Abstract
The current status of water resources in the U.S. Central High Plains necessitates adopting water conservation practices to move toward a sustainable agricultural economy. Identifying proper irrigation scheduling techniques is a conservative practice to maintain the sustainability of the agricultural systems. However, conducting field experiments is time and money consuming. Thus, the utilization of crop models, such as AquaCrop, could be a convenient alternative to field experiments. The FAO AquaCrop model was calibrated and validated for simulating forage sorghum yield response to various deficit irrigation conditions in a semi-arid region. Afterwards, the model was used to investigate the efficiency of the pre-season and in-season irrigation scheduling scenarios. In this study, the soil water status at the planting time was considered as the indicator of the pre-season irrigation level. Therefore, the pre-season irrigation scenarios were arranged as the replenishment of soil water deficiency at the time of planting at up to 30, 50, and 100% of the soil’s total available water for the first 60 cm of soil depth and the same replenishment levels for the entire crop root zone (150 cm soil depth). Then, AquaCrop long-term (37 years) simulations of forage sorghum biomass and irrigation water use efficiency reactions to three levels of maximum allowable depletion (MAD) (40, 55, and 70%) were compared to three fixed irrigation interval (4, 6, and 10 days) scenarios by considering six pre-season irrigation conditions (36 scenarios). The scenarios analysis found the 10-day irrigation interval and the MAD levels of 55% and 70% to be the most efficient irrigation scheduling strategies if combined with pre-season irrigation that brought the crop root zone (0–150 cm soil depth) to field capacity. Moreover, the 40% MAD application was the least efficient strategy. This study’s outputs can be a baseline for establishing forage sorghum irrigation scheduling in the U.S. Central High Plains. However, exploring the interactions of irrigation scheduling strategies with other irrigation and agronomic practices, such as salinity management and fertilizer application, is highly recommended.
1. Introduction
One of the most crucial elements of the economy in Kansas is irrigated agriculture. However, declining water supplies from the Ogallala aquifer threaten the sustainability of the western Kansas irrigation district [1,2]. On the other hand, maintaining the production of forage for livestock in western Kansas has become a critical challenge due to consecutive water scarcity in the region. Thus, seeking alternative forages, which are more tolerant to drought conditions in the area, should be pursued to cope with limited water availability.
Forage sorghum, as a supplement to native pasture for feeding cattle, is a highly productive summer forage, which is known to be more convenient in terms of water productivity in severe water stress conditions [3,4,5]. In addition to forage sorghum’s tolerance to water stress conditions, its tolerance to root zone soil salinity, low nitrogen demand, and adaptability to the arid and semi-arid environment have made this crop a considerable alternative to primary cultivations in the water-limited regions in western Kansas [6,7].
Proper irrigation scheduling and deficit irrigation have been known as irrigation management strategies to address water scarcity in agricultural practices. Deficit irrigation aims to optimize crop yield, yield quality, and growth components by responding to full crop water requirement reductions. Biomass reduction and negligible yield reduction are probable as consequences of exposing crops to mild water stress during specific growth stages or the whole growing season [8].
On top of deficit irrigation, pursuing irrigation scheduling through two common approaches of fixed irrigation intervals (frequencies) and maximum allowable depletion (MAD)/variable irrigation intervals can be followed for primary crop production while saving water resources [9,10]. Extensive irrigation scheduling [11,12,13,14,15] and deficit irrigation [1,16,17,18,19] studies have been conducted, particularly in western Kansas, on various crops, such as corn, spring wheat, winter wheat, and grain sorghum. However, there is insufficient information regarding the effects of deficit irrigation levels on forage sorghum in western Kansas’s prevailing weather and soil conditions. Moreover, there is a significant lack of information regarding establishing irrigation scheduling approaches for forage sorghum production in the U.S. Central High Plains. The results of a study in the Texas High Plains indicated that the forage sorghum yielded greater fresh biomass than corn and pearl millet under deficit irrigation conditions [5]. The results of two experiments have shown that the implementation of moderate water stress resulted in a 20% reduction in forage sorghum dry matter yield in a semi-arid region [6]. Kaplan et al. showed that decreasing irrigation levels reduced green herbage yield, yield, and yield components of forage sorghum but increased the quality values, such as crude protein and organic matter digestibility [20].
Moosavi et al. investigated the planting methods and irrigation interval effects on forage sorghum in an arid region in eastern Iran [21]. This research explored the impacts of four irrigation intervals of 5, 10, 15, and 20 days combined with planting methods of one row on the furrow and two rows inside the furrows in a field experiment with a split-plot design. Their results indicated significant effects of irrigation intervals on the leaf-to-stem ratio and grain yield protein content. However, they found no significant difference between the effects of planting methods and their interactions with irrigation intervals on forage sorghum yield and yield components. Increasing the irrigation interval from 5 to 50 days reduced dried leaf, stem, ear, and fresh biomass by 57.2%, 72.1%, 69%, and 66.9%, respectively. The total amount of forage production was recorded as 16.9 ton/ha, which was 19.4%, 44.3%, and 66% higher than the amount of forage produced under 10-, 15-, and 22-day irrigation intervals.
Chen et al. [22] created an algorithm in the Fortran environment to develop maximum-allowable-based irrigation scheduling for various crops, including cotton, soybean, forage corn, forage sorghum, and sunflower, using the Soil and Water Assessment Tool (SWAT). Their efforts were toward the enhancement of triggered irrigations by extending the SWAT model capabilities to generate crop growth stage-based and out-of-growing season irrigations. The triggered irrigation algorithm was developed based on a single fixed MAD throughout the growing season and crop growth stage-related MAD. Two options were provided for the model to partition the growing season using calendar dates and accumulative heat units. The model outputs were tested against the lysimeter observational data. The results showed significant improvements in SWAT model performance in simulating the irrigation amount, irrigation frequency, and actual evapotranspiration.
Nematpour and Eshghizadeh [23] investigated the biochemical reactions of sorghum to levels of maximum allowable depletion ranging from 55 to 90% and their interaction with levels of nitrogen application in a semi-arid region. They reported a significant reduction in crops’ relative water content, chlorophyll, and carotenoid content under severe MAD levels (85–90%). Moreover, an increase in antioxidant enzyme activity, malondialdehyde (MDA), proline, hydrogen peroxide, and other aldehydes (Alds) was observed by applying severe MAD levels. Consequently, a 42% reduction in crop yield was observed. The application of nitrogen under water stress conditions resulted in up to a 14% increase in crop yield.
The lifespan of water resources, mainly the Ogallala aquifer in western Kansas, could be prolonged if proper deficit irrigation schemes are available for the target cultivation. The field experiments are costly and require significant cumulative time; meanwhile, generalizing their results to other locations with different soil or crop management characteristics is controversial [18]. Hence, utilizing crop models can be a proper answer to this misconnection. Combinations of crop simulation models and field experiments have been known as robust tools to analyze the interaction effects of environmental and management factors on crop growth and growth components. Moreover, analyzing scenarios based on long-term weather data is one of the capabilities of crop simulation models [24,25,26].
Sorghum water stress status was explored in a crop modeling study conducted in India for rainfed conditions. Long-term (2000–2018) simulations of crop water stress were accomplished for ten districts. They found the DSSAT-CERES-Sorghum model efficient in determining the water stress effects on growth stages of rainfed sorghum in a tropical climate region in India. In that study, the postponement of sorghum planting to mid-July (6th to 15th) was determined effective in minimizing the adverse impacts of drought conditions on sorghum yield [27].
White et al. [28] demonstrated application aspects of the DSSAT-CERES-Sorghum model to simulate sorghum responses to existing and hypothetical situations, such as row spacing, planting date, seeding rate, defoliation, increasing atmospheric carbon dioxide, and deficit irrigation. They reported high model accuracy for reproducing crop phenology in such a way that values of R2 were 0.96 and 0.91 for the anthesis and maturity growth stages, respectively. In addition, they also reported moderate accuracy of the model for simulating sorghum grain yield (0.3 < R2 < 0.5).
