Effects of Different Photoperiods on the Growth and Nutritional Characteristics of Two Celery Cultivars in Plant Factory
Abstract
:1. Introduction
2. Materials and Methods
2.1. Plant Material and Growing Condition
2.2. Experimental Design
2.3. Determination of Growth Characteristics
2.4. Assay of Chlorophyll and Carotenoids
2.5. Determination of Photosynthetic Parameter and Chlorophyll Fluorescence
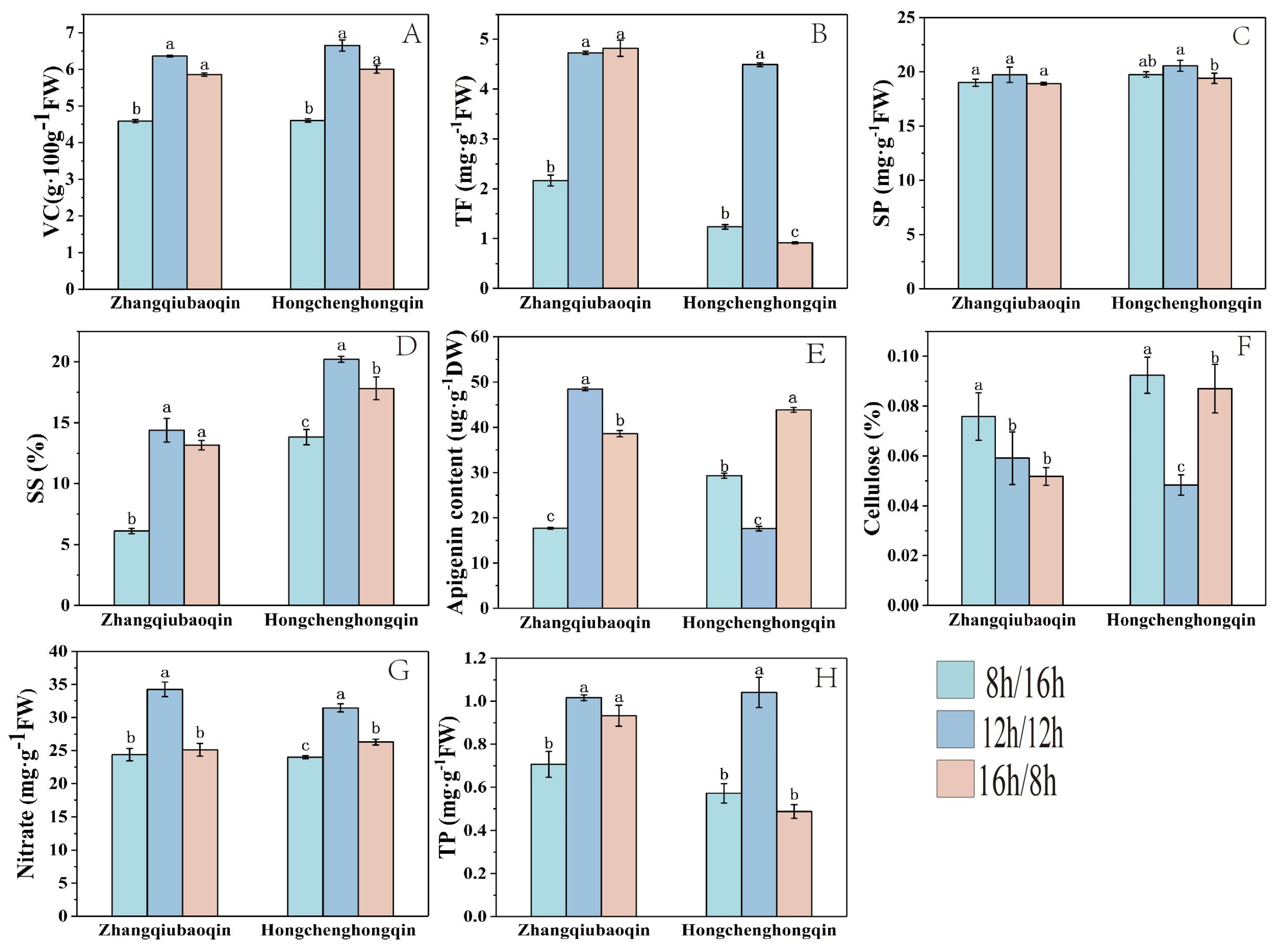
2.6. Phytochemical Measurement
2.7. Data Analysis
3. Result
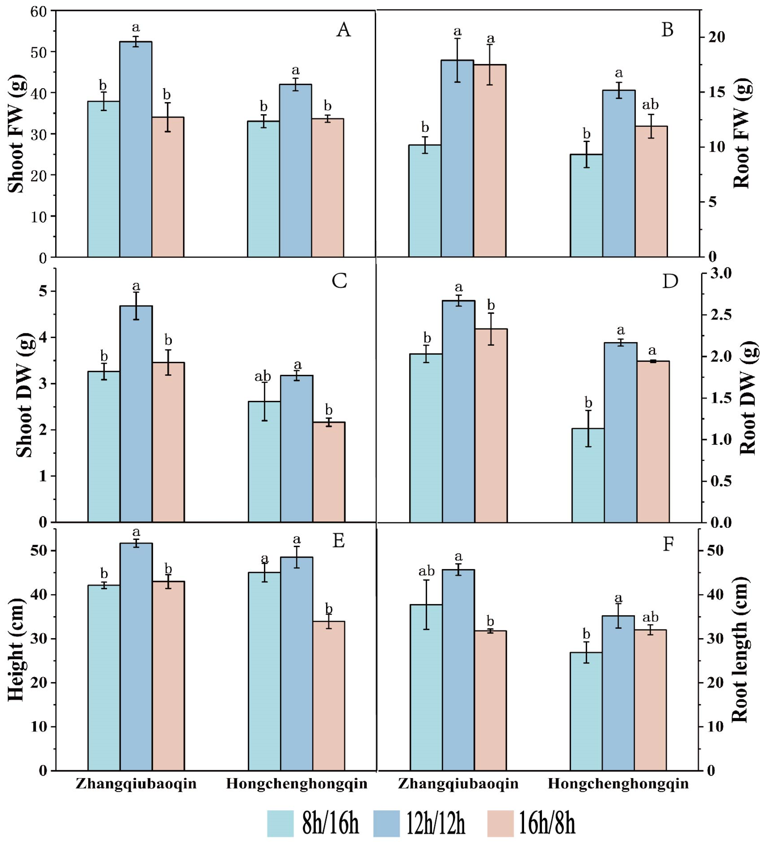
3.1. Celery Growth Analysis
3.2. Chlorophyll Content, Fluorescence, and Photosynthetic Parameters of the Two Cultivars
4. Discussion
5. Conclusions
Author Contributions
Funding
Data Availability Statement
Conflicts of Interest
References
- Zhang, S.; Zhang, L.; Zou, H.; Qiu, L.; Zheng, Y.; Yang, D.; Wang, Y. Effects of Light on Secondary Metabolite Biosynthesis in Medicinal Plants. Front. Plant Sci. 2021, 12, 236–242. [Google Scholar] [CrossRef]
- Zha, L.; Liu, W. Effects of light quality, light intensity, and photoperiod on growth and yield of cherry radish grown under red plus blue LEDs. Hortic. Environ. Biotechnol. 2018, 59, 511–518. [Google Scholar] [CrossRef]
- Yudina, L.; Sukhova, E.; Gromova, E.; Mudrilov, M.; Zolin, Y.; Popova, A.; Nerush, V.; Pecherina, A.; Dorokhov, A.A.; Sukhov, V. Effect of Duration of LED Lighting on Growth, Photosynthesis and Respiration in Lettuce. Plants 2023, 12, 442–447. [Google Scholar] [CrossRef] [PubMed]
- Rengasamy, N.; Othman, R.Y.; Che, H.S.; Harikrishna, J.A. Artificial Lighting Photoperiod Manipulation Approach to Improve Productivity and Energy Use Efficacies of Plant Factory Cultivated Stevia rebaudiana. Agronomy 2022, 12, 2–3. [Google Scholar] [CrossRef]
- Yan, Z.; He, D.; Niu, G.; Zhai, H. Evaluation of growth and quality of hydroponic lettuce at harvest as affected by the light intensity, photoperiod and light quality at seedling stage. Sci. Hortic. 2019, 248, 138–144. [Google Scholar] [CrossRef]
- Currey, C.; Erwin, J. Variation amongKalanchoespecies in their flowering responses to photoperiod and short-day cycle number. J. Hortic. Sci. Biotechnol. 2015, 85, 350–354. [Google Scholar] [CrossRef]
- Yan, Z.; Wang, L.; Dai, J.; Liu, Y.; Lin, D.; Yang, Y. Morphological and Physiological Responses of Cucumber Seedlings to Different Combinations of Light Intensity and Photoperiod with the Same Daily Light Integral. HortScience 2021, 56, 1430–1438. [Google Scholar] [CrossRef]
