Effect of Low Temperature on Photosynthetic Characteristics, Senescence Characteristics, and Endogenous Hormones of Winter Wheat “Ji Mai 22” during the Jointing Stage
Abstract
:1. Introduction
2. Materials and Methods
2.1. Experimental Designs
2.2. Experimental Treatments and Leaf Sampling
2.3. Testing Content and Methods of Measurement
2.3.1. Determination of Light Response Parameters
2.3.2. Determination of Chlorophyll Content
2.3.3. Determination of Protective Enzyme Activity
2.3.4. Determination of Endogenous Hormone Content
2.4. Statistical Analysis
3. Results
3.1. Effect of LT on the Photosynthetic Characteristics of Wheat Leaves
3.1.1. Effect of LT Stress on Photosynthetic Rate (Pn) of Leaves
3.1.2. Effect of LT Stress on Stomatal Conductance (Gs) of Leaves
3.1.3. Effect of LT Stress on Leaf Transpiration Rate (Tr)
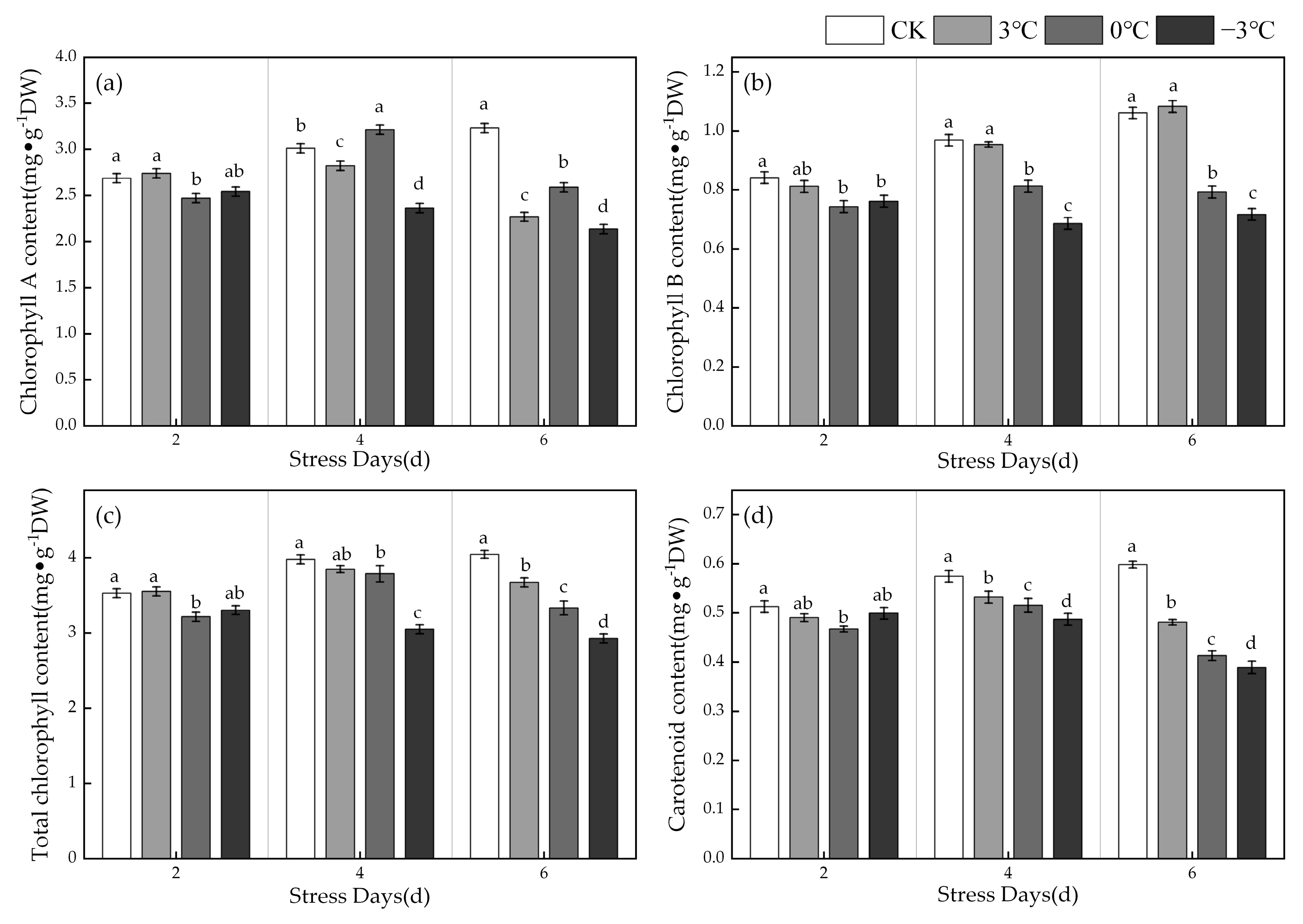
3.2. Effect of LT Stress on the Pigment Content of Winter Wheat Leaves
3.3. Effect of LT Stress on the Activity of Protective Enzymes in Winter Wheat Leaves
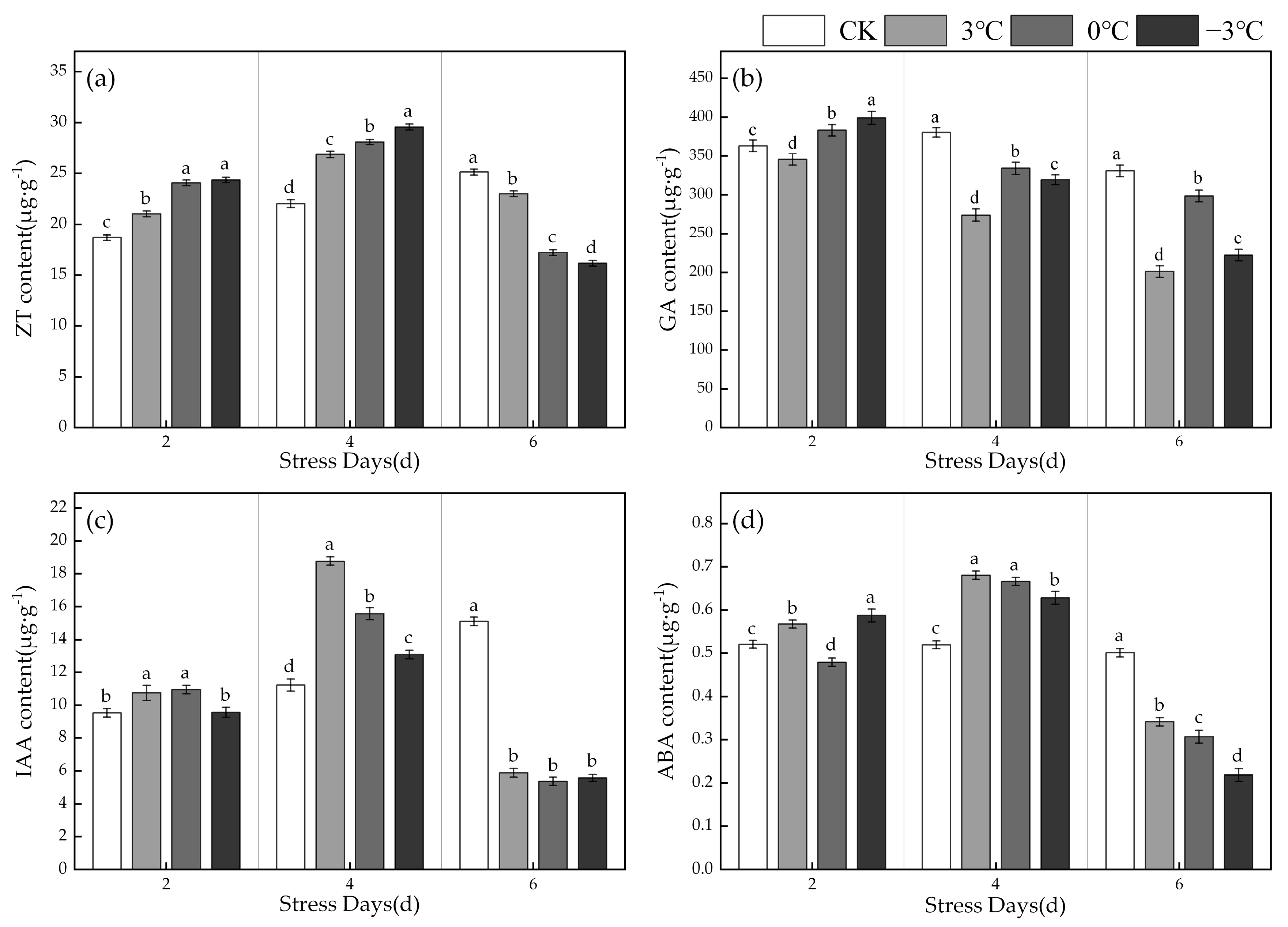
3.4. Effect of LT Stress on Endogenous Hormones in Winter Wheat Leaves
3.5. Correlation Analysis of Various Physiological Indexes of Winter Wheat Leaves with Temperature and Duration Days
4. Discussion
5. Conclusions
Supplementary Materials
Author Contributions
Funding
Data Availability Statement
Acknowledgments
Conflicts of Interest
References
- Seraya, T.; Bogatyreva, E.; Kirdun, T.; Machok, T.; Biryukova, O.; Belyavskaya, Y.A. Effect of fertilizer systems on winter wheat yield and grain quality in tillage systems involving traditional and surface treatment of sod–podzolic sandy loam soil. Russ. Agricult. Sci. 2022, 48, S44–S51. [Google Scholar] [CrossRef]
- Ali, M.; Zhang, Y.; Rasheed, A.; Wang, J.; Zhang, L. Genomic prediction for grain yield and yield-related traits in chinese winter wheat. Int. J. Mol. Sci. 2020, 21, 1342. [Google Scholar] [CrossRef] [PubMed]
- Kambona, C.M.; Koua, P.A.; Léon, J.; Ballvora, A. Intergenerational and Transgenerational Effects of Drought Stress on Winter Wheat (Triticum aestivum L.). Physiol. Plant. 2023, 175, e13951. [Google Scholar] [CrossRef] [PubMed]