The performance of calibrated Agricultural Production System sIMulator (APSIM) models based on remote sensing and field trials data for simulating growth indicators, yield, and yield components of different sorghum hybrids were evaluated by Yang et al. [29]. The parameters of genotypes for the hybrids were calibrated using remote sensing measurements combined with ground observational phenotyping. Their study indicated that forage sorghum hybrids’ maximum height, final biomass, and radiation use efficiency were higher than grain sorghum. Photo-sensitive forage/grain sorghum had higher biomass production in environments with higher growing periods. In addition, good performance of the calibrated and validated APSIM models was observed for simulating above-ground biomass for multiple years and locations.
The satisfactory performance of the AquaCrop model for simulating crops’ yield under various management and prevailing environmental conditions has been proved multiple times in the literature [30,31,32]. The good accuracy of the AquaCrop model for simulating soil water content, canopy cover, and the grain yield of winter wheat under deficit irrigation has been demonstrated [33], as well as the biochar management of winter wheat [34]. The AquaCrop model’s usefulness for simulating canola responses to full and deficit irrigation conditions has been established by Dirwai et al. [35] in a rainfall-controlled condition. Studies have shown good model performance for simulating maize total biomass and grain yield; however, the performance of the model for simulating soil water content at the corn root zone has not been successful enough [36,37].
One of the producers’ concerns in the agricultural industry is how preseason irrigation or precipitation would affect their crop’s final yield at the end of the growing season. Furthermore, they would like to know how the soil water status should be managed at the time of planting in such a way that water loss would be prevented and the efficiency of their preseason irrigation would be maximized.
The performance analysis of the AquaCrop model to simulate forage sorghum in western Kansas might bring unique insights into preparing irrigation scheduling strategies to conserve the Ogallala aquifer as the primary source of irrigation water for the agricultural industry in the region. Therefore, the main objectives of this study were: (a) the calibration of the AquaCrop model for simulating forage sorghum biomass, grain yield, and evapotranspiration responses to soil water content conditions influenced by irrigation regimes and dryland, and (b) the optimization of forage sorghum irrigation scheduling methods based on refilling soil water depletion at the time of planting in western Kansas using long-term (37 years) simulations by the AquaCrop model.
2. Materials and Methods
2.1. Site Description
The experimental site was located at Kansas State University, Southwest Research-Extension Center (SWREC), near Garden City, Kansas, USA with 38°01′20.87″ N, 100°49′26.95′′ W coordinates (Figure 1). The soil type was well-drained Ulysses silt loam (fine-silty, mixed, mesic Aridic Haplustoll) with field capacity and permanent wilting points equal to 0.33 and 0.15, respectively. The soil pH was 8.1, and the soil bulk density was equal to 1.38 g cm−3 [1,38].
Figure 1.
Geographical location of the experimental site near Garden City, Kansas, through Google.
The long-term climate data of Garden City, KS indicate annual precipitation of 477 mm and annual pan evaporation of 1810 mm [1]. The cumulative precipitation during forage sorghum vegetative growth was 330.95 and 230.88 mm in 2014 and 2015, respectively.
2.2. Experimental Design and Treatments
Two-year field experiments were conducted in 2014 and 2015 based on randomized complete block designs with four replications. Six different seasonal irrigation depths based on 100%, 80%, 70%, 50%, 40%, and 0% of crop full water requirements were implemented as the treatments of this study. The sizes of the plots were 13.7 m × 27.4 m. The treatments were applied using a four-span linear move irrigation system (model 8000, Valmont Corp, Valley, NE, USA). Each span contained one replication of the treatments. Irrigation scheduling followed the 40% maximum allowable depletion (MAD). Irrigation events were triggered when the volumetric soil water content values reached 60% of the soil’s available water content under full irrigation treatment. The irrigation depth for full irrigation treatment was 25.4 mm at each irrigation event.
2.3. Data Acquisition and Management
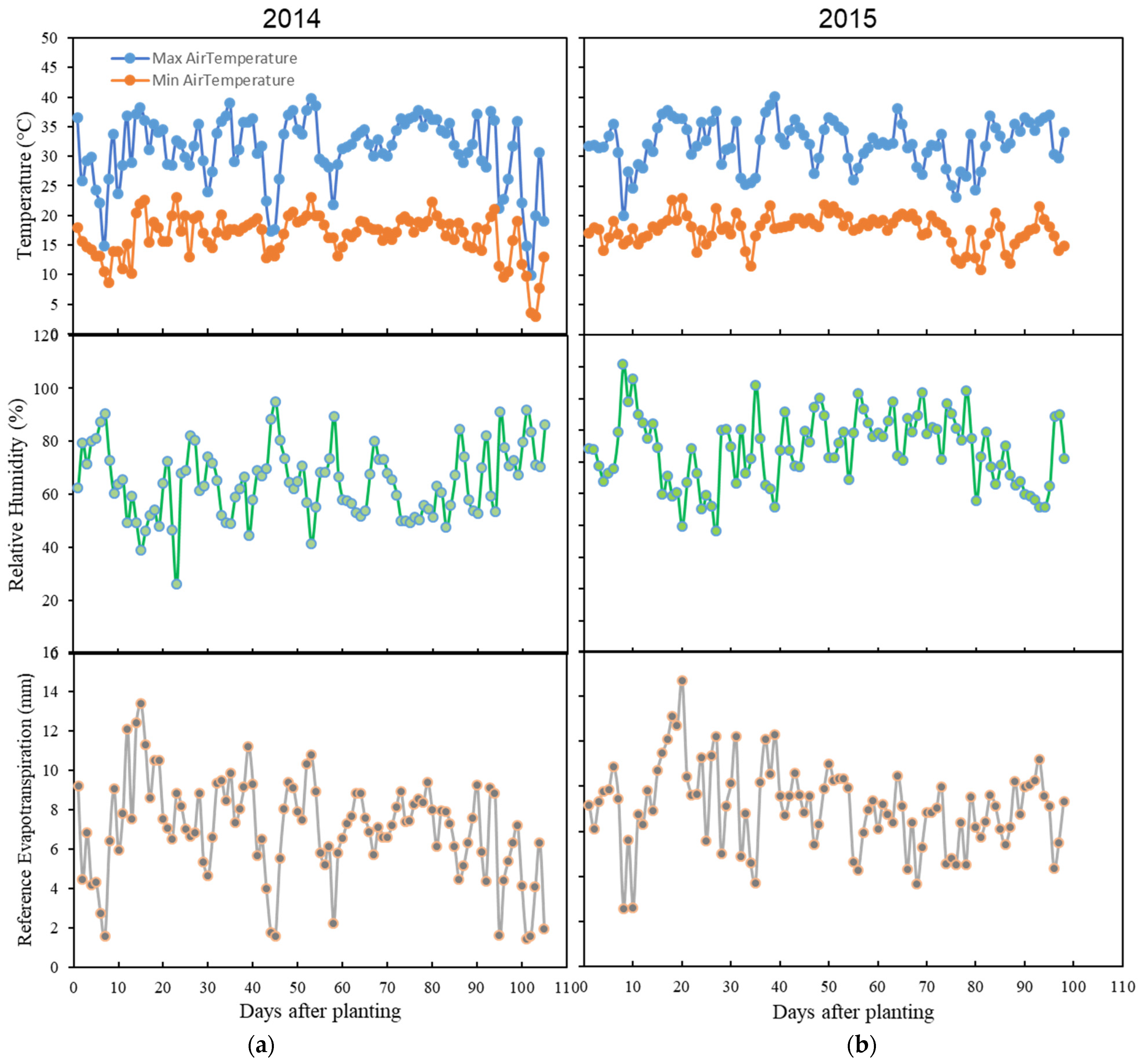
The weather data for calculating evapotranspiration and rainfall effects were obtained from the K-State MESONET network tower close to the experimental station. The calculated daily reference evapotranspiration based on the FAO-56 Penman–Monteith equation [39], relative humidity, minimum and maximum temperature, and precipitation values for the 2014 and 2015 growing seasons are presented in Figure 2 and Figure 3, respectively.
