Next Article in Journal
Effect of Furrow Straw Mulching and Straw Decomposer Application on Celery (Apium graveolens L.) Production and Soil Improvement
Previous Article in Journal
Collaborative Wheat Lodging Segmentation Semi-Supervised Learning Model Based on RSE-BiSeNet Using UAV Imagery
 
 
Font Type:
Arial Georgia Verdana
Font Size:
Aa Aa Aa
Line Spacing:
Column Width:
Background:
Article

Effects of Different Tillage and Fertilization Methods on the Yield and Nitrogen Leaching of Fragrant Rice

1
Scientific Observing and Experimental Station of Crop Cultivation in South China, Ministry of Agriculture, Guangzhou 510642, China
2
Department of Crop Science and Technology, College of Agriculture, South China Agricultural University, Guangzhou 510642, China
3
Guangzhou Key Laboratory for Science and Technology of Aromatic Rice, Guangzhou 510642, China
*
Author to whom correspondence should be addressed.
Agronomy 2023, 13(11), 2773; https://doi.org/10.3390/agronomy13112773
Submission received: 26 September 2023 / Revised: 2 November 2023 / Accepted: 2 November 2023 / Published: 6 November 2023

Abstract

:
Conservation tillage and deep-side fertilization both hold the potential to reduce nitrogen leaching and improve grain yield and nitrogen use efficiency in fragrant rice cultivation practices. However, the combined impact of different tillage practices with deep-side fertilization on nitrogen leaching remains uncertain. Therefore, this study conducted on-site experiments for four rice-growing seasons in both early and late seasons in 2018 and 2019 using the fragrant rice varieties “Meixiangzhan 2” (MX) and “Xiangyaxiangzhan” (XY). The four experimental treatments included the following: conventional tillage with regular fertilization (T1), conventional tillage with simultaneous deep fertilization (T2), reduced tillage with simultaneous deep fertilization (T3), and no-tillage with simultaneous deep fertilization (T4). Our results indicate that the T4 treatment exhibited higher nitrogen leaching rates and potential nitrogen losses throughout the entire rice growth cycle, with a 4.51% increase in total mineral nitrogen leaching (TMNL) and a 1.86% increase in potential nitrogen leaching compared to T1 treatment. In contrast, the T2 treatment demonstrated the lowest nitrogen leaching rate, resulting in a 6.01% reduction in TMNL and a 9.57% decrease in potential nitrogen leaching compared to T1, demonstrating the most optimal performance. It is important to note that a reduction in nitrogen leaching does not directly translate into an increase in rice yield. Our study involved the cultivation of two fragrant rice varieties, ‘Meixiangzhan2’ (MX) and ‘Xiangyaxiangzhan’ (XY), and the results revealed some interesting insights. For MX, the T1 treatment resulted in lower daily grain outputs compared to the other treatments, with disparities ranging from 5.35% to 9.94%. Similarly, for XY, the T1 treatment yielded significantly lower daily grain outputs compared to the other treatments, with discrepancies ranging from 6.26% to 10.81% during the late season of 2019. Therefore, this study suggests that conventional tillage combined with deep fertilizer application can be considered as an effective agricultural strategy to reduce nitrogen leaching and enhance fragrant rice yields.

1. Introduction

With the global population rapidly increasing and food consumption projected to surge, effective nitrogen management is critical to boost crop yields, protect soil quality, and mitigate environmental challenges such as water pollution and climate change [1,2]. Precision fertilization, involving optimized timing, methods, fertilizer selection, and sound cultivation practices, significantly improves nitrogen fertilizer efficiency [3]. Ref. [4] demonstrated that compared to traditional fertilizers, controlled-release urea (CRU) reduced nitrogen leaching and NH3 volatilization by 21.10% and 35.88%, respectively. The findings from [5] revealed that the use of a composite fertilizer (60% polymer-coated urea + 40% conventional urea) in conjunction with alternate wetting and drying water management technique (AWD) substantially decreased nitrogen runoff and leaching. Total nitrogen loss through runoff decreased from 35.3% to 25.0%, and total nitrogen loss through leaching decreased from 41.7% to 30.3%. Ref. [6] demonstrated that intercropping had an impact on nitrogen in maize and potato crops, with potential reductions in NO3-N infiltration averaging 15.8% (ranging from 3.4% to 37.4%), and the mitigation effect on NO3-N infiltration increased with increasing nitrogen levels. N leaching is often the result of factors such as rainfall, irrigation, or other water input pathways [7].
Previous studies have delved into diverse cultivation techniques, encompassing straw mulching, intercropping, irrigation practices, and adept fertilization management. They have also examined the impact of environmental factors such as soil properties and the application of substances like nitrification inhibitors, controlled-release coated urea, and biochar on nitrogen leaching [6,8,9,10]. In unison, these findings advocate for the potential to mitigate nitrogen leaching through strategies like conservation tillage and deep fertilization. Reports suggest that the impact of no-tillage, when compared to conventional tillage, varies, with studies showcasing increases, decreases, or no significant changes in nitrogen leaching [11,12,13]. Deep fertilization, as validated by numerous studies, effectively reduces nitrogen leaching and concurrently enhances nitrogen utilization efficiency [14,15,16]. Additionally, crops with deep root systems have the inherent capacity to substantially reduce nitrogen leaching, underlining the promise of measures designed to stimulate deep rooting in crops [17].
Conservation tillage is a sustainable agricultural technique that involves reducing soil tillage, retaining crop residues, and adopting practices like no-till farming. It serves to improve agricultural ecological environments, mitigate soil erosion risks, and enhance soil quality and fertility, consequently boosting agricultural productivity [18]. Importantly, it reduces the reliance on pesticides and chemical fertilizers, thus reducing agriculture’s adverse environmental impact and promoting sustainable agricultural production [15,19]. The impact of conservation tillage on nitrogen (N) leaching has varied across different studies, with some reporting an increase [15], some a decrease [12,20], and others finding no significant impact [13]. These variations can be attributed to several factors, including meteorological conditions and soil properties [21]. Ref. [22] demonstrated that, the response of NO3-N leaching is closely tied to soil attributes like Soil Organic Carbon (SOC), climatic factors (particularly water input), and management practices like the duration of no-tillage (NT) and nitrogen fertilizer input. Significantly, SOC emerges as the key factor influencing the risk of NO3-N leaching under NT conditions. Extended periods of NT have been shown to effectively increase SOC content [23].
Deep fertilization is a soil fertility management method aimed at incorporating fertilizers deep into the soil to better meet the nutritional needs of plants [24]. This method typically involves applying fertilizers to deeper layers of the soil rather than just on the surface [25]. Deep fertilization can help improve the distribution of nutrients in the soil, enhance crop nutrient uptake efficiency, and reduce the risks of nutrient wastage and environmental pollution. Furthermore, it has proven highly effective in mitigating nitrogen leaching [26]. Deep fertilization not only reduces reliance on chemical fertilizers, decreasing the risk of agricultural environmental pollution [14,27], but also improves soil quality, reducing nutrient loss from soils and promoting long-term land productivity for sustainable agriculture development [26]. Additionally, this technique reduces the risk of nitrogen leaching by ensuring that fertilizers are applied near the roots, reducing fertilizer residence time in the soil [28]. Ref. [29] demonstrated that, conducted research demonstrating that deep nitrogen fertilization led to a significant increase in dry matter production, nitrogen uptake, and rice yield. The treatment applied at a depth of 10 cm exhibited the highest nitrogen use efficiency and grain yield. Additionally, Ref. [30] reported that deep nitrogen fertilization offers an additional benefit by mitigating environmental impacts associated with nitrogen processes, especially in no-tillage (NT) rice fields, where it reduces nitrogen runoff and denitrification.
Conservation tillage and deep fertilization both have the potential to influence nitrogen leaching, but there has been limited research on the combined effects of tillage and fertilization on yield and nitrogen leaching of fragrant rice in detail. In light of these challenges, we hypothesize that the combination of conservation tillage and deep fertilization can more effectively reduce nitrogen leakage and increase rice yields. Therefore, we conducted a two-year field experiment to investigate the concentrations of total nitrogen, ammonium nitrogen, and nitrate nitrogen at a depth of 1 m below the ground. We also monitored grain yield and other physiological parameters to assess the impact of conservation tillage and deep fertilization on nitrogen leaching.