- Munir, J.; Dorn, L.A.; Donohue, K.; Schmitt, J. The effect of maternal photoperiod on seasonal dormancy in Arabidopsis thaliana (Brassicaceae). Am. J. Bot. 2001, 88, 1240–1249. [Google Scholar] [CrossRef]
- Martín, G.; Rovira, A.; Veciana, N.; Soy, J.; Toledo-Ortiz, G.; Gommers, C.M.M.; Boix, M.; Henriques, R.; Minguet, E.G.; Alabadí, D.; et al. Circadian Waves of Transcriptional Repression Shape PIF-Regulated Photoperiod-Responsive Growth in Arabidopsis. Curr. Biol. 2018, 28, 311–318.e5. [Google Scholar] [CrossRef]
- Wang, S.; Liu, S.; Liu, H.; Wang, J.; Zhou, S.; Jiang, R.J.; Bendena, W.G.; Li, S. 20-hydroxyecdysone reduces insect food consumption resulting in fat body lipolysis during molting and pupation. J. Mol. Cell Biol. 2010, 2, 128–138. [Google Scholar] [CrossRef]
- Galvão, V.C.; Fankhauser, C. Sensing the light environment in plants: Photoreceptors and early signaling steps. Curr. Opin. Neurobiol. 2015, 34, 46–53. [Google Scholar] [CrossRef]
- Appolloni, E.; Pennisi, G.; Zauli, I.; Carotti, L.; Paucek, I.; Quaini, S.; Orsini, F.; Gianquinto, G. Beyond vegetables: Effects of indoor LED light on specialized metabolite biosynthesis in medicinal and aromatic plants, edible flowers, and microgreens. J. Sci. Food Agric. 2022, 102, 472–487. [Google Scholar] [CrossRef] [PubMed]
- Palmer, S.; van Iersel, M.W. Increasing Growth of Lettuce and Mizuna under Sole-Source LED Lighting Using Longer Photoperiods with the Same Daily Light Integral. Agronomy 2020, 10, 1659–1700. [Google Scholar] [CrossRef]
- Gomes Neto, V.; Aparecida Carosio, M.G.; Ferreira, A.G.; de Souza-Neta, L.C.; Fernandez, L.G.; Ribeiro, P.R. Stevia rebaudiana (Bert.) Bertoni cultivated under different photoperiod conditions: Improving physiological and biochemical traits for industrial applications. Ind. Crops Prod. 2021, 168, 113595. [Google Scholar]
- Liu, K.; Gao, M.; Jiang, H.; Ou, S.; Li, X.; He, R.; Li, Y.; Liu, H. Light Intensity and Photoperiod Affect Growth and Nutritional Quality of Brassica Microgreens. Molecules 2022, 27, 883. [Google Scholar] [CrossRef] [PubMed]
- Yin, L.; Xing, G.-M.; Sun, S.; Wang, G.-L.; Liu, J.-X.; Ding, X.; Shen, D.; Feng, K.; Xu, Z.-S.; Xiong, A.-S. Comparison of ascorbic acid and lignin accumulation in four white celery varieties and transcriptional profiling of genes related to the metabolic pathways. Biotechnol. Biotechnol. Equip. 2020, 34, 532–541. [Google Scholar] [CrossRef]
- Kooti, W.; Daraei, N. A Review of the Antioxidant Activity of Celery (Apium graveolens L). J. Evid.-Based Complement. Altern. Med. 2017, 22, 1029–1034. [Google Scholar] [CrossRef]
