Evaluation of the Carry-Over Effect of the “Crop-Forcing” Technique and Water Deficit in Grapevine ‘Tempranillo’ †
Abstract
1. Introduction
2. Materials and Methods
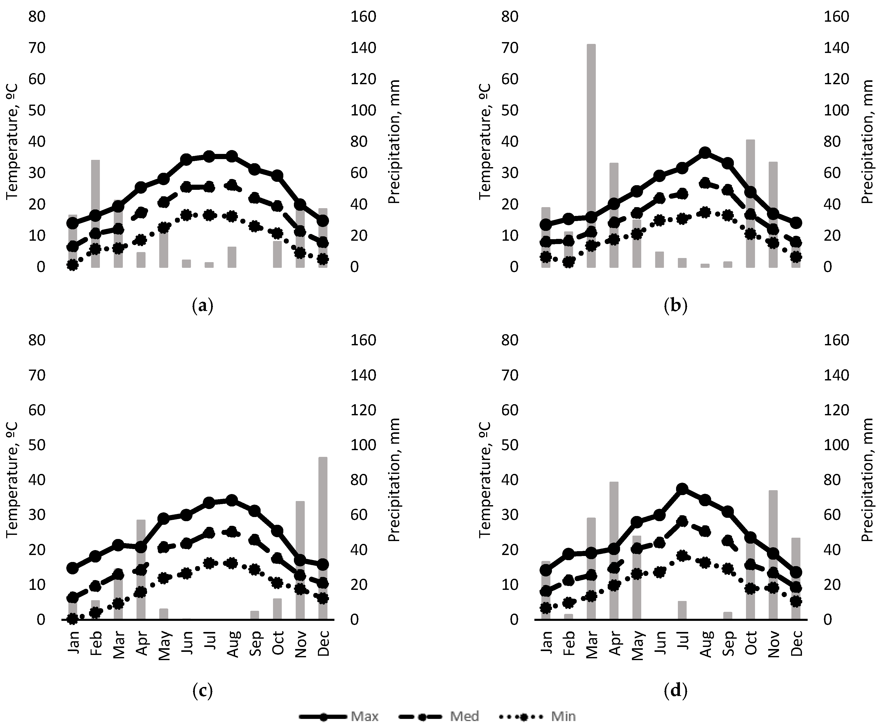
2.1. Location, Description of the Vineyard and Weather Conditions
2.2. Treatments and Experimental Design
2.3. Vine Phenology and Water Status
2.4. Production of Biomass
2.5. Soluble Sugar Extraction and Starch Digestion
2.6. Statistical Data Analysis
3. Results
3.1. Climatology, Phenology and Water Status
3.2. Starch Content in Vegetative Organs
3.2.1. Roots
3.2.2. Shoots (Winter Pruning)
3.2.3. Leaves
3.3. Soluble Sugar Content in Vegetative Organs
3.3.1. Roots
3.3.2. Shoots
3.3.3. Leaves
3.4. Biomass
4. Discussion
5. Conclusions
Supplementary Materials
Author Contributions
Funding
Institutional Review Board Statement
Informed Consent Statement
Data Availability Statement
Acknowledgments
Conflicts of Interest
References
- Gu, S.; Jacobs, S.D.; McCarthy, B.S.; Gohil, H.L. Forcing vine regrowth and shifting fruit ripening in a warm region to enhance fruit quality in “Cabernet Sauvignon” grapevine (Vitis vinifera L.). J. Hortic. Sci. Biotechnol. 2012, 87, 287–292. [Google Scholar] [CrossRef]
- Kishimoto, M.; Yamamoto, T.; Kobayashi, Y. Effects of Lateral or Secondary Induced Shoot Use on Number of Bunches and Fruit Quality in Forcing Cultivation by Current Shoot Cutting and Flower Cluster Removal to Shift Grape Ripening to a Cooler Season. Hortic. J. 2022, 91, 169–175. [Google Scholar] [CrossRef]
- Martínez-Moreno, A.; Sanz, F.; Yeves, A.; Gil-Muñoz, R.; Martínez, V.; Intrigliolo, D.S.; Buesa, I. Forcing bud growth by double-pruning as a technique to improve grape composition of Vitis vinifera L. cv. Tempranillo in a semi-arid Mediterranean climate. Sci. Hortic. 2019, 256, 108614. [Google Scholar] [CrossRef]
- Martinez De Toda, F.; Garcia, J.; Balda, P. Preliminary results on forcing vine regrowth to delay ripening to a cooler period. Vitis J. Grapevine Res. 2019, 58, 17–22. [Google Scholar]
- Lebon, G.; Wojnarowiez, G.; Holzapfel, B.; Fontaine, F.; Vaillant-Gaveau, N.; Clément, C. Sugars and flowering in the grapevine (Vitis vinifera L.). J. Exp. Bot. 2008, 59, 2565–2578. [Google Scholar] [CrossRef]
- Loescher, W.H.; Mccamant, T.; Keller, J.D. Carbohydrate Reserves, Translocation, and Storage in Woody Plant Roots. HortSci. 1990, 25, 274–281. [Google Scholar] [CrossRef]
