Next Article in Journal
Influence of Sowing Date of Winter Cereals on the Efficacy of Cinmethylin on Alopecurus myosuroides (Huds.)
Previous Article in Journal
Optimizing Water and Nitrogen Management for Green Pepper (Capsicum annuum L.) under Drip Irrigation in Sub-Tropical Monsoon Climate Regions
 
 
Font Type:
Arial Georgia Verdana
Font Size:
Aa Aa Aa
Line Spacing:
Column Width:
Background:
Article

Effects of Salinity Stress on Drip-Irrigated Tomatoes Grown under Mediterranean-Type Greenhouse Conditions

1
Greenhouse Production Program, Kumluca Vocational School, Akdeniz University, Antalya 07070, Turkey
2
Department of Agricultural Structures and Irrigation, Faculty of Agriculture, Akdeniz University, Antalya 07070, Turkey
3
Research Centre for Vegetable and Ornamental Crops, Council for Agricultural Research and Economics (CREA), 84098 Pontecagnano, SA, Italy
*
Author to whom correspondence should be addressed.
Agronomy 2023, 13(1), 36; https://doi.org/10.3390/agronomy13010036
Submission received: 1 December 2022 / Revised: 14 December 2022 / Accepted: 16 December 2022 / Published: 22 December 2022
(This article belongs to the Topic Plant Responses and Tolerance to Salinity Stress)

Abstract

Plant tolerance to salinity stress is vital for irrigation scheduling, decision-making, planning and operation, and water resource management. This study is aimed to investigate the effects of irrigation water salinity on water use, growth, physiology, and yield parameters of drip-irrigated tomatoes in two different growing seasons. In addition to control (0.7 dS m−1), three irrigation water salinity levels: 2.5 (low), 5.0 (moderate), and 7.5 (high) dS m−1 were used. In both seasons, autumn 2021 and spring 2022, increased water salinities caused an increase in soil salinity, while a decrease in seasonal crop evapotranspiration. Plant heights did not show significant differences under different salinity levels in autumn 2021, while a meaningful difference among treatments was found in spring 2022. Marketable and total tomato yields, and the leaf area index showed significant decreases under increased salinities in both seasons. Stomatal conductance was not affected by salinity levels. The salt tolerance models for marketable and total fruit yields showed a low threshold and slope value in autumn 2021, contrasting with a high threshold and slope value determined in spring 2022. The results suggest that the salinity slope value should be considered, as well as the salinity threshold value, for decision making in tomato production at different growing seasons.

1. Introduction

Soil and/or irrigation water salinity has been considered the most important abiotic factor limiting the distribution of plants in certain natural habitats and constituting an increasingly severe agricultural problem in wide areas of the world. The situation has worsened over the last 20 years due to the increase in irrigation requirements in arid and semi-arid regions such as those found in the Mediterranean area [1]. It is estimated that about 20% of the total cultivated and 33% of irrigated agricultural lands are affected by high salinity in the world [2]. Furthermore, the salinized areas are increasing at a rate of 10% annually for reasons such as low precipitation, high surface evaporation, weathering of native rocks, irrigation with saline waters, and poor cultural practices [3,4]. About 1100 million ha of land are affected by salt worldwide, and about 1.5 million ha of land are becoming unusable for agricultural production due to high salinity levels reached every year [5]. Increased salinization of arable land is expected to have devastating global effects, resulting in 50% land loss by the year 2050 [3,6].
The semiarid regions of the world, such as the Mediterranean areas, suffer from a scarcity of good-quality water. This encourages the use of saline water from aquifers for irrigation, which contain excessive concentrations of soluble salts, mainly chlorides (3–6 dS m−1) [7]. Thus, clarifying the mechanisms of plant responses to salt stress and providing solutions for improving crop acclimation to abiotic stresses are critical to meet the increasing food demand across sustainable agriculture when saline water is increasingly used for irrigation, especially in arid and semiarid areas of the world [8,9]. High concentrations of salts cause water deficit, ion imbalance, ion toxicity, or a combination of any of these adverse factors [10,11]. These processes lead to disorder in plant cells, cellular functions, photosynthesis, and respiration [12]. Accurate scheduling of irrigation, essential for maximizing crop production, requires a good knowledge of the crop response to soil water situation [13] and salinity tolerance of the crop [14]. Soil salinity response and tolerance of plants vary widely among crop species and varieties and also depends on the plant growth stage (i.e., germination, vegetative growth, or reproductive growth). In fact, the salt tolerance of a plant is not an exact value but depends upon many factors, such as salt type, climate, soil conditions, and plant age [15]. Although salinity threshold and slope values of more than 130 crop species have been determined under experimental conditions, there is an obvious need for research, since little or no useful information exists on crop salt tolerance for a great number of species [16].
Tomato (Solanum lycopersicum) is a widely distributed annual vegetable in the world. The tomato crop is adapted to a wide variety of climates ranging from the tropics to within a few degrees of the Arctic Circle. However, despite its broad adaptation, production is concentrated in a few warm and rather dry areas. It is an important greenhouse crop in semi-arid regions of Mediterranean countries. In these regions, soil and groundwater salinity are insidious problems that affect both tomato yield and quality [17]. Owing to its high cash value, the tomato has a better potential for increased profitability with drip irrigation. Tomato is considered moderately tolerant to salinity, which could result in reduced crop yields in salt-affected soil [18]. Several studies have investigated the effect of soil salinity on drip-irrigated tomatoes. In a study conducted under drip irrigation, the results showed a yield reduction of about 10–12% for irrigation water with a salinity of 4.5 dS m−1 compared to the 1.2 dS m−1 irrigation water, while yields under 7.5 dS m−1 water salinity were reduced about 60% [19]. However, little difference was found between relative yield versus soil salinity for their data and that of the salinity tolerance data [20] for furrow-irrigated tomatoes.
In Antalya, Turkey, the greenhouse cultivation is very important for the regional economy and the food supply of the country. In Turkey, the protected agriculture area has increased by 78% over the last 15 years, reaching an area of 85 thousand ha. About 99% of the greenhouse area is in the Aegean and Mediterranean coasts, and 39% of it is in the province of Antalya. Tomato (45%), pepper (16%), cucumber (9%), eggplant (4%), and other vegetables, fruit and ornamental plants (26%) are cultivated in Antalya greenhouse areas [21]. In Turkey’s Aegean region, irrigation water supplied from groundwater and rivers are 39 and 29% whereas these rates in the Mediterranean region are 27% and 38%, respectively [22]. It was reported that electrical conductivity (EC) values of groundwater used for irrigation purposes in greenhouses in Antalya, ranged from 0.85 to 4.1 dS m−1 in November (winter) and from 0.83 to 4.4 dS m−1 in June (summer) [23]. Similarly, it was reported that the soil and irrigation water quality in greenhouses in Demre, Antalya, was classified as moderate and highly saline [24]. Plant response to irrigation water salinity is critically important for irrigation scheduling, decision-making, planning and operation, and most critically, water resource management. Although there are numerous scientific studies regarding the response of different crops to salinity stress, no study is available in the literature about salinity response of drip-irrigated tomatoes at different growing seasons. Therefore, this study aimed to investigate the crop water consumption, crop height, yield components, leaf area and chlorophyll content indexes, stomatal conductance and salinity threshold, and slope values of drip-irrigated tomatoes grown under different water salinity levels in autumn and spring growing seasons in Mediterranean-type greenhouses.

