Grain Quality as Influenced by the Structural Properties of Weed Communities in Mediterranean Wheat Crops
Abstract
1. Introduction
2. Materials and Methods
2.1. Field Data Collection and Laboratory Analyses
2.2. Weed Community Structure Measures
2.3. Statistical Analyses
2.3.1. Community Composition Measures
2.3.2. Protein Concentration and Glutenin to Gliadin Ratio in Relation to Crop Yield and Growing Conditions
2.3.3. Protein Concentration and Glutenin to Gliadin Ratio in Relation to Weed Community Structure and Growing Conditions
3. Results
3.1. Protein Concentration and Glutenin to Gliadin Ratio in Relation to Crop Yield and Growing Conditions
3.2. Crop Grain Quality in Relation to Weed Community Structure
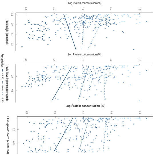
3.3. Crop Protein Concentration in Relation to Weed Community Structure Considering Growing Conditions
3.4. Glutenin to Gliadin Ratio in Relation to Weed Community Structure Considering Growing Conditions
3.5. Relationships among Weed Community Structure Measures and Their Dependence on Environmental Factors
4. Discussion
4.1. The Role of Growing Conditions, Wheat Varieties, and Yields on Wheat Grain Quality
4.2. Wheat Grain Quality and Weed Communities
5. Conclusions
Supplementary Materials
Author Contributions
Funding
Data Availability Statement
Acknowledgments
Conflicts of Interest
References
- Shewry, P.R. Wheat. J. Exp. Bot. 2009, 60, 1537–1553. [Google Scholar] [CrossRef]
- Ozuna, C.V.; Barro, F. Characterization of gluten proteins and celiac disease-related immunogenic epitopes in the Triticeae: Cereal domestication and breeding contributed to decrease the content of gliadins and gluten. Mol. Breed. 2018, 38, 22. [Google Scholar] [CrossRef]
- Kamran, A.; Kubota, H.; Yang, R.-C.; Randhawa, H.S.; Spaner, D. Relative performance of Canadian spring wheat cultivars under organic and conventional field conditions. Euphytica 2014, 196, 13–24. [Google Scholar] [CrossRef]
- Barraclough, P.B.; Lopez-Bellido, R.; Hawkesford, M.J. Genotypic variation in the uptake, partitioning and remobilisation of nitrogen during grain-filling in wheat. Field Crops Res. 2014, 156, 242–248. [Google Scholar] [CrossRef] [PubMed]
- Le Bail, M.; Meynard, J.-M. Yield and protein concentration of spring malting barley: The effects of cropping systems in the Paris Basin (France). Agronomie 2003, 23, 13–27. [Google Scholar] [CrossRef]
- García-Molina, M.D.; Barro, F. Characterization of Changes in Gluten Proteins in Low-Gliadin Transgenic Wheat Lines in Response to Application of Different Nitrogen Regimes. Front. Plant Sci. 2017, 8, 257. [Google Scholar] [CrossRef] [PubMed]
- Garrido-Lestache, E.; López-Bellido, R.J.; López-Bellido, L. Durum wheat quality under Mediterranean conditions as affected by N rate, timing and splitting, N form and S fertilization. Eur. J. Agron. 2005, 23, 265–278. [Google Scholar] [CrossRef]
- Anderson, W.; Shackley, B.; Sawkins, D. Grain yield and quality: Does there have to be a trade-off? Euphytica 1998, 100, 183–188. [Google Scholar] [CrossRef]
- Kolb, L.N.; Gallandt, E.R.; Mallory, E.B. Impact of Spring Wheat Planting Density, Row Spacing, and Mechanical Weed Control on Yield, Grain Protein, and Economic Return in Maine. Weed Sci. 2012, 60, 244–253. [Google Scholar] [CrossRef]
