Long-Term Organic Amendments Combined with Nitrogen Fertilization Regulates Soil Organic Carbon Sequestration in Calcareous Soil
Abstract
1. Introduction
2. Materials and Methods
2.1. Experimental Site
2.2. Experimental Design
2.3. Collection and Measurement of Soil Samples
2.4. Statistical Analysis
3. Results
3.1. Effect of Fertilization on Soil Organic Carbon
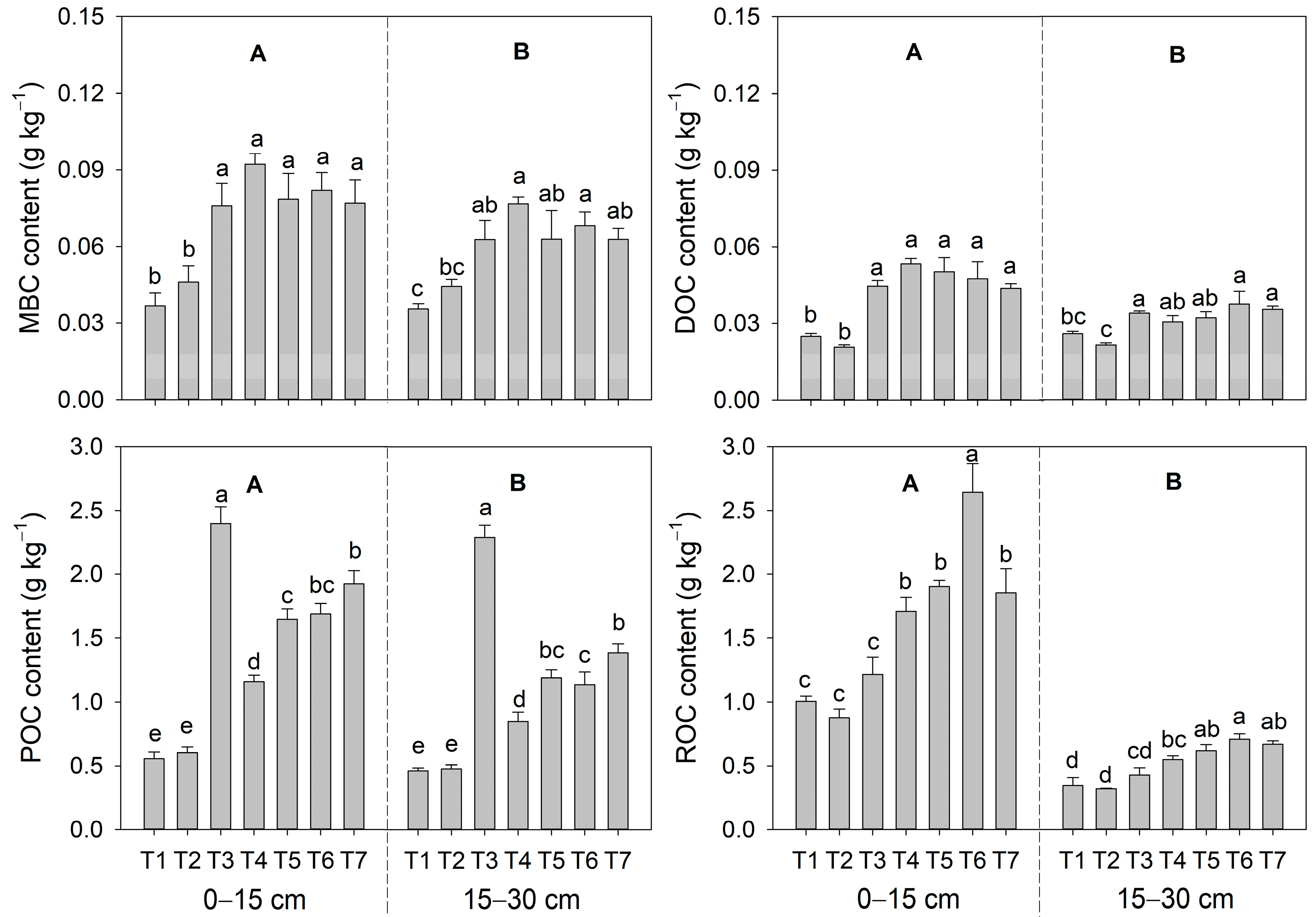
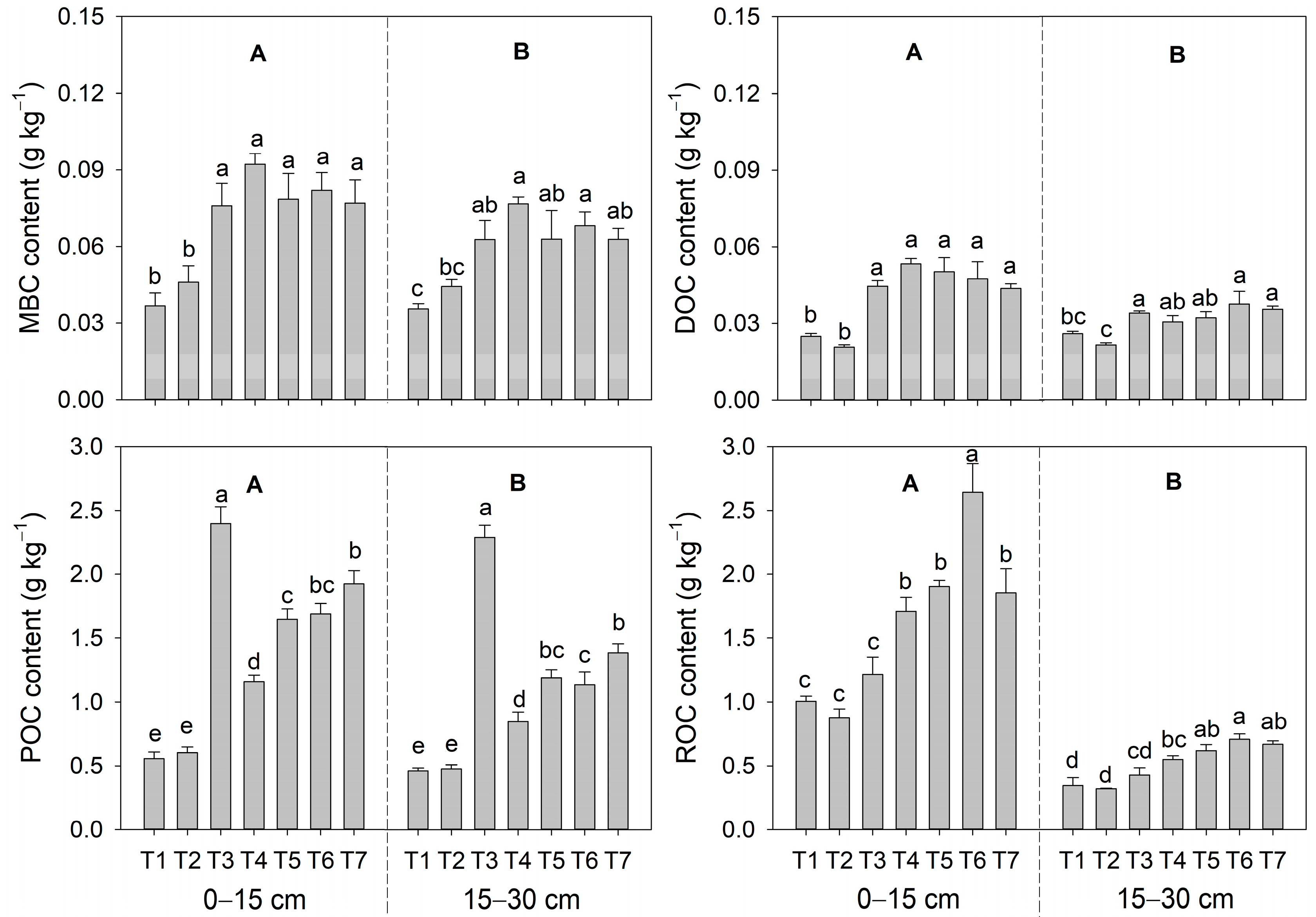
3.2. Effect of Fertilization on Soil Labile Carbon Fractions
3.3. Effect of Fertilization on Soil Humus Carbon Fractions
3.4. Effect of Fertilization on Soil Aggregate Distribution and Mean Weight Diameter
3.5. Effect of Fertilization on Soil Exchangeable Ca2+, Mg2+, Na+ Cations, Iron- and Aluminum-Oxides
3.6. Correlation Matrix of Soil Organic Carbon, Labile Carbon Fractions, Humus Carbon Fractions and Mean Weight Diameter
4. Discussion
4.1. Effect of Organic Amendments on SOC Sequestration and Fractions
4.2. Effect of Organic Amendments on Soil Aggregate Formation
5. Conclusions
Author Contributions
Funding
Institutional Review Board Statement
Informed Consent Statement
Data Availability Statement
Acknowledgments
Conflicts of Interest
References
- Kan, Z.R.; Ma, S.T.; Liu, Q.Y.; Liu, B.Y.; Virk, A.L.; Qi, J.Y.; Zhao, X.; Lal, R.; Zhang, H.L. Carbon sequestration and mineralization in soil aggregates under long-term conservation tillage in the North China Plain. Catena 2020, 188, 104428. [Google Scholar] [CrossRef]
- Bathes, N.H. Total carbon and nitrogen in the soils of the world. Eur. J. Soil Sci. 2014, 65, 10–21. [Google Scholar]
- Huang, Z.Q.; Xu, Z.H.; Chen, C.R.; Boyd, S. Changes in soil carbon during the establishment of a hardwood plantation in subtropical Australia. Forest Ecol. Manag. 2008, 254, 46–55. [Google Scholar] [CrossRef]
- Wei, W.L.; Huangpu, C.H.; Jia, Z.Y.; Liu, S.T. Long-term organic amendments improved soil carbon sequestration to support crop production. J. Plant Nutr. Soil Sci. 2021, 184, 678–687. [Google Scholar] [CrossRef]
- Tian, J.; Lu, S.H.; Fan, M.S.; Li, X.L.; Kuzyakov, Y. Labile soil organic matter fractions as influenced by non-flooded mulching cultivation and cropping season in rice-wheat rotation. Eur. J. Soil Biol. 2013, 56, 19–25. [Google Scholar] [CrossRef]
- Mi, W.H.; Sun, Y.; Gao, Q.; Liu, M.Y.; Wu, L.H. Changes in humus carbon fractions in paddy soil given different organic amendments and mineral fertilizers. Soil Till. Res. 2019, 195, 104421. [Google Scholar] [CrossRef]
- Liu, N.; Li, Y.Y.; Cong, P.; Wang, J.; Guo, W.; Pang, H.C.; Zhang, L. Depth of straw incorporation significantly alters crop yield, soil organic carbon and total nitrogen in the North China Plain. Soil Till. Res. 2021, 205, 104772. [Google Scholar] [CrossRef]
- Schlesinger, W.H.; Amundson, R. Managing for soil carbon sequestration: Let’s get realistic. Glob. Chang. Biol. 2018, 25, 386–389. [Google Scholar] [CrossRef] [PubMed]