2. Materials and Methods

2.1. Experimental Site

The experiment was carried out in a Mediterranean-type greenhouse with a lysimeter system of the Akdeniz University’s Agricultural Research and Implementation Area in Antalya, Turkey (36°53′15″ N, 30°38′53″ E, 31 m altitude above sea level), in two growing seasons: autumn 2021 and spring 2022. The greenhouse dimensions are 9.6 × 25 m oriented in a north-south direction with a gothic roof, 4 m gutter height, 6 m ridge height, naturally ventilated from the side and the roof, polyethylene-covered, unheated, steel, representing the common Mediterranean-type greenhouse in the region. Lysimeters inside the greenhouse have an inner dimension of 2.70 × 1.85 m and a depth of 0.8 m (top 60 cm soil and bottom 20 cm gravel).
The prevailing climate in this area is Mediterranean, with hot, dry summers and mild, wet winters. Long-term annual average temperature is 18.8 °C, with the lowest and highest average of 10.0 °C and 28.4 °C, respectively, recorded in January and July. The total annual precipitation is 1059 mm, 538 mm falling between January and April, 61 mm between May and September, and 460 mm between October and December [25]. Climatic parameters were continuously recorded at the site throughout the experiment by the sensors placed at the automatic meteorology station located in the middle of the greenhouse: such as temperature (T; °C) (PT100 1/3 Class B, Pessl Instruments, Weiz, Austria), relative humidity (RH; %) (Rotronic In-1, Pessl Instruments), pressure (P; bar) (MD514D, Pessl Instruments), wind speed (U; m s−1) (DS-2, Decagon sonic anemometer, Decagon Devices, Inc., Pullman, WA, USA), solar radiation (Rs; W m−2) (IM506D, Pessl Instruments), net radiation (Rn; W m−2) (CNR4, Kipp&Zonen, Delft, The Netherlands), were recorded by the sensors at the automatic meteorology station located in the middle of the greenhouse.

2.2. Experimental Design and Treatments

This study was carried out in two growing seasons autumn 2021 and spring 2022, following the agricultural production pattern of the region. The autumn 2021 and spring 2022 growing seasons were carried out between 7 September 2021–24 September 2022 and 25 February 2022–27 June 2022, respectively. In both growing seasons, the experiment was conducted as a randomized complete block design with three replications per treatment. There were four irrigation water salinity levels (S) with different electrical conductivities including: S0 = 0.7 dS m−1 (control), S1 = 2.5 dS m−1 (low), S2 = 5.0 dS m−1 (moderate), S3 = 7.5 dS m−1 (high). For all salinity treatments, the sodium adsorption ratio (SAR) was kept as close as possible to the SAR value of the tap water source to prevent the dominant effect of a particular ion, thus eliminating the effect of the SAR on the results and only examining the effects of the total salinity. To do this, calculated amounts of CaCl2, MgSO4, and NaCl salts were mixed to prepare the desired electrical conductivity values in the irrigation waters (ECw) for each treatment and ECw values of the treatments were checked in the laboratory [26,27].
The soil used was silty-clay-loam (51% silt, 28% clay, and 21% sand), with a field capacity and permanent wilting point of 31% and 14%, respectively, and a bulk density of 1.38 g cm−3. The soil water content was monitored with tensiometers. The tensiometers were installed in all plots on 6 September 2021 and 24 February 2022 in autumn 2021 and spring 2022, respectively. They were calibrated in lysimeter soils before use. The tensiometers were placed next to the lateral and 0.1 m away from the dripper (20 cm depth). Lysimeter plots were irrigated with a drip irrigation system. The laterals were arranged in such a way that every crop row had one lateral with pressure compensating-type drippers discharging of 2 L h−1 at a pressure of 0.1 MPa, and 0.2 m spacing. Irrigation applications were performed when tensiometer readings reached 20 cb, which corresponds to about 20% of the available water depletion at a profile depth of 0.6 m, by increasing the available water content to the field capacity. The amount of water volume applied was controlled using a water meter on the main pipeline and valves on each plot. The following equation was used to determine the amount of irrigation water applied to the lysimeter plots:
I = P V FC P V SM 100 × D s × A × P a
where I = amount of irrigation water (L), Pv(FC) = field capacity of the soil (cm3 cm−3), Pv(SM) = available water content in the soil (cm3 cm−3), Ds = soil depth (mm), A = parcel area (m2), and Pa = wetted area percentage (%).
As the plant material of tomato, OZKAN F1, which is widely grown in the province of Antalya and suitable for both spring and autumn planting, was used in the experiment. Tomato seedlings were transplanted on plots at 0.6 × 0.5 m intervals. Tomato plants were grown on a single stem, which reached 0.4 m in height, they were supported by a string and the new side shoots were taken at regular intervals. After the eight cluster, the shoot of apices was removed from the plant. When the tomato clusters began to mature, the leaves were removed so that the leaves under the harvested fruit were pruned. Leaf pruning was performed on 18 October 2021, 20 November 2021, and 20 December 2021 in autumn 2021 and, on 9 May 2022 and 6 June 2022 in the spring2022 growing season. To protect the plants from sun damage and to reduce the temperature in the greenhouse, shadow powder consisting of calcium carbonate was applied on 22 April 2022 and 28 April 2022 in spring 2022 by spraying on the greenhouse outer cover. After the first whitening application in the spring 2022 season, the second whitening application was made due to rain. A Bombus beehive (NATUPOL Beehive, Koppert) was placed inside the greenhouse to facilitate the pollination of crops.
Plant height, leaf area index, chlorophyll content index, and stomatal conductance were measured for selected three plants in each replication. Crop heights were determined at 7-day intervals by measuring the distance from the root collar to the top of the selected crops using a tape measure. The leaf area was determined at 14-day intervals by using a non-destructive method based on leaf width and length [28] and the following equation was used to calculate the leaf area index:
LAI = n   L a mean A p
where LAI = Leaf area index (m2 m−2), n = Number of leaves, La (mean) = Mean leaf area (m2), Ap = Canopy area per plant (m2).
Stomatal conductivity (mmol m−2 s−1) was measured by using SC-1 leaf porometer (Decagon Devices, Inc., Pullman, WA, USA) every 3 days between 11:00 a.m. and 14:00 p.m. according to the manufacturer’s instructions. Measurements of the chlorophyll content index were made with the hand-held leaf-clip, CCM-200 m (Apogee Instruments, Inc., North Logan, UT, USA) at 7-day intervals.

2.3. Analyses, Measurements, and Calculations

Crop water consumption (ET) in each lysimeter was determined weekly with the following water balance equation:
ET = (SWCt0 − SWCt1) + I − D
where ET = Crop evapotranspiration (mm) measured between two measurement dates, (SWCt0 − SWCt1) = Change in soil water content between two measurement dates (mm), I = irrigation water (mm), and D = total amount of water drained between two measurement dates (mm).
Drainage water, if any, from lysimeters was collected and measured daily. Since this experiment was carried out with a drainage-type lysimeter, evapotranspiration values were calculated on a weekly basis to reduce the errors caused by the growing medium.
Water use efficiency (WUE; kg m−3) was obtained by using Equation (4):
WUE = Y ET
where Y = marketable tomato yield (kg) and ET = seasonal evapotranspiration (m3).
Crop yields by treatment were determined by averaging the total yields obtained from lysimeters placed in three different directions of the greenhouse. To prevent edge effects, the same plants were grown in pots between lysimeters.
In order to determine the effect of irrigation water salinity on soil salinity, monthly soil samples were taken from the lysimeters throughout growing seasons. Each soil sample was air-dried and ground to pass a 2 mm sieve, and then, electrical conductivities of the saturated extracts (ECe) were measured by using an EC meter [29,30].
Salt tolerance is best described by plotting relative crop yield at varying soil salinity levels. The threshold salinity refers the maximum salinity level at which yield is not reduced whereas the slope value expresses the percent linear reduction in relative yield per increase in soil salinity after the threshold salinity. The threshold soil salinity and slope values for the tomato yield were obtained by using the salt tolerance model (Equation (5)) [31] with the aid of the computer program [32]. The suggested model is:
Y a Y m = 1 b 100 × EC e EC e ( threshold )
where Ym and Ya are the maximum and actual tomato yields (t ha−1) from the control (non-saline) and the saline treatments, respectively, b is the slope value (% per dS m−1), ECe(threshold) and ECe are the threshold soil salinity and soil salinity beyond the threshold value (dS m−1), respectively.

2.4. Statistical Analysis

Data on soil salinity, crop evapotranspiration, crop height, yield components, leaf area index, chlorophyll content index, and stomatal conductance variables were subjected to analysis of variance (ANOVA) using SPSS 13.0 (SPSS Inc., Chicago, IL, USA). Main effects and two-way interaction effects were analyzed for each investigated parameter via univariate regression using SPSS 13.0. Unless stated otherwise, all statistical tests were performed at the 0.01 level of significance. Mean separations of the data were attained by the LSD test at a p < 0.05 level of significance.