- Mullins, M.G.; Bouquet, A.; Williams, L.E. Biology of the Grapevine; Cambridge University Press: London, UK, 1992; p. 239. [Google Scholar]
- Zapata, C.; Magne, C.; Deléens, E.; Brun, O.; Audran, J.C.; Chaillou, S. Grapevine culture in trenches: Root growth and dry matter partitioning. Aust. J. Grape Wine Res. 2001, 7, 127–131. [Google Scholar] [CrossRef]
- Köse, B.; Ateş, S. Saisonale Veränderungen von Kohlenhydratgehalten im Spross und Wachstumseigenschaften bei der Rebsorte ‘Trakya İlkeren’ (Vitis vinifera L.). Erwerbs Obstbau. 2017, 59, 61–70. [Google Scholar] [CrossRef]
- Pellegrino, A.; Clingeleffer, P.; Cooley, N.; Walker, R. Management practices impact vine carbohydrate status to a greater extent than vine productivity. Front. Plant Sci. 2014, 5, 1–13. [Google Scholar] [CrossRef]
- Zapata, C.; Deléens, E.; Chaillou, S.; Magné, C. Mobilisation and distribution of starch and total N in two grapevine cultivars differing in their susceptibility to shedding. Funct. Plant Biol. 2004, 31, 1127–1135. [Google Scholar] [CrossRef]
- Candolfi-Vasconcelos, M.C.; Candolfi, M.P.; Kohlet, W. Retranslocation of carbon reserves from the woody storage tissues into the fruit as a response to defoliation stress during the ripening period in Vitis vinifera L. Planta 1994, 192, 567–573. [Google Scholar] [CrossRef]
- Chaumont, M.; Foyer, C.H. Seasonal and diurnal changes in photosynthesis and carbon partitioning in Vitis vinifera leaves in vines with and without fruit. J. Exp. Bot. 1994, 45, 1235–1243. [Google Scholar] [CrossRef]
- Smith, J.P.; Holzapfel, B.P. Cumulative responses of semillon grapevines to late season perturbation of carbohydrate reserve status. Am. J. Enol. Vitic. 2009, 60, 461–470. [Google Scholar] [CrossRef]
- Zapata, C.; Deléens, E.; Chaillou, S.; Magné, C. Partitioning and mobilization of starch and N reserves in grapevine (Vitis vinifera L.). J. Plant Physiol. 2004, 161, 1031–1040. [Google Scholar] [CrossRef]
- Conradie, W.J. Seasonal Uptake of Nutrients by Chenin Blanc in Sand Culture: II. Phosphorus, Potassium, Calcium and Magnesium. S. Afr. J. Enol. Vitic. 1980, 2, 1978–1981. [Google Scholar] [CrossRef]
- Hale, C.R.; Weaver, R.J. The effect of developmental stage on direction of translocation of photosynthate in Vitis vinifera. Hilgardia 1962, 33, 89–131. [Google Scholar] [CrossRef]