- Kubota, H.; Quideau, S.A.; Hucl, P.J.; Spaner, D.M. The effect of weeds on soil arbuscular mycorrhizal fungi and agronomic traits in spring wheat (Triticum aestivum L.) under organic management in Canada. Can. J. Plant Sci. 2015, 95, 615–627. [Google Scholar] [CrossRef]
- Casagrande, M.; David, C.; Valantin-Morison, M.; Makowski, D.; Jeuffroy, M.-H. Factors limiting the grain protein content of organic winter wheat in south-eastern France: A mixed-model approach. Agron. Sustain. Dev. 2009, 29, 565–574. [Google Scholar] [CrossRef]
- Mason, M.; Madin, R. Effect of weeds and nitrogen fertiliser on yield and grain protein concentration of wheat. Aust. J. Exp. Agric. 1996, 36, 443–450. [Google Scholar] [CrossRef]
- Gonzalez-Andujar, J.L.; Aguilera, M.J.; Davis, A.S.; Navarrete, L. Disentangling weed diversity and weather impact on long-term crop productivity in a wheat-legume rotation rotation. Field Crops Res. 2019, 232, 24–29. [Google Scholar] [CrossRef]
- Adeux, G.; Vieren, E.; Carlesi, S.; Bàrberi, P.; Munier-Jolain, N.; Cordeau, S. Mitigating crop yield losses through weed diversity. Nat. Sustain. 2019, 2, 1018–1026. [Google Scholar] [CrossRef]
- Storkey, J.; Neve, P.; Storkey, J.; Neve, P. What good is weed diversity? Weed Res. 2018, 58, 239–243. [Google Scholar] [CrossRef]
- Cierjacks, A.; Pommeranz, M.; Schulz, K.; Almeida-Cortez, J. Is crop yield related to weed species diversity and biomass in coconut and banana fields of northeastern Brazil? Agric. Ecosyst. Environ. 2016, 220, 175–183. [Google Scholar] [CrossRef]
- Gibson, D.J.; Millar, K.; Delong, M.; Connolly, J.; Kirwan, L.; Wood, A.J.; Young, B.G. The weed community affects yield and quality of soybean (Glycine max (L.) Merr.). J. Sci. Food Agric. 2008, 88, 371–381. [Google Scholar] [CrossRef]
- Roscher, C.; Temperton, V.M.; Scherer-Lorenzen, M.; Schmitz, M.; Schumacher, J.; Schmid, B.; Buchmann, N.; Weisser, W.W.; Schulze, E.-D. Overyielding in experimental grassland communities-irrespective of species pool or spatial scale. Ecol. Lett. 2005, 8, 419–429. [Google Scholar] [CrossRef]
- Navas, M.-L. Trait-based approaches to unravelling the assembly of weed communities and their impact on agro-ecosystem functioning. Weed Res. 2012, 52, 479–488. [Google Scholar] [CrossRef]
- Petit, S.; Fried, G. Patterns of weed co-occurrence at the field and landscape level. J. Veg. Sci. 2012, 23, 1137–1147. [Google Scholar] [CrossRef]
- Laliberté, E.; Legendre, P.; Shipley, B. FD: Measuring Functional Diversity from Multiple Traits, and Other Tools for Functional Ecology, R package version 1.0-12; R Foundation for Statistical Computing: Vienna, Austria, 2014.
- R Core Team. R: A Language and Environment for Statistical Computing; R Foundation for Statistical Computing: Vienna, Austria, 2015. [Google Scholar]
- Oksanen, J.; Blanchet, F.G.; Friendly, M.; Kindt, R.; Legendre, P.; McGlinn, D.; Minchin, P.; O‘Hara, R.; Simpson, G.; Solymos, P.; et al. Vegan: Community Ecology Package, R package version 2.4-6; R Foundation for Statistical Computing: Vienna, Austria, 2018.
- Bates, D.; Mächler, M.; Bolker, B.; Walker, S. Fitting Linear Mixed-Effects Models Using lme4. J. Stat. Softw. 2015, 67, 48. [Google Scholar] [CrossRef]
- Bartoń, K. MuMIn: Multi-Model Inference, R package version 1.15.6; R Foundation for Statistical Computing: Vienna, Austria, 2016.
- Long, J.A. jtools: Analysis and Presentation of Social Scientific Data, R package version 0.9.3; R Foundation for Statistical Computing: Vienna, Austria, 2017.