3. Results and Discussion

The maximum, minimum, and average temperature (Tmax, Tmin, Tavg) and relative humidity (RHmax, RHmin, RHavg) in addition to daily mean solar radiation for both growing seasons of autumn 2021 and spring 2022 are presented in Figure 1. In general, throughout the growing season, inside and outside average temperature and solar radiation decreased in autumn 2021, whereas they increased in spring 2022.

3.1. Soil Salinity

The monthly soil sample analysis results for both growing seasons are given in Table 1. As expected, soil salinity values were increased with increasing irrigation water salinities throughout the experimental periods in both autumn 2021 and spring 2022 growing seasons. All water salinity treatments had a higher increased trend in spring 2022 than those in autumn 2021. In addition, soil salinities under moderate and high water salinity treatments had a continuously increasing trend throughout both growing seasons, while no significant changes were found in soil salinities under the control and low irrigation water salinity treatments in autumn 2021, especially after the third-sampling time (Table 1).
Since two-way interaction for the main factors of irrigation water salinity level (S) and time (T) was statistically significant (p < 0.01) for soil salinities in autumn 2021 and spring 2022 growing seasons, the results were evaluated for two-way interaction but not for the main factors individually. Even though leaching was realized in the lysimeter soils at the beginning of each season, a small variation in soil salinities under each saline irrigation water treatment happened. After the third sampling, differentiations in soil salinities among saline irrigation water treatments were determined. At the end of the growing seasons, soil salinities were significantly different under each irrigation water salinity treatment. In autumn 2021, the highest soil salinity (6.76 dS m−1) was measured under high water salinity level treatment at the last-sampling time which was not significantly different from that of the fourth-sampling time (6.25 dS m−1). In spring 2022, the highest values were measured at the last-sampling time under the high (7.90 dS m−1) and moderate (7.32 dS m−1) water salinity levels (Table 1). Compared to the beginning, soil salinities at the end of the growing season under the control, low, moderate, and high irrigation water salinity treatments were 2.17, 2.58, 2.95, and 3.36 times (in autumn 2021) and 4.12, 4.79, 4.16, and 3.87 times (in spring 2021) increased, respectively. Moreover, compared to the control treatment, soil salinities were increased 1.49, 3.10, and 3.58 (in autumn 2021) and 1.54, 2.65, and 2.86 (in spring 2022) times at the last-sampling time under low, moderate, and high irrigation water salinity treatments, respectively.
Although tap water was used in the control treatment, soil salinity values under this treatment increased towards the end of both growing seasons. The reason for this is because the salinity in the crop root zone increases due to the evapo-concentration process driven by ET under non-leaching conditions in the soil since pure water is evaporated from the wet soil surfaces and is transpired from crop leaves, and the amount of salt taken up by the plants is negligible in comparison to the amount of salt in the soil and that added by irrigation water [33]. In water stress experiments, it was reported that ECe values were higher under control treatments in which more water was delivered to the soil than those under all-limited water treatments. In these studies, it was also concluded that if salts are not leached out of the crop root zone, the amount of salt delivered to the soil increases as the amount of applied water increases depending on the salt concentration of irrigation water [34,35,36,37]. In a study, the final seasonal ECe values were reported as 1.73, 2.50, 3.42, 4.11, and 8.38 dS m−1 under water salinity levels of 0.6, 2.0, 3.0, 4.0, and 6.0 dS m−1 [38].

3.2. Yield Components

Statistical analysis for yield components including not marketable, marketable, and total fruits in autumn 2021 and spring 2022 growing seasons is presented in Table 2. In autumn 2021, not marketable yield ranged from 3.3 (high salinity) to 7.8 t ha−1 (control treatment), but they did not significantly differ. On the other hand, meaningful differences (p < 0.05) for marketable and total yields among salinity treatments were determined in this growing season, where the highest marketable (163 t ha−1) and total (171 t ha−1) yields were obtained under the control treatment. The lowest marketable yields (118–137 t ha−1) were recorded under all salinity treatments whereas the lowest total yield was obtained under moderate (127 t ha−1) and high (121 t ha−1) salinity treatments (Table 2). Compared to the control, 16%, 25%, and 28% decreases in marketable yield and 17%, 26%, and 29% decreases in total yield were calculated under low, moderate, and high irrigation water salinity treatments, respectively.
The yield components showed also significant differences (p < 0.05) in spring 2022. The highest not marketable, marketable, and total yields were obtained under the control and low salinity level treatments, whereas the lowest values of marketable and total yields were obtained under the highest salinity level, and the lowest values of not marketable yield were obtained under moderate and high irrigation water salinity treatments (Table 2). The decreases under moderate and high irrigation water salinity treatments, compared to the control one, were of 54 and 71% on not marketable, 37 and 55% on marketable, and 39 and 56% on total yields, respectively. In a related study, yield decreases of 16%, 31%, 50%, and 60% for grafted and 7%, 21%, 42%, and 56% for nongrafted tomato were reported under −0.15, −0.30, −0.45, and −0.60 MPa osmotic pressures of irrigation water [39].
Figure 2 shows the linear relationship between marketable and total yield with seasonal evapotranspiration occurred under different irrigation water salinity treatments in two growing seasons. There is a strong and positive correlation between evapotranspiration and both marketable (r = 0.94, p < 0.01) and total yield (r = 0.96, p < 0.01) (Figure 2).
The marketable yields ranged from 118 (high salinity) to 163 (control) t ha−1 in autumn 2021 and from 73 (high salinity) to 160 (control) t ha−1 in spring 2022. Similarly, total fruit yields ranged from 121 (high salinity) to 171 (control) t ha−1 in autumn 2021 and from 77 (high salinity) to 175 (control) t ha−1 in spring 2022 (Table 2). Similar yield results were obtained under a subsurface drip irrigation study in which soil salinity ranged from about 4 to 10 dS/m for depths less than 1 m and approximately 10% of the tomato water requirement was obtained from shallow (<2 m) saline (5 dS m−1) groundwater [40]. They reported that hand-harvested tomato yields ranged from 129 to 141 t ha−1 in 1991 and from 111 to 145 t ha−1 in 1993 under saline, shallow groundwater conditions. However, machine-harvested yields in 1993 ranged from 72 to 112 t ha−1. Similarly, in sandy loam soil, 12 and 33% decreases in tomato yield for ECe of 2.50 and 4.11 dS m−1, respectively, were recorded [38].
Marketable and total fruit yields of tomatoes in autumn 2021 showed a significant decrease even under low irrigation water salinity level, but interestingly, there was no significant difference in marketable yields among none of the salinity levels. However, both marketable and total fruit yields in spring 2022 started to decrease significantly under irrigation water salinity higher than 2.5 dS m−1. Compared to the autumn 2021, relatively higher decreases were obtained in marketable and total fruit yields of tomatoes under moderate and high water salinity levels in spring 2022 (Table 2). In contrast, these yields under control and low salinity treatments were slightly lower in spring 2022 than those in autumn 2021. No significant yield reduction was reported at above 7 dS m−1 perhaps due to the low light intensity and the high relative humidity [41,42]. Salinity stress during the day or in spring or summer cultivation causes higher yield reductions than those during the night or in autumn cultivation [43] because the lower relative humidity and higher illumination and temperatures in summer time lower water potential in the plant by inducing faster transpiration; besides high transpiration, high salinity also lowers water potential in the plant which will reduce the water flow into the fruit and therefore the rate of fruit expansion [44].

