Application of Dairy Effluents to Pastures Affects Soil Nitrogen Dynamics and Microbial Activity
Abstract
1. Introduction
2. Materials and Methods
2.1. Dairy Effluent and Soil Collection
2.2. Experimental Design
2.3. Characterization of Farm Dairy Effluents (FDE)
2.4. Soil Chemical Analysis
2.5. Forage Yield and Nitrogen Fertilizer Replacement Value
2.6. Nitrous Oxide Emission
2.7. Soil Potentially Mineralizable Nitrogen
2.8. Soil Potential Nitrification Activity
2.9. Soil Microbial Enzyme Activities
2.10. Microbial Community Physiological Profiling
2.11. Statistical Analysis
3. Results
3.1. Effluent Characterization
3.2. Yield and N Uptake of F. arundinacea
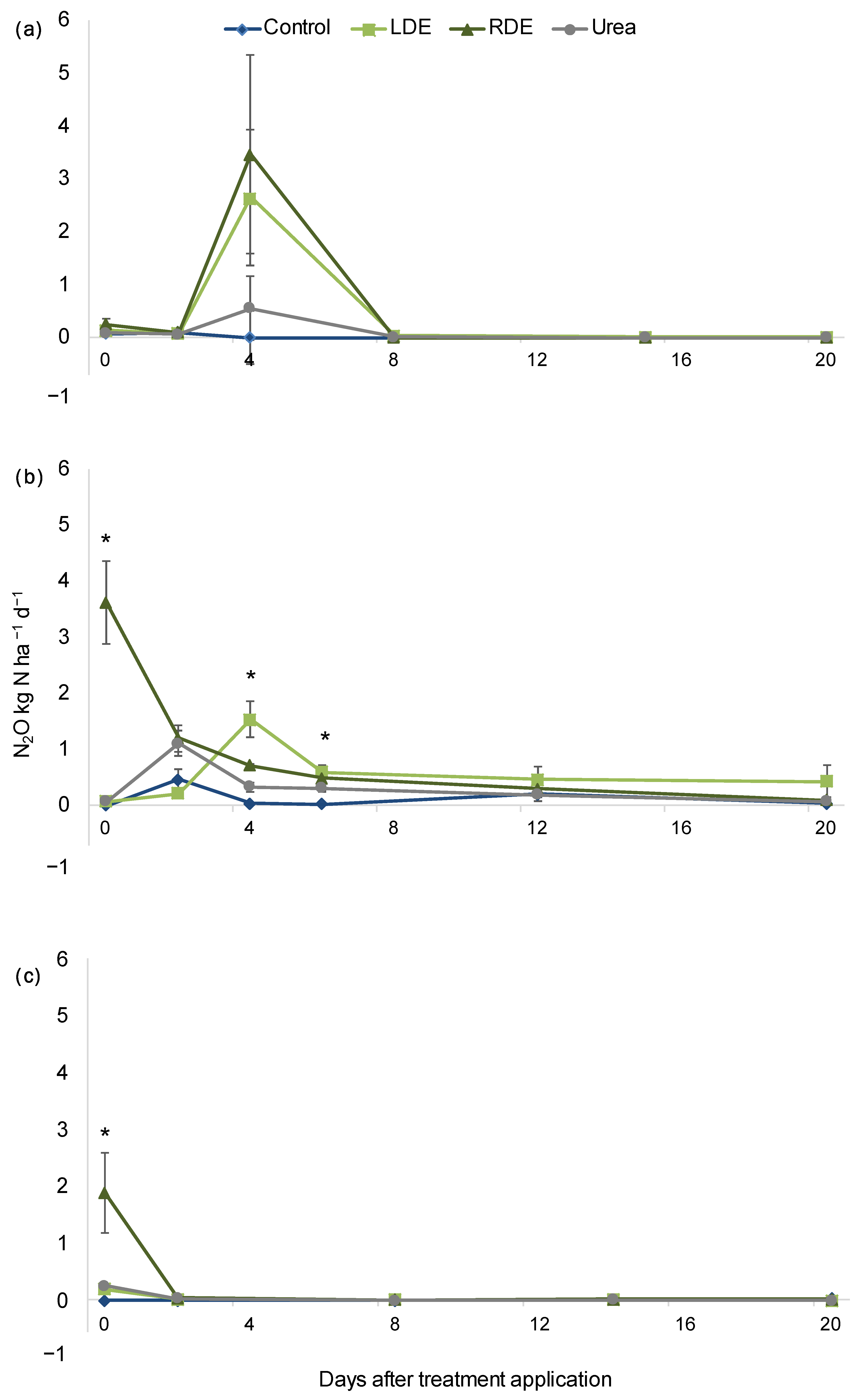
3.3. N2O Fluxes and N Dynamics in Soils
3.4. Soil Microbiological Activities
4. Discussion
4.1. Dairy Effluents as N Fertilizers
4.2. Effect of Farm Dairy Effluent Application on Soil N Dynamics and N2O Emission
4.3. Effect of Farm Dairy Effluent Application on Soil Microbial Functional Diversity and Activity
5. Conclusions
Supplementary Materials
Author Contributions
Funding
Data Availability Statement
Acknowledgments
Conflicts of Interest
References
- INALE. Situación y Perspectiva de la Lechería Uruguaya. 2021. Available online: https://www.inale.org/informes/informe-2021/ (accessed on 1 December 2022).