- Legendre, P.; Gallagher, E.D. Ecologically meaningful transformations for ordination of species data. Oecologia 2001, 129, 271–280. [Google Scholar] [CrossRef] [PubMed]
- Nakagawa, S.; Schielzeth, H. A general and simple method for obtaining R2 from generalized linear mixed-effects models. Methods Ecol. Evol. 2013, 4, 133–142. [Google Scholar] [CrossRef]
- Alarcón, R.; Hernández-Plaza, E.; Navarrete, L.; Sánchez, M.; Escudero, A.; Hernanz, J.; Sánchez, A. Effects of no-tillage and non-inversion tillage on weed community diversity and crop yield over nine years in a Mediterranean cereal-legume cropland. Soil Tillage Res. 2018, 179, 54–62. [Google Scholar] [CrossRef]
- Cleland, E.E.; Harpole, W.S. Nitrogen enrichment and plant communities. Ann. N. Y. Acad. Sci. 2010, 1195, 46–61. [Google Scholar] [CrossRef] [PubMed]
- Blaix, C.; Moonen, A.C.; Dostatny, D.F.; Izquierdo, J.; Le Corff, J.; Morrison, J.; von Redwitz, C.; Schumacher, M.; Westerman, P.R. Quantification of regulating ecosystem services provided by weeds in annual cropping systems using a systematic map approach. Weed Res. 2018, 58, 151–164. [Google Scholar] [CrossRef]
- Rollin, O.; Benelli, G.; Benvenuti, S.; Decourtye, A.; Wratten, S.D.; Canale, A.; Desneux, N. Weed-insect pollinator networks as bio-indicators of ecological sustainability in agriculture. A review. Agron. Sustain. Dev. 2016, 36, 8. [Google Scholar] [CrossRef]
- Gunton, R.M.; Petit, S.; Gaba, S. Functional traits relating arable weed communities to crop characteristics. J. Veg. Sci. 2011, 22, 541–550. [Google Scholar] [CrossRef]
- Schwartz, L.M.; Gibson, D.J.; Young, B.G. Do plant traits predict the competitive abilities of closely related species? AoB Plants 2016, 8, plv147. [Google Scholar] [CrossRef]
- Storkey, J.; Meyer, S.; Still, K.S.; Leuschner, C. The impact of agricultural intensification and land-use change on the European arable flora. Proc. R. Soc. B 2012, 279, 1421–1429. [Google Scholar] [CrossRef]
- Hernandez Plaza, E.; González-Andujar, J.L.; Storkey, J. Soil nitrogen and resource ratios determine weed diversity and competition. in preparation.
- Sutton-Grier, A.E.; Wright, J.P.; McGill, B.M.; Richardson, C. Environmental conditions influence the plant functional diversity effect on potential denitrification. PLoS ONE 2011, 6, e16584. [Google Scholar] [CrossRef] [PubMed]
- MacLaren, C.; Storkey, J.; Menegat, A.; Metcalfe, H.; Dehnen-Schmutz, K. An ecological future for weed science to sustain crop productionand the environment. A review. Agron. Sust. Dev. 2020, 40, 24. [Google Scholar] [CrossRef]
- Zander, P.; Amjath-Babu, T.S.; Preissel, S.; Reckling, M.; Bues, A.; Schläfke, N.; Kuhlman, T.; Bachinger, J.; Uthes, S.; Stoddard, F.; et al. Grain legume decline and potential recovery in European agriculture: A review. Agron. Sustain. Dev. 2016, 36, 26. [Google Scholar] [CrossRef]
- Kiær, L.P.; Skovgaard, I.M.; Østergård, H. Grain yield increase in cereal variety mixtures: A meta-analysis of field trials. Field Crops Res. 2009, 114, 361–373. [Google Scholar] [CrossRef]
- Gibson, D.J.; Young, B.G.; Wood, A.J. Can weeds enhance profitability? Integrating ecological concepts to address crop-weed competition and yield quality. J. Ecol. 2017, 105, 900–904. [Google Scholar] [CrossRef]
- McGill, B.J.; Etienne, R.S.; Gray, J.S.; Alonso, D.; Anderson, M.J.; Benecha, H.K.; Dornelas, M.; Enquist, B.J.; Green, J.L.; He, F.; et al. Species abundance distributions: Moving beyond single prediction theories to integration within an ecological framework. Ecol. Lett. 2007, 10, 995–1015. [Google Scholar] [CrossRef]
- Bardgett, R.D.; Gibson, D.J. Plant ecological solutions to global food security. J. Ecol. 2017, 105, 859–864. [Google Scholar] [CrossRef]
- Pistón, F.; Gil-Humanes, J.; Rodríguez-Quijano, M.; Barro, F. Down-regulating γ-Gliadins in bread wheat leads to non-specific increases in other gluten proteins and has no major effect on dough gluten strength. PLoS ONE 2011, 6, 1–10. [Google Scholar] [CrossRef]
- Wieser, H.; Antes, S.; Seilmeier, W. Quantitative determination of gluten protein types in wheat flour by reversed-phase high-performance liquid chromatography. Cereal Chem. 1998, 75, 644–650. [Google Scholar] [CrossRef]
- Dinno, A. paran: Horn’s Test of Principal Components/Factors, R package version 1.5.2; R Foundation for Statistical Computing: Vienna, Austria, 2018.