- Kim, M.; Park, J.; Kim, K.-M.; Kim, Y.; Kang, C.-S.; Son, J.; Ko, J.; Kim, K.-H. Low-Temperature effects on the growth and phytochemical properties of wheat sprouts. Agriculture 2022, 12, 745. [Google Scholar] [CrossRef]
- Zhang, Y.F.; Liu, B.J. Detection of the Spatio-Temporal Differentiation Patterns and Influencing Factors of Wheat Production in Huang-Huai-Hai Region. Foods 2022, 11, 1617. [Google Scholar] [CrossRef] [PubMed]
- Hu, X.; Ma, J.; Qian, W.; Cao, Y.; Zhang, Y.; Liu, B.; Tang, L.; Cao, W.; Zhu, Y.; Liu, L. Effects of low temperature on the amino acid composition of wheat grains. Agronomy 2022, 12, 1171. [Google Scholar] [CrossRef]
- Wang, Z.F.; Song, L.Z.; Fan, Z.X.; Zhang, F.Y.; Liu, Y.T.; Wang, S.G.; Zhu, L.X.; Zhu, B.L.; Xu, M.Z.; Gao, H.Q.; et al. Photosynthesis and its effects on growth of winter wheat during winter. Acta Agric. Nucl. Sin. 2001, 16, 243–246. [Google Scholar] [CrossRef]
- Zhai, J.Q.; Xun, J.B.; Xi, X.S. Characteristics and high-yield cultivation points of Jimai 22. Agric. Eng. Technol. 2020, 40, 56. [Google Scholar] [CrossRef]
- Li, X.; Cai, J.; Liu, F.; Dai, T.; Cao, W.; Jiang, D. Cold priming drives the sub-cellular antioxidant systems to protect photosynthetic electron transport against subsequent low temperature stress in winter wheat. Plant Physiol. Biochem. 2014, 82, 34–43. [Google Scholar] [CrossRef]
- Ge, J.; Liu, Z. Effects of low temperature stress on photosynthetic pigments, photosynthetic parameters and chlorophyll fluorescence characteristics of wheat at jointing stage. J. Shanxi Agric. Sci. 2021, 49, 1253–1256. [Google Scholar] [CrossRef]
- Liu, N.; Yang, W.-X. Photosynthetic rate and water utilization of rainfed wheat with plastic mulching on the semiarid loess plateau, China. Proc. Natl. Acad. Sci. India Sect. B Biol. Sci. 2019, 89, 1047–1056. [Google Scholar] [CrossRef]
- Fu, L.; Li, H.; Zhang, W.S.; Sheng, Y.; Han, S.Y. The effect of low temperature stress on the photosynthetic characteristics of winter wheat during different jointing processes. New Agric. 2021, 13, 69–71. [Google Scholar]
- Li, W.Y.; Sun, M.X.; Ceng, F.L.; Wang, F.W. Hyperspectral estimation chlorophyll content in winter wheat leaves under low temperature stress. Chin. J. Agrometeorol. 2022, 43, 137–147. [Google Scholar] [CrossRef]