- Fariña, S.R.; Chilibroste, P. Opportunities and Challenges for the Growth of Milk Production from Pasture: The Case of Farm Systems in Uruguay. Agric. Syst. 2019, 176, 102631. [Google Scholar] [CrossRef]
- DIEA. Anuario Estadístico Agropecuario. Montevideo. MGAP. 2021. Available online: https://www.gub.uy/ministerio-ganaderia-agricultura-pesca/comunicacion/publicaciones/anuario-estadistico-agropecuario-2021 (accessed on 1 December 2022).
- Hawke, R.M.; Summers, S.A. Effects of Land Application of Farm Dairy Effluent on Soil Properties: A Literature Review. N. Z. J. Agric. Res. 2006, 49, 307–320. [Google Scholar] [CrossRef]
- DINAMA. Manual Para la Gestión Ambiental de Tambos. Miniesterio de Ambiente. 2016. Available online: https://www.gub.uy/ministerio-ambiente/comunicacion/publicaciones/manual-para-gestion-ambiental-tambos (accessed on 1 December 2022).
- Ellen McArthur Foundation. Towards the Circular Economy: An Economic and Business Rationale for an Accelerated Transition. 2013. Available online: http://www.ellenmacarthurfoundation.org/publications (accessed on 1 December 2022).
- Herrero, M.A.; Palhares, J.C.P.; Salazar, F.J.; Charlón, V.; Tieri, M.P.; Pereyra, A.M. Dairy Manure Management Perceptions and Needs in South American Countries. Front. Sustain. Food Syst. 2018, 2, 22. [Google Scholar] [CrossRef]
- Pagliari, P.H.; Wilson, M.; Waldrip, H.M.; He, Z. Nitrogen and Phosphorus Characteristics of Beef and Dairy Manure. In Animal Manure: Production, Characteristics, Environmental Concerns, and Management; Waldrip, H.M., Pagliari, P.H., He, Z., Eds.; ASA Special Publications 67: Madison, WI, USA, 2020; pp. 45–62. [Google Scholar]
- INALE. Cartilla Sobre Criterios de Aplicación de Efluente a Terreno y su Implicancia Práctica en el Diseño e Implementación. 2020. Available online: https://www.inale.org/informes/criterios-de-aplicacion-de-efluente-a-terreno-y-su-implicancia-practica-en-el-diseno-e-implementacion/ (accessed on 1 December 2022).