2. Materials and Methods

2.1. Experimental Site Description

Field experiments were conducted in early and late seasons of 2018 and 2019 at the Experimental Research Farm, College of Agriculture, South China Agricultural University, Guangzhou City, China (23.13° N, 113.81° E, altitude 11 m). The region has a subtropical monsoon climate, with the majority of the rainfall occurring from May to July. The average temperature in 2018 was 23.5 °C, with a rainfall of 2153.67 mm. In 2019, the average temperature was 23.98 °C, and the rainfall amounted to 2549.4 mm. The experimental soil was sandy loam consisting of 15.06  g  kg−1 organic matter, 1.10  g  kg−1 total nitrogen, 53.72  mg kg−1 available nitrogen, 0.83 g kg−1 total phosphorus, 16.37 mg kg−1 available phosphorus, 11.19 mg kg−1 total potassium, and 120.08 mg kg−1 available potassium, and the pH was 6.56 [31].

2.2. Experimental Treatments and Design

The experiment employed a randomized complete block design with four replications and a factorial arrangement of treatments. There were primarily two groups of rice varieties. Within each group, the main factor was the tillage method with three levels—no-till, reduced tillage, and conventional tillage—while the secondary factor was deep fertilization with two levels: simultaneous deep fertilization and regular fertilization. The experimental treatments comprised conventional tillage with regular fertilization, conventional tillage with simultaneous deep fertilization, reduced tillage with simultaneous deep fertilization, and no-till with simultaneous deep fertilization. Each experimental plot had an area of 30 square meters (6 m in length × 5 m in width). Seeds of two rice varieties, namely conventional fragrant rice “Meixiangzhan2” (MX) (Lemont × Fengaozhan, bred by Rice Research Institute of Guangdong Academy of Agricultural Sciences) and ”Xiangyaxiangzhan” (XY) (Xiangsimiao126 × Xiangyaruanzhan, bred by Taishan Institute of Agricultural Science), which are well known and widely grown in South China, provided by the College of Agriculture, were sown in rice nursery trays for seedling development. Specifically, the treatments were as follows:
CT: Conventional tillage, followed as adopted by local farmers—puddling twice with a rotary cultivator before transplanting in each cropping season;
RT: Reduced tillage, followed as adopted by local farmers—puddling once with a rotary cultivator before transplanting in each cropping season;
NT: No tillage—no tillage was performed on the soil in paddy field before transplanting in each cropping season.
The depth of deep fertilization was 10cm, and regular fertilization was spread. The commercial compound fertilizer (Yara-Mila Fertilizer Company, China) was applied at the same amounts—105  kg·N·ha−1, 105  kg·P2O5·ha−1, and 105 kg·K2O·ha−1—with 60% as basal dose and 40% at tillering. The paddy field was flooded to about 3 cm water depth after the transplanting until the end of the tillering. Then, the water was drained for a week to control the production of infertile tillers, and then, a water later of 5–7 cm was kept during the grain-filling stage. All other agronomic practices, i.e., pest and disease management and weed control, were the same according to the guidelines and standards recommended by [32].
Early-season rice was sown on 12 March, transplanted on April 4th with a planting pattern of 30 × 14 cm, and harvested on 8 July. For all treatments, immediately after the previous crop harvest and when the field surface had dried, “Roundup” 41% herbicide was applied at a rate of 988.4 cm3·ha−1. The field surface was kept dry for 5 days to eradicate weeds. Subsequently, the field was flooded to a depth of 3–4 cm and maintained under submersion for 3–5 days before being maintained at a depth of 1–2 cm on the day of transplanting.

2.3. Sampling and Measurement

A 1 m long percolation tube with a water-permeable head at the bottom was inserted into the ground. At regular intervals, moisture samples were extracted from the percolation tube and collected. The volume of percolate was recorded after each sampling. Subsequently, the percolate samples were preserved and analyzed using Alliance Futura II (KPM Analytics, Westborough, MA, USA) to determine the mass concentration of NH4+-N, mass concentration of NO3-N, and total N mass concentration. This process was repeated three times, and the average values were recorded. Simultaneously, based on the total N mass concentration and the volume of percolate, the nitrogen leakage in the whole growth period was calculated. The formula used was as follows:
N = C × V
Here:
N is nitrogen leakage in the entire growth period.
C is the total N mass concentration.
V is the percolate volume.

2.4. Potential Maximum Leaching Rate of Fertilizer

Representative soil samples were selected and placed in columns, each with a diameter of 10 cm and a height of 50 cm. Yara-Mila fertilizer (N:P:K 15:15:15) was evenly applied at a rate of 450 kg·hm−2 on top of the columns. A controlled water supply was provided at the tops of the columns using water or simulated rainfall equipment to mimic precipitation or irrigation conditions. The deionized water supply was adjusted according to different rainfall intensities and frequencies.
Collection bottles were installed at the bottoms of the columns to collect leachate that flowed out from the bottoms of the columns. Periodic samples were collected from the leachate, and the nitrogen content in the collected samples was analyzed. The ammonium nitrogen (NH4+-N) or NO3-N content in the leachate was determined using an Alliance Futura II continuous flow analyzer. Based on the analysis results, the amount of nitrogen fertilizer leached from the bottoms of the columns was calculated and compared with the initial fertilizer application to obtain the potential maximum leaching rate of fertilizer. The experiment was repeated three times. The formula used was as follows:
L = ( N I N L ) / N I × 100 %
Here:
L is the potential maximum leaching rate of fertilizer.
NI is the total amount of nitrogen fertilizer initially applied to the columns.
NL is the amount of nitrogen fertilizer determined from the leachate samples.

2.5. Grain Yield

The grain yield was determined from a 5 m2 area in each BBCH scale 92, and then adjusted for a moisture content of 12.5% to 14.5%. Subsequently, the obtained yield was converted into the daily yield for each rice season, the daily yield for each year, and the annual total yield.

2.6. Statistical Analysis

Data were analyzed using three-way analysis of variance with free software, R 4.3.1 (www.r-project.org, accessed on 5 August 2023). Microsoft Excel 2010 (Microsoft, Redmond, WA, USA) and Analytical Software Statistix 8.0 (Statistix, Tallahassee, FL, USA) were used for data collation and analysis, and the least significant difference (LSD) test was used for multiple comparisons (p < 0.05). Origin 9.0 (OriginLab Corporation, Northampton, MA, USA) was used to draw the graphs.