- Sun, M.X. Hyperspectral Model Study on Physiological and Biochemical Parameters of Winter Wheat at Jointing Stage Under the Influence of Frost. Master’s Thesis, Anhui Agricultural University, Anhui, China, 2022. [Google Scholar]
- Li, Y.; Kang, J.H.; Wu, H.L. The effects of after-biooming high temperature stress on spring wheat yield and leaf protection enzyme activity. Ningxia J. Agric. For. Sci. Technol. 2017, 58, 1–4, 16. [Google Scholar]
- Sheng, J. A Study on the Relationship between Endogenous Hormones and Grain Development and Plumpness in Wheat. Master’s Thesis, Yangzhou University, Yangzhou, China, 2001. [Google Scholar]
- Zhou, Y.; Zhu, X.; Guo, W.; Feng, C. Effects of climate change on wheat yield and nitrogen losses per unit of yield in the middle and lower reaches of the Yangtze River in China. Atmosphere 2023, 14, 824. [Google Scholar] [CrossRef]
- Borovik, O.A.; Grabelnych, O.I.; Koroleva, N.A.; Pobezhimova, T.P.; Voinikov, V.K. The Influence of Carbohydrate Status and Low Temperature on the Respiratory Metabolism of Mitochondria from Etiolated Leaves of Winter Wheat. J. Stress Physiol. Biochem. 2014, 10, 118–130. [Google Scholar]
- Liu, H.; Li, M.; Zhang, J.; Sun, H.; Long, Y.; Wu, L.; Zhang, Q. PCA based model on chlorophyll content diagnosis of winter wheat. IFAC Pap. Online 2018, 51, 643–647. [Google Scholar] [CrossRef]
- Venzhik, Y.V.; Moshkov, I.E. The role of ultrastructural organization of cells in adaptation of winter wheat to low temperature. Russ. J. Plant Physiol. 2023, 70, 100. [Google Scholar] [CrossRef]
- Mu, Q. Physiological Response Mechanism to Drought-Re-Watering and Water Regulation Strategy of Winter Wheat. Ph.D. Thesis, Northwest A&F University, Yangling, China, 2022. [Google Scholar] [CrossRef]
- Zhang, J.; Sun, S.G.; Wang, L.M.; Wang, X.J.; Yang, Q.H.i; Chen, X.H. Physiological and biochemical characteristics and grain yield of winter wheat under low temperature at booting stage. Acta Bot. Boreali Occident. Sin. 2013, 33, 2249–2256. [Google Scholar]
- Zhang, W.; Wang, J.; Huang, Z.; Mi, L.; Xu, K.; Wu, J.; Fan, Y.; Ma, S.; Jiang, D. Effects of low temperature at booting stage on sucrose metabolism and endogenous hormone contents in winter wheat spikelet. Front. Plant Sci. 2019, 10, 498. [Google Scholar] [CrossRef]