- Salazar, F.; Herrero, M.A.; Charlón, V.; La Manna, A. Slurry Management in Dairy Grazing Farms in South American Countries. In Proceedings of the 14th International Conference of the FAO ESCORENA Network on the Recycling of Agricultural, Municipal and Industrial Redidues in Agriculture, Lisboa, Portugal, 13–15 September 2010; pp. 1–4. [Google Scholar]
- Hagare, D.; Hong, W.T.; Siddiqui, Z.; Natarajan, S.K.; Fyfe, J. Effect of Dairy Pond Sludge/Supernatant Application on Ryegrass Dry Matter Yield and Phosphorus Fractions in Soil. Agriculture 2022, 12, 351. [Google Scholar] [CrossRef]
- Cameron, K.C.; Rate, A.W.; Noonan, M.J.; Moore, S.; Smith, N.P.; Kerr, L.E. Lysimeter Study of the Fate of Nutrients Following Subsurface Injection and Surface Application of Dairy Pond Sludge to Pasture. Agric. Ecosyst. Environ. 1996, 58, 187–197. [Google Scholar] [CrossRef]
- Wang, H.; Magesan, G.N.; Bolan, N.S. An Overview of the Environmental Effects of Land Application of Farm Effluents. N. Z. J. Agric. Res. 2004, 47, 389–403. [Google Scholar] [CrossRef]
- Saggar, S.; Bolan, N.S.; Bhandral, R.; Hedley, C.B.; Luo, J. A Review of Emissions of Methane, Ammonia, and Nitrous Oxide from Animal Excreta Deposition and Farm Effluent Application in Grazed Pastures. N. Z. J. Agric. Res. 2004, 47, 513–544. [Google Scholar] [CrossRef]
- Watch, C. Agriculture. 2020. Available online: https://www.climatewatchdata.org/sectors/agriculture#drivers-of-emissions (accessed on 1 December 2022).
- Chilibroste, P. A Major Challenge for the Uruguayan Dairy Industry Sustainable Growth. Agrociencia Urug. 2021, 25, 25–27. [Google Scholar] [CrossRef]
- Bhandral, R.; Bolan, N.S.; Saggar, S.; Hedley, M.J. Nitrogen Transformation and Nitrous Oxide Emissions from Various Types of Farm Effluents. Nutr. Cycl. Agroecosystems 2007, 79, 193–208. [Google Scholar] [CrossRef]
- Chirinda, N.; Carter, M.S.; Albert, K.R.; Ambus, P.; Olesen, J.E.; Porter, J.R.; Petersen, S.O. Emissions of Nitrous Oxide from Arable Organic and Conventional Cropping Systems on Two Soil Types. Agric. Ecosyst. Environ. 2010, 136, 199–208. [Google Scholar] [CrossRef]
- Ge, G.; Li, Z.; Fan, F.; Chu, G.; Hou, Z.; Liang, Y. Soil Biological Activity and Their Seasonal Variations in Response to Long-Term Application of Organic and Inorganic Fertilizers. Plant Soil 2010, 326, 31–44. [Google Scholar] [CrossRef]
- Iocoli, A.; Orden, L.; Fernando, M.L.; Marisa, A.G.; Villamil, B.; Zabaloy, C. Towards Sustainable Dairy Production in Argentina: Evaluating Nutrient and CO2 Release from Raw and Processed Farm Waste. Agronomy 2021, 11, 2595. [Google Scholar] [CrossRef]
- Delgado-Baquerizo, M.; Maestre, F.T.; Reich, P.B.; Jeffries, T.C.; Gaitan, J.J.; Encinar, D.; Berdugo, M.; Campbell, C.D.; Singh, B.K. Microbial Diversity Drives Multifunctionality in Terrestrial Ecosystems. Nat. Commun. 2016, 7, 10541. [Google Scholar] [CrossRef]
- Insam, H.; Parkinson, D.; Domsch, K.H. Influence of Macroclimate on Soil Microbial Biomass. Soil Biol. Biochem. 1989, 21, 211–221. [Google Scholar] [CrossRef]
- Moscatelli, M.C.; Secondi, L.; Marabottini, R.; Papp, R.; Stazi, S.R.; Mania, E.; Marinari, S. Assessment of Soil Microbial Functional Diversity: Land Use and Soil Properties Affect CLPP-MicroResp and Enzymes Responses. Pedobiologia 2018, 66, 36–42. [Google Scholar] [CrossRef]