3. Results

3.1. Three-Way Analysis of Variance Table for Treatment, Season, and Year

As single factors, year, season, and treatment all had highly significant effects on the results, as shown in Table 1, except for year, which did not have a significant effect on nitrogen leakage in the whole growth period. Regarding interactions between factors, only the season × year × treatment interaction had a highly significant effect on the results, with no significant impact on yield. Season × year only had a highly significant effect on TMNL, and season × treatment, except for NO3-N Leaching, had no significant impact. Finally, year × treatment had no significant effect on the potential maximum leaching rate of fertilizer but did significantly affect the yield.

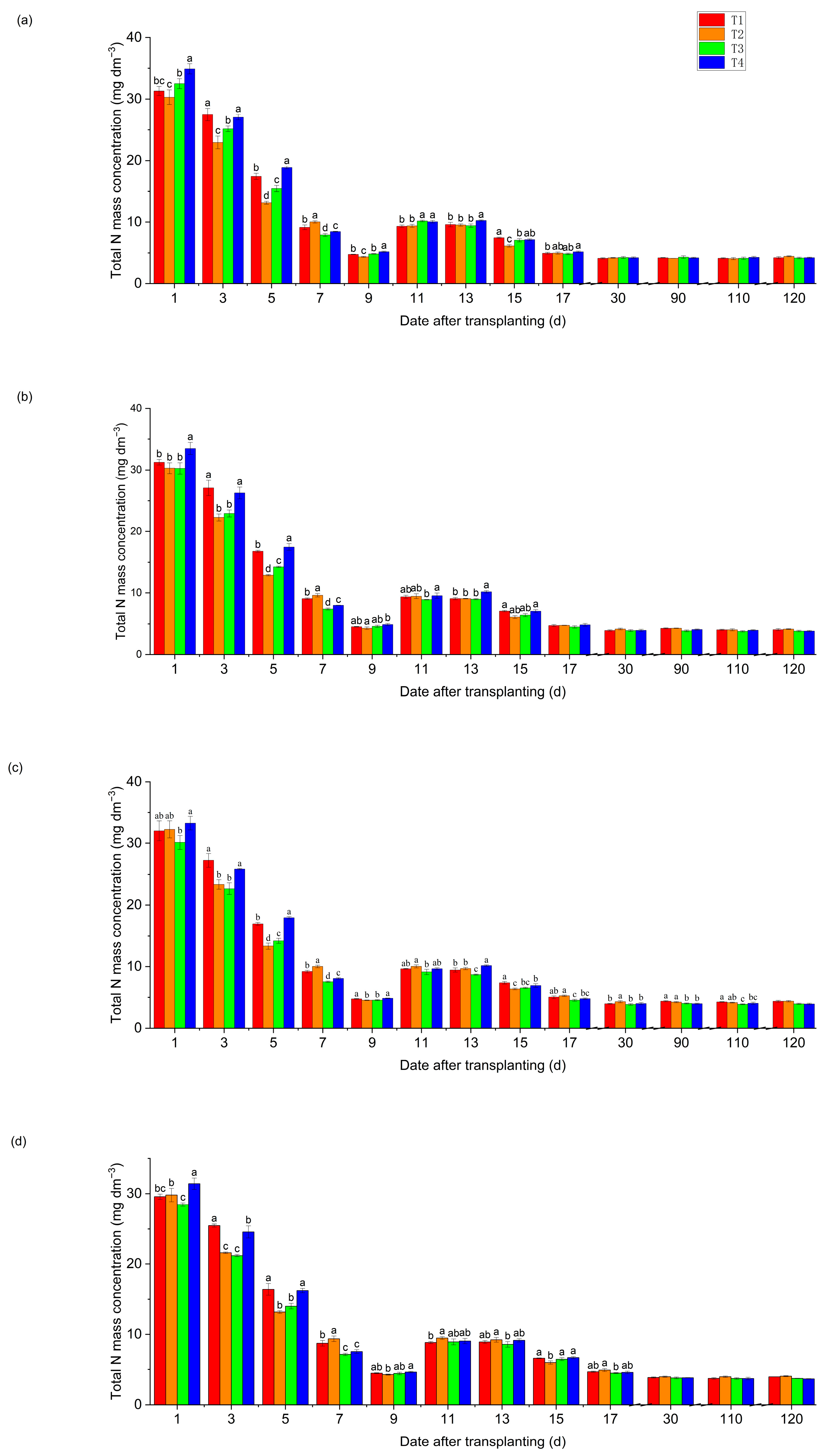
3.2. Total Mineral N Leaching

Season, year, treatment, and their interactions all exhibited highly significant effects on TMNL (Table 1), except for the season × treatment interaction, which did not show significance. Throughout the entire rice-growing season, the total nitrogen concentration in the leachate at a depth of 1 m in the paddy fields exhibited a certain range of variation, ranging from 3.60 mg dm−3 to 35.76 mg dm−3 (Figure 1). Compared to the T4 treatment, the total nitrogen concentrations in the T1, T2, and T3 treatments decreased by 1.20%, 7.10%, and 8.68%, respectively, with the reductions in the T2 and T3 treatments being statistically significant (p ≤ 0.05). Specifically, the average concentrations for the four treatments were T1: 10.41 mg dm−3, T2: 9.79 mg dm−3, T3: 9.62 mg dm−3, and T4: 10.53 mg dm−3.
Under different treatments, the total nitrogen mass concentration in the runoff from the rice fields exhibited a certain pattern of variation. Firstly, during the basal fertilizer application period, the total nitrogen concentration was generally higher for all treatments. Subsequently, it rapidly decreased in the following period, with a brief increase during the tillering stage on the 9th day. Additional tillering fertilizer was applied on the 9th day, reaching a second peak on the 11th day and finally gradually decreasing to lower concentrations and stabilizing. Overall, the trend of TMNL was as follows: T4 > T1 > T3 > T2. These trends showed no significant differences between different seasons.

3.3. NH4+-N Leaching

Season, year, treatment, and their interactions demonstrated highly significant effects on NH4+-N Leaching (Table 1), with the year × season interaction also displaying significance. Throughout the entire rice-growing season, the ammonium nitrogen concentration in the leachate at a depth of 1 m in the paddy fields exhibited a certain range of variation, ranging from 0.69 mg dm−3 to 8.72 mg dm−3 (Figure 2). Compared to the T4 treatment, the T1, T2, and T3 treatments reduced the ammonium nitrogen concentration by 6.68%, 11.63%, and 8.68%, significantly. Specifically, the average concentrations for each season under different treatments were as follows: T1: 2.65 mg dm−3, T2: 2.51 mg dm−3, T3: 2.60 mg dm−3, and T4: 2.84 mg dm−3.
The ammonium nitrogen concentration in the leachate from deep paddy fields under different fertilization treatments exhibited a pattern of variation similar to that of total nitrogen. During the basal fertilizer application period, ammonium nitrogen concentration was relatively high for all fertilization treatments. Subsequently, it gradually decreased in the following period. However, there was a brief increase during the tillering stage on the 9th day, when additional tillering fertilizer was applied. After that, it declined again, reaching lower concentrations and stabilizing thereafter. Overall, the trend for ammonium nitrogen was as follows: T4 > T1 > T3 > T2.