- Kriedemann, P.E.; Kuewer, W.M. Leaf age and photosynthesis in Vitis vinifera L. Irrig. Insights 1970, 104, 97–104. [Google Scholar]
- Scholefield, P.; Neales, T.; May, P. Carbon Balance of the Sultana Vine (Vitis vinifera L.) And the Effects of Autumn Defoliation by Harvest-Pruning. Funct. Plant Biol. 1978, 5, 561. [Google Scholar] [CrossRef]
- Weyand, K.M.; Schultz, H.R. Long-term dynamics of nitrogen and carbohydrate reserves in woody parts of minimally and severely pruned Riesling vines in a cool climate. Am. J. Enol. Vitic. 2006, 57, 172–182. [Google Scholar] [CrossRef]
- Poni, S.; Gatti, M.; Tombesi, S.; Squeri, C.; Sabbatini, P.; Lavado Rodas, N.; Frioni, T. Double cropping in vitis vinifera l. pinot noir: Myth or reality? Agronomy 2020, 10, 799. [Google Scholar] [CrossRef]
- Bennett, J.; Jarvis, P.; Creasy, G.; Trought, M. Influence of Defoliation on Overwintering Carbohydrate Reserves, Return Bloom, and Yield of Mature Chardonnay Grapevines. Am. J. Enol. Vitic. 2005, 56, 386–393. [Google Scholar] [CrossRef]
- Vaillant-Gaveau, N.; Wojnarowiez, G.; Petit, A.N.; Jacquens, L.; Panigai, L.; Clément, C.; Fontaine, F. Relationships between carbohydrates and reproductive development in chardonnay grapevine: Impact of defoliation and fruit removal treatments during four successive growing seasons. J. Int. Sci. Vigne Vin. 2014, 48, 219–229. [Google Scholar] [CrossRef]
- Rogiers, S.Y.; Holzapfel, B.P.; Smith, J.P. Sugar accumulation in roots of two grape varieties with contrasting response to water stress. Ann. Appl. Biol. 2011, 159, 399–413. [Google Scholar] [CrossRef]
- Holzapfel, B.P.; Smith, J.P.; Field, S.K.; James Hardie, W. Dynamics of Carbohydrate Reserves in Cultivated Grapevines. Hortic. Rev. 2010, 37, 143–211. [Google Scholar]
- Jones, G.V. Climate and terroir: Impacts of climate variability and change on wine. In Fine Wine and Terroir—The Geoscience Perspective; Geoscience Canada Reprint; Macqueen, R.W., Meinerts, L.D., Eds.; Geological Association of Canada: St. John’s, NL, Canada, 2006; p. 247. [Google Scholar]
- Transición Ministerio para la Transición Ecológica y el reto Demográfico. Plataforma sobre Adaptación al Cambio Climático en España. Available online: http://escenarios.adaptecca.es/#&model=EURO-CORDEX (accessed on 24 January 2022).