- Lal, R. Soil carbon sequestration impacts on global climate change and food security. Science 2004, 304, 1623–1627. [Google Scholar] [CrossRef] [PubMed]
- Peplau, C.; Don, A.; Vestural, L.; Leafed, J.; Van Wisemen, B.A.S.; Schumacher, J.; Genitor, A. Temporal dynamics of soil organic carbon after land-use change in the temperate zone-carbon response functions as a model approach. Glob. Chang. Biol. 2011, 17, 2415–2427. [Google Scholar] [CrossRef]
- Matson, P.A.; Parton, W.J.; Power, A.G.; Swift, M.J. Agricultural intensification and ecosystem properties. Science 1997, 277, 504–509. [Google Scholar] [CrossRef] [PubMed]
- Tian, S.Y.; Zhu, B.J.; Yin, R.; Wang, M.W.; Jiang, Y.J.; Zhang, C.Z.; Li, D.M.; Chen, X.Y.; Karol, P.; Liu, M.Q. Organic fertilization promotes crop productivity through changes in soil aggregation. Soil Biol. Biochem. 2022, 165, 108533. [Google Scholar] [CrossRef]
- Wu, L.P.; Zhang, S.R.; Ma, R.H.; Chen, M.M.; Wei, W.L.; Ding, X.D. Carbon sequestration under different organic amendments in saline-alkaline soils. Catena 2021, 196, 104882. [Google Scholar] [CrossRef]
- Dai, H.C.; Zang, H.D.; Zhao, Y.X.; Qian, X.; Liu, K.C.; Wang, D.; Hao, J.Y.; Chen, Y.Q.; Sui, P. Linking bacterial community to aggregate fractions with organic amendments in a sandy soil. Land Degrade. Dev. 2019, 30, 1828–1839. [Google Scholar] [CrossRef]
- Zhao, Y.C.; Wang, M.Y.; Hu, S.J.; Zhang, X.D.; Ouyang, Z.; Zhang, G.L.; Huang, B.; Zhao, S.W.; Wu, J.S.; Xian, D.T.; et al. Economics- and policy-driven organic carbon input enhancement dominates soil organic carbon accumulation in Chinese croplands. Proc. Natl. Acad. Sci. USA 2018, 115, 4045–4050. [Google Scholar] [CrossRef]
- Fedeli, R.; Alexandrov, D.; Celletti, S.; Nafikova, E.; Loppi, S. Biochar improves the performance of Avena sativa L. grown in gasoline-polluted soils. Environ. Sci. Pollut. Res. 2022. [Google Scholar] [CrossRef]
- Akhtar, S.S.; Andersen, M.N.; Liu, F.L. Residual effects of biochar on improving growth, physiology and yield of wheat under salt stress. Agr. Water Manag. 2015, 158, 61–68. [Google Scholar] [CrossRef]
- Hagemann, N.; Spokas, K.; Schmidt, H.-P.; Kägi, R.; Böhler, M.A.; Bucheli, T.D. Activated carbon, biochar and charcoal: Linkages and synergies across pyrogenic carbon’s ABCs. Water 2018, 10, 182. [Google Scholar] [CrossRef]
- Yan, Y.; Tian, J.; Fan, M.S.; Zhang, F.S.; Li, X.L.; Christie, P.; Chen, H.Q.; Lee, J.; Kuzyakov, Y.; Six, J. Soil organic carbon and total nitrogen in intensively managed arable soils. Agr. Ecosyst. Environ. 2012, 150, 102–110. [Google Scholar] [CrossRef]
- Six, J.; Faustian, K.; Elliott, E.T.; Combrink, C. Soil structure and organic matter I. Distribution of aggregate-size classes and aggregate-associated carbon. Soil Sci. Soc. Am. J. 2000, 64, 681–689. [Google Scholar] [CrossRef]