3.3. Crop Evapotranspiration and Water Use Efficiency

In autumn 2021, the maximum daily ET was achieved in September, about two months after transplanting the crop, then the daily ET started to decrease. It was also observed that increasing irrigation water salinity levels yielded lower daily ET values as a result of the physiological water deficit effect. On the other hand, daily ET increased towards the end of the spring 2022 season, being maximum around June, in all salinity treatments as a result of crop growth and higher incoming solar radiation (Figure 3).
Statistical analyses for the seasonal ET and WUE values of tomatoes in the autumn 2021 and spring 2022 growing seasons are presented in Table 3. Among the irrigation water salinity treatments, ET values ranged from 343 to 399 mm season−1 in autumn 2021 and from 251 to 442 mm season−1 in spring 2022 growing seasons. The highest ET occurred under the control treatment in both growing seasons, whereas the lowest ones under high irrigation water salinity in spring 2022 and under high and moderate salinity treatments in autumn 2021 (Table 3). The seasonal ET under low, moderate, and high irrigation water salinity treatments was decreased of 7, 13, and 14% in autumn 2021, and of 10, 28, and 43% in spring 2022, regarding the control treatment. In addition, the seasonal ET values under control and low salinity treatments were 10 and 7% higher in spring 2022 than in autumn 2021. In contrast, the seasonal ET under moderate and high salinity treatments were 8 and 37% lower in spring 2022 than in autumn 2021.
Solar radiation and temperature are driving forces that are effective in plant growth and increase ET. In countries with a Mediterranean climate, such as Turkey, with an average annual temperature of 10–20 °C, greenhouse cultivation is generally carried out in low-cost, unheated, naturally ventilated, plastic greenhouses [45]. For this reason, Mediterranean-type greenhouses are affected by external weather conditions. Lower temperatures, particularly in the autumn season, reduce potential production because in those low-tech greenhouses, heating is done only for protection against frost damage [45]. Therefore, due to the high temperature and solar radiation, higher seasonal ET is expected in the spring season. This occurred in the seasonal ET in treatments 0.7 dS m−1 (11% increase) and 2.5 dS m−1 (7% increase), whereas the inverse occurred in treatments 5.0 dS m−1 (8% decrease) and 7.5 dS m−1 (27% decrease) (Figure 3 and Table 3). The mean temperature and solar radiation showed a downward trend from beginning to end of the autumn growing season and an upward trend in the spring growing season (Figure 1). This has caused most of the seasonal ET to occur in the first half of the autumn season and in the second half of the spring season. Increasing high temperature and solar radiation in the last quarter of the spring season, induction of evaporative demand, and saline water applications continued throughout the growing season caused salt accumulation in the crop root zone. Therefore, tomato crops in the 5.0 dS m−1 and 7.5 dS m−1 water salinity treatments did not receive enough water in the root zone, and the decreasing daily ET resulted in a decrease in the seasonal ET. This showed that increasing salt in this root zone and increasing evaporative demand due to climate are two factors that constantly affect each other. At the end of the growing season, fruit yield was significantly affected depending on the salinity. Indeed, the strong positive correlation between both total and marketable yield and ET supports this result (Figure 2). Considering the physiological drought effect caused by salinity, it was determined that the soil salinity values under each irrigation water treatment were compatible with seasonal ET values. A close negative correlation between water consumption and EC suggested less water should be used as EC increases [38,46]. It was revealed that cumulative plant water uptake decreased with increasing NaCl concentration in the nutrient solution and differences between treatments increased with time from salinization [47]. Reduction in water uptake has been related to a reduction in hydraulic conductance of the root system [48] and also plants perform an osmotic adjustment by increasing the concentration of solutes and decreasing water potential, which is vital for the alleviation of the osmotic imbalances and for maintaining cell turgor [49].
WUE values ranged from 32.3 to 36.6 kg m−3 in autumn 2021 and from 29.0 to 36.7 kg m−3 in spring 2022 growing seasons. WUE values in spring 2022 showed a meaningful difference (p < 0.01) among irrigation water salinity treatments, but not in autumn 2021. In spring 2022, the highest WUE was obtained under the control and low salinity treatments while the lowest ones were under moderate and high water salinity treatments (Table 3). Compared to the control treatment, the decreases in WUE under moderate and high water salinity treatments were 14 and 21%, respectively.
Increasing water salinity caused significant decreases in WUE values of tomatoes especially under moderate and high water salinity levels in spring 2022 but not in autumn 2021. The reason for this result may be attributed to marketable yield since there were relatively higher decreases in marketable yield under moderate and high water salinity levels in spring 2022. In another study on the effects of salinity stress at different growth stages on tomato, it was reported that, compared with the control treatment, WUE were significantly lower in crops exposed to the treatment of 2 dS m−1 salinity level throughout the experiment whereas no difference in crops under different growth stages in the short term [50].

3.4. Plant Height

It is important to remind that the shoot of apices was removed from the plant after the 8th cluster. With a small differentiation occurring among the water salinity treatments, the plant height reached the maximum values just one month before the end of the growing season in spring 2022, while in autumn 2021, the maximum height occurred in the middle of the season due to relatively fast growth during this growing season (Figure 4).
The statistical analysis for plant height in autumn 2021 and spring 2022 is presented in Table 4. Among the salinity treatments, plant heights ranged from 210 to 229 cm and from 176 to 206 cm in autumn 2021 and spring 2022 growing seasons, respectively. The plant heights in spring 2022 showed a meaningful difference (p < 0.05) among the irrigation water salinity treatments, but not in autumn 2021. In spring 2022, the highest plant height was measured under the control and low salinity treatments while the smallest value was under the highest salinity treatment (Table 4). Compared to the control, the decreases in plant height under moderate and high water salinity treatments were 7 and 15%, respectively. Similarly it was reported that the natural plant height increased with increasing age but decreased with increasing salinity in tomato [51]. The reduction of plant height may be due to inhibitory behavior of salt stress on cell division and cell expansion [52].

3.5. Leaf Area Index, Chlorophyll Content Index, and Stomatal Conductance

The pattern changes in leaf area index, chlorophyll content index, and stomatal conductance values throughout the growing seasons are given in Figure 5. In Figure 5, sudden decreases in leaf area index values were due to leaf pruning, which is a common practice in the Antalya region. The relatively high leaf area index values (≈7) were due to the high number of plants per unit area. The first leaf pruning took place approximately two and a half months after planting in spring 2022, while it took place one and a half months later in the autumn 2021 season due to the favorable climatic conditions at the beginning of the experiment. The variation of chlorophyll content index and stomatal conductance values during the growing seasons showed a similar trend in different irrigation water salinity treatments (Figure 5).
The statistical analysis for seasonal averaged leaf area index, chlorophyll content index, and stomatal conductance values in autumn 2021 and spring 2022 is presented in Table 5. Among the salinity treatments, leaf area index values ranged from 3.35 to 4.32 m2 m−2 in autumn 2021 and from 1.68 to 3.01 m2 m−2 in spring 2022. The highest averaged leaf area index occurred under the control treatment in autumn 2021 and control and low salinity treatments in spring 2022, whereas the lowest values existed under low, moderate, and high irrigation water salinity treatments in autumn 2021 and under only high salinity treatment in spring 2022 (Table 5). Compared to the control, the decreases in leaf area index were 15, 19, and 23% under low, moderate, and high salinity treatments in autumn 2021, and 23 and 44% under moderate and high salinity treatments in spring 2022. In addition, the averaged leaf area index values under the control, low, moderate, and high salinity treatments were 30, 24, 33, and 50% higher in autumn 2021 than in spring 2022. Leaf growth inhibition of 60% has also been observed in drip-irrigated tomatoes exposed to excess irrigation water salinity (15.7 dS m−1) and has been attributed to reduced cellular turgor, diminished photosynthetic activity, and activation of metabolic signaling between stress perception and adaptation [53].
The seasonal averaged chlorophyll content index values ranged from 43.0 to 45.1 in autumn 2021 and from 55.9 to 63.5 in spring 2022 growing seasons. The average chlorophyll content index values in spring 2022 showed a meaningful difference (p < 0.05) among the salinity treatments, but not in autumn 2021. In spring 2022, the highest seasonal averaged chlorophyll content index was measured under high salinity treatment while the smallest values were measured under the control, low and moderate irrigation water salinity treatments (Table 5). Compared to the high salinity treatment, the decreases in average chlorophyll content index under moderate, low, and control salinity treatments were of 8, 12, and 12%, respectively.
The seasonal averaged stomatal conductance values ranged from 262.3 to 274.6 mmol m−2 s−1 in autumn 2021 and from 265.3 to 279.8 mmol m−2 s−1 in spring 2022 growing seasons. However, average stomatal conductance values were not significantly different among irrigation water salinity treatments in both growing seasons (Table 5). Similar to our results, it was reported that foliar chlorophyll content and stomatal conductivities in tomatoes did not reveal significant differences among the saline water treatments [38]. It was claimed that salinity regulates the compatible solutes, such as proline and glycine betaine. Increased proline in tomato leaves attributes in maintaining the chlorophyll content and cell turgidity to protect the photosynthetic activity [54].