- Navarro, A.S.; Sánchez, A.; Romero, J.A.S.; del Carmen Salas Sanjuan, M.; Bernardeau, M.A.B.; Iniesta, M.J.D. Medium-Term Influence of Organic Fertilization on the Quality and Yield of a Celery Crop. Agronomy 2020, 10, 1418–1423. [Google Scholar] [CrossRef]
- Wellburn, A.R. Determinations of total carotenoids and chlorophylls a and b of leaf extracts in different solvents. Biochem. Soc. Trans. 1983, 11, 591–592. [Google Scholar]
- Chavan, J.J.; Jagtap, U.B.; Gaikwad, N.B.; Dixit, G.B.; Bapat, V.A. Total phenolics, flavonoids and antioxidant activity of Saptarangi (Salacia chinensis L.) fruit pulp. J. Plant Biochem. Biotechnol. 2012, 22, 409–413. [Google Scholar] [CrossRef]
- Chen, G.-L.; Zhang, X.; Chen, S.-G.; Han, M.-D.; Gao, Y.-Q. Antioxidant activities and contents of free, esterified and insoluble-bound phenolics in 14 subtropical fruit leaves collected from the south of China. J. Funct. Foods 2017, 30, 290–302. [Google Scholar] [CrossRef]
- Fan, X.-X.; Bian, Z.-H.; Song, B.; Xu, H. Transcriptome analysis reveals the differential regulatory effects of red and blue light on nitrate metabolism in pakchoi (Brassica campestris L.). J. Integr. Agric. 2022, 21, 1015–1027. [Google Scholar] [CrossRef]
- Li, J.; Wu, T.; Huang, K.; Liu, Y.; Liu, M.; Wang, J. Effect of LED Spectrum on the Quality and Nitrogen Metabolism of Lettuce Under Recycled Hydroponics. Front. Plant Sci. 2021, 12, 197–203. [Google Scholar] [CrossRef]
- Liu, L.H.; Zabaras, D.; Bennett, L.E.; Aguas, P.; Woonton, B.W. Effects of UV-C, Red light and sun light on the carotenoid content and physical qualities of tomatoes during post-harvest storage. Food Chem. 2009, 115, 495–500. [Google Scholar] [CrossRef]
- Xie, Y.; Su, L.; He, Z.; Zhang, J.; Tang, Y. Selenium Inhibits Cadmium Absorption and Improves Yield and Quality of Cherry Tomato (Lycopersicon esculentum) Under Cadmium Stress. J. Soil Sci. Plant Nutr. 2021, 21, 1125–1133. [Google Scholar] [CrossRef]
- Li, X.; Sun, C.; Zhou, B.; He, Y. Determination of Hemicellulose, Cellulose and Lignin in Moso Bamboo by Near Infrared Spectroscopy. Sci. Rep. 2015, 5, 210–215. [Google Scholar] [CrossRef] [PubMed]
- Zhang, Y.; Brad, K. Study on extraction and purification of apigenin and the physical and chemical properties of its complex with lecithin. Pharmacogn. Mag. 2018, 14, 203–206. [Google Scholar] [CrossRef]