Figure 2.
Daily minimum and maximum temperature, relative humidity, and calculated reference evapotranspiration for two growing seasons: (a) 2014 and (b) 2015.
Figure 3.
Precipitation patterns for the 2014 and 2015 growing seasons. The blue bars show the daily precipitation and purple dots show the cumulative precipitation during the seasons.
During the growing season, the volumetric soil water contents were measured using neutron attenuation techniques to 240 cm soil depth with 30 cm increments. The neutron probe readings were used to calculate the actual seasonal evapotranspiration based on the soil water balance approach. The generic soil water balance approach was as follows:
where I is the applied irrigation water (mm), P is the precipitation during the growing season (mm), d1 and d2 are the total soil water (mm) at the beginning and the end of the soil water content reading period, and D is the drainage water (mm). The drainage was computed with the Wilcox-type equation [1]:
where W is the total soil water for the 240 cm soil profile (mm) and dW/dT = drainage rate (mm·day−1).
The BMR (brown midrib) forage sorghum seeds (F75FS28 hybrid) were planted on 3 June 2014 and 5 June 2015. The planting density was 245,500 seeds/ha. The crop growth stages based on crop structure were recorded during the growing season, accordingly. The timing of emergence, V7, V11, boot, headed, and soft dough growth stages were recorded during the growing seasons. The harvest dates for the first and second growing seasons were 15 September 2014 and 10 September 2015. The weed management and fertilizer application followed related recommendations in the region [40]. To control the weeds, the active ingredients of atrazine, S-metolachlor, dicamba, metribuzin, fluroxypyr, and glyphosate were applied uniformly before planting. The total fertilizer amount (nitrogen and phosphate mixture) per growing season was 227.9 Kg/ha. The crop above-ground biomass and yield were measured based on 3 m rows in the middle of the plots.
2.4. AquaCrop Model
AquaCrop 6.1 is a water-driven model that simulates crop yield response to water. The model’s built-in algorithms’ sequential steps are: (a) transpiration of crop, (b) biomass development, and (c) yield calculation. The model utilizes canopy cover (CC) instead of leaf area index (LAI) as the foundation for transpiration calculations and individually calculates evaporation. The calculated transpiration is translated to biomass on a daily basis by exploitation of normalized water productivity (WP*). The model, by considering several reduction factors (coefficients), computes existing stress effects on crop transpiration and, consequently, on crop biomass formation and yield.
Thus, the water-driven engine (algorithm) of the model uses the following equations to determine crop transpiration, biomass formation, and yield [30,31,32]:
where EStage 1 is the evaporation rate until readily evaporable water exists in the soil surface layer, EStage 2 is the evaporation rate after readily evaporable water does not exist anymore and the surface layer starts to drain, CC* is the canopy cover adjusted for micro advection effects, Kex is the maximum soil evaporation coefficient for the fully wet and not shaded soil surface, Kr is the evaporation reduction function, Tr is the crop transpiration, Ks is the stress coefficient, KcTrx is the crop coefficient for maximum transpiration, ET0 is the reference evapotranspiration, B is the dry total biomass, WP* is the normalized water productivity by climate and CO2, Y is the yield, and HI is the harvest index; WP* is constant for the entire growing season and it is a crop-specific value.
Furthermore, the irrigation water use efficiency for observations and simulations under deficit irrigation managements were calculated as follows:
2.5. Model Calibration and Validation
The performance analysis of the AquaCrop model relied on the model’s accuracy in simulating forage sorghum biomass, yield, soil water content, and evapotranspiration. In this study, the model was initially run with default parameters and state variables. Considerable deviations were detected between the model simulations and the measurement data (the results are not presented). Thus, the initial results made the calibration of the model undeniable. The model input parameters and the state variables were adjusted based on observational data under (above-ground biomass, grain yield) all the treatments in 2014. Multiple statistics, including the root mean square error (RMSE), normalized root mean square error (NRMSE), coefficient of determination (R2), coefficient of agreement (d), and percent of deviation (Pe), were considered together to evaluate the model’s performance:
where Mi, Si, and are the measured value, simulated value, and the average value of the measurements. Values of R2 and d close to 1 indicate the good performance model. MBE, RMSE, and NRMSE close to zero indicate good matching between the simulated values and observations. NRMSE ranges of <0.1, 0.1–0.2, 0.2–0.3, and >0.3 categorize the model performance as excellent, good, fair, and poor calibration [30].
To achieve proper calibration of the model, the calculated NRMSE, R2, d, and MBE indices based on model simulations of all treatments in 2014 were compared through a trial-and-error process for individual parameter sets. The parameters set that resulted in the lowest NRMSE-MBE and the highest R2-d were considered as calibration values.
Afterwards, the performance of the model was evaluated based on all of the statistical indices. The same procedure was followed for obtained data in 2015 to validate the model’s accuracy. Then, the model outputs for each treatment were individually assessed for both growing seasons.
2.6. Exploring Conservational Irrigation Scheduling Strategies and Pre-Season Irrigation Scenarios by Using the AquaCrop Model
To identify forage sorghum reactions to the pre-season irrigation and to generalize the results, the refilling soil water depletion at the time of planting as a fraction of the soil field capacity/total available water (TAW) at various soil depths was explored. Considering different soil water statuses at the planting time, the irrigation scheduling strategies were pursued based on maximum allowable depletions (MADs) and fixed irrigation intervals (frequencies) as two main irrigation management methods. The calibrated and validated AquaCrop model was employed to seek the optimized irrigation scheduling of forage sorghum in a semi-arid region. The AquaCrop model considers crop root growth to implement MAD levels. The forage sorghum biomass, irrigation water use efficiency (IWUE), and biomass water productivity (BWP) were assessed for three maximum allowable depletions of 40, 55, and 70% and three fixed irrigation intervals of 4, 6, and 10 days. The biomass water productivity was calculated as follows:
where BWP is the biomass water productivity (Kg/ha·mm), AGB is the above-ground biomass (Kg/ha), and WT is the transpired water (mm).
Pre-season irrigation scenarios that refilled the soil water depletion at the time of planting were (a) 30% of the total available water (TAW) from the soil surface to a 60 cm depth and 20% of the TAW from a 60 cm to 150 cm soil depth, (b) 50% of the TAW from the soil surface to a 60 cm depth and 20% of the TAW from a 60 cm to 150 cm soil depth, (c) 100% of the TAW (field capacity) from the soil surface to a 60 cm depth and 20% of the TAW from a 60 cm to 150 cm soil depth, (d) 30% of the TAW from the soil surface to a 150 cm soil depth, (e) 50% of the TAW from the soil surface to a 150 cm soil depth, and (f) 100% of the TAW (field capacity) from the soil surface to a 150 cm soil depth. The summary of the irrigation scheduling strategies and the soil water status at the planting time are presented in Figure 4. The total 36 irrigation management scenarios were analyzed for forage sorghum production. To simulate the irrigation management, the AquaCrop model was supplied with 37 years (1985–2021) of historical weather data obtained from one of the weather station towers of the K-State MESONET network, the closest experimental field. The model was executed for 37 years of weather data, and the planting date was constantly considered as 3 June for all long-term simulations. To reasonably compare the irrigation management strategies simulated by the AquaCrop model, the ANOVA and the least significant difference (LSD) test were performed in the R 4.0.5 environment for significance levels of p < 0.05.
Figure 4.
Summary of irrigation management scenarios for investigating the most suitable forage sorghum productivity in the Central High Plains. D1 = managing the soil water status at the time of planting from the soil surface to a 60 cm soil depth and considering the soil water status of 60–150 cm of soil depth as 20% of the TAW. D2 = managing the soil water status at the time of planting from the soil surface to a 150 cm soil depth (maximum root length). IS1, IS2, and IS3 = refilling soil water depletion at the time of planting up to 30, 50, and 100% of the soil field capacity. MAD = maximum allowable depletion. F = irrigation interval.
