd/b value.
Figure 9.
Quantitative relationship between the fiber strength damage, micronaire value, and Rd/b value. The Rd/b value in the figure indicates the ratio of the cotton boll age (d) when the harvest aids were sprayed in the control boll period (b), and the control boll period (b) is the boll period with no spraying of harvest aids.
4. Discussion
4.1. Effect of Harvest Aids on the Formation of Boll Weight and Fiber Quality for Spraying at an Appropriate Time
Thidiazuron combined with ethephon is usually sprayed in cotton production to achieve good defoliation and ripening effects [3,14], while the minimum daily average temperatures required for thidiazuron and ethephon to function are 18 °C and 16 °C, respectively [22]. After spraying, warm weather with little or no rain is conducive to the shedding of cotton leaves. In particular, the highest temperature within 7 d after spraying and a daily effective accumulated temperature ≥ 12 °C are considered key factors affecting defoliation [23]. Figure 1 shows that the average temperature and minimum temperature within 7 d of harvest aid application were higher than 18 °C and 12 °C, respectively. Most varieties experienced warm weather after the application of the harvest aids, which was more suitable for defoliation and ripening. Therefore, all varieties had favorable defoliation and ripening weather conditions after the application of the harvest aids. This study showed that the boll period of cotton was significantly shortened by 3.60–6.45 d by the spraying of the harvest aids, and the reduction of the cotton boll period significantly increased with an earlier spraying time. When the Rd/b was 0.52, the boll period was significantly shortened by 4.86–11.24 d by the spraying of the harvest aids (Figure 2). It has been shown that, when the boll age of cotton is less than 35 d, defoliant spraying can reduce cotton yield and fiber quality [24]. Harvest aids cause cotton bolls to crack quickly, which is conducive to the mechanical harvesting of cotton. However, the significant shortening of the boll period caused by early spraying may lead to a reduction in boll weight and a deterioration of fiber quality.
Defoliation and ripening are important prerequisites for the mechanical harvesting of cotton. The spraying of harvest aids significantly reduces the photosynthetic rate of leaves [5,7,25], affects the transport of photosynthetic products from leaves to cotton bolls [5], and promotes the early cracking and ripening of cotton bolls [1]. However, the heat resources in the Xinjiang cotton region are limited, and defoliation and accelerated ripening when the cotton bolls of the plant top are not fully mature need to occur in some cotton fields, which hinders the development of immature cotton bolls and damages the boll weight and fiber quality [4,17]. This study showed that the single boll weight decreased significantly by 0.63–1.12 g after the spraying of the harvest aids (Figure 3 and Figure 4). The cotton boll is the carrier of cotton yield and fiber quality. Oil, protein, and cellulose are the main components of cottonseed and fiber, which accumulate rapidly 25–45 d after anthesis [26,27], and the dry weight of cottonseed and fiber can reach 84.5% and 100%, respectively, 45 d after anthesis. At this time, the spraying of ethephon had no significant impact on the single boll weight and fiber quality [28]. This study showed that, when the spraying time Rd/b was 0.82 and 0.72, the fiber weight per boll and cottonseed weight per boll decreased by 0.17–0.46 g and 0.14–0.48 g, respectively. When the spraying time was an Rd/b of 0.62 and 0.52, the damage amount of the fiber weight per boll and cottonseed weight per boll was more significant, i.e., 0.36–0.84 g and 0.32–0.97 g lower, respectively, than that of the control. The fiber weight per boll was only 0.90–1.61 g (Figure 3 and Figure 4). Defoliation and ripening caused different degrees of damage to immature cotton bolls, and the damage was aggravated with the decrease in Rd/b. An earlier spraying time causes premature interruption of the nutrient supply for cotton boll development, which leads to the blocked formation of various cotton boll components and the reduction of boll weight.