- Horn, J.L. A rationale and a test for the number of factors in factor analysis. Psychometrika 1965, 30, 179–185. [Google Scholar] [CrossRef]
- Baumann, G. How to Assess Rangeland Condition in Semiarid Ecosystems? The Indicative Value of Vegetation in the High Atlas Mountains, Morocco. Ph.D. Thesis, Universität zu Köln, Cologne, Germany, 2009. [Google Scholar]
- Blanca, G.; Cabezudo, B.; Cueto, M.; Morales Torres, C.; Salazar, C. Flora Vascular de Andalucía Oriental, 2nd ed.; Universidades de Almería: Jaén y Málaga, Granada, 2011. [Google Scholar]
- Castroviejo, S. (Ed.) 1986–2012. Flora Ibérica 1-8, 10-15, 17-18, 21. Real Jardín Botánico, CSIC, Madrid. Available online: http://www.floraiberica.es/miscelania/aviso_legal.php (accessed on 14 September 2022).
- Ferrerira de Castro, H.I. Effects of Land Use Change on Plant Composition and Ecosystem Functioning in An Extensive Agro-pastoral System: Plant Functional Traits and Ecosystems Processes. Ph.D. Thesis, Universidade de Coimbra, Coimbra, Portugal, 2008. [Google Scholar]
- Guerrero, I. Efectos de la intensificación agraria sobre la biodiversidad en agro-ecosistemas europeos. Ph.D. Thesis, Universidad Autónoma de Madrid, Madrid, Spain, 2013. [Google Scholar]
- Haraguchi, A.; Li, B.O.; Hara, T. Variation and plasticity of photosynthesis and respiration in local populations of fat-hen. Plant Species Biol. 2009, 189–201. [Google Scholar] [CrossRef]
- Hazelton, A.F. How Will Hydrologic Change Alter Riparian Plant Communities of the Arid and Semiarid Southwest? The Problem Approached from Two Perspectives. Master’s Thesis, Arizona State University, Tempe, AZ, USA, 2011. [Google Scholar]
- Kattge, J.; Díaz, S.; LavorelL, S.; Prentice, I.C.; Leadley, P.; Bönisch, G.; Garnier, E.; Westoby, M.; Reich, P.B.; Wright, I.J.; et al. TRY— A global database of plant traits. Glob. Chang. Biol. 2011, 17, 2905–2935. [Google Scholar] [CrossRef]
- Kleyer, M.; Bekker, R.M.; Knevel, I.C.; Bakker, J.P.; Thompson, K.; Sonnenschein, M.; Poschlod, P.; Van Groenendael, J.M.; Klimeš, L.; Klimešová, J.; et al. The LEDA Traitbase: A database of life-history traits of the Northwest European flora. J. Ecol. 2008, 96, 1266–1274. [Google Scholar] [CrossRef]
- Marañón, T.; Grubb, P.J. Physiological basis and ecological significance of the seed size and relative growth rate. Funct. Ecol. 1993, 7, 591–599. [Google Scholar] [CrossRef]
- May, F. Spatial Models of Plant Diversity and Plant Functional Traits: Towards a Better Understanding of Plant Community Dynamics in Fragmented Landscapes. Ph.D. Thesis, Universität Postdam, Potsdam, Germany, 2013. [Google Scholar]