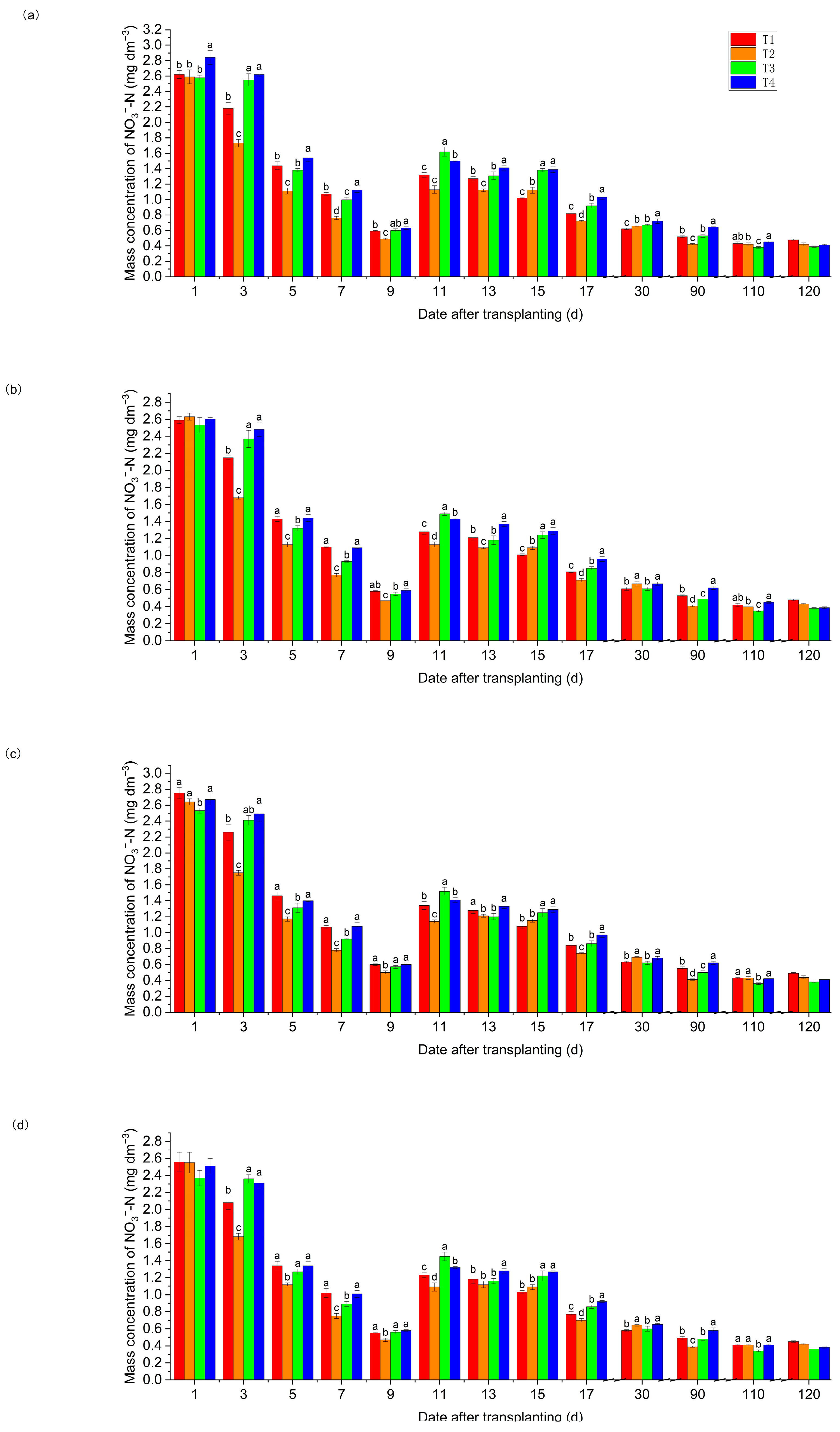
3.4. NO3-N Leaching

For NO3-N Leaching, season, year, treatment, and their interactions revealed highly significant effects (Table 1). Notably, the season × treatment interaction was the only interaction that did not exhibit significance. In line with NH4+-N, the year × season interaction was significantly influential. Throughout the entire rice-growing season, the nitrate nitrogen concentration in the leachate from deep paddy fields at a depth of 1 m exhibited a range of variation from 0.33 to 2.90 mg dm−3 (Figure 3). Low nitrate leaching concentrations are of significant importance for both environmental protection and nitrogen utilization efficiency. Specifically, the average nitrate leaching concentrations for each season under different treatments were as follows: T1: 1.10 mg·dm−3, T2: 0.98 mg dm−3, T3: 1.11 mg dm−3, and T4: 1.19 mg dm−3. By comparing the nitrate leaching concentrations under different treatments, it is evident that relative to the T4 treatment, the T1 treatment reduced nitrate leaching concentration by 7.45%, the T2 treatment reduced it by 17.61%, and the T3 treatment reduced it by 6.02%, significantly. This indicates that the T2 treatment exhibited the best nitrogen leaching and potential loss rate throughout the entire rice-growing season, with the lowest nitrate leaching concentration. Furthermore, the dynamic trend in nitrate leaching concentration is noteworthy. Under all treatments, the nitrate nitrogen concentration in the leachate from deep paddy fields exhibited a pattern of high concentration during the basal fertilizer application period, followed by a rapid decline. Additional tillering fertilizer was applied on the 9th day, there was a brief increase after the application of tillering fertilizer on the 11th day, and then, there was another decline, leading to lower concentrations and stabilizing thereafter. Overall, the trend for nitrate nitrogen was as follows: T4 > T1 > T3 > T2. There were no significant differences observed between seasons.

3.5. Nitrogen Leakage in the Whole Growth Period and Potential Maximum Leaching Rate of Fertilizer

Regarding nitrogen leakage during the entire growth period, season and treatment independently exerted highly significant effects (Table 1), while the season × treatment interaction lacked significance. Additionally, the year × treatment interaction, as well as interactions involving all three factors, displayed highly significant impacts. In the case of the potential maximum leaching rate of fertilizer, all three factors independently, and their interactions, demonstrated highly significant effects, while pairwise interactions were not significant.
Different planting and fertilization methods significantly influenced nitrogen leaching and potential maximum leaching rates. In terms of the total amount of nitrogen leaching over the entire crop growth period, the T4 treatment was significantly higher than the other treatments, while the T2 and T3 treatments reduced it by 6.46% and 4.49%, respectively (Figure 4). Relative to the T4 treatment, the trend for nitrogen leaching amounts under different planting and fertilization methods in both experimental years was as follows: T4 > T1 > T3 > T2. Regarding the potential maximum leaching rates of nitrogen, the trend was similar to that of the nitrogen leaching amounts, with the T2 treatment reducing it by 11.23% and 9.57% compared to the T4 and T1 treatments, respectively. In both experimental years, the trend for the potential maximum leaching rates of nitrogen under different planting and fertilization methods was as follows: T4 > T1 > T3 > T2. This implies that the T4 treatment had the highest nitrogen leaching and potential loss rates, followed by T1, then T3, and the T2 treatment had the lowest nitrogen leaching and potential loss rates. However, it is important to note that these differences were not statistically significant between different seasons.
Further relating these results to the changes in ammonium nitrogen, nitrate nitrogen, and total nitrogen concentrations, we observed that over the entire rice growth period, the trends in total nitrogen concentration, ammonium nitrogen concentration, and nitrate nitrogen concentration were consistent with T4 > T1 > T3 > T2, aligning with the trends in nitrogen leaching and potential loss rates. Specifically, the T4 treatment exhibited higher ammonium and nitrate nitrogen concentrations throughout the entire growth period, followed by T1, then T3, and the T2 treatment had the lowest concentrations of ammonium and nitrate nitrogen.
In summary, the T4 treatment demonstrated higher nitrogen leaching and potential loss rates throughout the entire rice growth period, resulting in higher concentrations of total nitrogen, ammonium nitrogen, and nitrate nitrogen during the corresponding periods. Conversely, the T2 treatment performed optimally in reducing nitrogen leaching and potential loss rates, resulting in the lowest leaching rates of total nitrogen, ammonium nitrogen, and nitrate nitrogen. This suggests that compared to conventional fertilization, synchronized deep fertilization is more effective in reducing nitrogen leaching, while conventional tillage, reduced tillage, and no-till actually lead to increased nitrogen leaching. For rice production, the best approach to reduce nitrogen leaching is conventional tillage with synchronized deep fertilization. It is important to emphasize that these differences were not statistically significant between seasons. These findings are of great significance for optimizing rice planting and fertilization management, improving nitrogen utilization efficiency, and reducing nitrogen pollution. However, further research is needed to delve into the mechanisms of nitrogen leaching under different treatments.