- Rutgers, M.; Wouterse, M.; Drost, S.M.; Breure, A.M.; Mulder, C.; Stone, D.; Creamer, R.E.; Winding, A.; Bloem, J. Monitoring Soil Bacteria with Community-Level Physiological Profiles Using BiologTM ECO-Plates in the Netherlands and Europe. Appl. Soil Ecol. 2016, 97, 23–35. [Google Scholar] [CrossRef]
- Nannipieri, P.; Giagnoni, L.; Renella, G.; Puglisi, E.; Ceccanti, B.; Masciandaro, G.; Fornasier, F.; Moscatelli, M.C.; Marinari, S. Soil Enzymology: Classical and Molecular Approaches. Biol. Fertil. Soils 2012, 48, 743–762. [Google Scholar] [CrossRef]
- Neufeld, K.R.; Grayston, S.J.; Bittman, S.; Krzic, M.; Hunt, D.E.; Smukler, S.M. Long-Term Alternative Dairy Manure Management Approaches Enhance Microbial Biomass and Activity in Perennial Forage Grass. Biol. Fertil. Soils 2017, 53, 613–626. [Google Scholar] [CrossRef]
- Liu, Y.Y.; Haynes, R.J. Influence of Land Application of Dairy Factory Effluent on Soil Nutrient Status and the Size, Activity, Composition and Catabolic Capability of the Soil Microbial Community. Appl. Soil Ecol. 2011, 48, 133–141. [Google Scholar] [CrossRef]
- Shi, Y.; Ziadi, N.; Hamel, C.; Bittman, S.; Hunt, D.; Lalande, R. Soil Microbial Biomass, Activity, and Community Composition as a Ff Ected by Dairy Manure Slurry Applications in Grassland Production. Appl. Soil Ecol. 2017, 125, 97–107. [Google Scholar] [CrossRef]
- Fox, E.M.; Fanning, S.; Corsetti, A.; Jordan, K. Microbial Food Safety along the Dairy Chain. Front. Microbiol. 2017, 8, 1612. [Google Scholar] [CrossRef] [PubMed]
- APHA. Standard Methods for the Examination of Water and Wastewater, 21st ed.; American Public Health Association: Washington, DC, USA, 2005. [Google Scholar]
- Mebius, L.J. A Rapid Method for the Determination of Organic Carbon in Soil. Anal. Chim. Acta 1960, 22, 120–124. [Google Scholar] [CrossRef]
- Bremner, J.M.; Mulvaney, C.S. Total Nitrogen. In Methods of Soil Analysis. Part 2. Chemical and Microbiological Properties; Page, A.L., Miller, R.H., Dinauer, K., Eds.; American Society of Agronomy: Madison, WI, USA, 1996; pp. 595–624. [Google Scholar]
- Rhine, E.D.; Mulvaney, R.L.; Pratt, E.J.; Sims, G.K. Improving the Berthelot Reaction for Determining Ammonium in Soil Extracts and Water. Soil Sci. Soc. Am. J. 1998, 62, 473. [Google Scholar] [CrossRef]
- Mulvaney, R.L. Nitrogen—Inorganic Forms. In Methods of Soil Analysis. Part 3. Chemical Methods; Page, A.L., Miller, R.H., Dinauer, K., Eds.; American Society of Agronomy: Madison, WI, USA, 1996; pp. 1123–1184. [Google Scholar]
- Nelson, D.W.; Sommers, L.E. Total Carbon, Organic Carbon, and Organic Matter. In Methods of Soil Analysis: Part 3 Chemical Methods; Sparks, D.L., Ed.; Soil Science Society of America and American Society of Agronomy: Madison, WI, USA, 1996; pp. 961–1010. [Google Scholar]
- Arlo, L.; Beretta, A.; Szogi, A.A.; del Pino, A. Biomass Production, Metal and Nutrient Content in Sorghum Plants Grown on Soils Amended with Sewage Sludge. Heliyon 2022, 8, e08658. [Google Scholar] [CrossRef] [PubMed]
- Baral, K.R.; Labouriau, R.; Olesen, J.E.; Petersen, S.O. Agriculture, Ecosystems and Environment Nitrous Oxide Emissions and Nitrogen Use Ef Fi Ciency of Manure and Digestates Applied to Spring Barley. Agric. Ecosyst. Environ. 2017, 239, 188–198. [Google Scholar] [CrossRef]