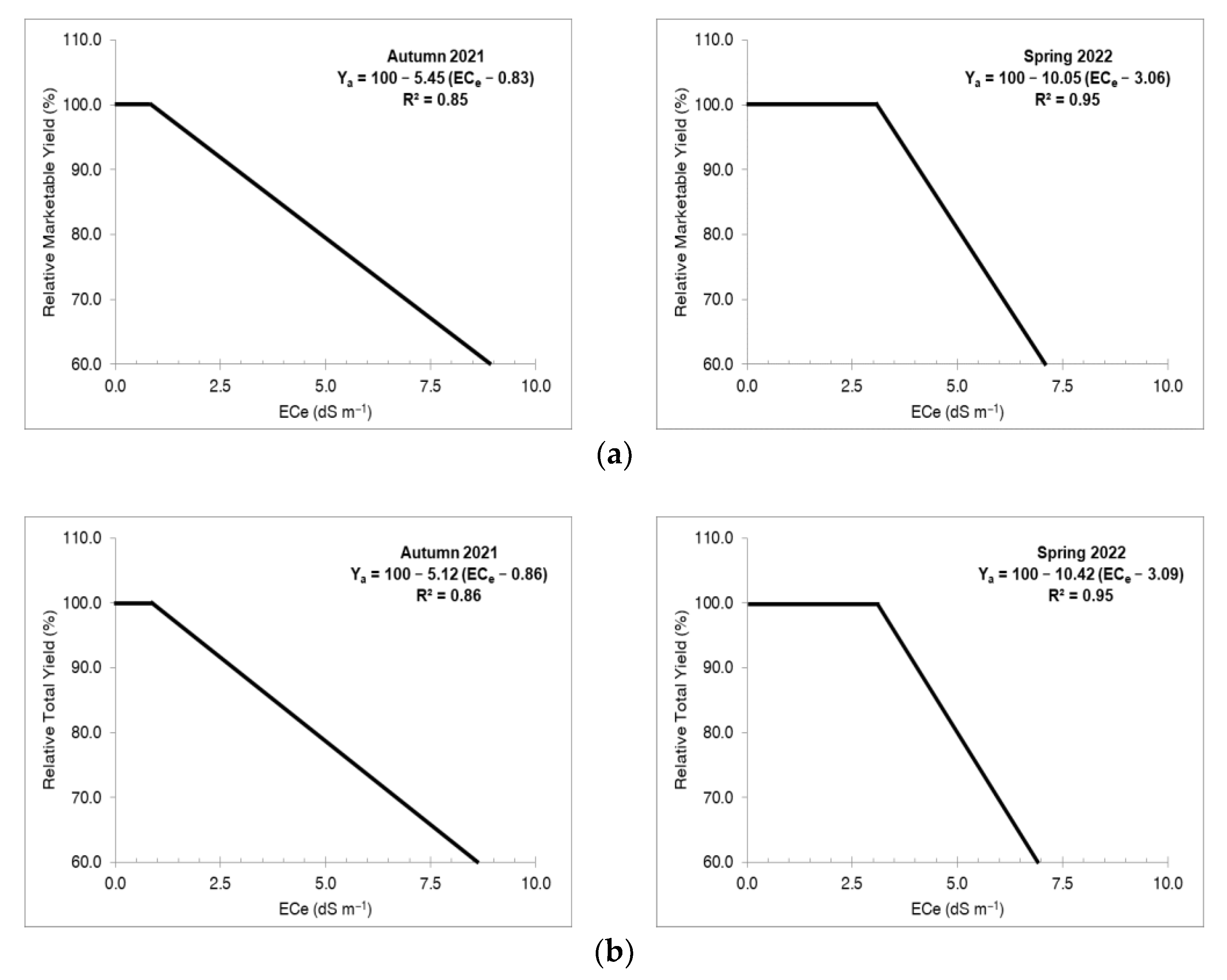
3.6. Salt Tolerance Model

The threshold salinity and slope values for marketable and total fruit yields of tomatoes in autumn 2021 and spring 2022 were attempted to determine by generating salt tolerance models (Figure 6). For marketable yield of tomato, the threshold and slope values were obtained as 0.83 dS m−1 and 5.5% per dS m−1 in autumn 2021, and 3.06 dS m−1 and 10.1 % per dS m−1 in spring 2022, respectively. Similarly, the threshold and slope values for total fruit yield of tomato were determined as 0.86 dS m−1 and 5.1 % per dS m−1 in autumn 2021 and 3.09 dS m−1 and 10.4 % per dS m−1 in spring 2022, respectively (Figure 6). In comparison, a lower threshold value with a lower slope value occurred in autumn 2021 than in spring 2022.
Following the salt tolerance model [31], the threshold values for marketable and total yields were determined as 0.83 and 0.86 dS m−1 in autumn 2021 and as 3.06 and 3.09 dS m−1 in spring-2022, respectively. Similarly, the slope values for marketable and total fruit yield of tomatoes were obtained as 5.5 and 5.1% per dS m−1 in autumn 2021 and as 10.1 and 10.4% per dS m−1 in spring 2022, respectively (Figure 6). The cultivated tomato is classified as being moderately sensitive to salinity which means that it tolerates an EC of the saturated soil extract up to about 2.5 dS m−1 without any yield reduction [15]. Similarly, in a study, a threshold between 2.0 and 2.5 dS m−1 and a reduction in yield from 9 to 10% with an increase of 1 dS m−1 beyond the threshold was reported [55]. On the other hand, it was concluded that the fresh weight of tomato (cv. Daniela) under closed soilless growing systems decreased 9.1% per dS m−1 after a threshold value of 3.85 dS m−1 during a spring growing season [56]. Our results indicate that there exists a disadvantageously low threshold value and an advantageously low slope value in autumn 2021, however, an advantageously high threshold value and a disadvantageously high slope value in spring 2022.

4. Conclusions

This study has concentrated on the effects of irrigation water salinity on water use, growth, physiology, and yield parameters of drip-irrigated tomatoes in two different growing seasons including autumn and spring. Throughout the growing seasons, inside and outside average temperature and solar radiation, in general, decreased in autumn 2021 and increased in spring 2022.
Throughout the growing seasons, soil salinities showed a continuous keen increase under medium and high irrigation water salinity levels, while they had a relatively lower increase under control and low water salinity levels. The distinguished differentiations on soil salinities among saline irrigation water treatments started to occur at the mid-seasons. All irrigation water salinities caused higher increased trends on soil salinities in spring than in autumn. At the end of growing seasons, soil salinities were significantly different under each irrigation water salinity treatment.
The linear relationship revealed a strong and positive correlation between evapotranspiration and both marketable and total yields. However, marketable and total yield decreases were relatively lower in spring 2022 than in autumn 2021 under low irrigation water salinity whereas relatively higher yield decreases resulted under moderate and high salinity treatments in spring 2022 than those in autumn 2021.
The maximum daily ET values under each irrigation water salinity treatments in autumn 2021 resemble a typical plant coefficient (Kc) curve with four main periods; including initial, crop development, mid-season, and late season. However daily ET values in spring 2022 being maximum around June and then followed a stationary pattern until end of the season as a result of crop growth and increasing incoming solar radiation. Due to the physiological drought effect, increasing water salinity levels yielded lower daily ET values in both growing seasons. In spring 2022, the seasonal ET values under control and low salinity levels were higher whereas, under moderate and high water salinity treatments, they were lower than those in autumn 2021. The decreases on WUE values especially under moderate and high water salinity levels in spring 2022 but not in autumn 2021 indicate that the growing season has a significant effect on WUE of tomatoes.
The seasonal averaged leaf area index under increased salinity was significantly lower in both growing seasons whereas the seasonal averaged chlorophyll content index showed a significant decrease only under high water treatment in the spring 2022 season. Furthermore, it was obtained that the salinity stress level has no effect on the seasonal averaged stomatal conductance values in both years.
The salt tolerance models for marketable and total fruit yields of tomatoes revealed that there existed a disadvantageously low threshold value and an advantageously low slope value in autumn 2021, contrasting with an advantageously high threshold value and a disadvantageously high slope value in spring 2022. In general, the results suggest that the growing season should be considered when describing the response of tomato yield components due to usage of saline irrigation water under drip irrigation. More importantly, for decision making in tomato production under saline irrigation water, the salinity slope value should be taken into account as well as the salinity threshold value in different growing seasons.