3.6. Daily Yield

Each factor independently had a highly significant impact on yield (Table 1). However, after considering interactions, only the year × treatment interaction showed a significant influence. This study also analyzed the impact of different planting and fertilization methods on daily rice yield. For the “Meixiangzhan 2” variety, in three out of four seasons except for the early season of 2018, the daily yield under the T1 treatment was significantly lower than that under the other treatments (Figure 5). Specifically, in the late season of 2018, the yield under the T1 treatment was lower than that under the T2, T3, and T4 treatments, decreasing by 4.93%, 5.26%, and 6.93%, respectively. In the early season of 2019, the T1 treatment’s yield was lower than that of the T2, T3, and T4 treatments, decreasing by 6.04%, 8.73%, and 8.79%, respectively. In the late season of 2019, the T1 treatment’s yield was lower than that of the T2, T3, and T4 treatments, decreasing by 6.46%, 9.93%, and 14.29%, respectively. As for the “Xiangyaxiangzhan” variety, only in the late season of 2019, the T1 treatment’s daily yield was significantly lower than the other treatments, decreasing by 6.26%, 10.71%, and 10.81% compared to the T2, T3, and T4 treatments, respectively.
From the above results, it can be observed that for the “MX” variety, the daily yield under the T1 treatment was significantly lower than that under the other treatments in different seasons, with differences ranging from 4.93% to 14.29%. As for the “Xiangyaxiangzhan” variety, only in the late season of 2019, the T1 treatment’s daily yield was significantly lower than the other treatments, with differences ranging from 6.26% to 10.81%. Combining these conclusions with the previous results on nitrogen leaching and potential loss rates, it appears that the T1 treatment exhibited lower yields and simultaneously showed higher nitrogen leaching and potential loss rates. This may imply lower nitrogen utilization efficiency in this treatment, resulting in greater nitrogen losses and subsequently affecting rice growth and yield.
In summary, different planting and fertilization methods are closely related to rice yield and nitrogen leaching. When optimizing rice planting management strategies, apart from considering yield improvement, it is essential to also take into account nitrogen utilization efficiency to reduce nitrogen losses and enhance agricultural sustainability. Future research can delve deeper into the mechanisms of nitrogen loss under different treatments to further guide practical planting operations.

3.7. Daily Yield and Annual Yield

In this study, we conducted an in-depth analysis of the impact of different planting and fertilization methods on the annual yield of different rice varieties (Figure 6). Specifically, for the “Meixiangzhan 2” variety, the daily yield under the T1 treatment was significantly lower than that under the other treatments. In three out of four seasons, except for the early season of 2018, the T1 treatment’s yield was lower than that of the T2, T3, and T4 treatments. Specifically, in 2018, the T1 treatment’s yield was lower than that of the T2, T3, and T4 treatments, decreasing by 5.35%, 5.43%, and 5.35%, respectively. In 2019, the T1 treatment’s yield was lower than that of the T2, T3, and T4 treatments, decreasing by 6.49%, 10.40%, and 9.94%, respectively. However, for the “Xiangyaxiangzhan” variety, no significant differences were observed among different planting and fertilization methods, and the trend in annual yield was consistent with that of daily yield. Through comprehensive analysis, we can conclude that the T1 treatment significantly reduced daily yield, especially in different seasons of 2018 and 2019, in the “Meixiangzhan 2” variety. However, for the “Xiangyaxiangzhan” variety, no significant impact of different planting and fertilization methods on yield was observed, and the trend in annual yield was consistent with that of daily yield.
These findings suggest that planting and fertilization methods may have varying degrees of impact on the yield performance of different rice varieties. When selecting different varieties and formulating planting management strategies, it is essential to consider variety characteristics and nitrogen utilization efficiency to achieve optimal yield and nitrogen management effects. Future research can further explore the interaction mechanisms between different varieties and different planting and fertilization methods, providing more scientific bases for precision agriculture.

3.8. Correlation Analysis and Principal Component Analysis (PCA)

To delve further into the mechanisms underlying the impact of different planting and fertilization methods on rice yield, we conducted a comprehensive analysis of the relationship between yield and total nitrogen, ammonium nitrogen, nitrate nitrogen, entire nitrogen leaching amount, and potential leaching rate. The results (Figure 7). indicate that in this study, no significant correlations were observed between yield and these nitrogen-related parameters. Specifically, despite observing trends in yield variations under different treatments, the correlations between yield and total nitrogen, ammonium nitrogen, and nitrate nitrogen were not statistically significant. Although the nitrogen leaching amount and potential leaching rate differed across different treatments, their relationships with yield did not reach statistical significance. This finding suggests that under the conditions of this study, the relationship between yield and nitrogen may have been influenced by multiple factors rather than being determined solely by a single factor. There may have been a complex interplay of various factors, such as other environmental factors, growth stage phases, and soil characteristics, which could collectively overshadow the direct relationship between yield and nitrogen. Other potential contributing factors may have included variations in weather patterns, pest and disease pressures, or even local microclimates. These additional variables may have collectively overshadowed the direct relationship between yield and nitrogen. For future research, a more in-depth analysis and broader data collection may help further unravel the intricate relationships among these complex factors. This, in turn, will assist in optimizing planting and fertilization strategies to maximize rice yield while minimizing nitrogen wastage.
In summary, we conclude that the relationship between yield and total nitrogen, ammonium nitrogen, nitrate nitrogen, nitrogen leaching amount, and potential leaching rate is relatively complex under different planting and fertilization methods. Further in-depth research is needed to uncover the underlying mechanisms. This also reminds us that in future studies, we should consider a more comprehensive range of influencing factors to accurately unravel the relationship between nitrogen and yield.