- Tarlera, S.; Capurro, M.C.; Irisarri, P.; Scavino, A.F.; Cantou, G.; Roel, A. Yield-Scaled Global Warming Potential of Two Irrigation Management Systems in a Highly Productive Rice System. Sci. Agric. 2016, 73, 43–50. [Google Scholar] [CrossRef]
- Bowden, D.; Melillo, M.; Steudler, A. Effects of Nitrogen Additions on Anual Nitrous Oxide Fluxes from Temperate Forest Soils in the Northeastern United States. J. Geophys. Res. 1991, 96, 9321–9328. [Google Scholar] [CrossRef]
- Kandeler, E. Nitrogen Mineralization. In Methods in Soil Biology; Schinner, F., Ohlinger, R., Margesin, R., Kandeler, E., Eds.; Springer: Berlin/Heidelberg, Germany, 1996; pp. 135–143. [Google Scholar]
- Hoffmann, H.; Schloter, M.; Wilke, B.M. Microscale-Scale Measurement of Potential Nitrification Rates of Soil Aggregates. Biol. Fertil. Soils 2007, 44, 411–413. [Google Scholar] [CrossRef]
- von Mersi, W.; Schinner, F. An Improved and Accurate Method for Determining the Dehydrogenase Activity of Soils with Iodonitrotetrazolium Chloride. Biol. Fertil. Soils 1991, 11, 216–220. [Google Scholar] [CrossRef]
- Margesin, R. Acid and Alkaline Phosphomonoesterase Activity with the Substrate P-Nitrophenyl Phosphate. In Methods in Soil Biology; Schinner, F., Ohlinger, R., Margesin, R., Kandeler, E., Eds.; Springer: Berlin/Heidelberg, Germany, 1996; pp. 2013–2016. [Google Scholar]
- Kandeler, E. Urease Activity by Colorimetric Technique. In Methods in Soil Biology; Schinner, F., Ohlinger, R., Margesin, R., Kandeler, E., Eds.; Springer: Berlin/Heidelberg, Germany, 1996; pp. 171–174. [Google Scholar]
- Garland, J.L.; Mills, A.L. Classification and Characterization of Heterotrophic Microbial Communities on the Basis of Patterns of Community-Level Sole-Carbon-Source Utilization. Appl. Environ. Microbiol. 1991, 57, 2351–2359. [Google Scholar] [CrossRef]
- Christian, B.W.; Lind, O.T. Key Issues Concerning Biolog Use for Aerobic and Anaerobic Freshwater Bacterial Community-Level Physiological Profiling. Int. Rev. Hydrobiol. 2006, 91, 257–268. [Google Scholar] [CrossRef]
- Insam, H. A New Set of Substrates Proposed for Community Characterization in Environmental Samples. In Microbial Communities: Functional Versus Structural Approaches; Insam, H., Rangger, A., Eds.; Springer: Berlin/Heidelberg, Germany, 1997; pp. 259–260. [Google Scholar] [CrossRef]
- Di Rienzo, J.A.; Casanoves, F.; Balzarini, M.G.; González, L.; Tablada, M.; Robledo, Y.C. InfoStat Versión 2020. Centro de Transferencia InfoStat, FCA, Universidad Nacional de Córdoba, Argentina: Córdoba. 2017. Available online: http://www.infostat.com.ar (accessed on 16 July 2019).
- Wickham, H.; Chang, W.; Wickham, M.H. ggplot2: Elegant Graphics for Data Analysis; Statistics and Computing, Data and Information Visualization, Computer Graphics; Springer: Cham, Switzerland, 2016; pp. 1–189. [Google Scholar] [CrossRef]
- Demanet, R.; Aguilera, M.; Mora, M. Efecto de La Aplicación de Purines Sobre El Sistema Suelo-Planta. Front. Agrícola 1999, 5, 87–94. [Google Scholar]
- Longhurst, R.D.; Roberts AH, C.; O’Connor, M.B. Farm Dairy Effluent: A Review of Published Data on Chemical and Physical Characteristics in New Zealand. N. Z. J. Agric. Res. 2000, 43, 7–14. [Google Scholar] [CrossRef]