Whether the spraying of cotton harvest aids is reasonable directly affects defoliation and the quality of raw cotton. If cotton bolls are not fully developed to maturity, harvest aids can damage fiber quality to varying degrees [11,29]. Studies have shown that the spraying of harvest aids has no significant effect on fiber length, but there is a significant effect on fiber strength [4]. This study showed that, when spraying occurred at an Rd/b of 0.82 and 0.72, the cotton fiber length was not significantly different from that of the control, but the fiber strength was significantly reduced by 0.70–1.96 cN·tex−1 (Figure 6 and Figure 7). The boll age of cotton is 25–45 d, which is the key period for the formation of fiber strength and the micronaire value [27,30], while the fiber length is basically fixed at 30 d after flowering [31,32]. This study showed that when spraying occurred at an Rd/b of 0.62 and 0.52, the fiber length and strength decreased significantly by 0.44–1.42 mm and 2.69–5.05 cN·tex−1, respectively, and the micronaire value also decreased significantly to 2.21–3.03 (Figure 6, Figure 7 and Figure 8). The source–sink relationship of the cotton boll–leaf system changes as the leaves fall off after the spraying of harvest aids [6], which damage the boll weight and fiber quality [4,17]. The higher the Rd/b, the more mature the cotton boll development [4]. To ensure that the bolls of the cotton plant top can open normally and that the boll weight and fiber quality do not decrease, it is recommended that harvest aids be sprayed at an Rd/b between 0.79–0.88 (Table 4 and Table 6).
4.2. Spraying Harvest Aids at the Appropriate Time according to the Development of Cotton Bolls Can Balance the Contradiction between Cotton Yield and Fiber Quality
Crop maturity is determined by yield, quality, and net income. Cotton maturity consists of three stages: agronomic maturity, physiological maturity, and harvest maturity [33,34]. The time for applying harvest aids is defined as the agronomic maturity period. The physiological maturity of the whole plant refers to the maturity of the topmost harvested cotton bolls, primarily depending on the maturity of the fiber and cottonseed [34]. Spraying harvest aids at an inopportune time can cause cotton bolls to open early; therefore, it cannot be guaranteed that the fiber and seed of cotton bolls are fully mature [11,12]. The early spraying of harvest aids can achieve a good defoliation effect [23], but premature leaf abscission destroys the source–sink balance of the boll–leaf system, inhibits the development of cotton bolls, and leads to the reduction of boll weight and fiber quality [11,12]. The spraying of harvest aids destroys the balance of endogenous hormones, active oxygen, and carbon metabolism in cotton leaves [7,14,15], increases the cellulase activity in the petiole abscission layer formation area, reduces the petiole breaking strength, causing it to gradually shed under external force [35], and decreases the transport of photosynthates to cotton bolls [14]. This study showed that, if the boll weight loss was controlled to within 5%, harvest aids should be sprayed at least when the Rd/b is 0.71–0.77 (Table 4). If the loss of fiber strength was controlled to within 1%, the spraying time Rd/b should be at least 0.77–0.82 (Table 6). Cotton fiber is attached to the seed epidermis, and its development is strictly controlled by the seed. Promoting seed development can effectively increase fiber weight and improve fiber quality [36]. The proper spraying time of harvest aids can not only achieve a good defoliation effect, but can also ensure that the upper bolls of the cotton plant have a longer development time to improve cotton yield and fiber quality [19,29]. This study shows that, when the boll weight and fiber strength damage were controlled at 5% and 1%, respectively, the boll weight was maintained at about 4.66 g, and the fiber strength was 29.7 cN·tex−1. When the fiber strength damage was controlled to below 1%, the boll weight loss was also controlled to below 5%. Therefore, it is recommended that harvest aids be sprayed when the Rd/b is 0.77–0.82 (Table 4 and Table 6), which will help stabilize cotton fiber quality and further improve boll weight.
5. Conclusions
In this study, it was found that the spraying of harvest aids significantly shortened the boll growth period by 3.60–6.45 d and promoted concentrated boll opening in cotton, which was conducive to mechanical harvesting. The spraying of harvest aids significantly reduced the single boll weight of immature cotton by 0.63–1.12 g, which had adverse effects on fiber development. The fiber strength was reduced considerably by 2.48–2.77 cN·tex−1, and the micronaire value deteriorated due to the spraying of harvest aids. When the fiber strength damage was controlled at 1%, the ratio of boll age to boll period (Rd/b) of the harvest aids spraying time was 0.77–0.82, and the boll weight loss was also controlled at 5%. Therefore, to coordinate the damage of boll weight and fiber quality under harvest aids and to achieve the coordinated improvement of cotton yield and quality, it is recommended that harvest aids be sprayed when the Rd/b is 0.77–0.82.