- Moroney, J.R.; Rundel, P.W.; Sork, V.L. Phenotypic plasticity and differentiation in fitness related traits in invasive populations of the mediterranean forb Centaurea melitensis (Asteraceae). Am. J. Bot. 2013, 100, 2040–2051. [Google Scholar] [CrossRef]
- Pugnaire, F.I.; Haase, P.; Puigdefábregas, J.; Cueto, M.; Clark, S.C.; Incoll, L.D. Facilitation and succession under the canopy of a leguminous shrub, Retama sphaerocarpa, in a semi-arid environment in south-east Spain. Oikos 1996, 76, 455–464. [Google Scholar] [CrossRef]
- Raevel, V.; Violle, C.; Munoz, F. Mechanisms of ecological succession: Insights from plant functional strategies. Oikos 2012, 121, 1761–1770. [Google Scholar] [CrossRef]
- Saatkamp, A. Population Dynamics and Functional Traits of Annual Plants—A Comparative Study on How Rare and Common Arable Weeds Persist in Agroecosystems. Ph.D. Thesis, Université Paul Cézanne Aix-Marseille III: Marseille, France; Universität Regensburg: Regensburg, Germany, 2009. [Google Scholar]
- Salehian, H.; Eshaghi, O. Growth analysis some weed species. Int. J. Agric. Crop Sci. 2012, 730–734, Seed Information Database (SID), 2017. Royal Botanic Gardens Kew. [Google Scholar]
- Singh, V.; Singh, H.; Raghubanshi, A.S. Competitive interactions of wheat with Phalaris minor or Rumex dentatus: A replacement series study. Int. J. Pest Manag. 2013, 59, 37–41. [Google Scholar] [CrossRef]
- Valdés, B.; Talavera, S.; Fernández-Galiano, E. Flora Vascular de Andalucía Occidental; Ketres Editora S.A.: Barcelona, Spain, 1987. [Google Scholar]
- Wardle, D.A.; Barker, G.M.; Bonner, K.I. Can comparative approaches based on plant ecophysiological traits predict the nature of biotic interactions and individual plant species effects in ecosystems? J. Ecol. 1998, 86, 405–420. [Google Scholar] [CrossRef]
- Zhang, F.Z.; Wagstaff, C.; Rae, A.M.; Sihota, A.K.; Keevil, C.W.; Rothwell, S.D.; Clarkson, G.J.J.; Michelmore, R.W.; Truco, M.J.; Dixon, M.S.; et al. QTLs for shelf life in lettuce co-locate with those for leaf biophysical properties but not with those for leaf developmental traits. J. Exp. Bot. 2007, 58, 1433–1449. [Google Scholar] [CrossRef] [PubMed]

| Field Name | Location | % Grain protein concentration | Glutenin/Gliadin | Grain weight (g/m2) | Weed Biovolume (cm3) | S | Organic | Wheat Species | Crop variety | kg N/ha | Preceding Crop | Precipitation (mm) |
|---|---|---|---|---|---|---|---|---|---|---|---|---|
| AGAPA1 | Palma del Río, Córdoba | 12.75 | 0.504 | 456.45 | 10791 | 10 | no | T. aestivum | Artur Nick | 134 | Fallow | 350.8 |
| AGAPA2 | Palma del Río, Córdoba | 11.2 | 0.52 | 295.65 | 5246.7 | 11 | no | T. turgidum | Prospero | 134 | Leguminous | 350.8 |
| CANDÓN1 | Candón (Beas), Huelva | 9.07 | 0.739 | 222.29 | 10010.2 | 15 | yes | T. turgidum | Avispa | 1.5 | Sunflower | 406.1 |