- Qi, S.J.; Gao, H.J.; Zhu, P.; Hou, Y.P.; Zhao, S.C.; Rong, X.M.; Zhang, Y.P.; He, P.; Christie, P.; Zhou, W. Changes in soil carbon and nitrogen pools in a Molise after long-term fallow or application of chemical fertilizers, straw or manures. Soil Till. Res. 2016, 163, 255–265. [Google Scholar] [CrossRef]
- Zhang, J.J.; Wei, Y.X.; Liu, J.Z.; Yuan, J.C.; Liang, Y.; Ren, J.; Cai, H.G. Effects of maize straw and its biochar application on organic and humid carbon in water-stable aggregates of a Molise in Northeast China: A five-year field experiment. Soil Till. Res. 2019, 190, 1–9. [Google Scholar] [CrossRef]
- Yuhina, A.; Kuzyakov, Y. Saving the face of soil aggregates. Glob. Chang. Biol. 2019, 25, 3574–3577. [Google Scholar]
- Above, S.; Menasseri, S.; Angers, D.A.; Leterme, P. Dynamics of aggregate stability and biological binding agents during decomposition of organic materials. Eur. J. Soil Sci. 2007, 58, 239–247. [Google Scholar]
- Yan, Z.J.; Zhou, J.; Yang, L.; Goninan, A.; Yang, Y.D.; Peixoto, L.; Zeng, Z.H.; Zang, H.D.; Kuzyakov, Y. Diversified cropping systems benefit soil carbon and nitrogen stocks by increasing aggregate stability: Results of three fractionation methods. Sci. Total Environ. 2022, 824, 153878. [Google Scholar] [CrossRef]
- Tao, F.L.; Palouse, T.; Valkanas, E.; Makira, R. Cropland soils in China have a large potential for carbon sequestration based on literature survey. Soil Till. Res. 2019, 186, 70–78. [Google Scholar] [CrossRef]
- Zhang, Q.S.; Chu, Y.Y.; Xu, Y.F.; Ying, H.; Chen, X.H.; Zhao, Y.J.; Ma, W.Q.; Ma, L.; Zhang, J.Z.; Yin, Y.L.; et al. Outlook of China’s agriculture transforming from smallholder operation to sustainable production. Glob. Food Secur. Agr. 2020, 26, 100444. [Google Scholar] [CrossRef]
- Zhang, W.F.; Cao, G.X.; Li, X.L.; Zhang, H.Y.; Wang, C.; Liu, Q.Q.; Chen, X.P.; Cui, Z.L.; Shen, J.B.; Jiang, R.F.; et al. Closing yield gaps in China by empowering smallholder farmers. Nature 2016, 537, 671–674. [Google Scholar] [CrossRef]
- Martín, J.A.R.; Álvaro-Fuentes, J.; Gabriel, J.L.; Gutiérrez, C.; Nanos, N.; Escher, M.; Ramos-Mires, J.J.; Gil, D.; Martín-Lammerding, D.; Boulder, R. Soil organic carbon stock on the Majorca Island: Temporal change in agricultural soil over the last 10 years. Catena 2019, 181, 104087. [Google Scholar] [CrossRef]
- Taktsang, B.; Weber, J.; Ernakulum, E.; Rodríguez-Martín, J.A.; Shepherd, K.; Silla, A.; Thunder, Z.; Digby, L. Assessment of soil health indicators for sustainable production of maize in smallholder farming systems in the highlands of Cameroon. Geoderma 2016, 276, 64–73. [Google Scholar] [CrossRef]
- Chena, C.; Angers, D.A.; Barré, P.; Darrien, D.; Arouras, D.; Bales, D.J. Increasing organic stocks in agricultural soils: Knowledge gaps and potential innovations. Soil Till. Res. 2019, 188, 41–52. [Google Scholar] [CrossRef]