- Luo, G.; Li, L.; Friman, V.P.; Guo, J.; Guo, S.; Shen, Q.; Ling, N. Organic Amendments Increase Crop Yields by Improving Microbe-Mediated Soil Functioning of Agroecosystems: A Meta-Analysis. Soil Biol. Biochem. 2018, 124, 105–115. [Google Scholar] [CrossRef]
- Zaman, M.; Cameron, K.C.; Di, H.J.; Inubushi, K. Changes in Mineral N, Microbial Biomass and Enzyme Activities in Different Soil Depths after Surface Applications of Dairy Shed Effluent and Chemical Fertilizer. Nutr. Cycl. Agroecosystems 2002, 63, 275–290. [Google Scholar] [CrossRef]
- Zhang, H.; Vocasek, F.; Antonangelo, J.; Gillespie, C. Temporal Changes of Manure Chemical Compositions and Environmental Awareness in the Southern Great Plains. In Animal Manure: Production, Characteristics, Environmental Concerns, and Management; Waldrip, H.M., Pagliari, P.H., He, Z., Eds.; ASA Special Publications 67: Madison, WI, USA, 2020; pp. 15–26. [Google Scholar]
- Kok, D.D.; Scherer, L.; de Vries, W.; Trimbos, K.; van Bodegom, P.M. Relationships of Priming Effects with Organic Amendment Composition and Soil Microbial Properties. Geoderma 2022, 422, 115951. [Google Scholar] [CrossRef]
- Amon, B.; Kryvoruchko, V.; Amon, T.; Zechmeister-Boltenstern, S. Methane, Nitrous Oxide and Ammonia Emissions during Storage and after Application of Dairy Cattle Slurry and Influence of Slurry Treatment. Agric. Ecosyst. Environ. 2006, 112, 153–162. [Google Scholar] [CrossRef]
- Rudisill, M.A.; Turco, R.F.; Hoagland, L.A. Fertility Practices and Rhizosphere Effects Alter Ammonia Oxidizer Community Structure and Potential Nitri Fi Cation Activity in Pepper Production Soils. Appl. Soil Ecol. 2016, 99, 70–77. [Google Scholar] [CrossRef]
- Hazard, C.; Prosser, J.I.; Nicol, G.W. Use and Abuse of Potential Rates in Soil Microbiology. Soil Biol. Biochem. 2021, 157, 108242. [Google Scholar] [CrossRef]
- Calderón, F.J.; McCarty, G.W.; Reeves, J.B. Analysis of Manure and Soil Nitrogen Mineralization during Incubation. Biol. Fertil. Soils 2005, 41, 328–336. [Google Scholar] [CrossRef]
- Clough, T.J.; Balaine, N.; Cameron, K.C.; Petersen, S.O.; Sommer, S.G. Effects of Dairy Shed Effluent Dry Matter Content on Ammonia and Nitrous Oxide Emissions from a Pasture Soil. J. Agric. Sci. 2018, 156, 1070–1078. [Google Scholar] [CrossRef]
- Prosser, J.I.; Hink, L.; Gubry-Rangin, C.; Nicol, G.W. Nitrous Oxide Production by Ammonia Oxidizers: Physiological Diversity, Niche Differentiation and Potential Mitigation Strategies. Glob. Chang. Biol. 2020, 26, 103–118. [Google Scholar] [CrossRef] [PubMed]
- Hofstra, N.; Bouwman, A.F. Denitrification in Agricultural Soils: Summarizing Published Data and Estimating Global Annual Rates. Nutr. Cycl. Agroecosystems 2005, 72, 267–278. [Google Scholar] [CrossRef]
- Liang, D.; Robertson, G.P. Nitrification Is a Minor Source of Nitrous Oxide (N2O) in an Agricultural Landscape and Declines with Increasing Management Intensity. Glob. Chang. Biol. 2021, 27, 5599–5613. [Google Scholar] [CrossRef]
- Van Nguyen, Q.; Wu, D.; Kong, X.; Bol, R.; Petersen, S.O.; Jensen, L.S.; Liu, S.; Brüggemann, N.; Glud, R.N.; Larsen, M.; et al. Effects of Cattle Slurry and Nitrification Inhibitor Application on Spatial Soil O2 Dynamics and N2O Production Pathways. Soil Biol. Biochem. 2017, 114, 200–209. [Google Scholar] [CrossRef]