- Avgoustaki, D.D. Optimization of Photoperiod and Quality Assessment of Basil Plants Grown in a Small-Scale Indoor Cultivation System for Reduction of Energy Demand. Energies 2019, 12, 80–86. [Google Scholar] [CrossRef]
- Kumar, A.; Singh, N.; Kaur, A.; Joshi, R. Sneak-peek into the chlorophyll content, antioxidant activity, targeted and non-targeted UHPLC-QTOF LC/MS metabolomic fingerprints of pulse microgreens grown under different photoperiod regimes. Food Biosci. 2023, 52, 506–514. [Google Scholar] [CrossRef]
- Elkins, C.; van Iersel, M.W. Longer Photoperiods with the Same Daily Light Integral Improve Growth of Rudbeckia Seedlings in a Greenhouse. Hortic. Sci. 2020, 55, 1676–1682. [Google Scholar] [CrossRef]
- Virdi, A.S.; Singh, N.; Bains, K.K.; Kaur, A. Effect of photoperiod and growth media on yield and antioxidant properties of wheatgrass juice of Indian wheat varieties. J. Food Sci. Technol. 2021, 58, 3019–3029. [Google Scholar] [CrossRef]
- Dorais, M.; Yelle, S.; Gosselin, A. Influence of extended photoperiod on photosynthate partitioning and export in tomato and pepper plants. N. Z. J. Crop Hortic. Sci. 1996, 24, 29–37. [Google Scholar] [CrossRef]
- Kawagishi, K.; Abe, T.; Ubukata, M.; Kato, S. Inhibition of flower stalk elongation and abnormal flower development by short-day treatment in a Japanese variety of Chinese chive (Allium tuberosum Rottler ex Sprengel). Sci. Hortic. 2009, 119, 197–202. [Google Scholar] [CrossRef]
- Weaver, G.; van Iersel, M.W. Longer Photoperiods with Adaptive Lighting Control Can Improve Growth of Greenhouse-grown ‘Little Gem’ Lettuce (Lactuca sativa). Hortic. Sci. 2020, 55, 573–580. [Google Scholar] [CrossRef]
- Saapilin, N.S.; Yong, W.T.L.; Cheong, B.E.; Kamaruzaman, K.A.; Rodrigues, K.F. Physiological and biochemical responses of Chinese cabbage (Brassica rapa var. chinensis) to different light treatments. Chem. Biol. Technol. Agric. 2022, 9, 27–28. [Google Scholar] [CrossRef]
- Meas, S.; Luengwilai, K.; Thongket, T. Enhancing growth and phytochemicals of two amaranth microgreens by LEDs light irradiation. Sci. Hortic. 2020, 265, 62–65. [Google Scholar] [CrossRef]
- Pennisi, G.; Orsini, F.; Landolfo, M.; Pistillo, A.; Crepaldi, A.; Nicola, S.; Fernández, J.A.; Marcelis, L.F.M.; Gianquinto, G. Optimal photoperiod for indoor cultivation of leafy vegetables and herbs. Eur. J. Hortic. Sci. 2020, 85, 329–338. [Google Scholar] [CrossRef]
- Song, J.; Huang, H.; Song, S.; Zhang, Y.; Su, W.; Liu, H. Effects of Photoperiod Interacted with Nutrient Solution Concentration on Nutritional Quality and Antioxidant and Mineral Content in Lettuce. Agronomy 2020, 10, 920–922. [Google Scholar] [CrossRef]