- Wang, J.Y.; Xing, Z.Q.; Kuzyakov, Y. Biochar stability in soil: Meta-analysis of decomposition and priming effects. GCB Bioenergy 2016, 8, 512–523. [Google Scholar] [CrossRef]
- Yang, J.; Gao, W.; Ren, S.R. Long-term effects of combined application of chemical nitrogen with organic materials on crop yields, soil organic carbon and total nitrogen in Fluvio-aquic soil. Soil Till. Res. 2015, 151, 67–74. [Google Scholar] [CrossRef]
- Chen, Z.M.; Xu, Y.H.; He, Y.J.; Zhou, X.H.; Fan, J.L.; Yu, H.Y.; Ding, W.X. Nitrogen fertilization stimulated soil heterotrophic but not autotrophic respiration in cropland soils: A greater role of organic over inorganic fertilizer. Soil Biol. Biochem. 2018, 116, 253–264. [Google Scholar] [CrossRef]
- Dogwatches, S.B.; Chen, Z.D.; Lal, R.; Zhang, H.L. Changes in soil organic carbon and nitrogen as affected by tillage and residue management under wheat-maize cropping system in the North China Plain. Soil Till. Res. 2014, 144, 110–118. [Google Scholar]
- Han, P.F.; Zhang, W.; Wang, G.C.; Sun, W.J.; Huang, Y. Changes in soil organic carbon in croplands subjected to fertilizer management: A global meta-analysis. Sci. Rep. UK 2016, 6, 27199. [Google Scholar] [CrossRef]
- Kimura, M.; Mutase, J.; Lu, Y. Carbon cycling in rice field ecosystems in the context of input, decomposition and translocation of organic amendments and the fates of their end products (CO2 and CH4). Soil Biol. Biochem. 2004, 36, 1399–1416. [Google Scholar] [CrossRef]
- Lehmann, J.; Gaunt, J.; Rendon, M. Bio-char sequestration in terrestrial ecosystems: A review. Mitig. Adapt. Strat. Gl. 2006, 11, 395–419. [Google Scholar] [CrossRef]
- Yang, X.; Meng, J.; Lan, Y.; Chen, W.F.; Yang, T.X.; Yuan, J.; Liu, S.N.; Han, J. Effects of maize stover and its biochar on soil CO2 emissions and labile organic carbon fractions in Northeast China. Agr. Ecosyst. Environ. 2017, 240, 24–31. [Google Scholar] [CrossRef]
- Xian, W.J.; Wu, L.F.; Zhang, Y.P.; Wu, T.; Li, X.P.; Ouyang, Z. Effects of straw application on coastal saline topsoil salinity and wheat yield trend. Soil Till. Res. 2017, 169, 1–6. [Google Scholar]
- Li, Y.; Li, Z.; Cui, S.; Liang, G.P.; Zhang, Q.P. Microbial-derived carbon components are critical for enhancing soil organic carbon in no-tillage croplands: A global perspective. Soil Till. Res. 2021, 205, 104758. [Google Scholar] [CrossRef]
- Franciosi, D.; Schulz, E.; Lentando, G.; Weber, T.; Buscot, F.; Reitz, T. Mineral vs. organic amendments: Microbial community structure, activity and abundance of agriculturally relevant microbes are driven by long-term fertilization strategies. Front. Microbiol. 2014, 7, 1446. [Google Scholar]
- Fang, H.J.; Cheng, S.L.; Yu, G.R.; Xu, M.J.; Wang, Y.S.; Li, L.S.; Dang, X.S.; Wang, L.; Li, Y.N. Experimental nitrogen deposition alters the quantity and quality of soil dissolved organic carbon in an alpine meadow on the Qinghai-Tibetan Plateau. Appl. Soil Ecol. 2014, 81, 1–11. [Google Scholar] [CrossRef]