3. Results and Discussion
3.1. Parameterization
The default values of the input parameters and the calibrated ones are presented in Table 1. As shown, most adjustments were applied to crop development and parameters related to water stresses of forage sorghum. The initial canopy development at 90% emergence, canopy development, and water-stress-related parameters, such as canopy expansion, stomatal closure, and early senescence, were key parameters to calibrate the AquaCrop model in western Kansas to simulate deficit irrigation regimes’ effects on forage sorghum. The crop growth stages were also adjusted according to data recording during the growing seasons.
Table 1.
Default and calibrated parameters’ values of the AquaCrop model for forage sorghum in western Kansas.
3.2. Soil Water
The average of the soil water content data obtained at 30, 60, 90, 120, 150, and 180 cm soil depths was used to reasonably compare the model outputs with the measurements. The average of the replications was considered the TSW observation point for each experimental treatment. The 2014 observational soil water data were compared to simulated values by the model for the calibration year (Figure 5). The temporal changes of simulated TSW followed the measurement trends. The model accurately reproduced the TSW; however, underestimations were observed for irrigation treatments. The model accuracy for simulating TSW during the calibration year (2014) was good for all of the treatments (Table 2), with the RMSE values ranging from 37.5 to 57.1 mm, and the NRMSEs ranging from 0.096 to 0.136. Nevertheless, the adequacy of the model simulations during the calibration year was not consistent for all treatments. The model adequacy was higher for simulating TSW under full irrigation, 50%, 40%, and dryland treatments, with R2 varying from 0.58 to 0.93 compared to 80% and 70% treatments as the R2 values were 0.12 and 0.39, respectively. In 2014, the best performance of AquaCrop was found for estimating TSW under dryland treatment (RMSE = 42.1, NRMSE = 0.134, d = 0.97, R2 = 0.93).
Figure 5.
Simulated soil water content and observational data during the forage sorghum growing season in 2014. The green lines are simulated soil water content values, and the purple dots are observational data.
Table 2.
Statistical indices for total soil water simulations.
The validation results (2015) demonstrated underestimation of TSW for the majority of treatments except for the 40% treatment and part of the 80% treatment (Figure 6). The underestimation of TSW by the AquaCrop model was also reported by Sandhu et al. as well [41]. They mentioned that the underestimation of TSW was more intensified in irrigated treatments compared with dryland. The highest deviation from observational points was observed for the first soil water content measurement in the 2015 growing season.
Figure 6.
Simulated soil water content and observational data during the forage sorghum growing season in 2015. The green lines are simulated soil water content values, and the purple dots are observational data.
Similar to the 2014 simulations, the AquaCrop model accuracy was good for estimating TSW for all treatments during the validation period (Table 2).
The RMSE ranges ranged from 38.1 to 93.2 mm, and the NRMSEs ranged from 0.095 to 0.181. The inconsistency of the model adequacy to simulate TSW was also observed for validation results. The highest adequacy of the model was obtained for the 80% treatment (d = 0.89 and R2 = 0.79), and the lowest was obtained for 50% (d = 0.38 and R2 = 0.15). The calibration and validation results indicated that the AquaCrop model was able to capture the effects of experimental treatments on TSW in this study, and good accuracy of the model was determined (0.095 < NRMSE < 0.181). However, the overall performance of the model based on both accuracy (RMSE and NRMSE) and adequacy (d and R2) of the model showed some levels of uncertainty in simulated soil water content by AquaCrop under forage sorghum cultivation. Despite pursuing careful calibration, the model TSW simulations were not satisfying. Paredes et al. [36] declared a similar bias in TSW simulations of the corn root zone by the AquaCrop model at the field scale. They announced that the poor fitting of the measured ASW with the AquaCrop simulations (adequacy) was probably related to errors in calculating transpiration and evaporation. An unsatisfying estimation of TWS by the AquaCrop model under different irrigation conditions (full and limited irrigation) was found in a study accomplished by Sandhu and Irmak, 2019 [42]. They evaluated the performance of AquaCrop to simulate maize yield and evapotranspiration using long-term data.
3.3. Forage Sorghum Biomass and Grain Yield
As shown in Table 3, the MBE = 0.09 was the indicator of the good performance of AquaCrop in simulating forage sorghum biomass for the calibration year (2014). The statistical indices of R2 = 0.71 and d = 0.91 have shown the good adequacy of the model performance for the first growing season. In addition, the RMSE and NRMSE values were 0.76 and 0.09, respectively, which proved the good accuracy of the model during the calibration year.
Table 3.
The statistical results for forage sorghum biomass and grain yield.
The adequacy and excellent accuracy of the AquaCrop model in simulating forage sorghum biomass in the region have been confirmed in the validation process by the following statistics: RMSE = 0.53 ton/ha, NRMSE = 0.04, R2 = 0.86, d2 = 0.95, and MBE = −0.26. Masasi et al. [43] have declared similar results for simulating grain sorghum affected by deficit irrigation treatments in the Central and Southern High Plains. The comparison between the model biomass outputs and the measurements is presented in Table 4.
Table 4.
The comparison of simulated and observed forage sorghum biomass (ton/ha) for the 2014 and 2015 growing seasons.
The percent of deviation (Pe) ranged from −15.07 to 1.09% for the 2014 growing season and from −1.61 to 9.93% for the 2015 growing season. The Pe values were less than 10% for the biomass simulation for most of the treatments. In 2014, the Pe values were more than 10% for simulating the crop total biomass obtained under 70%, 50%, and 40% deficit irrigation treatments. The minimum deviations (Pe = 1.09%) for biomass simulation were found for the full irrigation treatment in 2014 and for the 80% irrigation treatment (Pe = −0.20%) in the 2015 growing season. The maximum deviations in 2014 (Pe = −15.07%) and 2015 (Pe = 9.93%) were obtained for 70% DI and 40% DI, respectively, which are still relatively low. Considering all the indices, the AquaCrop model was found to be successful for simulating forage sorghum biomass in western Kansas, even though the adequacy (goodness of fit) of the model for simulating the total soil water was not convenient for all treatments. As discussed earlier, AquaCrop is a water-driven model that calculates biomass based on transpiration during the crop growth stages. Therefore, it might be reasonable to know that the error in evaporation calculations is the primary source of inconsistent adequacy in soil water simulation rather than transpiration calculations, as the biomass simulation results were satisfactory. There could be an error in the evaporation determination approach that considers the first- and second-stage evaporation rates based on the soil water status at the first soil layer.
The good accuracy of the model was demonstrated by statistical indices during the calibration process for simulating grain yield (Table 3), as the RMSE and NRMSE were 0.27 ton/ha and 0.12, respectively. In addition, the values of R2 and d for 2014 were 0.79 and 0.87, respectively, indicating good adequacy of the model for simulating forage sorghum grain yield. However, the results of the validation process were unsatisfactory for grain yield simulations. The fine accuracy of the model (RMSE = 0.49 ton/ha, NRMSE = 0.20) and the poor adequacy (R2 = 0.3 and d = 0.44) of the AquaCrop model were observed when comparisons to grain yield observational data were made using statistical indices in 2015. The results of the model’s performance, particularly in terms of forage sorghum yield simulations, are comparable to published achievements by Araya et al. [18]. The comparison between the observational and simulated grain yield is presented in Table 5. The percentages of deviation ranges for reproducing the grain yield were from −19.83 to 2.08% in 2014 and from 7.5 to 28.35% in 2015. The minimum deviation was obtained for full irrigation treatment in 2014 (Pe = 0.39) and 2015 (Pe = −1.27%). The maximum Pe value for grain yield simulation was detected for the 70% treatment in the 2014 growing season (Pe = −19.83%). However, in 2015, the maximum deviation (Pe = 28.35%) was found for the 40% DI treatment. Based on all the indices, the overall assessment of the model showed the moderate to good performance of the model for simulating forage sorghum grain yield under different irrigation and precipitation conditions. Hence, to make any reliability statement regarding the AquaCrop model simulations of forage sorghum grain yield, pursuing additional field experiments and, consequently, validating the model using these extra data is essential.
Table 5.