| CANDÓN2 | Candón (Beas), Huelva | 8.66 | 0.979 | 272.7 | 16013.5 | 16 | yes | T. turgidum | Avispa | 1.5 | Sunflower | 406.1 |
| CANDÓN3 | Candón (Beas), Huelva | 8.6 | 0.956 | 227.15 | 6933.8 | 13 | yes | T. turgidum | Avispa | 1.5 | Sunflower | 406.1 |
| CANDÓN4 | Candón (Beas), Huelva | 8.75 | 0.823 | 194.65 | 13442.8 | 18 | yes | T. turgidum | Avispa | 1.5 | Sunflower | 406.1 |
| COLLSUSPINA | Colluspina, Barcelona | 10.79 | 0.729 | 136.38 | 201165 | 6 | no | T. aestivum | Nogal | 129 | Winter cereal | 233.7 |
| ENCIN1 | Alcalá de Henares, Madrid | 13.66 | 0.74 | 142.62 | 524.8 | 3 | no | T. aestivum | Ovalo | 49 | Winter cereal | 233.2 |
| ENCIN3 | Alcalá de Henares, Madrid | 18.82 | 0.435 | 128.03 | 6693.9 | 4 | no | T. aestivum | Ovalo | 40 | Leguminous | 233.2 |
| ESCACENA | Escacena del Campo, Huelva | 14.57 | 0.536 | 547.43 | 215271.6 | 9 | no | T. aestivum | Tejada | 132 | Sunflower | 360.9 |
| HIGUERUELA1 | Santa Olalla, Toledo | 11.75 | 0.538 | 139.38 | 25233.8 | 12 | yes | T. aestivum | Pane247 | 0 | Leguminous | 295.8 |
| HIGUERUELA2 | Santa Olalla, Toledo | 13.07 | 0.447 | 115.97 | 171521.5 | 9 | no | T. aestivum | Pane247 | 52 | Winter cereal | 295.8 |
| HIGUERUELA3 | Santa Olalla, Toledo | 12.89 | 0.689 | 83.13 | 51637.06 | 7 | no | T. aestivum | Pane247 | 52 | Leguminous | 295.8 |
| HIGUERUELA5 | Santa Olalla, Toledo | 12.95 | 0.699 | 455.41 | 6715.8 | 9 | no | T. aestivum | Botticeli | 103 | Winter cereal | 295.8 |
| IAS | Córdoba | 15.15 | 0.431 | 252.81 | 230434.8 | 13 | yes | T. turgidum | Simeto | 147 | Leguminous | 399 |
| MANZANILLA1 | Manzanilla, Huelva | 15.68 | 0.564 | 211.94 | 231736.6 | 8 | no | T. aestivum | Tejada | 163 | Sunflower | 404.4 |
| MANZANILLA2 | Manzanilla, Huelva | 14.01 | 0.57 | 400.05 | 36690 | 7 | no | T. aestivum | Tejada | 163 | Sunflower | 404.4 |
| MOIA1 | Moià, Barcelona | 17.3 | 0.59 | 460.23 | 426211.1 | 3 | no | T. aestivum | Soissons | 129 | Winter cereal | 233.7 |
| MONCLOVA1 | Fuentes de Andalucía, Sevilla | 10.59 | 0.58 | 267.58 | 4739.4 | 10 | no | T. aestivum | Palesio | 133 | Sunflower | 365.4 |
| MONCLOVA2 | Fuentes de Andalucía, Sevilla | 13.66 | 0.653 | 298.64 | 2581.935 | 8 | no | T. turgidum | Amilcar | 129 | Sunflower | 365.4 |
| MORÓN1 | Morón de la Frontera, Sevilla | 9.93 | 0.357 | 214.96 | 93310.3 | 19 | yes | T. aestivum | Aragon03 | 0.2 | Leguminous | 314 |
| MORÓN2 | Morón de la Frontera, Sevilla | 10.36 | 0.442 | 161.28 | 32331.3 | 19 | yes | T. aestivum | Aragon03 | 0.2 | Leguminous | 314 |
| PRADERA | Alcalá de Henares, Madrid | 16.23 | 0.468 | 196.21 | 56557.6 | 10 | yes | T. aestivum | Marius | 0 | Fallow | 233.2 |
| PRATS1 | Prats de Lluçanés, Barcelona | 12.93 | 0.854 | 480.39 | 358623 | 10 | yes | T. aestivum | Soissons | 100 | Sunflower | 350.3 |