- Chaudhary, S.; Deri, G.S.; Brar, B.S. Long-term effects of NPK fertilizers and organic manures on carbon stabilization and management index under rice-wheat cropping system. Soil Till. Res. 2017, 166, 59–66. [Google Scholar] [CrossRef]
- Tirol-Padre, A.; Ladha, J.K. Assessing the reliability of permanganate-oxidizable carbon as an index of soil labile carbon. Soil Sci. Soc. Am. J. 2004, 68, 969–978. [Google Scholar] [CrossRef]
- Zhao, X.M.; Zhu, M.L.; Guo, X.X.; Wang, H.B.; Sui, B.; Zhao, L.P. Organic carbon content and humus composition after application aluminum sulfate and rice straw to soda saline-alkaline soil. Environ. Sci. Pollut. Res. 2019, 26, 13746–13754. [Google Scholar] [CrossRef]
- Nguyen, H.V.M.; Lee, H.S.; Lee, S.Y.; Hurl, J.; Shin, H.S. Changes in structural characteristics of humid and fulvic acids under chlorination and their association with trihalomethanes and halo acetic acids formation. Sci. Total Environ. 2021, 790, 148142. [Google Scholar] [CrossRef]
- Simpson, A.J.; Song, G.; Smith, E.; Lam, B.; Novotny, E.H.; Hayes, M.H.B. Unraveling the structural components of soil human by use of solution-state nuclear magnetic resonance spectroscopy. Environ. Sci. Technol. 2007, 41, 876–883. [Google Scholar] [CrossRef]
- Qi, Z.P.; Li, M.X.; Song, L.Y.; Wang, C.; Yang, S.; Yan, Z.Y.; Wang, Y.Q. Study on nitrogen-retaining microbial agent to reduce nitrogen loss during chicken manure composting and nitrogen transformation mechanism. J. Clean. Prod. 2021, 285, 124813. [Google Scholar] [CrossRef]
- Das, R.; Kuribayashi, T.J.; Das, D.; Ahmed, N.; Kumar, R.; Biswas, S.; Wail, S.S.; Singh, R.; Shukla, V.K.; Yadava, M.S.; et al. Long-term fertilization and manuring with different organics alter stability of carbon in colloidal organo-mineral fraction in soils of varying clay mineralogy. Sci. Total Environ. 2019, 684, 682–693. [Google Scholar] [CrossRef]
- Mohanty, M.; Sinha, N.K.; Reddy, K.S.; Chaudhary, R.S.; Rao, A.S.; Dall, R.C.; Menzies, N.W. How important is the quality of organic amendments in relation to mineral N availability in soils? Agr. Res. 2013, 2, 99–110. [Google Scholar] [CrossRef]
- Saifullah, D.S.; Naeem, A.; Rangel, Z.; Naidu, R. Biochar application for the remediation of salt-affected soils: Challenges and opportunities. Sci. Total Environ. 2018, 625, 320–335. [Google Scholar] [CrossRef] [PubMed]
- Watermeier, M.; Urbanski, L.; Holiya, E.; Lang, B.; von Litzow, M.; Marin-Spitted, E.; van Semele, B.; Robot, E.; Leif, M.; Garcia-Francona, N.; et al. Soil organic carbon storage as a key function of soils: A review of drivers and indicators at various scales. Geoderma 2019, 333, 149–162. [Google Scholar]
- Zhuang, Y.; Yu, G.R. Effects of surface coatings on electrochemical properties and contaminant sorption of clay minerals. Chemosphere 2002, 49, 619–628. [Google Scholar] [CrossRef] [PubMed]