4. Discussion

N leaching is often the result of factors such as rainfall, irrigation, or other water input pathways [7]. Previous studies have assessed cultivation methods such as straw mulching, intercropping, irrigation practices, and fertilization management, as well as environmental factors like soil properties and other substances like nitrification inhibitors, controlled-release coated urea, and biochar and their impacts on N leaching [14,33]. These results indicate that it is possible to reduce N leaching through conservation tillage and deep fertilization. Deep fertilization can reduce N leaching and enhance nitrogen utilization efficiency [14]. Moreover, our study highlights the role of deep-rooted crops in reducing nitrogen leaching. For instance, we found that crops with deeper root systems, such as [mention specific crop(s)], exhibited significantly lower nitrogen leaching. This suggests that interventions targeting deep root growth in crops can lead to similar benefits. In this study, we systematically investigated the impact of different planting and fertilization methods, combined with synchronized deep fertilization, on nitrogen leaching and rice yield. Although previous research has emphasized the importance of nitrogen management for agroecosystems [34], the relationship between yield and nitrogen under different planting and fertilization methods remains uncertain. Through field experiments conducted over four rice seasons, we have drawn valuable conclusions while also revealing complexities and challenges.
First, our research underscores the substantial impact of planting and fertilization methods on nitrogen leaching. For example, treatments T2 and T3 demonstrated notably lower levels of total nitrogen, ammonium nitrogen, and nitrate nitrogen concentrations when compared to the T4 treatment. Under the same fertilization method, the extent of nitrogen leaching was found to be in the order of no tillage > reduced tillage > conventional tillage, consistent with the results of [21]. Furthermore, the treatment of conventional tillage combined with synchronized deep fertilization (T2) showed the best performance in terms of nitrogen leaching and potential leaching rate, indicating its potential advantages in nitrogen management. However, it is important to note that although some differences existed, the variations in nitrogen leaching under different treatments were not statistically significant across different seasons. This could be attributed to various factors, including meteorological conditions and soil properties [21]. According to Li et al.’s research, the response of NO3-N leaching is associated with soil attributes such as Soil Organic Carbon (SOC), climatic factors (specifically water input), and management practices like the duration of no-tillage (NT) and nitrogen fertilizer input. This study was conducted during the second and third years of no-tillage cultivation, during which nitrogen leaching levels in no-tillage were observed to be higher compared to conventional tillage practices. These findings align with the data collected by Li and colleagues [22].
Another significant observation from our study was the contrast between conventional tillage (T1) and conventional tillage with synchronized deep fertilization (T2). T2 treatment exhibited lower concentrations of total nitrogen, ammonium nitrogen, and nitrate nitrogen, consistent with the findings reported by Liu et al. [33]. This suggests that, during fertilization, controlling the timing and depth of nitrogen application to match the growth requirements of rice plants can effectively reduce nitrogen loss, particularly during the early growth stage of rice when seedlings are small, root systems are underdeveloped, and nitrogen uptake and retention in the paddy water are limited. Deep fertilization can better balance the nitrogen release rate, matching the nitrogen uptake rate of rice plants, thus reducing nitrogen retention time in the soil and the likelihood of nitrogen leaching [14]. Deep fertilization also enhances root exploration of deeper soil layers, improving water utilization efficiency and thereby promoting crop nitrogen uptake and reducing nitrogen leaching through leachate [34]. This stimulation of crop nitrogen uptake ultimately results in increased crop yields [35]. Ref. [30] reported that deep nitrogen fertilization has the added benefit of mitigating environmental impacts associated with nitrogenation processes, particularly in no-tillage (NT) rice fields, where it reduces nitrogen runoff and denitrification.
Lastly, despite observing trends in yield variations under different treatments, we did not find significant correlations between yield and nitrogen-related parameters such as total nitrogen, ammonium nitrogen, and nitrate nitrogen. This phenomenon differs from those observed in some existing literature results and may be attributed to various factors, including soil types, rice varieties, and other ecological factors. This highlights the need to consider a comprehensive range of influencing factors when studying the relationship between nitrogen and yield.

5. Conclusions

Compared to conventional fertilization practices, the implementation of simultaneous deep-side fertilization has demonstrated significant benefits. Simultaneously, it increased the yield of two rice varieties, with a 6.31% improvement for MX and a 5.81% improvement for XY, while also reducing nitrogen leaching by 6.35% and potential leaching rates by 10.57%. However, it is crucial to recognize the nuanced relationship between yield and nitrogen leaching, which can be influenced by a myriad of factors. Interestingly, when the fertilization conditions were kept constant, we observed that higher levels of tillage intensity were associated with a reduction in TMNL by 6.92% and a decrease in potential leaching rates by 12.65%. However, somewhat paradoxically, this also led to lower yields. This finding highlights the intricate balance that must be struck between optimizing yield and minimizing nitrogen losses in rice cultivation. In summary, this study underscores the substantial positive impact of simultaneous deep-side fertilization in mitigating nitrogen leaching while simultaneously improving the yields of fragrant rice varieties. This promising strategy holds the potential to alleviate environmental nitrogen losses, contributing to more sustainable and environmentally friendly agricultural practices.

Author Contributions

X.Q. and X.T. designed the research. X.Q. and X.Z. conducted the experiments and collected the data. X.Q. and X.Z. analyzed the data and wrote the manuscript. S.P., Z.M., H.T., M.D. and X.T. provided guidance during the experiment. All authors have read and agreed to the published version of the manuscript.

Funding

This study was supported by the Special Rural Revitalization Funds of Guangdong Province (2021KJ382), the Technology System of Modern Agricultural Industry in Guangdong (2020KJ105), and the Guangzhou Science and Technology Project (202103000075).

Data Availability Statement

Data are contained within the article.

Conflicts of Interest

The authors declare no conflict of interest.