| PRATS2 | Prats de Lluçanés, Barcelona | 12.73 | 0.766 | 368.86 | 437615 | 7 | no | T. aestivum | Soissons | 100 | Winter cereal | 350.3 |
| TOMEJIL | Alcalá del Río, Sevilla | 15.04 | 0.641 | 422.9 | 49797.1 | 8 | yes | T. aestivum | Conil | 27 | Leguminous | 313.2 |
| Intercept | Weed Community Measure | R2 | R2 | ||||
|---|---|---|---|---|---|---|---|
| Estimate | C.I | Estimate | C.I | Marginal | Conditional | p Value | |
| S | 1.13 | 1.10, 1.18 | −0.003 | −0.005, −0.0007 | 0.025 | 0.81 | 0.02 |
| CWM seed mass | 1.10 | 1.05, 1.14 | 0.001 | 0.0002, 0.002 | 0.01 | 0.84 | 0.01 |
| CWM growth form | 1.08 | 1.03, 1.13 | 0.035 | 0.0003, 0.07 | 0.01 | 0.82 | 0.05 |
| PCA1 | 1.10 | 1.10, 1.20 | −0.12 | −0.23, −0.01 | 0.01 | 0.84 | 0.02 |
| PCA3 | 1.10 | 1.10, 1.10 | 0.33 | 0.14, 0.52 | 0.05 | 0.83 | <0.001 |
| (A) | ||||||
| M1: Management and Climatic Factors + Weed Composition (PCA Axes) | ||||||
| CWM Height | CWM Seed Mass | |||||
| Estimate | C.I. | Estimate | C.I. | Estimate | C.I. | |
| Intercept | 1.1 | 1.06, 1.15 | 1.1 | 1.06, 1.16 | 1.1 | 1.06, 1.15 |
| CWM index | 0.0004 | 1.10−4, 6.10−4 | 0.0003 | −4.10−4, 1.10−3 | ||
| Fertilization | 0.001 | 7.10−5, 1.10−3 | 0.001 | 1.10−4, 2.10−3 | 0.001 | 1.10−4, 1.10−3 |
| Precipitation | −0.001 | −2.10−3, −5.10−4 | −0.001 | −2.10−3, −5.10−4 | −0.001 | −2.10−3, −5.10−4 |
| Preceding crop | −0.04 | −0.1, 0.01 | −0.05 | −0.1, 0.01 | −0.05 | −0.1, 0.01 |
| PCA1 | −0.17 | −0.3, −0.06 | −0.21 | −0.3, −0.1 | −0.14 | −0.3, −0.04 |
| PCA3 | 0.23 | 0.03, 0.4 | 0.23 | 0.03, 0.4 | 0.19 | −0.02, 0.4 |
| PCA5 | 0.33 | 0.1, 0.6 | 0.28 | 0.05, 0.5 | 0.3 | 0.06, 0.5 |
| CWM index × Precipitation | ||||||
| CWM index × Fertilization | 2.10−5 | 4.10−6, 3.10−5 | ||||
| CWM index × Preceding crop | ||||||
| R2 marginal | 0.47 | 0.48 | 0.48 | |||
| R2 conditional | 0.9 | 0.9 | 0.9 | |||
| (B) | ||||||
| FDis Height | FDis Growth Form | FDis Flowering Start | ||||
| Estimate | C.I. | Estimate | C.I. | Estimate | C.I. | |
| Intercept | 1.1 | 1.06, 1.15 | 1.1 | 1.06, 1.15 | 1.1 | 1.06, 1.15 |
| FDis index | −0.03 | −0.14, 0.07 | −0.03 | −0.06, −0.007 | −0.03 | −0.06, −0.007 |
| Fertilization | 0.001 | 1.10−4, 1.10−3 | 0.001 | 6.10−5, 1.10−3 | 0.001 | 1.10−4, 1.10−3 |
| Precipitation | −0.001 | −2.10−3, −4.10−4 | −0.001 | −2.10−3, −5.10−4 | −0.001 | −2.10−3, −6.10−4 |
| Preceding crop | −0.04 | −0.1, 0.01 | −0.04 | −0.1, 0.02 | −0.04 | −0.1, 0.01 |
| PCA1 | −0.14 | −0.2, −0.04 | −0.18 | −0.3, −0.07 | −0.17 | −0.3, −0.07 |
| PCA3 | 0.27 | 0.07, 0.5 | 0.25 | 0.05, 0.4 | 0.22 | 0.02, 0.4 |
| PCA5 | 0.33 | 0.1, 0.6 | 0.36 | 0.1, 0.6 | 0.34 | 0.1, 0.6 |
| FDis index × Precipitation | 0.003 | 7.10−4, 4.10−3 | −0.0004 | −7.10−4, −7.10−5 | −0.0005 | −9.10−4, −6.10−5 |