The comparison of simulated and observed forage sorghum grain yield (ton/ha) for 2014 and 2015 cultivations.
3.4. Evapotranspiration
Comparisons between the simulated and actual seasonal evapotranspiration (SET) were made using statistical indices, and the results are presented in Table 6.
Table 6.
Statistical indices for seasonal evapotranspiration.
The model’s performance in predicting SET showed fair accuracy for the calibration and validation seasons. The RMSEs and NRMSEs were 91.26 mm and 0.24 for the calibration year (2014), and the validation year (2015) values were 86.45 mm and 0.21, respectively. The model R2 and d were 0.89 and 0.76 for the calibration duration, indicating the model’s good adequacy for SET simulations. The R2 and d values for validation were 0.95 and 0.65, respectively. The deviations in simulating SETs for experimental treatments could be related to errors in evaporation calculations, which have been previously discussed. The evapotranspiration results are comparable with the results of AquaCrop performance obtained by Sandhu and Irmak, 2019 [42].
Overall, the AquaCrop model could reasonably duplicate forage sorghum seasonal evapotranspiration under deficit irrigation conditions in western Kansas. However, by improving the model’s evaporation calculations, more satisfying results are expected.
3.5. Irrigation Water Use Efficiency
The measured and simulated irrigation water use efficiency (IWUE) of forage sorghum under deficit irrigation treatments were calculated accordingly.
The total forage sorghum biomass was considered for the calculation of IWUE, as producing forage biomass is the primary aim of forage sorghum cultivation, which is intended to be used in the livestock industry to feed the cattle.
As shown in Table 7, the model’s performance based on the calculated statistical indices was good during the calibration year. The good accuracy (RMSE = 4.24 Kg ha−1 mm−1, NRMSE = 0.13) and excellent adequacy of the model (R2 = 0.94, d = 0.96) were obtained based on simulated and field-observed IWUE values in the 2014 growing season. The model’s outputs for 2015 showed excellent adequacy in reproducing IWUE values, as the R2 and d values were close to one. However, some increase in the NRMSE value was detected for the second growing season. This study’s observational and simulated results indicated that the 40% deficit irrigation was the most efficient irrigation management method during the two years of the experiment.
Table 7.
Irrigation water use efficiency of forage sorghum under deficit irrigation treatments.
3.6. AquaCrop Model Performance Discussion
To date, the AquaCrop model has been used to investigate irrigation and agronomic practices’ effects on multiple crops, such as corn, cotton, wheat, grain sorghum, soybean, and canola, in different regions [18,44,45,46,47]. However, there is not enough information in the literature regarding the utilization of the AquaCrop model for seeking the irrigation management impacts on forage sorghum. Therefore, this study can be a starting point for additional research on forage sorghum irrigation management practices. As AquaCrop is a water-driven model, its performance in crop yield and growth components relies on the accuracy of the soil water simulation, which represents transpiration calculations [48]. Thus, analyzing the soil water simulations is key to assessing the model’s reliability.
The AquaCrop model successfully simulated temporal changes in the total soil water (TSW) for two growing seasons (Figure 5 and Figure 6). The model for full and limited water conditions satisfactorily reproduced the dynamics of the soil water status under forage sorghum cultivation. However, some overestimations were detected in the soil water simulations, especially at the beginning of the growing seasons. This might be due to an error in the root growth function in AquaCrop so that the model could not simulate forage sorghum root development in all growing stages. The results showed that 60 days after planting TSW simulations, deviation from the simulated values reached its minimum value. Overall, another source of error for soil water simulations was detected in this study for soil water and evapotranspiration simulations, which was an error in evaporation calculation. As the AquaCrop model calculates the in-season and final biomass value based on transpiration computation, and the excellent model performance was found for two growing seasons, the model’s accuracy for transpiration must be high, which was translated into excellent biomass simulation. Hence, it is convenient to point out that evaporation is the main culprit for the deviations in soil water and evapotranspiration simulation. These biases and inconsistencies were detected in other studies as well. The authors identify the error in evapotranspiration partitioning as the reason for overestimation and underestimation in soil water simulations [36,49,50,51]. In addition, the results of a certain number of studies expressed an overestimation of TSW by AquaCrop for deficit irrigation conditions [52,53]. This might be because the model may overestimate the effects of deficit irrigation on some crops, and as a result, the crop water uptake is suppressed. Another possible reason for these deviations could be the linear root water extraction pattern and the root distribution function used by AquaCrop [30,32]. The implementation of non-linear root water uptake and root distribution models [54,55,56] can be proper alternatives to eliminate this source of error for the AquaCrop model.
As mentioned earlier, the overall performance of the model for simulating forage sorghum biomass under various irrigation conditions was excellent (Table 3). However, a detailed analysis of the model’s simulation is worthwhile. The simulated biomass results indicated that the best model performance of the model under irrigation conditions that fall into water stress thresholds [30] is better than other conditions that are categorized between these thresholds (Table 4). The full irrigation and dryland conditions are usually fitted as upper and lower water stress thresholds for arid and semi-arid regions that do not receive considerable rainfall during the growing season. In our case, during the 2015 growing season, the 80% DI treatment fell into the upper limit of the water stress threshold for the AquaCrop model. Thus, the better performance of the model was found for simulating full irrigation and dryland conditions in the 2014 growing season and full irrigation, 80% DI, and dryland conditions in 2015. The assessment of the crop biomass simulations for individual treatments indicates certain patterns for the accuracy of the model during the first growing season. The model’s accuracy decreased gradually upon transitioning the irrigation conditions from full irrigation to 70% DI, and then it started to increase from the 50% DI to the dryland condition. However, no obvious pattern was noticed for the second growing season. This could be because of the precipitation distribution pattern during 2015. The timing and amount of in-season precipitations can considerably change the effects of deficit irrigation treatments on crop production. Hence, AquaCrop was probably not able to capture the biological and physiological reactions of forage sorghum to precipitation while the crop was exposed to limited irrigation conditions.
The AquaCrop outputs in terms of grain yield simulations almost followed the measured grain yield time series in 2014 and 2015 (Table 5). Nonetheless, less deviation was found for simulations of grain yield in 2014 compared to the corresponding values in 2015. The AquaCrop model most likely overestimated the forage sorghum grain yield for the second growing season. The basis of this error could be the method of grain yield calculations. The model uses the harvest index (HI) to convert the biomass value to the grain yield, and the model was not able to correctly simulate the HI for the validation year. This inaccuracy was reported in other studies as well [57,58]. It has been shown that high temperatures can adversely affect the harvest index in specific growth stages of sorghum [59,60,61], and the AquaCrop model does consider a high-temperature stress impact on either the accumulation of biomass or the HI of the crops [57]. Therefore, the overestimation of the grain yield in some years can result from ignorance of high-temperature stress for crop production by AquaCrop.
The evapotranspiration (ET) calculations depend on the soil water determination conditions. The ET calculations were prone to terms that were similar to the soil water determination by the model. The error in evaporation calculations lowered the model’s accuracy in terms of ET simulations. The analysis of soil water status simulations applies here as well.
Using on-site evaporation pans or installing sensors in the crop root-zone with a data logger to access real-time soil moisture data could be beneficial for identifying the source of error more precisely.