- Li, Y.; Cui, D.; Huang, C.; Sui, X.; Fan, Q.; Chu, X. Dynamic changes of cell morphology and endogenous hormones during grain development of new wheat variety jimai 70. Shandong Agric. Sci. 2021, 53, 117–121. [Google Scholar] [CrossRef]
- Wang, X.; Yu, J.; Yang, Y.; Cang, J.; Li, Z.F. Changes of endogenous hormones of winter wheat varieties with different cold-resistances under low temperature. J. Triticeae Crops 2009, 29, 827–831. [Google Scholar]
- Wang, F.; Li, Y.X.; Jiang, L.P.; Zhao, M.H.; Lu, Z.M.; Yang, Y.C.; Zhang, J.Q.; Zhao, X.Y. Research progress on plant molecular response mechanisms under low temperature stress. World For. Res. 2020, 33, 15–21. [Google Scholar] [CrossRef]
- Wang, G.Q.; Yang, C.W.; Tian, D.W.; Pan, G.Z. Study on High-Yielding Cultivation Techniques of Green High Quality Wheat in Huang-Huai-Hai Area. Grain Sci. Technol. Econ. 2018, 43, 96–98. [Google Scholar] [CrossRef]
- Wang, L.Y.; Zhang, Y.S.; Dai, L.L. Artificial Selection Trend of Wheat Varieties Released in Huang-Huai-Hai Region in China Evaluated Using DUS Testing Characteristics. Front. Plant Sci. 2022, 13, 56–58. [Google Scholar] [CrossRef]
- Pecina, M.; Ikic, I.; Tomasovic, S.; Mlinar, R.; Janjecic, Z. Targeting genotypes onto winter wheat growing environments using ammi model analysis. Cereal Res. Commun. 2008, 36, 1603–1606. [Google Scholar]
- Wei, T.T.; Yang, Z.Q.; Wang, L.; Zhao, H.L.; Li, J.S. Simulation model of hourly air temperature inside glass greenhouse and plastic greenhouse. Chin. J. Agrometeorol. 2018, 39, 644–655. [Google Scholar] [CrossRef]
- Xie, W.Q.; Wang, S.S.; Yan, X.D. Diurnal temperature range in winter wheat–growing regions of China: CMIP6 model evaluation and comparison. Theor. Appl. Climatol. 2023, 152, 123–134. [Google Scholar] [CrossRef]
- Deng, X.; Xu, X.X.; Sun, Q.; Zhang, Y.L.; Zhu, Z.X.; Hao, T.J.; Gao, G.L.; He, X.Y.; Wang, X.L.; Zhao, C.X. Photosynthetic characteristics and transcriptome analysis of winter wheat seedlings under different salt concentration stress. J. Plant Physiol. 2023, 25, 1–11. [Google Scholar] [CrossRef]
- Ye, Z.P. Photosynthesis affects light and CO_ Research progress on 2-response models. J. Plant Ecol. 2010, 34, 727–740. [Google Scholar] [CrossRef]