| FDis index × Fertilization | ||||||
| FDis index × Preceding crop | 0.04 | 0.005, 0.07 | ||||
| R2 marginal | 0.47 | 0.49 | 0.49 | |||
| R2 conditional | 0.89 | 0.91 | 0.9 | |||
| M1: Management and Climatic Factors + Weed Composition (PCA Axes) | ||||
|---|---|---|---|---|
| Weed Composition (PCA Axes) | FDis Growth Form | |||
| Estimate | C.I. | Estimate | C.I. | |
| Intercept | 0.48 | 0.39, 0.56 | 0.48 | 0.39, 0.56 |
| Weed community metric | 0.05 | −0.003, 0.09 | ||
| Fertilization | −0.001 | −0.002, −0.0002 | −0.001 | −0.002, −0.0001 |
| Preceding crop | 0.21 | 0.09, 0.35 | 0.21 | −0.1, 0.02 |
| PCA3 | 0.62 | 0.05, 1.2 | 0.66 | 0.08, 1.2 |
| WCM × Fertilization | −0.0008 | −0.002, −5.10−5 | ||
| R2 marginal | 0.22 | 0.25 | ||
| R2 conditional | 0.6 | 0.61 | ||
Disclaimer/Publisher’s Note: The statements, opinions and data contained in all publications are solely those of the individual author(s) and contributor(s) and not of MDPI and/or the editor(s). MDPI and/or the editor(s) disclaim responsibility for any injury to people or property resulting from any ideas, methods, instructions or products referred to in the content. |
© 2022 by the authors. Licensee MDPI, Basel, Switzerland. This article is an open access article distributed under the terms and conditions of the Creative Commons Attribution (CC BY) license (https://creativecommons.org/licenses/by/4.0/).
Share and Cite
Hernández Plaza, E.; Bastida, F.; Gibson, D.J.; Barro, F.; Giménez, M.J.; Pallavicini, Y.; Izquierdo, J.; González-Andújar, J.L. Grain Quality as Influenced by the Structural Properties of Weed Communities in Mediterranean Wheat Crops. Agronomy 2023, 13, 49. https://doi.org/10.3390/agronomy13010049
Hernández Plaza E, Bastida F, Gibson DJ, Barro F, Giménez MJ, Pallavicini Y, Izquierdo J, González-Andújar JL. Grain Quality as Influenced by the Structural Properties of Weed Communities in Mediterranean Wheat Crops. Agronomy. 2023; 13(1):49. https://doi.org/10.3390/agronomy13010049
Chicago/Turabian StyleHernández Plaza, Eva, Fernando Bastida, David J. Gibson, Francisco Barro, María J. Giménez, Yesica Pallavicini, Jordi Izquierdo, and José L. González-Andújar. 2023. "Grain Quality as Influenced by the Structural Properties of Weed Communities in Mediterranean Wheat Crops" Agronomy 13, no. 1: 49. https://doi.org/10.3390/agronomy13010049
APA StyleHernández Plaza, E., Bastida, F., Gibson, D. J., Barro, F., Giménez, M. J., Pallavicini, Y., Izquierdo, J., & González-Andújar, J. L. (2023). Grain Quality as Influenced by the Structural Properties of Weed Communities in Mediterranean Wheat Crops. Agronomy, 13(1), 49. https://doi.org/10.3390/agronomy13010049