- Kleber, M.; Collins, P.; Sutton, R. A conceptual model of organo-mineral interactions in soils: Self-assembly of organic molecular fragments into zonal structures on mineral surfaces. Biogeochemistry 2007, 85, 9–24. [Google Scholar] [CrossRef]
- Joseph, U.E.; Toleware, A.O.; Kehinde, E.O.; Omasa, E.E.; Yetunde, A.T.; George, O.O.; Zhao, C.S.; Wang, H.Y. Effect of biochar on soil structure and storage of soil organic carbon and nitrogen in the aggregate fractions of an Albic soil. Arch Argon. Soil Sci. 2020, 66, 1–12. [Google Scholar] [CrossRef]
- Wen, Y.L.; Liu, W.J.; Deng, W.B.; He, X.H.; Yu, G.H. Impact of agricultural fertilization practices on organo-mineral associations in four long-term field experiments: Implications for soil C sequestration. Sci. Total Environ. 2019, 651, 591–600. [Google Scholar] [CrossRef]






| Indicaters | Biochar | Straw | Manure | Compost | Biogas-residue |
|---|---|---|---|---|---|
| Carbon (%) | 69.35 | 41.18 | 26.06 | 26.44 | 23.16 |
| Nitrogen (%) | 1.19 | 0.90 | 1.70 | 1.81 | 2.10 |
| pH | 8.30 | / | 6.98 | 7.85 | 7.21 |
| Soil Depth | Tre. | WSSC (g kg−1) | HAC (g kg−1) | FAC (g kg−1) | HEC (g kg−1) | HUC (g kg−1) |
|---|---|---|---|---|---|---|
| 0–15 cm | T1 | 0.43 ± 0.05 cd | 0.75 ± 0.03 d | 2.56 ± 0.03 c | 3.31 ± 0.07 d | 3.85 ± 0.24 cd |
| T2 | 0.36 ± 0.04 d | 0.83 ± 0.06 cd | 2.77 ± 0.10 bc | 3.59 ± 0.04 cd | 3.65 ± 0.41 d | |
| T3 | 1.18 ± 0.11 a | 0.95 ± 0.08 bc | 3.03 ± 0.09 ab | 3.98 ± 0.16 bc | 11.76 ± 0.98 a | |
| T4 | 0.53 ± 0.00 bcd | 1.01 ± 0.02 b | 3.37 ± 0.22 a | 4.38 ± 0.23 ab | 5.64 ± 0.32 bc | |
| T5 | 0.69 ± 0.07 b | 1.00 ± 0.00 b | 3.04 ± 0.11 ab | 4.04 ± 0.10 ab | 6.92 ± 0.70 b | |
| T6 | 0.64 ± 0.05 bc | 1.28 ± 0.05 a | 3.16 ± 0.20 ab | 4.44 ± 0.18 a | 6.37 ± 0.49 b | |
| T7 | 0.69 ± 0.08 b | 1.08 ± 0.02 b | 2.94 ± 0.05 abc | 4.02 ± 0.04 abc | 6.87 ± 0.78 b | |
| Mean | 0.64 ± 0.06 A | 0.99 ± 0.04 A | 2.98 ± 0.07 A | 3.97 ± 0.09 A | 6.44 ± 0.59 A | |
| 15–30 cm | T1 | 0.52 ± 0.02 c | 0.68 ± 0.02 c | 1.70 ± 0.05 b | 2.38 ± 0.07 c | 5.18 ± 0.24 c |
| T2 | 0.45 ± 0.01 c | 0.75 ± 0.03 c | 1.79 ± 0.05 b | 2.54 ± 0.02 bc | 4.51 ± 0.07 c | |
| T3 | 0.92 ± 0.06 a | 0.87 ± 0.01 b | 1.95 ± 0.11 ab | 2.82 ± 0.10 ab | 9.15 ± 0.60 a | |
| T4 | 0.55 ± 0.07 c | 0.87 ± 0.01 b | 1.95 ± 0.13 ab | 2.82 ± 0.13 ab | 4.95 ± 0.31 c | |
| T5 | 0.55 ± 0.02 c | 0.91 ± 0.02 ab | 2.23 ± 0.13 a | 3.14 ± 0.11 a | 5.46 ± 0.21 bc | |
| T6 | 0.73 ± 0.07 b | 0.98 ± 0.05 a | 2.23 ± 0.14 a | 3.21 ± 0.20 a | 6.65 ± 0.18 b | |
| T7 | 0.52 ± 0.07 c | 0.91 ± 0.05 ab | 2.08 ± 0.19 ab | 2.99 ± 0.22 a | 5.24 ± 0.71 c | |
| Mean | 0.60 ± 0.04 A | 0.85 ± 0.02 B | 1.99 ± 0.06 B | 2.84 ± 0.08 B | 5.88 ± 0.35 A |
| Soil Depth | Tre. | Ca2+ (g kg−1) | Mg2+ (g kg−1) | Na+ (g kg−1) | Fed (g kg−1) | Ald (g kg−1) | Feo (g kg−1) | Alo (g kg−1) | Fes (g kg−1) | Als (g kg−1) |