- Zhang, Y.; Liang, Y.; Han, J.; Hu, X.; Li, X.; Zhao, H.; Bai, L.; Shi, Y.; Ahammed, G.J. Interactive Effects of Iron and Photoperiods on Tomato Plant Growth and Fruit Quality. J. Plant Growth Regul. 2022, 42, 376–389. [Google Scholar] [CrossRef]
- Shen, Y.Z.; Guo, S.S.; Ai, W.D.; Tang, Y.K. Effects of illuminants and illumination time on lettuce growth, yield and nutritional quality in a controlled environment. Life Sci. Space Res. 2014, 2, 38–42. [Google Scholar] [CrossRef]
- McCall, D.; Willumsen, J. Effects of nitrogen availability and supplementary light on the nitrate content of soil-grown lettuce. J. Hortic. Sci. Biotechnol. 2015, 74, 458–463. [Google Scholar] [CrossRef]
- Lin, L.-Z.; Lu, S.; Harnly, J.M. Detection and Quantification of Glycosylated Flavonoid Malonates in Celery, Chinese Celery, and Celery Seed by LC-DAD-ESI/MS. J. Agric. Food Chem. 2007, 55, 1321–1326. [Google Scholar] [CrossRef]
- He, R.; Zhang, Y.; Song, S.; Su, W.; Hao, Y.; Liu, H. UV-A and FR irradiation improves growth and nutritional properties of lettuce grown in an artificial light plant factory. Food Chem. 2021, 345, 727–730. [Google Scholar] [CrossRef]
- Ali, M.B.; Khandaker, L.; Oba, S. Comparative study on functional components, antioxidant activity and color parameters of selected colored leafy vegetables as affected by photoperiods. J. Food Agric. Environ. 2009, 7, 392–398. [Google Scholar]
- Yan, J.; Yu, L.; Xu, S.; Gu, W.; Zhu, W. Apigenin accumulation and expression analysis of apigenin biosynthesis relative genes in celery. Sci. Hortic. 2014, 165, 218–224. [Google Scholar] [CrossRef]
- Khan, T.; Abbasi, B.H.; Khan, M.A. The interplay between light, plant growth regulators and elicitors on growth and secondary metabolism in cell cultures of Fagonia indica. J. Photochem. Photobiol. B Biol. 2018, 185, 153–160. [Google Scholar] [CrossRef] [PubMed]
- Feng, L.; Raza, M.A.; Li, Z.; Chen, Y.; Khalid, M.H.B.; Du, J.; Liu, W.; Wu, X.; Song, C.; Yu, L.; et al. The Influence of Light Intensity and Leaf Movement on Photosynthesis Characteristics and Carbon Balance of Soybean. Front. Plant Sci. 2019, 9, 952–955. [Google Scholar] [CrossRef]





| Cultivars | Treatment | Pn mol m−2 s−1 | Gs µmol m−2 s−1 | Ci µmol mol−1 | Tr mmol m−2 s−1 | Fv/Fm | NPQ | qP | ETR |
|---|---|---|---|---|---|---|---|---|---|
| BQ | 8 h/16 h | 15.85 ± 0.09 b | 0.39 ± 0.008 b | 294.50 ± 1.13 b | 4.67 ± 0.008 b | 0.70 ± 0.002 b | 0.20 ± 0.015 b | 0.70 ± 0.006 a | 51.26 ± 0.24 b |