- Li, H.S. Experimental Principles and Techniques of Plant Physiology and Biochemistry; Higher Education Press: Beijing, China, 2000. [Google Scholar]
- Bai, Y.H.; Zhao, Z.Y.; Wang, Y.J.; Li, J.Y.; Zhao, F.; Chen, G.L. Changes rule of protective enzyme activity during fruit growth of Goutou jujube. J. Shanxi Agric. Sci. 2020, 48, 345–348. [Google Scholar]
- Wang, M.; Zhang, X.; Jia, W.; Zhang, C.; Boczek, T.; Harding, M.; Liu, Y.; Li, M.; Zhang, S.; Lei, S. Circulating glutathione peroxidase and superoxide dismutase levels in patients with epilepsy: A meta-analysis. Seizure 2021, 91, 278–286. [Google Scholar] [CrossRef] [PubMed]
- Zhao, Y.; Li, Y.S.; Gao, X.F. A new method for accurate determination of peroxidase activity based on fluorescence decrease of guaiacol. Chin. J. Anal. Chem. 2015, 43, 1040–1046. [Google Scholar] [CrossRef]
- Wang, Q.; Liu, C.W.; Xu, W.J. Ultraviolet spectrophotometry measurement of catalase activity in maize. Chin. Agricl. Sci. Bull. 2016, 32, 159–165. [Google Scholar]
- Yang, T.X.; Wei, A.Z.; Zheng, Y.; Yang, H.; Yang, X.N.; Zhang, R. Simultaneous determination of 8 endogenous hormones in apricot floral bud by high performance liquid chromatography. Anal. Chem. 2007, 35, 1359–1361. [Google Scholar] [CrossRef]
- Zhang, Z.C.; Sun, Z.H.; Zheng, X.N.; Liu, H.F. Determination of four endogenous hormones in the young fruit of korla fragrant pear by high performance liquid chromatography (HPLC). Xinjiang Agric. Sci. 2017, 54, 886–892. [Google Scholar] [CrossRef]
- López-Carbonell, M.; Moret, A.; Nadal, M. Changes in cell ultrastructure and zeatin riboside concentrations in Hedera helix, Pelargonium zonale, Prunus avium, and Rubus ulmifolius leaves infected by fungi. Plant Dis. 1998, 82, 914–918. [Google Scholar] [CrossRef]
- Yan, J.; Zhao, L.; Zhang, Y.; Liu, M.; Yang, Y.; Liu, Z.; Zhang, L. Effects of microclimatic factors on stomatal conductance of plants in vertical greenery systems in humid subtropical areas. Sustain. Cities Soc. 2022, 85, 104056. [Google Scholar] [CrossRef]
- Wang, Q.; Jin, J. Leaf transpiration of drought tolerant plant can be captured by hyperspectral reflectance using PLSR analysis. iForest Biogeosci. For. 2015, 9, 30. [Google Scholar] [CrossRef]