3.7. Long-Term Irrigation Strategies Analysis
Figure 7 illustrates the long-term forage sorghum biomass, IWUE, and BWP simulated by the AquaCrop model for each irrigation management scenario (pre-season + in-season). The growing season was considered to be from June to September. The statistical analysis results for 37 years of simulations of crop yield and yield components are presented in Table 8. Pursuing 40% MAD resulted in the highest forage sorghum biomass compared to the other management methods, regardless of the soil water status at the planting time. For the application of 55% MAD, refilling the soil water depletion up to 30% TAW from the soil surface up to 60 cm (D1IS1MAD2) is discouraged, as this approach significantly reduced the crop total biomass compared to other soil water regimes at the time of planting (D2IS1MAD2, D1IS2MAD2, D2IS2MAD2, D1IS3MAD2, and D2IS3MAD2). Replenishing the soil water deficiency up to 30% of the TAW from the soil surface to 150 cm soil depth or filling 50% of the TAW from the soil surface to a 60 cm soil depth maximized the crop biomass productivity for the 55% MAD application. Overall, higher forage sorghum was found for the irrigation scheduling based on the maximum allowable depletion (MAD) compared to the fixed irrigation intervals approach. Implementing a 4-day fixed irrigation interval with compensation of the soil water deficit to 30% of the TAW for the first 60 cm of soil depth showed no significant difference in forage biomass production compared with irrigation based on MAD levels. The long-term results indicate that in the case of low well capacity that mandates irrigation every 10 days, the pre-season irrigation that replenishes the soil water to the field capacity for the first 60 cm of soil depth would be beneficial (D1IS3F3). This pre-season irrigation management (D1IS3) significantly increased the forage biomass compared with other pre-season water management. The crop biomass under 6- and 10-day fixed irrigation intervals reached its highest value for having field capacity for the first 60 cm of soil depth or the maximum crop root length (150 cm) at the planting time.
Figure 7.
Long-term simulated forage sorghum biomass, irrigation water use efficiency (IWUE), and biomass water productivity (BWP) for designated irrigation scheduling strategies.
Table 8.
Comparison of means for long-term simulations of forage sorghum biomass, irrigation water use efficiency (IWUE), and biomass water productivity (BWP).
The long-term IWUE values were compared accordingly to investigate the relations between the irrigation scheduling strategies and the predicted forage production. The highest IWUEs ranged from 44.13 to 48.20 ton/ha·mm and were detected for the application of a 10-day irrigation interval (F3), and MAD levels of 55 and 70% accompanied by a pre-season irrigation that refilled the crop root zone (150 cm) up to the field capacity at the time of planting (D2IS3F3, D2IS3MAD3, and D2IS3MAD2). The statistical results clearly indicated that implementing the MAD level of 40% significantly reduced the IWUE values and ranked as the least efficient strategy compared with any other scenario (14.7 < IWUE < 15.39 kg/ha·mm). Applying a pre-season irrigation that fills the soil profile (150 cm) up to the field capacity maximizes the efficiency of the fixed irrigation interval strategies (F1, F2, and F3), as D2IS3F3, D2IS3F2, and D2IS3F1 resulted in the highest IWUE values in contrast with the other corresponding pre-season irrigation scenarios. Considerable impacts of pre-season irrigation on the efficiency of in-season irrigation scheduling strategies to produce forage sorghum were clearly demonstrated in the IWUE results. In most irrigation scenarios, refilling either the first 60 cm depth of the soil or the whole crop root zone (150 cm) significantly increased the efficiency of the irrigation scheduling strategies for sorghum production in a semi-arid region of the Central High Plains.
The BWP was the only index with no statistical significance at the 0.05 level. Thus, no further discussion was presented for this index. The BWP results almost followed the same order as the IWUE. However, it was found to not be a suitable index in this study to show the statistical difference between irrigation management effects and forage sorghum productivity.
4. Conclusions
The performance of the water-driven AquaCrop model for simulating forage sorghum biomass and grain yield production under different irrigation regimes was evaluated through calibration and validation processes in western Kansas, a semi-arid region located in the U.S. Central High Plains. The model was found to be reliable in simulating the soil water status, the forage sorghum biomass, and the grain yield. The simulated soil water by the model correctly followed the trend of the measurements. Nevertheless, overestimations and underestimations were noticed in soil simulations of water under some deficit irrigation conditions. The error in the root growth and the distribution function, the root water extract function, and the two-layer method for evaporation calculations were found as sources of the soil water deviations. However, soil water simulations’ general accuracy was convenient for both growing seasons. The excellent accuracy of the model was detected for forage sorghum biomass estimation for all irrigation conditions. The accuracy of the grain yield value reproductions by the model was good during the calibration process; however, similarly to other studies, overestimations were detected for the validation process. The lack of heat stress function in AquaCrop was found to be the source of errors in the grain yield simulations. Overall, the AquaCrop model was found to be trustworthy for exploring the effects of variable soil water regimes influenced by irrigation management on forage sorghum above-ground biomass, the main target for forage sorghum production for the livestock industry. The AquaCrop model was then used as a decision support tool to investigate forage sorghum responses to pre-season and in-season irrigation strategies. The irrigation scheduling approaches based on MAD levels of 40, 55, and 70% were compared to 4-, 6-, and 10-day irrigation intervals for different pre-season irrigation conditions. The results revealed that applying a 10-day irrigation frequency (interval) and pursuing MAD levels of 55 and 70% in combination with pre-season irrigation that replenished the soil water deficiency in the entire root zone up to the field capacity was the most efficient irrigation scheduling strategy.
On the other hand, 40% MAD was found to be the least efficient irrigation management approach for forage sorghum production. The findings of this study could be used as new clues for the initiation of water conservation irrigation practices for forage sorghum production that can save the livestock industry in the U.S. Central High Plains. Nonetheless, evaluating the interactions of irrigation scheduling approaches with other irrigation and agronomic practices, such as irrigation water application technologies, fertilizer management, and tillage treatments, is highly encouraged.
Author Contributions
Conceptualization, F.F.; methodology, F.F. and H.A.; supervision, H.A. and J.A.; software, F.F. and J.A.; investigation, F.F.; data curation, J.A.; resources, J.A.; writing—original draft preparation, F.F.; writing—review and editing, F.F. All authors have read and agreed to the published version of the manuscript.
Funding
The APC was funded by Kansas State University.
Institutional Review Board Statement
Not applicable.
Informed Consent Statement
Not applicable.
Data Availability Statement
The data can be made available upon request from J.A.
Acknowledgments
The group of authors would like to thank Kansas State University for providing the experimental and computational facilities to achieve the goals of this study. Special thanks to Farzam Moghbel, the postdoctoral fellow at Southwest Research-Extension Center, Kansas State University, for his efforts toward the aims of this study. Moreover, the group of authors would like to acknowledge Ferdowsi University of Mashhad project 49632 for supporting the initial steps of this study.
Conflicts of Interest
The authors declare no conflict of interest.