- Bourdin, F.; Sakrabani, R.; Kibblewhite, M.G.; Lanigan, G.J. Effect of Slurry Dry Matter Content, Application Technique and Timing on Emissions of Ammonia and Greenhouse Gas from Cattle Slurry Applied to Grassland Soils in Ireland. Agric. Ecosyst. Environ. 2014, 188, 122–133. [Google Scholar] [CrossRef]
- Wei, X.; Zhu, Z.; Wei, L.; Wu, J.; Ge, T. Biogeochemical Cycles of Key Elements in the Paddy-Rice Rhizosphere: Microbial Mechanisms and Coupling Processes. Rhizosphere 2019, 10, 100145. [Google Scholar] [CrossRef]
- Laubach, J.; Heubeck, S.; Pratt, C.; Woodward, K.B.; Guieysse, B.; Van Der Weerden, T.J.; Chung, M.L.; Shilton, A.N.; Craggs, R.J. Review of Greenhouse Gas Emissions from the Storage and Land Application of Farm Dairy Effluent. N. Z. J. Agric. Res. 2015, 58, 203–233. [Google Scholar] [CrossRef]
- Bonanomi, G.; Filippis, F.D.e.; Zotti, M.; Idbella, M. Repeated Applications of Organic Amendments Promote Bene Fi Cial Microbiota, Improve Soil Fertility and Increase Crop Yield. Appl. Soil Ecol. 2020, 156, 103714. [Google Scholar] [CrossRef]
- Watts, D.B.; Torbert, H.A.; Feng, Y.; Prior, S.A. Soil Microbial Community Dynamics as Influenced by Composted Dairy Manure, Soil Properties, and Landscape Position. Soil Sci. 2010, 175, 474–486. [Google Scholar] [CrossRef]
- Lladó, S.; Baldrian, P. Community-Level Physiological Profiling Analyses Show Potential to Identify the Copiotrophic Bacteria Present in Soil Environments. PLoS ONE 2017, 12, e0171638. [Google Scholar] [CrossRef] [PubMed]
- Liao, J.D.; Boutton, T.W. Soil Microbial Biomass Response to Woody Plant Invasion of Grassland. Soil Biol. Biochem. 2008, 40, 1207–1216. [Google Scholar] [CrossRef]
- Wei, D.; Yang, Q.; Zhang, J.-Z.; Wang, S.; Chen, X.L.; Zhang, X.L.; Li, W.Q. Bacterial Community Structure and Diversity in a Black Soil as Affected by Long-Term Fertilization. Pedosph. An. Int. J. 2008, 18, 582–592. [Google Scholar] [CrossRef]
- Frąc, M.; Oszust, K.; Lipiec, J. Community Level Physiological Profiles (CLPP), Characterization and Microbial Activity of Soil Amended with Dairy Sewage Sludge. Sensors 2012, 12, 3253–3268. [Google Scholar] [CrossRef]
- Gallet, C.; Boissier, J.-M.; Berlandis, M. Short-Term Effects of Manure Application on Soil Leachates in a Mountain Catchment. Agronomie 2003, 23, 335–344. [Google Scholar] [CrossRef]
- Banning, N.C.; Lalor, B.M.; Cookson, W.R.; Grigg, A.H.; Murphy, D.V. Analysis of Soil Microbial Community Level Physiological Profiles in Native and Post-Mining Rehabilitation Forest: Which Substrates Discriminate? Appl. Soil Ecol. 2012, 56, 27–34. [Google Scholar] [CrossRef]





| Parameter | Application Dates | |||||||
|---|---|---|---|---|---|---|---|---|
| September | November | January | March | |||||
| RDE | LDE | RDE | LDE | RDE | LDE | RDE | LDE | |
| pH | 8.1 ± 0.0 a | 8.3 ± 0.0 a | 8.5 ± 0.1 a | 8.5 ± 0.0 a | 8.1 ± 0.1 a | 8.5 ± 0.1 b | 7.3 ± 0.0 a | 8.3 ± 0.1 b |
| Total solids, % | 0.24 ± 0.01 a | 0.16 ± 0.03 a | 1.06 ± 0.06 b | 0.33 ± 0.01 a | 0.97 ± 0.03 b | 2.13 ± 0.20 a | 0.61 ± 0.04 a | 0.69 ± 0.19 a |