- Lu, Q.; Guo, F.; Xu, Q.; Cang, J. LncRNA improves cold resistance of winter wheat by interacting with miR398. Funct. Plant Biol. 2020, 47, 544–557. [Google Scholar] [CrossRef]
- Cao, Y.Y.; Ge, C.B.; Qi, S.L.; Liao, P.A.; Huang, J.; Wang, J.; Li, L.L.; Qiao, J.L.; Zhang, Z.Y. Physiological response to low temperature stress and cold resistance evaluation of different winter wheat varieties (lines) at jointing stage. Jiangsu Agric. Sci. 2022, 50, 59–66. [Google Scholar] [CrossRef]
- Xie, Z.; Jiang, D.; Cao, W.; Dai, T.; Jing, Q. Relationships of endogenous plant hormones to accumulation of grain protein and starch in winter wheat under different post-anthesis soil water statusses. Plant Growth Regul. 2003, 41, 117–127. [Google Scholar] [CrossRef]
- Wu, Y.; Gong, Z.; Ji, L.; Ma, J. Estimating daily minimum grass temperature to quantify frost damage to winter wheat during stem elongation in the central area of Huang-Huai plain in China. Environ. Sci. Pollut. Res. 2023, 30, 61072–61088. [Google Scholar] [CrossRef]
- Fu, Y.S.; Tan, Z.; Li, W.Y. Effects of low temperature at jointing stage on grain yield and fluorescence parameters of flag leaves in wheat grain filling. Ecol. Sci. 2022, 41, 33–40. [Google Scholar] [CrossRef]
- Xu, Y.S.; Gao, Y.; Chen, S.; Li, W.B.; Li, Y.J.; Shi, Y. Effects of compound water retaining agent on photosynthesis, senescence and yield of flag leaf of winter wheat in saline-alkali land. Agric. Res. Arid Areas 2023, 41, 38–49. [Google Scholar] [CrossRef]
- Wang, T.; Gao, M.; Cao, C.; You, J.; Zhang, X.; Shen, L. Winter wheat chlorophyll content retrieval based on machine learning using in situ hyperspectral data. Comput. Electron. Agric. 2022, 193, 106728. [Google Scholar] [CrossRef]
- Zhang, S.H. Study on the Synthesis Mechanism of Carbohydrate, Carotenoid and Oil During the Development of Maize Kernel and Its Related Application. Ph.D. Thesis, Tianjin University, Tianjin, China, 2021. [Google Scholar]
- Chen, C. Relationship Between Sugar Metabolism, Antioxidant Activity and Cold Tolerance in Winter Wheat Under Low Temperature Conditions. Master’s Thesis, Northeast Agricultural University, Harbin, China, 2014. [Google Scholar] [CrossRef]