|---|---|---|---|---|---|---|---|---|---|---|
| 0–15 cm | T1 | 9.66 ± 0.17 bc | 0.35 ± 0.00 e | 0.34 ± 0.00 a | 11.66 ± 0.25 c | 4.10 ± 0.21 b | 1.42 ± 0.10 b | 0.56 ± 0.07 b | 0.13 ± 0.01 cd | 0.06 ± 0.01 cd |
| T2 | 9.13 ± 0.06 c | 0.35 ± 0.01 e | 0.33 ± 0.01 a | 11.74 ± 0.23 bc | 4.35 ± 0.06 ab | 1.58 ± 0.12 b | 0.53 ± 0.00 b | 0.11 ± 0.00 d | 0.04 ± 0.01 d | |
| T3 | 9.79 ± 0.18 bc | 0.43 ± 0.02 d | 0.29 ± 0.00 bc | 13.10 ± 0.49 a | 4.52 ± 0.06 a | 2.28 ± 0.23 a | 0.76 ± 0.06 a | 0.24 ± 0.01 a | 0.12 ± 0.01 a | |
| T4 | 10.76 ± 0.21 b | 0.46 ± 0.01 c | 0.27 ± 0.01 c | 12.40 ± 0.18 abc | 4.22 ± 0.07 ab | 2.48 ± 0.09 a | 0.88 ± 0.11 a | 0.16 ± 0.01 bc | 0.08 ± 0.00 bc | |
| T5 | 11.81 ± 0.73 a | 0.58 ± 0.01 a | 0.30 ± 0.01 b | 12.49 ± 0.05 ab | 4.35 ± 0.10 ab | 2.21 ± 0.20 a | 0.82 ± 0.04 a | 0.17 ± 0.01 b | 0.07 ± 0.00 cd | |
| T6 | 9.83 ± 0.38 bc | 0.50 ± 0.00 b | 0.29 ± 0.00 bc | 12.31 ± 0.15 abc | 4.33 ± 0.14 ab | 2.33 ± 0.03 a | 0.85 ± 0.03 a | 0.16 ± 0.00 bc | 0.11 ± 0.00 a | |
| T7 | 10.44 ± 0.04 b | 0.47 ± 0.02 bc | 0.29 ± 0.01 bc | 12.71 ± 0.14 a | 4.32 ± 0.04 ab | 2.30 ± 0.01 a | 0.88 ± 0.06 a | 0.24 ± 0.02 a | 0.10 ± 0.01 ab | |
| Mean | 10.20 ± 0.21 B | 0.45 ± 0.02 A | 0.30 ± 0.01 B | 12.34 ± 0.13 A | 4.31 ± 0.04 A | 2.09 ± 0.10 B | 0.76 ± 0.04 A | 0.17 ± 0.01 A | 0.08 ± 0.01 A | |
| 15–30 cm | T1 | 10.07 ± 0.27 b | 0.37 ± 0.02 c | 0.34 ± 0.01 a | 9.03 ± 0.17 a | 1.25 ± 0.13 b | 2.55 ± 0.02 b | 0.52 ± 0.09 b | 0.04 ± 0.01 de | 0.03 ± 0.00 bc |
| T2 | 10.89 ± 0.04 ab | 0.44 ± 0.02 bc | 0.34 ± 0.01 a | 8.85 ± 0.18 a | 1.30 ± 0.03 b | 2.46 ± 0.08 b | 0.62 ± 0.06 ab | 0.03 ± 0.00 e | 0.02 ± 0.00 c | |
| T3 | 11.46 ± 0.48 a | 0.48 ± 0.01 ab | 0.31 ± 0.01 a | 9.01 ± 0.10 a | 1.55 ± 0.09 a | 2.49 ± 0.03 b | 0.71 ± 0.02 ab | 0.09 ± 0.01 a | 0.06 ± 0.01 ab | |
| T4 | 11.84 ± 0.25 a | 0.54 ± 0.02 a | 0.33 ± 0.00 a | 9.03 ± 0.05 a | 1.43 ± 0.02 ab | 2.49 ± 0.05 b | 0.77 ± 0.04 a | 0.05 ± 0.00 cd | 0.04 ± 0.01 abc | |
| T5 | 11.85 ± 0.04 a | 0.53 ± 0.04 ab | 0.32 ± 0.02 a | 9.15 ± 0.17 a | 1.35 ± 0.01 ab | 2.53 ± 0.06 b | 0.70 ± 0.05 ab | 0.07 ± 0.00 bc | 0.04 ± 0.00 abc | |
| T6 | 11.85 ± 0.07 a | 0.56 ± 0.05 a | 0.33 ± 0.02 a | 9.20 ± 0.08 a | 1.34 ± 0.07 ab | 2.84 ± 0.10 a | 0.75 ± 0.06 a | 0.07 ± 0.01 abc | 0.04 ± 0.00 abc | |
| T7 | 11.23 ± 0.45 a | 0.50 ± 0.03 ab | 0.33 ± 0.01 a | 8.98 ± 0.17 a | 1.33 ± 0.03 ab | 2.68 ± 0.11 ab | 0.83 ± 0.10 a | 0.08 ± 0.00 ab | 0.06 ± 0.01 a | |
| Mean | 11.31 ± 0.16 A | 0.49 ± 0.02 A | 0.33 ± 0.00 A | 9.04 ± 0.05 B | 1.37 ± 0.03 B | 2.58 ± 0.04 A | 0.70 ± 0.03 A | 0.06 ± 0.01 B | 0.04 ± 0.00 B |
| Soil Depth | Index | SOC | WSSC | HAC | FAC | HEC | HUC | MBC | DOC | POC | ROC | MWD |
|---|---|---|---|---|---|---|---|---|---|---|---|---|
| 0–15 cm | SOC | 1.00 | 0.88 ** | 0.48 * | 0.41 | 0.49 * | 0.89 ** | 0.55 * | 0.62 ** | 0.88 ** | 0.39 | 0.46 * |