Author Contributions

Conceptualization, D.B., A.K. and A.N.; methodology, C.K., G.E.A. and R.B.; software, C.K.; validation, C.K., D.B. and A.K.; formal analysis, C.K. and G.E.A.; investigation, C.K., G.E.A. and D.B.; resources, D.B., R.B. and A.N.; data curation, C.K.; writing—original draft preparation, A.K.; writing—review and editing, A.K., C.K., D.B., R.B. and A.N.; visualization, D.B. and R.B.; supervision, A.N. and D.B.; project administration, D.B.; funding acquisition, A.N. All authors have read and agreed to the published version of the manuscript.

Funding

This research was funded by the PRIMA programme under grant agreement No. 1916, project iGUESS-MED. The PRIMA programme is supported by the European Union.

Institutional Review Board Statement

Not applicable.

Informed Consent Statement

Not applicable.

Data Availability Statement

Not applicable.

Conflicts of Interest

The authors declare no conflict of interest.

References

  1. Munns, R.; Gilliham, M. Salinity tolerance of crops—What is the cost? New Phytol. 2015, 208, 668–673. [Google Scholar] [CrossRef] [PubMed]
  2. Machado, R.M.; Serralheiro, R.P. Soil salinity: Effect on vegetable crop growth. Management practices to prevent and mitigate soil salinization. Horticulturae 2017, 3, 30. [Google Scholar] [CrossRef]
  3. Jamil, A.; Riaz, S.; Ashraf, M.; Foolad, M.R. Gene expression profiling of plants under salt stress. CRC. Crit. Rev. Plant Sci. 2011, 30, 435–458. [Google Scholar] [CrossRef]
  4. Dadshani, S.; Sharma, R.C.; Baum, M.; Ogbonnaya, F.C.; Léon, J.; Ballvora, A. Multi-dimensional evaluation of response to salt stress in wheat. PLoS ONE 2019, 14, e0222659. [Google Scholar] [CrossRef] [PubMed]
  5. Hossain, S. Present scenario of global salt affected soils, its management and importance of salinity research. Int. Res. J. Biol. Sci. 2019, 1, 1–3. [Google Scholar]
  6. Wang, W.; Vinocur, B.; Altman, A. Plant responses to drought, salinity and extreme temperatures: Towards genetic engineering for stress tolerance. Planta 2003, 218, 1–14. [Google Scholar] [CrossRef]
  7. Fernández-García, N.; Martínez, V.; Carvajal, M. Effect of salinity on growth, mineral composition, and water relations of grafted tomato plants. J. Plant Nutr. Soil Sci. 2004, 167, 616–622. [Google Scholar] [CrossRef]
  8. Baath, G.S.; Shukla, M.K.; Bosland, P.W.; Steiner, R.L.; Walker, S.J. Irrigation water salinity influences at various growth stages of Capsicum annuum. Agric. Water Manag. 2017, 179, 246–253. [Google Scholar] [CrossRef]
  9. Flores, A.M.; Shukla, M.K.; Schutte, B.J.; Picchioni, G.; Daniel, D. Physiologic response of six plant species grown in two contrasting soils and irrigated with brackish groundwater and RO concentrate. Arid. Land Res. Manag. 2017, 31, 182–203. [Google Scholar] [CrossRef]
  10. Mansour, E.; Moustafa, E.S.A.; Desoky, E.-S.M.; Ali, M.M.A.; Yasin, M.A.T.; Attia, A.; Alsuhaibani, N.; Tahir, M.U.; El-Hendawy, S. Multidimensional evaluation for detecting salt tolerance of bread wheat genotypes under actual saline field growing conditions. Plants 2020, 9, 1324. [Google Scholar] [CrossRef]
  11. Zhao, S.; Zhang, Q.; Liu, M.; Zhou, H.; Ma, C.; Wang, P. Regulation of plant responses to salt stress. Int. J. Mol. Sci. 2021, 22, 4609. [Google Scholar] [CrossRef]
  12. Desoky, E.-S.M.; Merwad, A.-R.M.A.; Abo El-Maati, M.F.; Mansour, E.; Arnaout, S.M.A.I.; Awad, M.F.; Ramadan, M.F.; Ibrahim, S.A. Physiological and biochemical mechanisms of exogenously applied selenium for alleviating destructive impacts induced by salinity stress in bread wheat. Agronomy 2021, 11, 926. [Google Scholar] [CrossRef]
  13. Li, J.; Song, J.; Li, M.; Shang, S.; Mao, X.; Yang, J.; Adeloye, A.J. Optimization of irrigation scheduling for spring wheat based on simulation-optimization model under uncertainty. Agric. Water Manag. 2018, 208, 245–260. [Google Scholar] [CrossRef]
  14. Theiveyanathan, S.; Benyon, R.G.; Marcar, N.E.; Myers, B.J.; Polglase, P.J.; Falkiner, R.A. An irrigation-scheduling model for application of saline water to tree plantations. For. Ecol. Manag. 2004, 193, 97–112. [Google Scholar] [CrossRef]
  15. Maas, E.V. Salt Tolerance of Plants. In CRC Handbook of Plant Science in Agriculture Volume II; CRC Press: Boca Raton, FL, USA, 2019; p. 20. [Google Scholar]
  16. Shannon, M.C.; Grieve, C.M. Tolerance of vegetable crops to salinity. Sci. Hortic. 1999, 78, 5–38. [Google Scholar] [CrossRef]
  17. Cuartero, J.; Fernández-Muñoz, R. Tomato and salinity. Sci. Hortic. 1999, 78, 83–125. [Google Scholar] [CrossRef]
  18. Hanson, B.; May, D. Effect of subsurface drip irrigation on processing tomato yield, water table depth, soil salinity, and profitability. Agric. Water Manag. 2004, 68, 1–17. [Google Scholar] [CrossRef]
  19. Pasternak, D.; De Malach, Y.; Borovic, I. Irrigation with brackish water under desert conditions VII. Effect of time of application of brackish water on production of processing tomatoes (Lycopersion esculentum Mill.). Agric. Water Manag. 1986, 12, 149–158. [Google Scholar] [CrossRef]
  20. Maas, E.V.; Grattan, S.R. Crop Yields as Affected by Salinity. In Agricultural Drainage; Skaggs, R.W., van Schilfgaarde, J., Eds.; Agronomy Monographs: Madison, WI, USA, 1999; pp. 55–108. ISBN 9780891182306. [Google Scholar]
  21. TUIK. Greenhouse Agricultural Area; Turkish Statistical Institute: Ankara, Turkey, 2022. [Google Scholar]
  22. Çakmak, B. Türkiye’de sulanan tarım arazilerinde sorunlar ve çözüm önerileri. Türktarım Tarım Köyişleri Bakanl. Derg. 2005, 164, 28–33. [Google Scholar]
  23. Dişli, Y. Antalya İli Kale (Demre) Ilçesi yer Altı Sulama Suyu Kalitesi Üzerine bir Araştırma (A Research on the Subsurface Irrigation Water Quality of Kale (Demre) District of Antalya Province); Selçuk Üniversitesi: Konya, Turkey, 1997. [Google Scholar]
  24. Sönmez, İ.; Kaplan, M. Determination of salinity of soil and irrigation waters of greenhouses in Demre region. Akdeniz Üniversitesi Ziraat Fakültesi Derg. 2004, 17, 155–160. [Google Scholar]
  25. MGM. Long-Year Climate Data for Antalya Province. Antalya Meteorology Regional Directorate; Antalya. Available online: https://www.mgm.gov.tr/veridegerlendirme/il-ve-ilceler-istatistik.aspx?m=ANTALYA (accessed on 2 November 2022).
  26. Hancioglu, N.E.; Kurunc, A.; Tontul, I.; Topuz, A. Irrigation water salinity effects on oregano (Origanum onites L.) water use, yield and quality parameters. Sci. Hortic. 2019, 247, 327–334. [Google Scholar] [CrossRef]
  27. Kurunc, A. Effects of water and salinity stresses on growth, yield, and water use of iceberg lettuce. J. Sci. Food Agric. 2021, 101, 5688–5696. [Google Scholar] [CrossRef] [PubMed]
  28. Karaca, C. Evapotranspiration of Crops Widely Grown in Greenhouses Using the Energy Balance Method. Ph.D. Thesis, Akdeniz University, Antalya, Turkey, 2020. [Google Scholar]
  29. Richards, L. Diagnosis and Improvement of Saline and Alkali Soils. In USDA Handbook No:60; USDA: Washington, DC, USA, 1954. [Google Scholar]
  30. Carter, M.R.; Gregorich, E.G.; Pennock, D.; Yates, T.; Braidek, J. Soil Sampling and Methods of Analysis, 2nd ed.; CRC Press: Boca Raton, FL, USA, 2007; ISBN 9780849335860. [Google Scholar]
  31. Maas, E.V.; Hoffman, G.J. Crop salt tolerance—Current assessment. J. Irrig. Drain. Div. 1977, 103, 115–134. [Google Scholar] [CrossRef]
  32. Van Genuchten, M. Analyzing Crop Salt Tolerance Data: Model Description and User’s Manual; Research Report No: 120; USDA ARS U.S. Salinity Laboratory: Riverside, CA, USA, 1983.
  33. Hanson, B.R.; Grattan, S.R.; Fulton, A. Agricultural Salinity and Drainage; Department of Land, Air and Water Resources, University of California: Davis, CA, USA, 2006; ISBN 160107946X. [Google Scholar]
  34. Duzdemir, O.; Kurunc, A.; Unlukara, A. Response of pea (Pisum sativum) to salinity and irrigation water regime. Bulg. J. Agric. Sci. 2009, 15, 400–409. [Google Scholar]
  35. Düzdemir, O.; Ünlükara, A.; Kurunç, A. Response of cowpea (Vigna unguiculata) to salinity and irrigation regimes. N. Z. J. Crop Hortic. Sci. 2009, 37, 271–280. [Google Scholar] [CrossRef]
  36. Ünlükara, A.; Kurunç, A.; Cemek, B. Green long pepper growth under different saline and water regime conditions and usability of water consumption in plant salt tolerance. J. Agric. Sci. 2015, 21, 167–176. [Google Scholar] [CrossRef]
  37. Kurunc, A.; Unlukara, A.; Cemek, B. Salinity and drought affect yield response of bell pepper similarly. Acta Agric. Scand. Sect. B Soil Plant Sci. 2011, 61, 514–522. [Google Scholar] [CrossRef]
  38. Yang, H.; Du, T.; Mao, X.; Shukla, M.K. Modeling tomato evapotranspiration and yield responses to salinity using different macroscopic reduction functions. Vadose Zone J. 2020, 19, e20074. [Google Scholar] [CrossRef]
  39. Semiz, G.D.; Suarez, D.L. Tomato salt tolerance: Impact of grafting and water composition on yield and ion relations. Turk. J. Agric. For. 2015, 39, 876–886. [Google Scholar] [CrossRef]
  40. Ayars, J.E.; Schoneman, R.A.; Dale, F.; Meso, B.; Shouse, P. Managing subsurface drip irrigation in the presence of shallow ground water. Agric. Water Manag. 2001, 47, 243–264. [Google Scholar] [CrossRef]
  41. Ehret, D.L.; Ho, L.C. The effects of salinity on dry matter partitioning and fruit growth in tomatoes grown in nutrient film culture. J. Hortic. Sci. 1986, 61, 361–367. [Google Scholar] [CrossRef]
  42. Adams, P. The test of raised salinity. Hortic. Now 1986, 1986, 23–27. [Google Scholar]