- Lavado, N.; Uriarte, D.; Mancha, L.A.; Moreno, D.; Valdés, E.; Prieto, M.H. Effect of forcing vine regrowth on ’Tempranillo’ (Vitis vinifera L.) berry development and quality in Extremadura. Vitis 2019, 58, 135–142. [Google Scholar]
- Lavado, N.; Uriarte, D.; Mancha, L.A.; Moreno, D.; Valdés, M.E.; Prieto, M.H. Assessment of the crop forcing technique and irrigation strategy on the ripening of Tempranillo grapes in a semi-arid climate. 2023; Under Review. [Google Scholar]
- Lavado, N.; Prieto, M.H.; Mancha, L.A.; Moreno, D.; Valdés, M.E.; Uriarte, D. Combined effect of crop forcing and reduced irrigation as techniques to delay the ripening and improve the quality of ’Tempranillo’ (Vitis vinifera L.) berries in semi-arid climate conditions. 2023; Under Review. [Google Scholar]
- Martí, P.; González-Altozano, P.; López-Urrea, R.; Mancha, L.A.; Shiri, J. Modeling reference evapotranspiration with calculated targets. Assessment and implications. Agric. Water Manag. 2015, 149, 81–90. [Google Scholar] [CrossRef]
- van Leeuwen, C.; Tregoat, O.; Choné, X.; Bois, B.; Pernet, D.; Gaudillére, J.P. Vine water status is a key factor in grape ripening and vintage quality for red bordeaux wine. How can it be assessed for vineyard management purposes? J. Int. Sci. Vigne Vin. 2009, 43, 121–134. [Google Scholar] [CrossRef]
- Picón-Toro, J.; González-Dugo, V.; Uriarte, D.; Mancha, L.A.; Testi, L. Effects of canopy size and water stress over the crop coefficient of a “Tempranillo” vineyard in south-western Spain. Irrig. Sci. 2012, 30, 419–432. [Google Scholar] [CrossRef]
- Coombe, B.G. Growth Stages of the Grapevine: Adoption of a system for identifying grapevine growth stages. Aust. J. Grape Wine Res. 1995, 1, 104–110. [Google Scholar] [CrossRef]
- Shackel, K.A.; Ahmadi, H.; Biasi, W.; Buchner, R.; Goldhamer, D.; Gurusinghe, S.; Hasey, J.; Kester, D.; Krueger, B.; Lampinen, B.; et al. Plant Water Status as an Index of Irrigation Need in Deciduous Fruit Trees. HortTechnology 1997, 7, 23–29. [Google Scholar] [CrossRef]
- Landhäusser, S.M.; Chow, P.S.; Turin Dickman, L.; Furze, M.E.; Kuhlman, I.; Schmid, S.; Wiesenbauer, J.; Wild, B.; Gleixner, G.; Hartmann, H.; et al. Standardized protocols and procedures can precisely and accurately quantify non-structural carbohydrates. Tree Physiol. 2018, 38, 1764–1778. [Google Scholar] [CrossRef] [PubMed]
- Quentin, A.G.; Pinkard, E.A.; Ryan, M.G.; Tissue, D.T.; Baggett, L.S.; Adams, H.D.; Maillard, P.; Marchand, J.; Landhäusser, S.M.; Lacointe, A.; et al. Non-structural carbohydrates in woody plants compared among laboratories. Tree Physiol. 2015, 35, 1146–1165. [Google Scholar] [CrossRef] [PubMed]