- Jin, L.H.; Feng, Q.; Pan, S.Q.; Miao, S.J.; Qiao, Y.F. Effects of warming on protective enzyme activities of winter wheat in different soils. J. Agric. Env. Sci. 2023, 42, 1228–1237. [Google Scholar] [CrossRef]
- Dong, H.; Zhong, Y.L.; Qi, L.C.; Wang, H.T.; Zhang, Y.Q.; Song, H.; Dong, Z.R. Effect of tillage methods on endogenous hormone content and yield of winter wheat. J. Triticeae Crops 2015, 35, 542–547. [Google Scholar] [CrossRef]
- Chen, S.Y.; Niu, J.F.; Zhang, X.Y. Effects of straw mulching temperature effect on agronomic and physiological traits of winter wheat. Chin. J. Ecol. Agric. 2022, 30, 820–830. [Google Scholar] [CrossRef]







| Marker | Treatments | Temperature [°C] | Duration [d] |
|---|---|---|---|
| T1 | CK-2d | 18/8 | 2 |
| T2 | CK-4d | 18/8 | 4 |
| T3 | CK-6d | 18/8 | 6 |
| T4 | 3–2d | 13/3 | 2 |
| T5 | 3–4d | 13/3 | 4 |
| T6 | 3–6d | 13/3 | 6 |
| T7 | 0–2d | 10/0 | 2 |
| T8 | 0–4d | 10/0 | 4 |
| T9 | 0–6d | 10/0 | 6 |
| T10 | −3–2d | 7/-3 | 2 |
| T11 | −3–4d | 7/-3 | 4 |
| T12 | −3–6d | 7/-3 | 6 |
| Variants | Temperature | Stress Days | Pn | Gs | Tr | chla | chlb | chl (a + b) | car | POD | CAT | POD | ZT | GA | IAA | ABA |
|---|---|---|---|---|---|---|---|---|---|---|---|---|---|---|---|---|
| Temperature | 1 | |||||||||||||||
| Stress days | 0 | 1 | ||||||||||||||
| Pn | 0.925 ** | −0.134 | 1 | |||||||||||||
| Gs | 0.927 ** | −0.265 | 0.943 ** | 1 | ||||||||||||
| Tr | 0.910 ** | −0.247 | 0.929 ** | 0.901 ** | 1 | |||||||||||
| chla | 0.242 | −0.400 | 0.274 | 0.325 | 0.426 | 1 | ||||||||||
| chlb | 0.054 | 0.291 | 0 | −0.048 | 0.084 | 0.705 * | 1 | |||||||||
| chl(a + b) | 0.199 | −0.273 | 0.207 | 0.23 | 0.348 | 0.975 ** | 0.845 ** | 1 | ||||||||
| Car | 0.125 | −0.326 | 0.088 | 0.167 | 0.292 | 0.848 ** | 0.710 ** | 0.862 ** | 1 | |||||||
| POD | 0.224 | −0.124 | 0.409 | 0.185 | 0.376 | 0.405 | 0.393 | 0.429 | 0.178 | 1 | ||||||
| CAT | 0.199 | 0.214 | 0.397 | 0.135 | 0.352 | 0.447 | 0.501 | 0.494 | 0.221 | 0.910 ** | 1 | |||||
| SOD | −0.898 ** | 0.116 | −0.964 ** | −0.888 ** | −0.911 ** | −0.422 | −0.134 | −0.360 | −0.190 | −0.543 | −0.538 | 1 | ||||
| ZT | −0.417 | −0.469 | −0.061 | −0.044 | 0.071 | 0.243 | −0.287 | 0.093 | 0.149 | −0.021 | 0.050 | −0.052 | 1 | |||