  43. Van Ieperen, W. Effects of different day and night salinity levels on vegetative growth, yield and quality of tomato. J. Hortic. Sci. 1996, 71, 99–111. [Google Scholar] [CrossRef]
  44. Johnson, R.W.; Dixon, M.A.; Lee, D.R. Water relations of the tomato during fruit growth. Plant Cell Environ. 1992, 15, 947–953. [Google Scholar] [CrossRef]
  45. Baytorun, A.N.; Zaimoglu, Z. Climate control in mediterranean greenhouses. In Climate Resilient Agriculture—Strategies and Perspectives; Rao, C.S., Shanker, A.K., Shanker, C., Eds.; Intechopen: London, UK, 2018; pp. 167–181. [Google Scholar]
  46. Soria, T.; Cuartero, J. Tomato fruit yield and water consumption with salty water irrigation. Int. Symp. Water Qual. Quant. Greenh. Acta Hortic. 1998, 458, 215–219. [Google Scholar] [CrossRef]
  47. Romero-Aranda, M.R.; Jurado, O.; Cuartero, J. Silicon alleviates the deleterious salt effect on tomato plant growth by improving plant water status. J. Plant Physiol. 2006, 163, 847–855. [Google Scholar] [CrossRef]
  48. Rodriguez, P.; Dell’Amico, J.; Morales, D.; Sanchez Blanco, M.J.; Alarcon, J.J. Effects of salinity on growth, shoot water relations and root hydraulic conductivity in tomato plants. J. Agric. Sci. 1997, 128, 439–444. [Google Scholar] [CrossRef]
  49. Lv, X.; Chen, S.; Wang, Y. Advances in understanding the physiological and molecular responses of sugar beet to salt stress. Front. Plant Sci. 2019, 10, 1431. [Google Scholar] [CrossRef]
  50. Zhang, P.; Senge, M.; Dai, Y. Effects of salinity stress at different growth stages on tomato growth, yield, and water-use efficiency. Commun. Soil Sci. Plant Anal. 2017, 48, 624–634. [Google Scholar] [CrossRef]
  51. Parvin, K.; Ahamed, K.U.; Islam, M.M.; Haque, M.N. Response of tomato plant under salt stress: Role of exogenous calcium. J. Plant Sci. 2015, 10, 222–233. [Google Scholar] [CrossRef]
  52. Hernández, J.A.; Aguilar, A.B.; Portillo, B.; López-Gómez, E.; Beneyto, J.M.; García-Legaz, M.F. The effect of calcium on the antioxidant enzymes from salt-treated loquat and anger plants. Funct. Plant Biol. 2003, 30, 1127–1137. [Google Scholar] [CrossRef] [PubMed]
  53. Maggio, A.; De Pascale, S.; Angelino, G.; Ruggiero, C.; Barbieri, G. Physiological response of tomato to saline irrigation in long-term salinized soils. Eur. J. Agron. 2004, 21, 149–159. [Google Scholar] [CrossRef]
  54. De la Torre-González, A.; Montesinos-pereira, D.; Blasco, B.; Ruiz, J.M. Influence of the proline metabolism and glycine betaine on tolerance to salt stress in tomato (Solanum lycopersicum L.) commercial genotypes. J. Plant Physiol. 2018, 231, 329–336. [Google Scholar] [CrossRef] [PubMed]
  55. Saranga, Y.; Zamir, D.; Marani, A.; Rudich, J. Breeding tomatoes for salt tolerance: Field evaluation of Lycopersicon germplasm for yield and dry-matter production. J. Am. Soc. Hortic. Sci. 1991, 116, 1067–1071. [Google Scholar] [CrossRef]
  56. Magan, J.J.; Moreno, N.; Meca, D.; Canovas, F. Response to salinity of a tomato crop in Mediterranean climate conditions. Proc. Int. Symp. Grow. Media Hydroponics. Acta Hortic. 2004, 644, 479–484. [Google Scholar] [CrossRef]
Figure 1. Daily variation of inside and outside temperature, humidity, and solar radiation throughout the growing seasons; (a) autumn 2021 and (b) spring 2022.
Figure 1. Daily variation of inside and outside temperature, humidity, and solar radiation throughout the growing seasons; (a) autumn 2021 and (b) spring 2022.
Agronomy 13 00036 g001
Figure 2. Linear relationship between marketable yield and total yield with seasonal evapotranspiration at different salinity levels in two different growing seasons.
Figure 2. Linear relationship between marketable yield and total yield with seasonal evapotranspiration at different salinity levels in two different growing seasons.
Agronomy 13 00036 g002
Figure 3. Changes in daily crop evapotranspiration values under different water salinity levels throughout the growing seasons; (a) autumn 2021 and (b) spring 2022.
Figure 3. Changes in daily crop evapotranspiration values under different water salinity levels throughout the growing seasons; (a) autumn 2021 and (b) spring 2022.
Agronomy 13 00036 g003
Figure 4. Changes in plant heights under different water salinity levels throughout the growing seasons; (a) autumn 2021 and (b) spring 2020.
Figure 4. Changes in plant heights under different water salinity levels throughout the growing seasons; (a) autumn 2021 and (b) spring 2020.
Agronomy 13 00036 g004
Figure 5. Changes in leaf area index, chlorophyll content index, and stomatal conductance values under different water salinity levels throughout the growing seasons; (a) autumn 2021 and (b) spring 2022.
Figure 5. Changes in leaf area index, chlorophyll content index, and stomatal conductance values under different water salinity levels throughout the growing seasons; (a) autumn 2021 and (b) spring 2022.
Agronomy 13 00036 g005
Figure 6. Salt tolerance models of tomato; (a) for marketable yield and (b) total yield.
Figure 6. Salt tolerance models of tomato; (a) for marketable yield and (b) total yield.
Agronomy 13 00036 g006
Table 1. The effect of irrigation water salinity and sampling time on soil salinity throughout the growing seasons (autumn 2021 and spring 2022).
Table 1. The effect of irrigation water salinity and sampling time on soil salinity throughout the growing seasons (autumn 2021 and spring 2022).
Water Salinity
(dS m−1)
Time
Autumn 20216 September 202115 October 202121 November 202122 December 202124 January 2022
0.70.87 i 1.27 gi1.76 gh1.86 fg1.89 fg
2.51.09 hi1.96 fg2.79 e2.82 e2.81 e
5.01.98 fg2.57 ef4.74 d5.09 d5.85 bc
7.52.01 fg3.24 e5.11 cd6.25 ab6.76 a
Spring 202223 February 202226 March 202226 April 202222 May 202227 June 2022
0.70.67 l1.07 jl1.02 kl1.60 il2.76 fh
2.50.89 kl1.69 ik2.32 gi3.13 fg4.26 e
5.01.76 ik2.35 gi3.53 ef6.05 cd7.32 ab
7.52.04 hj3.48 ef5.31 d6.55 bc7.90 a
†: Each value is the mean of three replications. ‡: Within each growing season, means followed by the same letter are not significantly different at the 5% level according to LSD multiple range tests.
Table 2. The effect of irrigation water salinity on yield components.
Table 2. The effect of irrigation water salinity on yield components.
Water Salinity
(dS m−1)
Not Marketable Yield Marketable YieldTotal Yield
----------------------------------- (t ha−1) -----------------------------------
Autumn 2021
0.77.8 a 162.8a170.6a
2.55.9 a136.6b142.5b
5.04.8 a122.2b127.0bc
7.53.3a117.8b121.1c
P > Fns****
Spring 2022
0.714.3a160.3a174.7a
2.514.1a146.3a160.4a
5.06.6b100.9b107.4b
7.54.1b72.6c76.6c
P > F******
†: Each value is the mean of three replications. ‡: Different letters in the columns indicate significant differences between treatments according to LSD multiple range tests at p < 0.05. **: significant at p < 0.05. ns: statistically non-significant.
Table 3. The effect of irrigation water salinity on seasonal evapotranspiration and water use efficiency.
Table 3. The effect of irrigation water salinity on seasonal evapotranspiration and water use efficiency.
Water Salinity
(dS m−1)
Autumn 2021Spring 2022
Seasonal evapotranspiration (mm)
0.7398.6 a 442.4a
2.5372.7b398.4 b
5.0345.0c319.1c
7.5343.0c250.9d
P > F****
Water use efficiency (kg m−3)
0.732.3a36.7a
2.536.6a36.3a
5.035.4 a31.7bc
7.534.3a29.0c
P > Fns*
†: Each value is the mean of three replications. ‡: Different letters in the columns indicate significant differences between treatments according to LSD multiple range tests at p < 0.05. *: significant at p < 0.01. **: significant at p < 0.05. ns: statistically non-significant.
Table 4. The effect of irrigation water salinity on plant height at the end of the growing season.
Table 4. The effect of irrigation water salinity on plant height at the end of the growing season.
Water Salinity
(dS m−1)
Autumn 2021Spring 2022
------------------------- Plant Height (cm) -------------------------
0.7229.1 a 206.1a
2.5219.1a202.4ab
5.0217.4a191.2b
7.5210.1a175.9c
P > Fns**
†: Each value is the mean of three replications. ‡: Different letters in the columns indicate significant differences between treatments according to LSD multiple range tests at p < 0.05. **: significant at p < 0.05. ns: statistically non-significant.
Table 5. The effect of irrigation water salinity on the seasonal averaged leaf area index, chlorophyll content index, and stomatal conductance values.
Table 5. The effect of irrigation water salinity on the seasonal averaged leaf area index, chlorophyll content index, and stomatal conductance values.
Water Salinity
(dS m−1)
Autumn 2021Spring 2022
Leaf area index (m2 m−2)
0.74.32 a 3.01a
2.53.67b2.78a
5.03.49b2.33b
7.53.35b1.68c
P > F****
Chlorophyll content index (CCI)
0.743.0a55.9b
2.544.4a56.2b
5.045.1a58.6b
7.544.9a63.5a
P > Fns**
Stomatal conductance (mmol m−2 s−1)
0.7267.6a277.9a
2.5274.6a279.8a
5.0270.3a265.3a
7.5262.3a269.5a
P > Fnsns
†: Each value is the mean of three replications. ‡: Different letters in the columns indicate significant differences between treatments according to LSD multiple range tests at p < 0.05. **: significant at p < 0.05. ns: statistically non-significant.
Disclaimer/Publisher’s Note: The statements, opinions and data contained in all publications are solely those of the individual author(s) and contributor(s) and not of MDPI and/or the editor(s). MDPI and/or the editor(s) disclaim responsibility for any injury to people or property resulting from any ideas, methods, instructions or products referred to in the content.