- Jackson, R. Wine Science: Principles and Applications; Academic Press: San Diego, CA, USA, 2008; p. 749. [Google Scholar]
- May, P. The Grapevine as a Perennial Plastic and Productive Plant; Lee, T., Ed.; Australian Industrial Publishers: Adelaide, Australia, 1987; pp. 40–49. [Google Scholar]
- Oliver-Manera, J.; Anić, M.; García-Tejera, O.; Girona, J. Evaluation of carbon balance and carbohydrate reserves from forced (Vitis vinifera L.) cv. Tempranillo vines. Front. Plant Sci. 2022, 13, 998910. [Google Scholar]










| No “Crop-Forcing” (NF) | Early “Crop-Forcing” (F1) | Late “Crop-Forcing” (F2) | |
|---|---|---|---|
| Full irrigation (C) | C-NF | C-F1 | C-F2 |
| Deficit irrigation (RI) | RI-NF | RI-F1 | RI-F2 |
| C-NF | RI-NF | C-F1 | RI-F1 | C-F2 | RI-F2 | ||
|---|---|---|---|---|---|---|---|
| 2017 | BB-CFP | - | - | −0.56 | −0.52 | −0.63 | −0.62 |
| CFP-F | −0.49 | −0.56 | −0.64 | −0.6 | −0.55 | −0.69 | |
| F-FS | −0.64 | −0.72 | −0.61 | −0.63 | −0.79 | −1.03 | |
| FS-V | −0.61 | −1.12 | −0.89 | −1.06 | −0.74 | −0.90 | |
| V-H | −0.82 | −1.24 | −0.86 | −0.98 | −0.58 | −0.71 | |
| PostH | −0.7 | −1.01 | −0.63 | −0.7 | −0.42 | −0.50 | |
| 2018 | BB-CFP | - | - | −0.45 | −0.45 | −0.49 | −0.51 |
| CFP-F | −0.41 | −0.48 | −0.51 | −0.52 | - | - | |
| F-FS | −0.41 | −0.48 | −0.56 | −0.57 | −0.62 | −0.78 | |
| FS-V | −0.49 | −1.00 | −0.67 | −0.98 | −0.61 | −0.96 | |
| V-H | −0.61 | −0.92 | −0.65 | −0.87 | −0.59 | −0.67 | |
| PostH | −0.59 | −0.67 | −0.45 | −0.51 | −0.47 | −0.46 | |
| 2019 | BB-CFP | - | - | −0.52 | −0.64 | −0.64 | −0.73 |
| CFP-F | - | - | −0.69 | −0.73 | - | - | |
| F-FS | −0.65 | −0.77 | −0.61 | −0.62 | −0.58 | −0.58 | |
| FS-V | −0.70 | −1.06 | −0.68 | −0.74 | −0.64 | −0.78 | |
| V-H | −0.75 | −0.78 | −0.68 | −0.71 | −0.62 | −0.77 | |
| PostH | −0.74 | −0.77 | −0.60 | −0.66 | −0.54 | −0.67 | |
| 2020 | BB-CFP | - | - | - | - | - | - |
| CFP-F | - | - | - | - | - | - | |
| F-FS | −0.55 | −0.45 | −0.48 | −0.5 | −0.47 | −0.45 | |
| FS-V | −0.63 | −0.68 | −0.61 | −0.71 | −0.61 | −0.71 | |
| V-H | −0.65 | −0.75 | −0.66 | −0.62 | −0.69 | −0.73 | |
| PostH | −0.67 | −0.69 | −0.66 | −0.65 | −0.66 | −0.68 |
| Year | Statistical Analysis | C-NF | C-F1 | C-F2 | RI-NF | RI-F1 | RI-F2 | FxI | Forcing | Forcing Factor | Irrigation | Irrigation Factor | ||||
|---|---|---|---|---|---|---|---|---|---|---|---|---|---|---|---|---|
| NF | F1 | F2 | C | RI | ||||||||||||
| Yield (g dry/vine) | 2017 | p. | 1137.0 | 548.1 | 743.0 | 671.8 | 354.4 | 356.0 | n.s. | 904.4 a | 451.3 b | 549.5 b | *** | 809.4 | 460.7 | *** |