Author Contributions
Formal analysis, Writing—original draft, Writing−review and editing, Visualization, Q.Z. and Y.S.; Investigation, Formal analysis, D.L., P.L. and T.L.; Supervision, D.X. and M.Y.; Investigation, Supervision, Y.Z. and L.G.; Conceptualization, Resources, Supervision, Writing—review and editing, Funding acquisition, J.T. and W.Z. All authors have read and agreed to the published version of the manuscript.
Funding
This work was financially supported by the Research Fund for the National Natural Science Foundation of China, project no. 32060440, the Key Scientific and Technological Project of the Xinjiang Production and Construction Corps, project nos. 2021CB044 and 2020AB017, and the State Key Laboratory of Cotton Biology Open Fund, project no. CB2022A26.
Data Availability Statement
The datasets generated for this study are available upon request to the corresponding author.
Conflicts of Interest
The authors declare no conflict of interest.
References
- Du, M.W.; Ren, X.M.; Tian, X.L.; Duan, L.S.; Zhang, M.C.; Tan, W.M.; Li, Z.H. Evaluation of harvest aid chemicals for the cotton-winter wheat double cropping system. J. Integr. Agric. 2013, 12, 273–282. [Google Scholar] [CrossRef]
- Guo, X.X.; Zeng, W. A study on relationship between temperature and cotton boll development in Xinjiang. Acta Agron. Sin. 1989, 15, 202–212. (In Chinese) [Google Scholar]
- Wang, F.Y.; Han, H.Y.; Lin, H.; Chen, B.; Kong, X.H.; Ning, X.Z.; Wang, X.W.; Yu, Y.; Liu, J.D. Effects of planting patterns on yield, quality, and defoliation in machine-harvested cotton. J. Integr. Agr. 2019, 18, 2019–2028. [Google Scholar] [CrossRef]
- Tian, J.S.; Zhang, X.Y.; Wang, W.M.; Yang, Y.L.; Sui, L.L.; Zhang, P.P.; Zhang, Y.L.; Zhang, W.F.; Gou, L. A method of defoliant application based on fiber damage and boll growth period of machine-harvested cotton. Acta Agron. Sin. 2020, 46, 1388–1397. (In Chinese) [Google Scholar]
- Long, R.L.; Bange, M.P. Consequences of immature fiber on the processing performance of Upland cotton. Field Crops Res. 2011, 121, 401–407. [Google Scholar] [CrossRef]
- Iqbal, N.; Masood, A.; Khan, N.A. Analyzing the significance of defoliation in growth, photosynthetic compensation and source-sink relations. Photosynthetica 2012, 50, 161–170. [Google Scholar] [CrossRef]
- Jin, D.S.; Wang, X.R.; Xu, Y.C.; Gui, H.P.; Zhang, H.H.; Dong, Q.; Sikder, R.K.; Yang, G.Z.; Song, M.Z. Chemical defoliant promotes leaf abscission by altering ROS metabolism and photosynthetic efficiency in gossypium hirsutum. Int. J. Mol. Sci. 2020, 21, 2738. [Google Scholar] [CrossRef]
- Nisler, J.; Kopečný, D.; Končitíková, R.; Zatloukal, M.; Bazgier, V.; Berka, K.; Zalabák, D.; Briozzo, P.; Strnad, M.; Spíchal, L. Novel thidiazuron-derived inhibitors of cytokinin oxidase/dehydrogenase. Plant Mol. Biol. 2016, 92, 235–248. [Google Scholar] [CrossRef]
- Snipes, C.E.; Cathey, G.W. Evaluation of defoliant mixtures in cotton. Field Crops Res. 1992, 28, 327–334. [Google Scholar] [CrossRef]
- Craig, C. W075: Cotton Defoliation Timing. TN: The University of Tennessee Agriculture Extension Service. 2010. Available online: http://trace.tennessee.edu/utk_agexcrop/88 (accessed on 16 June 2022).