| GA | 0.183 | −0.749 ** | 0.157 | 0.262 | 0.382 | 0.446 | 0.125 | 0.376 | 0.570 | 0.180 | 0.029 | −0.187 | 0.202 | 1 | ||
| IAA | 0.236 | −0.228 | 0.290 | 0.348 | 0.417 | 0.456 | −0.098 | 0.314 | 0.480 | 0.030 | 0.068 | −0.353 | 0.770 ** | 0.294 | 1 | |
| ABA | 0.122 | −0.579 * | 0.188 | 0.300 | 0.332 | 0.610 * | −0.042 | 0.447 | 0.535 | 0.079 | 0.082 | −0.298 | 0.786 ** | 0.540 | 0.851 ** | 1 |
Disclaimer/Publisher’s Note: The statements, opinions and data contained in all publications are solely those of the individual author(s) and contributor(s) and not of MDPI and/or the editor(s). MDPI and/or the editor(s) disclaim responsibility for any injury to people or property resulting from any ideas, methods, instructions or products referred to in the content. |
© 2023 by the authors. Licensee MDPI, Basel, Switzerland. This article is an open access article distributed under the terms and conditions of the Creative Commons Attribution (CC BY) license (https://creativecommons.org/licenses/by/4.0/).
Share and Cite
Zhang, F.; Jiang, N.; Zhang, H.; Huo, Z.; Yang, Z. Effect of Low Temperature on Photosynthetic Characteristics, Senescence Characteristics, and Endogenous Hormones of Winter Wheat “Ji Mai 22” during the Jointing Stage. Agronomy 2023, 13, 2650. https://doi.org/10.3390/agronomy13102650
Zhang F, Jiang N, Zhang H, Huo Z, Yang Z. Effect of Low Temperature on Photosynthetic Characteristics, Senescence Characteristics, and Endogenous Hormones of Winter Wheat “Ji Mai 22” during the Jointing Stage. Agronomy. 2023; 13(10):2650. https://doi.org/10.3390/agronomy13102650
Chicago/Turabian StyleZhang, Fengyin, Nan Jiang, Hanqi Zhang, Zhiguo Huo, and Zaiqiang Yang. 2023. "Effect of Low Temperature on Photosynthetic Characteristics, Senescence Characteristics, and Endogenous Hormones of Winter Wheat “Ji Mai 22” during the Jointing Stage" Agronomy 13, no. 10: 2650. https://doi.org/10.3390/agronomy13102650
APA StyleZhang, F., Jiang, N., Zhang, H., Huo, Z., & Yang, Z. (2023). Effect of Low Temperature on Photosynthetic Characteristics, Senescence Characteristics, and Endogenous Hormones of Winter Wheat “Ji Mai 22” during the Jointing Stage. Agronomy, 13(10), 2650. https://doi.org/10.3390/agronomy13102650