| 2018 | p. | 1066.5 | 506.0 | 523.4 | 885.7 | 465.0 | 508.1 | n.s. | 976.1 a | 485.5 b | 515.7 b | *** | 698.6 | 619.6 | n.s. | |
| 2019 | p. | 1784.8 a | 670.1 cd | 801.8 cd | 1225.6 b | 609.7 d | 857.0 c | ** | 1505.2 | 639.9 | 829.4 | *** | 1085.5 | 897.4 | ** | |
| 2020 | p. | 232.4 | 250.9 | 359.8 | 259.1 | 228.5 | 247.4 | n.s. | 245.8 | 239.7 | 303.6 | n.s. | 281.1 | 245.0 | * | |
| Winter Pruning (g dry/vine) | 2017 | n.p. | 814.0 a | 741.0 a | 502.8 b | 504.8 b | 713.3 a | 406.5 b | *** | 659.4 | 727.1 | 454.6 | *** | 685.9 | 541.5 | *** |
| 2018 | n.p. | 1178.1 a | 763.8 b | 528.0 c | 803.8 b | 636.8 bc | 495.5 c | *** | 990.9 | 700.3 | 511.8 | ** | 823.3 | 645.3 | *** | |
| 2019 | n.p. | 995.0 a | 686.5 ab | 433.5 c | 917.5 a,b | 649.0 bc | 465.8 c | *** | 956.3 | 667.8 | 449.6 | n.s. | 705.0 | 677.4 | *** | |
| 2020 | n.p. | 1114.5 a | 1023.3 ab | 672.5 c | 1277.0 a | 1016.3 a | 773.2 bc | *** | 1195.8 | 1019.8 | 722.8 | * | 936.8 | 1022.1 | *** | |
| Green Pruning (g dry/vine) | 2017 | p. | 87.6 a | 81.9 ab | 60.7 b | 88.6 a | ** | 74.1 | 85.2 | n.s. | 84.7 | 74.6 | n.s. | |||
| 2018 | n.p. | 35.3 a,b | 44.1 a | 27.2 b | 38.0 a | 41.4 a | 34.3 a,b | *** | 36.7 | 42.7 | 30.7 | *** | 35.5 | 37.9 | n.s. | |
| 2019 | p. | 62.7 | 79.9 | 73.6 | 66.4 | 82.7 | 85.7 | n.s. | 64.6 b | 81.3 a | 79.6 a | *** | 72.1 | 78.3 | * | |
| Forcing Pruning (g dry/vine) | 2017 | p. | 239.8 c | 687.4 a | 217.2 c | 452.3 b | ** | 228.5 | 569.8 | *** | 463.6 | 334.7 | *** | |||
| 2018 | n.p. | 348.5 b | 458.4 a | 322.4 b | 468.4 a | *** | 335.4 | 463.4 | *** | 403.5 | 395.4 | n.s. | ||||
| 2019 | n.p. | 278.8 b | 375.5 a | 249.9 b | 357.9 a | *** | 264.4 | 366.7 | *** | 327.2 | 303.9 | n.s. | ||||
| Leaves (g dry/vine) | 2017 | n.p. | 1001.7 a | 578.0 b | 422.3 c | 584.3 b | 685.7 b | 335.3 c | *** | 793.0 | 631.8 | 378.8 | *** | 667.3 | 535.1 | ** |
| 2018 | n.p. | 1396.6 a | 757.0 b | 343.6 d | 545.7 c | 574.4 bc | 293.0 d | *** | 971.1 | 665.7 | 318.3 | *** | 832.4 | 471.0 | *** | |
| 2019 | n.p. | 892.2 a | 975.5 a | 373.9 bc | 498.9 b | 977.0 a | 291.4 c | *** | 695.6 | 976.2 | 332.6 | *** | 747.2 | 589.1 | *** | |
| 2020 | p. | 1076.4 | 1271.7 | 958.7 | 1222.5 | 1155.0 | 979.2 | n.s. | 1149.5 a | 1213.3 a | 968.9 b | *** | 1102.3 | 1118.9 | n.s. | |
| Year | Statistical Analysis | C-NF | C-F1 | C-F2 | RI-NF | RI-F1 | RI-F2 | FxI | Forcing | Forcing Factor | Irrigation | Irrigation Factor | ||||
|---|---|---|---|---|---|---|---|---|---|---|---|---|---|---|---|---|
| NF | F1 | F2 | C | RI | ||||||||||||
| Yield/LA (g/m2) | 2017 | n.p. | 180.0 a | 108.8 b | 183.8 a | 178.2 a | 77.0 b | 86.7 b | *** | 179.1 | 92.9 | 135.2 | *** | 157.5 | 113.9 | ** |