- Snipes, C.E.; Baskin, C.C. Influence of early defoliation on cotton yield, seed quality, and fiber properties. Field Crops Res. 1994, 37, 137–143. [Google Scholar] [CrossRef]
- Bange, M.P.; Long, R.L.; Constable, G.A.; Gordon, S.G. Minimizing immature fiber and neps in upland cotton. Agron. J. 2010, 102, 781–789. [Google Scholar] [CrossRef]
- DB65T 3980–2017; Technical Specification of Spraying Defoliant Mechanical Harvesting of Cotton Field. Xinjiang Uygur Autonomous Region Standard: Urumqi, China, 2017.
- Xu, J.; Chen, L.; Sun, H.; Wusiman, N.; Sun, W.N.; Li, B.Q.; Gao, Y.; Kong, J.; Zhang, D.W.; Zhang, X.L.; et al. Crosstalk between cytokinin and ethylene signaling pathways regulates leaf abscission in cotton in response to chemical defoliants. J. Exp. Bot. 2019, 70, 1525–1538. [Google Scholar] [CrossRef] [PubMed]
- Li, F.J.; Wu, Q.; Liao, B.P.; Yu, K.K.; Huo, Y.N.; Meng, L.; Wang, S.M.; Wang, B.M.; Du, M.W.; Tian, X.L.; et al. Thidiazuron promotes leaf abscission by regulating the crosstalk complexities between ethylene, auxin, and cytokinin in cotton. Int. J. Mol. Sci. 2022, 23, 2696. [Google Scholar] [CrossRef] [PubMed]
- Long, R.L.; Delhom, C.D.; Bange, M.P. Effects of cotton genotype, defoliation timing and season on fiber cross-sectional properties and yarn performance. Text. Res. J. 2021, 91, 1943–1956. [Google Scholar] [CrossRef]
- Zhang, X.Y.; Tian, J.S.; Yang, Y.L.; Sui, L.L.; Zhang, P.P.; Zhang, W.F. Response of cotton single boll damage to defoliation and boll stage in northern Xinjiang cotton region. Xinjiang Agric. Sci. 2018, 55, 1186–1193. (In Chinese) [Google Scholar]
- Larson, J.A.; Gwathmey, C.O.; Hayes, R.M. Cotton defoliation and harvest timing effects on yields, quality, and net revenues. Cotton Sci. 2002, 6, 13–27. [Google Scholar]
- Gormus, O.; Kurt, F.; Sabagh, A.E. Impact of defoliation timings and leaf pubescence on yield and fiber quality of cotton. J. Agr. Sci. Tech. 2017, 19, 903–915. [Google Scholar]
- Tian, J.S.; Zhang, X.Y.; Zhang, W.F.; Dong, H.Y.; Jiu, X.L.; Yu, Y.C.; Zhao, Z. Leaf adhesiveness affects damage to fiber strength during seed cotton cleaning of machine-harvested cotton. Ind. Crop. Prod. 2017, 107, 211–216. [Google Scholar] [CrossRef]
- Tang, Q.Y.; Zhang, C.X. Data processing system (DPS) software with experimental design, statistical analysis and data mining developed for use in entomological research. Insect Sci. 2013, 20, 254–260. [Google Scholar] [CrossRef]
- Hake, S.J.; Hake, K.D.; Kerby, T.A. Preharvest/harvest decisions. In Cotton Production Manual; Hake, S.J., Kerby, T.A., Hake, K.D., Eds.; Division of Agriculture and Natural Resources Press: Oakland, CA, USA, 1996; pp. 73–81. [Google Scholar]
- Tian, J.S.; Zhang, X.Y.; Zhang, L.N.; Xu, S.Z.; Qi, B.Q.; Sui, L.L.; Zhang, P.P.; Yang, Y.L.; Zhang, W.F.; Gou, L. Temperatures of promoting rapid leaf abscission of cotton in Xinjiang region. Acta Agron. Sin. 2019, 45, 613–620. (In Chinese) [Google Scholar] [CrossRef]
- Brown, L.C.; Hyer, A.H. Chemical defoliation of cotton: V. effects of premature defoliant and desiccant treatments on boll components, fiber properties, germination, and yield of cotton. Agron. J. 1956, 48, 50–55. [Google Scholar] [CrossRef]