| WSSC | 1.00 | 0.15 | 0.20 | 0.20 | 0.99 ** | 0.30 | 0.49 * | 0.86 ** | 0.14 | 0.45 * | ||
| HAC | 1.00 | 0.51 * | 0.78 ** | 0.20 | 0.68 ** | 0.58 ** | 0.55 * | 0.82 ** | 0.52 * | |||
| FAC | 1.00 | 0.94 ** | 0.27 | 0.64 ** | 0.60 ** | 0.36 | 0.58 ** | 0.47 * | ||||
| HEC | 1.00 | 0.28 | 0.74 ** | 0.67 ** | 0.48 * | 0.76 ** | 0.56 ** | |||||
| HUC | 1.00 | 0.36 | 0.53 * | 0.88 ** | 0.16 | 0.50 * | ||||||
| MBC | 1.00 | 0.72 ** | 0.54 * | 0.53 * | 0.62 ** | |||||||
| DOC | 1.00 | 0.61 ** | 0.65 ** | 0.79 ** | ||||||||
| POC | 1.00 | 0.44 * | 0.67 ** | |||||||||
| ROC | 1.00 | 0.58 ** | ||||||||||
| MWD | 1.00 | |||||||||||
| 15–30 cm | SOC | 1.00 | 0.74 ** | 0.59 ** | 0.36 | 0.46 * | 0.73 ** | 0.50 * | 0.69 ** | 0.71 ** | 0.51 * | 0.57 ** |
| WSSC | 1.00 | 0.37 | 0.20 | 0.27 | 0.94 ** | 0.35 | 0.56 ** | 0.72 ** | 0.18 | 0.28 | ||
| HAC | 1.00 | 0.68 ** | 0.83 ** | 0.27 | 0.61 ** | 0.81 ** | 0.50 * | 0.75 ** | 0.75 ** | |||
| FAC | 1.00 | 0.97 ** | 0.06 | 0.41 | 0.76 ** | 0.32 | 0.77 ** | 0.57 ** | ||||
| HEC | 1.00 | 0.13 | 0.51 * | 0.83 ** | 0.40 | 0.82 ** | 0.67 ** | |||||
| HUC | 1.00 | 0.24 | 0.40 | 0.81 ** | 0.07 | 0.30 | ||||||
| MBC | 1.00 | 0.50 * | 0.35 | 0.58 ** | 0.56 ** | |||||||
| DOC | 1.00 | 0.55 * | 0.78 ** | 0.55 ** | ||||||||
| POC | 1.00 | 0.28 | 0.52 * | |||||||||
| ROC | 1.00 | 0.69 ** | ||||||||||
| MWD | 1.00 |
Disclaimer/Publisher’s Note: The statements, opinions and data contained in all publications are solely those of the individual author(s) and contributor(s) and not of MDPI and/or the editor(s). MDPI and/or the editor(s) disclaim responsibility for any injury to people or property resulting from any ideas, methods, instructions or products referred to in the content. |
© 2023 by the authors. Licensee MDPI, Basel, Switzerland. This article is an open access article distributed under the terms and conditions of the Creative Commons Attribution (CC BY) license (https://creativecommons.org/licenses/by/4.0/).
Share and Cite
Li, S.; Wei, W.; Liu, S. Long-Term Organic Amendments Combined with Nitrogen Fertilization Regulates Soil Organic Carbon Sequestration in Calcareous Soil. Agronomy 2023, 13, 291. https://doi.org/10.3390/agronomy13020291
Li S, Wei W, Liu S. Long-Term Organic Amendments Combined with Nitrogen Fertilization Regulates Soil Organic Carbon Sequestration in Calcareous Soil. Agronomy. 2023; 13(2):291. https://doi.org/10.3390/agronomy13020291
Chicago/Turabian StyleLi, Shuang, Wenliang Wei, and Shutang Liu. 2023. "Long-Term Organic Amendments Combined with Nitrogen Fertilization Regulates Soil Organic Carbon Sequestration in Calcareous Soil" Agronomy 13, no. 2: 291. https://doi.org/10.3390/agronomy13020291
APA StyleLi, S., Wei, W., & Liu, S. (2023). Long-Term Organic Amendments Combined with Nitrogen Fertilization Regulates Soil Organic Carbon Sequestration in Calcareous Soil. Agronomy, 13(2), 291. https://doi.org/10.3390/agronomy13020291