| 2018 | n.p. | 81.4 bc | 59.8 c | 151.6 ab | 172.6 a | 70.1 c | 160.6 a | *** | 127.0 | 64.9 | 156.1 | *** | 97.6 | 134.4 | *** | |
| 2019 | n.p. | 210.3 a | 70.5 b | 180.7 a | 248.5 a | 70.0 b | 231.6 a | *** | 229.4 | 70.2 | 206.2 | *** | 153.8 | 183.4 | n.s. | |
| 2020 | n.p. | 17.8 ab | 20.4 ab | 38.1 a | 17.0 b | 17.7 b | 19.6 ab | *** | 17.4 | 19.0 | 28.9 | ** | 25.4 | 18.1 | ** | |
| LA/Leaves (cm2/g) | 2017 | n.p. | 71.1 b | 92.5 ab | 98.5 ab | 67.0 b | 71.6 b | 131.5 a | ** | 69.1 | 82.1 | 115.0 | ** | 87.4 | 90.1 | n.s. |
| 2018 | n.p. | 112.2 ab | 114.6 ab | 121.6 ab | 99.4 b | 121.3 ab | 138.0 a | * | 105.8 | 118.0 | 129.8 | ** | 116.1 | 119.6 | n.s. | |
| 2019 | p. | 105.5 | 102.6 | 126.0 | 101.5 | 96.8 | 134.0 | n.s. | 103.5 b | 99.7 b | 130.0 a | *** | 111.3 | 110.8 | n.s. | |
| 2020 | p. | 142.9 | 101.5 | 113.0 | 130.5 | 129.8 | 125.4 | n.s. | 136.7 | 115.7 | 119.2 | n.s. | 119.1 | 128.6 | n.s. | |
Disclaimer/Publisher’s Note: The statements, opinions and data contained in all publications are solely those of the individual author(s) and contributor(s) and not of MDPI and/or the editor(s). MDPI and/or the editor(s) disclaim responsibility for any injury to people or property resulting from any ideas, methods, instructions or products referred to in the content. |
© 2023 by the authors. Licensee MDPI, Basel, Switzerland. This article is an open access article distributed under the terms and conditions of the Creative Commons Attribution (CC BY) license (https://creativecommons.org/licenses/by/4.0/).
Share and Cite
Lavado, N.; Uriarte, D.; Mancha, L.A.; Moreno, D.; Valdés, M.E.; Prieto, M.H. Evaluation of the Carry-Over Effect of the “Crop-Forcing” Technique and Water Deficit in Grapevine ‘Tempranillo’. Agronomy 2023, 13, 395. https://doi.org/10.3390/agronomy13020395
Lavado N, Uriarte D, Mancha LA, Moreno D, Valdés ME, Prieto MH. Evaluation of the Carry-Over Effect of the “Crop-Forcing” Technique and Water Deficit in Grapevine ‘Tempranillo’. Agronomy. 2023; 13(2):395. https://doi.org/10.3390/agronomy13020395
Chicago/Turabian StyleLavado, Nieves, David Uriarte, Luis Alberto Mancha, Daniel Moreno, M. Esperanza Valdés, and M. Henar Prieto. 2023. "Evaluation of the Carry-Over Effect of the “Crop-Forcing” Technique and Water Deficit in Grapevine ‘Tempranillo’" Agronomy 13, no. 2: 395. https://doi.org/10.3390/agronomy13020395
APA StyleLavado, N., Uriarte, D., Mancha, L. A., Moreno, D., Valdés, M. E., & Prieto, M. H. (2023). Evaluation of the Carry-Over Effect of the “Crop-Forcing” Technique and Water Deficit in Grapevine ‘Tempranillo’. Agronomy, 13(2), 395. https://doi.org/10.3390/agronomy13020395