- Gao, L.L.; Li, G.; Kang, Z.H.; Li, J.W.; Wang, M.F.; Ma, Y.Z.; Zhang, J.S. Effect of defoliants on chlorophyll fluorescence of cotton leaves. Cotton Sci. 2016, 28, 345–352. (In Chinese) [Google Scholar]
- Kloth, R.H.; Turley, R.B. Physiology of seed and fiber development. In Physiology of Cotton; Stewart, J.M., Oosterhuis, D.M., Heitholt, J.J., Mauney, J.R., Eds.; Springer: New York, NY, USA, 2010; pp. 111–122. [Google Scholar]
- Zhang, M.L.; Song, X.L.; Ji, H.; Wang, Z.L.; Sun, X.Z. Carbon partitioning in the boll plays an important role in fiber quality in colored cotton. Cellulose 2017, 24, 1087–1097. [Google Scholar] [CrossRef]
- Li, P.M.; Han, B.W.; Xi, H.D. Enhancement of cotton maturity by spary ethephon. Sci. Agric. Sinica. 1981, 3, 47–53. (In Chinese) [Google Scholar]
- Faircloth, J.C.; Edmisten, K.L.; Wells, R.; Stewart, A.M. The influence of defoliation timing on yields and quality of two cotton cultivars. Crop Sci. 2004, 44, 165–172. [Google Scholar] [CrossRef]
- Zhang, M.; Zheng, X.L.; Song, S.Q.; Zeng, Q.W.; Hou, L.; Li, D.M.; Zhao, J.; Wei, Y.; Li, X.B.; Luo, M.; et al. Spatiotemporal manipulation of auxin biosynthesis in cotton ovule epidermal cells enhances fiber yield and quality. Nat. Biotechnol. 2011, 29, 453–458. [Google Scholar] [CrossRef]
- Jasdanwala, R.T.; Sing, Y.D.; Chinoy, J.J. Auxin metabolism in developing cotton hairs. J. Exp. Bot. 1977, 28, 1111–1116. [Google Scholar] [CrossRef]
- Ding, X.Y.; Li, X.B.; Wang, L.; Zeng, J.Y.; Huang, L.; Xiong, L.; Song, S.Q.; Zhao, J.; Hou, L.; Wang, F.L.; et al. Sucrose enhanced reactive oxygen species generation promotes cotton fibre initiation and secondary cell wall deposition. Plant Biotechnol. J. 2021, 19, 1092–1094. [Google Scholar] [CrossRef]
- Bruns, H.A. A survey of factors involved in crop maturity. Agron. J. 2009, 101, 60–66. [Google Scholar] [CrossRef]
- Gwathmey, C.O.; Bange, M.P.; Brodrick, R. Cotton crop maturity: A compendium of measures and predictors. Field Crops Res. 2016, 191, 41–53. [Google Scholar] [CrossRef]
- Mishra, A.; Khare, S.; Trivedi, P.K.; Nath, P. Effect of ethylene, 1-MCP, ABA and IAA on break strength, cellulase and polygalacturonase activities during cotton leaf abscission. S. Afr. J. Bot. 2008, 74, 282–287. [Google Scholar] [CrossRef]
- Ruan, Y.L. Boosting seed development as a new strategy to increase cotton fiber yield and quality. J. Integr. Plant Biol. 2013, 55, 572–575. [Google Scholar] [CrossRef] [PubMed]
Disclaimer/Publisher’s Note: The statements, opinions and data contained in all publications are solely those of the individual author(s) and contributor(s) and not of MDPI and/or the editor(s). MDPI and/or the editor(s) disclaim responsibility for any injury to people or property resulting from any ideas, methods, instructions or products referred to in the content. |
© 2023 by the authors. Licensee MDPI, Basel, Switzerland. This article is an open access article distributed under the terms and conditions of the Creative Commons Attribution (CC BY) license (https://creativecommons.org/licenses/by/4.0/).