| Suspended solids, % | 0.11 ± 0.01 a | 0.06 ± 0.01 a | 0.46 ± 0.07 b | 0.08 ± 0.01 a | 1.23 ± 0.07 b | 0.54 ± 0.01 a | 0.40 ± 0.04 a | 0.72 ± 0.16 b |
| CE mS, cm−1 | 2.8 ± 0.2 a | 3.1 ± 0.3 a | 4.0 ± 0.1 a | 3.2 ± 0.3 b | 4.6 ± 0.1 a | 3.2 ± 0.0 b | 2.8 ± 0.3 a | 1.9 ± 0.1 b |
| Organic C, mg L−1 | 848 ± 0.97 b | 316 ± 0.16 a | 1825 ± 157 b | 202 ± 0.72 a | 1436 ± 0.68 a | 1242 ± 135 a | 1191 ± 139 b | 340 ± 0.81 a |
| Kjeldahl N, mg L−1 | 205 ± 0.9 a | 202 ± 0.3 a | 399 ± 0.9 b | 137 ± 16 a | 517 ± 0.9 b | 241 ± 22 a | 364 ± 0.7 b | 195 ± 13 a |
| Organic N, mg L−1 | 142 ± 0.4 | 92 ± 14 | 286 ± 0.5 | 91 ± 15 | 396 ± 0.9 | 188 ± 23 | 268 ± 0.7 | 151 ± 12 |
| NH4+–N, mg L−1 | 63 ± 0.2 a | 111 ± 17 b | 80 ± 41 b | 46 ± 0.2 a | 122 ± 0.2 b | 53 ± 0.1 a | 96 ± 0.8 b | 44 ± 0.1 a |
| C:N | 6.0 b | 3.7 a | 6.4 b | 2.4 a | 3.6 a | 7.0 b | 4.5 b | 2.3 a |
| Treatments | Total Pasture Yield (g DM pot−1) *1 | N Uptake (mg pot−1) *1 | NUE 1 | NFRV (%) 1 |
|---|---|---|---|---|
| Control | 26.44 ± 1.11 | 106.2 ± 06 | ||
| LDE | 28.01 ± 0.53 | 117.6 ± 02 | 0.15 ± 0.03 | 22.4 ± 5.5 |
| RDE | 33.15 ± 1.02 | 136.8 ± 09 | 0.38 ± 0.19 | 60.5 ± 30.1 |
| Urea | 30.92 ± 5.18 | 156.8 ± 20 | 0.63 ± 0.43 |
| Treatments | AWCD | AUC | GE | H′ | SR | E |
|---|---|---|---|---|---|---|
| Control | 1.72 ± 0.06 a | 2.11 ± 0.09 a | 2.16 ± 0.05 a | 3.17 ± 0.03 a | 24.66 ± 0.67 a | 0.97 ± 0.00 ab |
| LDE | 1.75 ± 0.00 a | 2.21 ± 0.07 a | 2.06 ± 0.06 a | 3.23 ± 0.03 a | 26.33 ± 0.67 a | 0.96 ± 0.00 a |
| RDE | 1.73 ± 0.02 a | 2.22 ± 0.03 a | 2.06 ± 0.03 a | 3.23 ± 0.02 a | 26 ± 0.58 a | 0.98 ± 0.00 b |
| Urea | 1.51 ± 0.06 b | 1.8 ± 0.07 b | 1.9 ± 0.08 b | 3.17 ± 0.04 a | 24.66 ± 0.88 a | 0.97 ± 0.00 ab |
Disclaimer/Publisher’s Note: The statements, opinions and data contained in all publications are solely those of the individual author(s) and contributor(s) and not of MDPI and/or the editor(s). MDPI and/or the editor(s) disclaim responsibility for any injury to people or property resulting from any ideas, methods, instructions or products referred to in the content. |
© 2023 by the authors. Licensee MDPI, Basel, Switzerland. This article is an open access article distributed under the terms and conditions of the Creative Commons Attribution (CC BY) license (https://creativecommons.org/licenses/by/4.0/).
Share and Cite
Illarze, G.; del Pino, A.; Rodríguez-Blanco, A.; Irisarri, P. Application of Dairy Effluents to Pastures Affects Soil Nitrogen Dynamics and Microbial Activity. Agronomy 2023, 13, 470. https://doi.org/10.3390/agronomy13020470
Illarze G, del Pino A, Rodríguez-Blanco A, Irisarri P. Application of Dairy Effluents to Pastures Affects Soil Nitrogen Dynamics and Microbial Activity. Agronomy. 2023; 13(2):470. https://doi.org/10.3390/agronomy13020470
Chicago/Turabian StyleIllarze, Gabriela, Amabelia del Pino, Andrea Rodríguez-Blanco, and Pilar Irisarri. 2023. "Application of Dairy Effluents to Pastures Affects Soil Nitrogen Dynamics and Microbial Activity" Agronomy 13, no. 2: 470. https://doi.org/10.3390/agronomy13020470
APA StyleIllarze, G., del Pino, A., Rodríguez-Blanco, A., & Irisarri, P. (2023). Application of Dairy Effluents to Pastures Affects Soil Nitrogen Dynamics and Microbial Activity. Agronomy, 13(2), 470. https://doi.org/10.3390/agronomy13020470