References

  1. Zeifman, L.; Hertog, S.; Kantorova, V.; Wilmoth, J. A World of 8 Billion. 2022. Available online: https://www.un.org/development/desa/pd/sites/www.un.org.development.desa.pd/files/undesa_pd_2022_pb_140.pdf (accessed on 5 August 2023).
  2. Elferink, M.; Schierhorn, F. Global demand for food is rising. Can we meet it. Harv. Bus. Rev. 2016, 7, 2016. [Google Scholar]
  3. Seleiman, M.F.; Almutairi, K.F.; Alotaibi, M.; Shami, A.; Alhammad, B.A.; Battaglia, M.L. Nano-fertilization as an emerging fertilization technique: Why can modern agriculture benefit from its use? Plants 2020, 10, 2. [Google Scholar] [CrossRef] [PubMed]
  4. Jiang, Z.; Yang, S.; Chen, X.; Pang, Q.; Xu, Y.; Qi, S.; Yu, W.; Dai, H. Controlled release urea improves rice production and reduces environmental pollution: A research based on meta-analysis and machine learning. Environ. Sci. Pollut. Res. 2022, 29, 3587–3599. [Google Scholar] [CrossRef]
  5. Qi, D.; Zhu, J.; Wang, X. Nitrogen loss via runoff and leaching from paddy fields with the proportion of controlled-release urea and conventional urea rates under alternate wetting and drying irrigation. Environ. Sci. Pollut. Res. 2023, 30, 61741–61752. [Google Scholar] [CrossRef] [PubMed]
  6. Liu, B.; Li, H.; Li, H.; Zhang, A.; Rengel, Z. Long-term biochar application promotes rice productivity by regulating root dynamic development and reducing nitrogen leaching. GCB Bioenergy 2021, 13, 257–268. [Google Scholar] [CrossRef]
  7. Ju, X.-T.; Xing, G.-X.; Chen, X.-P.; Zhang, S.-L.; Zhang, L.-J.; Liu, X.-J.; Cui, Z.-L.; Yin, B.; Christie, P.; Zhu, Z.-L. Reducing environmental risk by improving N management in intensive Chinese agricultural systems. Proc. Natl. Acad. Sci. USA 2009, 106, 3041–3046. [Google Scholar] [CrossRef]
  8. Chen, K.; Yu, S.e.; Ma, T.; Ding, J.; He, P.; Li, Y.; Dai, Y.; Zeng, G. Modeling the water and nitrogen management practices in paddy fields with HYDRUS-1D. Agriculture 2022, 12, 924. [Google Scholar] [CrossRef]
  9. He, T.; Yuan, J.; Xiang, J.; Lin, Y.; Luo, J.; Lindsey, S.; Liao, X.; Liu, D.; Ding, W. Combined biochar and double inhibitor application offsets NH3 and N2O emissions and mitigates N leaching in paddy fields. Environ. Pollut. 2022, 292, 118344. [Google Scholar] [CrossRef] [PubMed]
  10. Long, G.; Li, L.; Wang, D.; Zhao, P.; Tang, L.; Zhou, Y.; Yin, X. Nitrogen levels regulate intercropping-related mitigation of potential nitrate leaching. Agric. Ecosyst. Environ. 2021, 319, 107540. [Google Scholar] [CrossRef]
  11. Azeem, B.; KuShaari, K.; Man, Z.B.; Basit, A.; Thanh, T.H. Review on materials & methods to produce controlled release coated urea fertilizer. J. Control. Release 2014, 181, 11–21. [Google Scholar]
  12. Spiess, E.; Humphrys, C.; Richner, W.; Schneider, M.K.; Piepho, H.-P.; Chervet, A.; Prasuhn, V. Does no-tillage decrease nitrate leaching compared to ploughing under a long-term crop rotation in Switzerland? Soil Tillage Res. 2020, 199, 104590. [Google Scholar] [CrossRef]
  13. Meisinger, J.J.; Palmer, R.E.; Timlin, D.J. Effects of tillage practices on drainage and nitrate leaching from winter wheat in the Northern Atlantic Coastal-Plain USA. Soil Tillage Res. 2015, 151, 18–27. [Google Scholar] [CrossRef]
  14. Ke, J.; He, R.; Hou, P.; Ding, C.; Ding, Y.; Wang, S.; Liu, Z.; Tang, S.; Ding, C.; Chen, L. Combined controlled-released nitrogen fertilizers and deep placement effects of N leaching, rice yield and N recovery in machine-transplanted rice. Agric. Ecosyst. Environ. 2018, 265, 402–412. [Google Scholar] [CrossRef]
  15. Huang, M.; Liang, T.; Wang, L.; Zhou, C. No-tillage and fertilization management on crop yields and nitrate leaching in North China Plain. Ecol. Evol. 2015, 5, 1143–1155. [Google Scholar] [CrossRef] [PubMed]
  16. Cassman, K.G.; Dobermann, A.; Walters, D.T. Agroecosystems, nitrogen-use efficiency, and nitrogen management. AMBIO A J. Hum. Environ. 2002, 31, 132–140. [Google Scholar] [CrossRef]
  17. Trolove, S.; Thomas, S.; van der Klei, G.; Beare, M.; Cichota, R.; Meenken, E. Nitrate leaching losses during pasture renewal–Effects of treading, urine, forages and tillage. Sci. Total Environ. 2019, 651, 1819–1829. [Google Scholar] [CrossRef] [PubMed]
  18. Lal, R. Restoring soil quality to mitigate soil degradation. Sustainability 2015, 7, 5875–5895. [Google Scholar] [CrossRef]
  19. Gómez-Rey, M.; Couto-Vázquez, A.; González-Prieto, S. Nitrogen transformation rates and nutrient availability under conventional plough and conservation tillage. Soil Tillage Res. 2012, 124, 144–152. [Google Scholar] [CrossRef]
  20. Zhang, Y.; Xie, D.; Ni, J.; Zeng, X. Conservation tillage practices reduce nitrogen losses in the sloping upland of the Three Gorges Reservoir area: No-till is better than mulch-till. Agric. Ecosyst. Environ. 2020, 300, 107003. [Google Scholar] [CrossRef]
  21. Zhao, J.; Pullens, J.W.; Sørensen, P.; Blicher-Mathiesen, G.; Olesen, J.E.; Børgesen, C.D. Agronomic and environmental factors influencing the marginal increase in nitrate leaching by adding extra mineral nitrogen fertilizer. Agric. Ecosyst. Environ. 2022, 327, 107808. [Google Scholar] [CrossRef]
  22. Li, J.; Hu, W.; Chau, H.W.; Beare, M.; Cichota, R.; Teixeira, E.; Moore, T.; Di, H.; Cameron, K.; Guo, J. Response of nitrate leaching to no-tillage is dependent on soil, climate, and management factors: A global meta-analysis. Glob. Chang. Biol. 2023, 29, 2172–2187. [Google Scholar] [CrossRef]
  23. Liu, W.-X.; Wei, Y.-X.; Li, R.-C.; Chen, Z.; Wang, H.-D.; Virk, A.L.; Lal, R.; Zhao, X.; Zhang, H.-L. Improving soil aggregates stability and soil organic carbon sequestration by no-till and legume-based crop rotations in the North China Plain. Sci. Total Environ. 2022, 847, 157518. [Google Scholar] [CrossRef] [PubMed]
  24. Gruhn, P.; Goletti, F.; Yudelman, M. Integrated Nutrient Management, Soil Fertility, and Sustainable Agriculture: Current Issues and Future Challenges; International Food Policy Research Institute: Washington, DC, USA, 2000. [Google Scholar]
  25. Terman, G. Volatilization losses of nitrogen as ammonia from surface-applied fertilizers, organic amendments, and crop residues. Adv. Agron. 1980, 31, 189–223. [Google Scholar]
  26. Zhang, A.-P.; Ji, G.; Liu, R.-L.; Zhang, Q.-W.; Zhe, C.; Yang, S.-Q.; Yang, Z.-L. Using side-dressing technique to reduce nitrogen leaching and improve nitrogen recovery efficiency under an irrigated rice system in the upper reaches of Yellow River Basin, Northwest China. J. Integr. Agric. 2016, 15, 220–231. [Google Scholar] [CrossRef]
  27. Rahman, K.; Zhang, D. Effects of fertilizer broadcasting on the excessive use of inorganic fertilizers and environmental sustainability. Sustainability 2018, 10, 759. [Google Scholar]
  28. Zhu, C.; Xiang, J.; Zhang, Y.; Zhang, Y.; Zhu, D.; Chen, H. Mechanized transplanting with side deep fertilization increases yield and nitrogen use efficiency of rice in Eastern China. Sci. Rep. 2019, 9, 5653. [Google Scholar] [CrossRef]
  29. Fan, D.; Liu, T.; Sheng, F.; Li, S.; Cao, C.; Li, C. Nitrogen deep placement mitigates methane emissions by regulating methanogens and methanotrophs in no-tillage paddy fields. Biol. Fertil. Soils 2020, 56, 711–727. [Google Scholar] [CrossRef]
  30. Yang, S.; Wang, Y.; Liu, R.; Xing, L.; Yang, Z. Improved crop yield and reduced nitrate nitrogen leaching with straw return in a rice-wheat rotation of Ningxia irrigation district. Sci. Rep. 2018, 8, 9458. [Google Scholar] [CrossRef] [PubMed]
  31. Du, B.; He, L.X.; Lai, R.F.; Luo, H.W.; Zhang, T.T.; Tang, X.R. Fragrant rice performances in response to continuous zero-tillage in machine-transplanted double-cropped rice system. Sci. Rep. 2020, 10, 8326. [Google Scholar] [CrossRef]
  32. Tang, X.; Pan, S.; Duan, M.; Tian, H.; Zhong, K.; Xiao, L. Technical Regulations for Cultivation of Fragrant Rice. Guangdong Agric. Sci. 2014, 41, 5–7. [Google Scholar]
  33. Liu, T.; Li, S.; Guo, L.; Cao, C.; Li, C.; Zhai, Z.; Zhou, J.; Mei, Y.; Ke, H. Advantages of nitrogen fertilizer deep placement in greenhouse gas emissions and net ecosystem economic benefits from no-tillage paddy fields. J. Clean. Prod. 2020, 263, 121322. [Google Scholar] [CrossRef]
  34. Rychel, K.; Meurer, K.H.; Getahun, G.T.; Bergström, L.; Kirchmann, H.; Kätterer, T. Lysimeter deep N fertilizer placement reduced leaching and improved N use efficiency. Nutr. Cycl. Agroecosyst. 2023, 126, 213–228. [Google Scholar] [CrossRef]
  35. Zhang, M.; Yao, Y.; Zhao, M.; Zhang, B.; Tian, Y.; Yin, B.; Zhu, Z. Integration of urea deep placement and organic addition for improving yield and soil properties and decreasing N loss in paddy field. Agric. Ecosyst. Environ. 2017, 247, 236–245. [Google Scholar] [CrossRef]
Figure 1. Total N mass concentrations of leachate at different times after transplanting in the early season of 2018 (a), the late season of 2018 (b), early season of 2019 (c), and late season of 2019 (d) with time. Different lower-case letters indicate significant differences among the treatments as per the LSD test at p ≤ 0.05.
Figure 1. Total N mass concentrations of leachate at different times after transplanting in the early season of 2018 (a), the late season of 2018 (b), early season of 2019 (c), and late season of 2019 (d) with time. Different lower-case letters indicate significant differences among the treatments as per the LSD test at p ≤ 0.05.
Agronomy 13 02773 g001
Figure 2. Mass concentration of NH4+-N in leachate at different times after transplanting in the early season of 2018 (a), the late season of 2018 (b), early season of 2019 (c), and late season of 2019 (d) with time. Different lower-case letters indicate significant differences among the treatments as per the LSD test at p ≤ 0.05.
Figure 2. Mass concentration of NH4+-N in leachate at different times after transplanting in the early season of 2018 (a), the late season of 2018 (b), early season of 2019 (c), and late season of 2019 (d) with time. Different lower-case letters indicate significant differences among the treatments as per the LSD test at p ≤ 0.05.
Agronomy 13 02773 g002
Figure 3. Mass concentration of NO3-N in leachate at different times after transplanting in the early season of 2018 (a), the late season of 2018 (b), early season of 2019 (c), and late season of 2019 (d) with time. Different lower-case letters indicate significant differences among the treatments as per the LSD test at p ≤ 0.05.
Figure 3. Mass concentration of NO3-N in leachate at different times after transplanting in the early season of 2018 (a), the late season of 2018 (b), early season of 2019 (c), and late season of 2019 (d) with time. Different lower-case letters indicate significant differences among the treatments as per the LSD test at p ≤ 0.05.
Agronomy 13 02773 g003
Figure 4. The nitrogen leaching in the whole growth period (a,b) and potential maximum leaching rate of N (c,d) under different planting–fertilization methods (2018–2019). Different lower-case letters indicate significant differences among the treatments as per the LSD test at p ≤ 0.05.
Figure 4. The nitrogen leaching in the whole growth period (a,b) and potential maximum leaching rate of N (c,d) under different planting–fertilization methods (2018–2019). Different lower-case letters indicate significant differences among the treatments as per the LSD test at p ≤ 0.05.
Agronomy 13 02773 g004
Figure 5. The daily yield of the early season of 2018 (a), the late season of 2018 (b), early season of 2019 (c), and late season of 2019 (d) under different planting–fertilization methods. Different lower-case letters indicate significant differences among the treatments as per the LSD test at p ≤ 0.05.
Figure 5. The daily yield of the early season of 2018 (a), the late season of 2018 (b), early season of 2019 (c), and late season of 2019 (d) under different planting–fertilization methods. Different lower-case letters indicate significant differences among the treatments as per the LSD test at p ≤ 0.05.
Agronomy 13 02773 g005
Figure 6. The daily yield (a) and annual yield (b) in 2018 and 2019 (c,d) under different planting–fertilization methods. Different lower-case letters indicate significant differences among the treatments as per the LSD test at p ≤ 0.05.
Figure 6. The daily yield (a) and annual yield (b) in 2018 and 2019 (c,d) under different planting–fertilization methods. Different lower-case letters indicate significant differences among the treatments as per the LSD test at p ≤ 0.05.
Agronomy 13 02773 g006
Figure 7. The correlations between grain yield and total nitrogen (a), ammonium nitrogen (b), nitrate nitrogen (c), nitrogen leaching in the whole growth period (d), and potential leaching rate (e), as well as the PCA of all investigated parameters (f).
Figure 7. The correlations between grain yield and total nitrogen (a), ammonium nitrogen (b), nitrate nitrogen (c), nitrogen leaching in the whole growth period (d), and potential leaching rate (e), as well as the PCA of all investigated parameters (f).
Agronomy 13 02773 g007
Table 1. Analysis of variance (ANOVA) of the investigated rice parameters.
Table 1. Analysis of variance (ANOVA) of the investigated rice parameters.
SYTS × YS × TY × TS × Y × T
TMNL********ns****
NO3-N Leaching*************
NH4+-N Leaching*******ns****
Nitrogen leakage in the whole growth period**ns**nsns****
Potential maximum leaching rate of fertilizer*****nsnsns**
yield******nsns*ns
* and ** represent significant differences at p ≤ 0.05 and p ≤ 0.01, respectively; ns represents a non-significant difference (LSD). S, season; Y, year; T, treatment.
Disclaimer/Publisher’s Note: The statements, opinions and data contained in all publications are solely those of the individual author(s) and contributor(s) and not of MDPI and/or the editor(s). MDPI and/or the editor(s) disclaim responsibility for any injury to people or property resulting from any ideas, methods, instructions or products referred to in the content.