| 12 h/12 h | 16.81 ± 0.17 a | 0.42 ± 0.002 a | 300.48 ± 0.26 a | 5.59 ± 0.03 a | 0.81 ± 0.001 a | 0.21 ± 0.007 b | 0.66 ± 0.004 b | 52.5 ± 0.08 a | |
| 16 h/8 h | 14.41 ± 0.06 c | 0.33 ± 0.003 c | 297.68 ± 1.20 ab | 4.59 ± 0.01 c | 0.69 ± 0.002 b | 0.26 ± 0.005 a | 0.64 ± 0.001 b | 49.3 ± 0.20 c | |
| HQ | 8 h/16 h | 10.70 ± 0.04 a | 0.12 ± 0.05 b | 223.79 ± 0.02 b | 2.27 ± 0.02 b | 0.77 ± 0.001 b | 0.20 ± 0.018 a | 0.67 ± 0.002 b | 50.26 ± 0.08 b |
| 12 h/12 h | 10.98 ± 0.12 a | 0.40 ± 007 a | 334.88 ± 0.02 a | 6.06 ± 0.02 a | 0.80 ± 0.003 a | 0.21 ± 0.008 a | 0.73 ± 0.002 a | 53.3 ± 0.32 a | |
| 16 h/8 h | 7.65 ± 0.11 b | 0.08 ± 0.09 b | 213.29 ± 0.27 b | 1.60 ± 0.27 c | 0.74 ± 0.008 b | 0.23 ± 0.005 a | 0.70 ± 0.012 b | 48.36 ± 0.09 c |
Disclaimer/Publisher’s Note: The statements, opinions and data contained in all publications are solely those of the individual author(s) and contributor(s) and not of MDPI and/or the editor(s). MDPI and/or the editor(s) disclaim responsibility for any injury to people or property resulting from any ideas, methods, instructions or products referred to in the content. |
© 2023 by the authors. Licensee MDPI, Basel, Switzerland. This article is an open access article distributed under the terms and conditions of the Creative Commons Attribution (CC BY) license (https://creativecommons.org/licenses/by/4.0/).
Share and Cite
Chu, Q.; Qin, Y.; Li, C.; Cheng, S.; Su, L.; He, Z.; Zhou, X.; Shao, D.; Guo, X. Effects of Different Photoperiods on the Growth and Nutritional Characteristics of Two Celery Cultivars in Plant Factory. Agronomy 2023, 13, 3039. https://doi.org/10.3390/agronomy13123039
Chu Q, Qin Y, Li C, Cheng S, Su L, He Z, Zhou X, Shao D, Guo X. Effects of Different Photoperiods on the Growth and Nutritional Characteristics of Two Celery Cultivars in Plant Factory. Agronomy. 2023; 13(12):3039. https://doi.org/10.3390/agronomy13123039
Chicago/Turabian StyleChu, Qianwen, Yanmei Qin, Chunyan Li, Shaobo Cheng, Lihong Su, Zhongqun He, Xiaoting Zhou, Dalong Shao, and Xin Guo. 2023. "Effects of Different Photoperiods on the Growth and Nutritional Characteristics of Two Celery Cultivars in Plant Factory" Agronomy 13, no. 12: 3039. https://doi.org/10.3390/agronomy13123039
APA StyleChu, Q., Qin, Y., Li, C., Cheng, S., Su, L., He, Z., Zhou, X., Shao, D., & Guo, X. (2023). Effects of Different Photoperiods on the Growth and Nutritional Characteristics of Two Celery Cultivars in Plant Factory. Agronomy, 13(12), 3039. https://doi.org/10.3390/agronomy13123039