References
- Klocke, N.L.; Currie, R.S.; Tomsicek, D.J.; Koehn, J. Corn yield response to deficit irrigation. Trans. ASABE 2011, 54, 931–940. [Google Scholar] [CrossRef]
- Lamm, F.R.; Stone, L.R.; O′brien, D.M. Crop production and economics in Northwest Kansas as related to irrigation capacity. Appl. Eng. Agric. 2007, 23, 737–745. [Google Scholar] [CrossRef]
- Obour, A.; Holman, J.D.; Mengel, D.B. Nitrogen application effects on forage sorghum biomass production and nitrates. Kansas Agric. Exp. Stn. Res. Rep. 2018, 4, 4. [Google Scholar] [CrossRef]
- Holman, J.D.; Obour, A.K.; Mengel, D.B. Nitrogen application effects on forage sorghum production and nitrate concentration. J. Plant Nutr. 2019, 42, 2794–2804. [Google Scholar] [CrossRef]
- Bhattarai, B.; Singh, S.; West, C.P.; Ritchie, G.L.; Trostle, C.L. Effect of deficit irrigation on physiology and forage yield of forage sorghum, pearl millet, and corn. Crop Sci. 2020, 60, 2167–2179. [Google Scholar] [CrossRef]
- Jahanzad, E.; Jorat, M.; Moghadam, H.; Sadeghpour, A.; Chaichi, M.-R.; Dashtaki, M. Response of a new and a commonly grown forage sorghum cultivar to limited irrigation and planting density. Agric. Water Manag. 2013, 117, 62–69. [Google Scholar] [CrossRef]
- Roby, M.C.; Salas Fernandez, M.G.; Heaton, E.A.; Miguez, F.E.; VanLoocke, A. Biomass sorghum and maize have similar water-use-efficiency under non-drought conditions in the rain-fed Midwest U.S. Agric. For. Meteorol. 2017, 247, 434–444. [Google Scholar] [CrossRef]
- Gheysari, M.; Sadeghi, S.-H.; Loescher, H.W.; Amiri, S.; Zareian, M.J.; Majidi, M.M.; Asgarinia, P.; Payero, J.O. Comparison of deficit irrigation management strategies on root, plant growth and biomass productivity of silage maize. Agric. Water Manag. 2017, 182, 126–138. [Google Scholar] [CrossRef]
- Keller, J.; Bliesner, R.D. Sprinkle and Trickle Irrigation; Van Nostrand Reinhold: New York, NY, USA, 1990. [Google Scholar]
- Kirkham, M.B. Principles of Soil and Plant Water Relations; Academic Press: Cambridge, MA, USA, 2014; ISBN 0124200788. [Google Scholar]
- Clark, G.A.; Rogers, D.H.; Briggeman, S. KanSched An ET-based irrigation scheduling tool for Kansas summer annual crops. In Proceedings of the 2004 Central Plains Irrigation Conference, Kearney, NE, USA, 17–18 February 2004. [Google Scholar]
- Lamm, F.R.; Rogers, D.H. The importance of irrigation scheduling for marginal capacity systems growing corn. Appl. Eng. Agric. 2015, 31, 261–265. [Google Scholar]
- Aguilar, J.; Rogers, D.; Kisekka, I. Irrigation scheduling based on soil moisture sensors and evapotranspiration. Kansas Agric. Exp. Stn. Res. Rep. 2015, 1, 20. [Google Scholar] [CrossRef]
- Lamm, F.R.; Rogers, D.H.; Manges, H.L. Irrigation scheduling with planned soil water depletion. Trans. ASAE 1994, 37, 1491–1497. [Google Scholar] [CrossRef]
- Kisekka, I.; Schlegel, A.; Ma, L.; Gowda, P.H.; Prasad, P.V.V. Optimizing preplant irrigation for maize under limited water in the High Plains. Agric. Water Manag. 2017, 187, 154–163. [Google Scholar] [CrossRef]
- Kisekka, I.; Aguilar, J.P.; Rogers, D.H.; Holman, J.; O’Brien, D.M.; Klocke, N. Assessing deficit irrigation strategies for corn using simulation. Trans. ASABE 2016, 59, 303–317. [Google Scholar]
- Stone, L.R.; Schlegel, A.J. Yield–water supply relationships of grain sorghum and winter wheat. Agron. J. 2006, 98, 1359–1366. [Google Scholar] [CrossRef]
- Araya, A.; Kisekka, I.; Holman, J. Evaluating deficit irrigation management strategies for grain sorghum using AquaCrop. Irrig. Sci. 2016, 34, 465–481. [Google Scholar] [CrossRef]
- Klocke, N.L.; Currie, R.S.; Tomsicek, D.J.; Koehn, J.W. Sorghum yield response to deficit irrigation. Trans. ASABE 2012, 55, 947–955. [Google Scholar] [CrossRef]
- Kaplan, M.; Kara, K.; Unlukara, A.; Kale, H.; Buyukkilic Beyzi, S.; Varol, I.S.; Kizilsimsek, M.; Kamalak, A. Water deficit and nitrogen affects yield and feed value of sorghum sudangrass silage. Agric. Water Manag. 2019, 218, 30–36. [Google Scholar] [CrossRef]
- Moosavi, S.G.; Seghatoleslami, M.J.; Javadi, H.; Ansari-nia, E. Effect of irrigation intervals and planting patterns on yield and qualitative traits of forage sorghum. Adv. Environ. Biol. 2011, 5, 3363–3368. [Google Scholar]
- Chen, Y.; Marek, G.W.; Marek, T.H.; Brauer, D.K.; Srinivasan, R. Improving SWAT auto-irrigation functions for simulating agricultural irrigation management using long-term lysimeter field data. Environ. Model. Softw. 2018, 99, 25–38. [Google Scholar] [CrossRef]
- Nematpour, A.; Eshghizadeh, H.R. Biochemical responses of sorghum and maize to the impacts of different levels of water deficit and nitrogen supply. Cereal Res. Commun. 2023, 51, 1–11. [Google Scholar] [CrossRef]
- Van Gaelen, H.; Tsegay, A.; Delbecque, N.; Shrestha, N.; Garcia, M.; Fajardo, H.; Miranda, R.; Vanuytrecht, E.; Abrha, B.; Diels, J. A semi-quantitative approach for modelling crop response to soil fertility: Evaluation of the AquaCrop procedure. J. Agric. Sci. 2015, 153, 1218–1233. [Google Scholar] [CrossRef]
- Li, J.; Song, J.; Li, M.; Shang, S.; Mao, X.; Yang, J.; Adeloye, A.J. Optimization of irrigation scheduling for spring wheat based on simulation-optimization model under uncertainty. Agric. Water Manag. 2018, 208, 245–260. [Google Scholar] [CrossRef]
- Zhao, J.; Han, T.; Wang, C.; Jia, H.; Worqlul, A.W.; Norelli, N.; Zeng, Z.; Chu, Q. Optimizing irrigation strategies to synchronously improve the yield and water productivity of winter wheat under interannual precipitation variability in the North China Plain. Agric. Water Manag. 2020, 240, 106298. [Google Scholar] [CrossRef]
- Gohain, G.B.; Singh, K.K.; Singh, R.S.; Dakhore, K.K.; Ghosh, K. Application of CERES-sorghum crop simulation model DSSAT v4.7 for determining crop water stress in crop phenological stages. Model. Earth Syst. Environ. 2022, 8, 1963–1975. [Google Scholar] [CrossRef]
- White, J.W.; Alagarswamy, G.; Ottman, M.J.; Porter, C.H.; Singh, U.; Hoogenboom, G. An Overview of CERES–Sorghum as Implemented in the Cropping System Model Version 4.5. Agron. J. 2015, 107, 1987–2002. [Google Scholar] [CrossRef]
- Yang, K.-W.; Chapman, S.; Carpenter, N.; Hammer, G.; McLean, G.; Zheng, B.; Chen, Y.; Delp, E.; Masjedi, A.; Crawford, M.; et al. Integrating crop growth models with remote sensing for predicting biomass yield of sorghum. Silico Plants 2021, 3, diab001. [Google Scholar] [CrossRef]
- Steduto, P.; Hsiao, T.C.; Raes, D.; Fereres, E. AquaCrop—The FAO Crop Model to Simulate Yield Response to Water: I. Concepts and Underlying Principles. Agron. J. 2009, 101, 426–437. [Google Scholar] [CrossRef]
- Raes, D.; Steduto, P.; Hsiao, T.C.; Fereres, E. AquaCrop—The FAO crop model to simulate yield response to water: II. Main algorithms and software description. Agron. J. 2009, 101, 438–447. [Google Scholar] [CrossRef]
- Hsiao, T.C.; Heng, L.; Steduto, P.; Rojas-Lara, B.; Raes, D.; Fereres, E. AquaCrop—The FAO Crop Model to Simulate Yield Response to Water: III. Parameterization and Testing for Maize. Agron. J. 2009, 101, 448–459. [Google Scholar] [CrossRef]
- Zhang, C.; Xie, Z.; Wang, Q.; Tang, M.; Feng, S.; Cai, H. AquaCrop modeling to explore optimal irrigation of winter wheat for improving grain yield and water productivity. Agric. Water Manag. 2022, 266, 107580. [Google Scholar] [CrossRef]