Share and Cite

MDPI and ACS Style

Qiu, X.; Zhang, X.; Mo, Z.; Pan, S.; Tian, H.; Duan, M.; Tang, X. Effects of Different Tillage and Fertilization Methods on the Yield and Nitrogen Leaching of Fragrant Rice. Agronomy 2023, 13, 2773. https://doi.org/10.3390/agronomy13112773

AMA Style

Qiu X, Zhang X, Mo Z, Pan S, Tian H, Duan M, Tang X. Effects of Different Tillage and Fertilization Methods on the Yield and Nitrogen Leaching of Fragrant Rice. Agronomy. 2023; 13(11):2773. https://doi.org/10.3390/agronomy13112773

Chicago/Turabian Style

Qiu, Xinfeng, Xuechan Zhang, Zhaowen Mo, Shenggang Pan, Hua Tian, Meiyang Duan, and Xiangru Tang. 2023. "Effects of Different Tillage and Fertilization Methods on the Yield and Nitrogen Leaching of Fragrant Rice" Agronomy 13, no. 11: 2773. https://doi.org/10.3390/agronomy13112773

APA Style

Qiu, X., Zhang, X., Mo, Z., Pan, S., Tian, H., Duan, M., & Tang, X. (2023). Effects of Different Tillage and Fertilization Methods on the Yield and Nitrogen Leaching of Fragrant Rice. Agronomy, 13(11), 2773. https://doi.org/10.3390/agronomy13112773

Note that from the first issue of 2016, this journal uses article numbers instead of page numbers. See further details here.

Article Metrics

Back to TopTop