- Huang, M.; Wang, C.; Qi, W.; Zhang, Z.; Xu, H. Modelling the integrated strategies of deficit irrigation, nitrogen fertilization, and biochar addition for winter wheat by AquaCrop based on a two-year field study. Field Crops Res. 2022, 282, 108510. [Google Scholar] [CrossRef]
- Dirwai, T.L.; Senzanje, A.; Mabhaudhi, T. Calibration and Evaluation of the FAO AquaCrop Model for Canola (Brassica napus) under Varied Moistube Irrigation Regimes. Agriculture 2021, 11, 410. [Google Scholar] [CrossRef]
- Paredes, P.; de Melo-Abreu, J.P.; Alves, I.; Pereira, L.S. Assessing the performance of the FAO AquaCrop model to estimate maize yields and water use under full and deficit irrigation with focus on model parameterization. Agric. Water Manag. 2014, 144, 81–97. [Google Scholar] [CrossRef]
- He, Q.; Li, S.; Hu, D.; Wang, Y.; Cong, X. Performance assessment of the AquaCrop model for film-mulched maize with full drip irrigation in Northwest China. Irrig. Sci. 2021, 39, 277–292. [Google Scholar] [CrossRef]
- Araya, A.; Kisekka, I.; Gowda, P.H.; Prasad, P.V.V. Evaluation of water-limited cropping systems in a semi-arid climate using DSSAT-CSM. Agric. Syst. 2017, 150, 86–98. [Google Scholar] [CrossRef]
- Allen, R.G.; Pereira, L.S.; Raes, D.; Smith, M. FAO Irrigation and drainage paper No. 56. Rome Food Agric. Organ. United Nations 1998, 56, e156. [Google Scholar]
- Kisekka, I.; Holman, J.D.; Waggoner, J.W.; Aguilar, J.; Currie, R. Forage Sorghum and Corn Silage Response to Full and Deficit Irrigation. Kansas Agric. Exp. Stn. Res. Rep. 2016, 2, 6. [Google Scholar] [CrossRef]
- Sandhu, R.; Irmak, S. Assessment of AquaCrop model in simulating maize canopy cover, soil-water, evapotranspiration, yield, and water productivity for different planting dates and densities under irrigated and rainfed conditions. Agric. Water Manag. 2019, 224, 105753. [Google Scholar] [CrossRef]
- Sandhu, R.; Irmak, S. Performance of AquaCrop model in simulating maize growth, yield, and evapotranspiration under rainfed, limited and full irrigation. Agric. Water Manag. 2019, 223, 105687. [Google Scholar] [CrossRef]
- Masasi, B.; Taghvaeian, S.; Gowda, P.H.; Warren, J.; Marek, G. Simulating soil water content, evapotranspiration, and yield of variably irrigated grain sorghum using AquaCrop. JAWRA J. Am. Water Resour. Assoc. 2019, 55, 976–993. [Google Scholar] [CrossRef]
- Solgi, S.; Ahmadi, S.H.; Sepaskhah, A.R.; Edalat, M. Wheat yield modeling under water-saving irrigation and climatic scenarios in transition from surface to sprinkler irrigation systems. J. Hydrol. 2022, 612, 128053. [Google Scholar] [CrossRef]
- Lyu, J.; Jiang, Y.; Xu, C.; Liu, Y.; Su, Z.; Liu, J.; He, J. Multi-objective winter wheat irrigation strategies optimization based on coupling AquaCrop-OSPy and NSGA-III: A case study in Yangling, China. Sci. Total Environ. 2022, 843, 157104. [Google Scholar] [CrossRef]
- Araya, A.; Kisekka, I.; Vara Prasad, P.V.; Gowda, P.H. Evaluating optimum limited irrigation management strategies for corn production in the Ogallala aquifer region. J. Irrig. Drain. Eng. 2017, 143, 4017041. [Google Scholar] [CrossRef]
- Zhang, J.; Li, K.; Gao, Y.; Feng, D.; Zheng, C.; Cao, C.; Sun, J.; Dang, H.; Hamani, A.K.M. Evaluation of saline water irrigation on cotton growth and yield using the AquaCrop crop simulation model. Agric. Water Manag. 2022, 261, 107355. [Google Scholar] [CrossRef]
- Ahmadi, S.H.; Reis Ghorra, M.R.; Sepaskhah, A.R. Parameterizing the AquaCrop model for potato growth modeling in a semi-arid region. Field Crops Res. 2022, 288, 108680. [Google Scholar] [CrossRef]
- Katerji, N.; Campi, P.; Mastrorilli, M. Productivity, evapotranspiration, and water use efficiency of corn and tomato crops simulated by AquaCrop under contrasting water stress conditions in the Mediterranean region. Agric. Water Manag. 2013, 130, 14–26. [Google Scholar] [CrossRef]
- Iqbal, M.A.; Shen, Y.; Stricevic, R.; Pei, H.; Sun, H.; Amiri, E.; Penas, A.; del Rio, S. Evaluation of the FAO AquaCrop model for winter wheat on the North China Plain under deficit irrigation from field experiment to regional yield simulation. Agric. Water Manag. 2014, 135, 61–72. [Google Scholar] [CrossRef]
- Toumi, J.; Er-Raki, S.; Ezzahar, J.; Khabba, S.; Jarlan, L.; Chehbouni, A. Performance assessment of AquaCrop model for estimating evapotranspiration, soil water content and grain yield of winter wheat in Tensift Al Haouz (Morocco): Application to irrigation management. Agric. Water Manag. 2016, 163, 219–235. [Google Scholar] [CrossRef]
- Ran, H.; Kang, S.; Li, F.; Du, T.; Tong, L.; Li, S.; Ding, R.; Zhang, X. Parameterization of the AquaCrop model for full and deficit irrigated maize for seed production in arid Northwest China. Agric. Water Manag. 2018, 203, 438–450. [Google Scholar] [CrossRef]
- Farahani, H.J.; Izzi, G.; Oweis, T.Y. Parameterization and Evaluation of the AquaCrop Model for Full and Deficit Irrigated Cotton. Agron. J. 2009, 101, 469–476. [Google Scholar] [CrossRef]
- Fan, J.; McConkey, B.; Wang, H.; Janzen, H. Root distribution by depth for temperate agricultural crops. Field Crops Res. 2016, 189, 68–74. [Google Scholar] [CrossRef]
- Van Genuchten, M.T. A Numerical Model for Water and Solute Movement in and Below the Root Zone; Research Report No. 121; U.S. Salinity Laboratory: Riverside, CA, USA, 1987.
- Skaggs, T.H.; Van Genuchten, M.T.; Shouse, P.J.; Poss, J.A. Macroscopic approaches to root water uptake as a function of water and salinity stress. Agric. Water Manag. 2006, 86, 140–149. [Google Scholar] [CrossRef]
- Montoya, F.; Camargo, D.; Ortega, J.F.; Córcoles, J.I.; Domínguez, A. Evaluation of Aquacrop model for a potato crop under different irrigation conditions. Agric. Water Manag. 2016, 164, 267–280. [Google Scholar] [CrossRef]
- Hadebe, S.T.; Modi, A.T.; Mabhaudhi, T. Calibration and testing of AquaCrop for selected sorghum genotypes. Water SA 2017, 43, 209. [Google Scholar] [CrossRef]
- Prasad, P.V.V.; Boote, K.J.; Allen, L.H. Adverse high temperature effects on pollen viability, seed-set, seed yield and harvest index of grain-sorghum [Sorghum bicolor (L.) Moench] are more severe at elevated carbon dioxide due to higher tissue temperatures. Agric. For. Meteorol. 2006, 139, 237–251. [Google Scholar] [CrossRef]
- Hammer, G.L.; Broad, I.J. Genotype and Environment Effects on Dynamics of Harvest Index during Grain Filling in Sorghum. Agron. J. 2003, 95, 199–206. [Google Scholar] [CrossRef]
- Thapa, S.; Stewart, B.A.; Xue, Q.; Chen, Y. Manipulating plant geometry to improve microclimate, grain yield, and harvest index in grain sorghum. PLoS ONE 2017, 12, e0173511. [Google Scholar] [CrossRef]
Disclaimer/Publisher’s Note: The statements, opinions and data contained in all publications are solely those of the individual author(s) and contributor(s) and not of MDPI and/or the editor(s). MDPI and/or the editor(s) disclaim responsibility for any injury to people or property resulting from any ideas, methods, instructions or products referred to in the content. |
© 2023 by the authors. Licensee MDPI, Basel, Switzerland. This article is an open access article distributed under the terms and conditions of the Creative Commons Attribution (CC BY) license (https://creativecommons.org/licenses/by/4.0/).