Share and Cite

MDPI and ACS Style

Karaca, C.; Aslan, G.E.; Buyuktas, D.; Kurunc, A.; Bastug, R.; Navarro, A. Effects of Salinity Stress on Drip-Irrigated Tomatoes Grown under Mediterranean-Type Greenhouse Conditions. Agronomy 2023, 13, 36. https://doi.org/10.3390/agronomy13010036

AMA Style

Karaca C, Aslan GE, Buyuktas D, Kurunc A, Bastug R, Navarro A. Effects of Salinity Stress on Drip-Irrigated Tomatoes Grown under Mediterranean-Type Greenhouse Conditions. Agronomy. 2023; 13(1):36. https://doi.org/10.3390/agronomy13010036

Chicago/Turabian Style

Karaca, Cihan, Gulcin Ece Aslan, Dursun Buyuktas, Ahmet Kurunc, Ruhi Bastug, and Alejandra Navarro. 2023. "Effects of Salinity Stress on Drip-Irrigated Tomatoes Grown under Mediterranean-Type Greenhouse Conditions" Agronomy 13, no. 1: 36. https://doi.org/10.3390/agronomy13010036

APA Style

Karaca, C., Aslan, G. E., Buyuktas, D., Kurunc, A., Bastug, R., & Navarro, A. (2023). Effects of Salinity Stress on Drip-Irrigated Tomatoes Grown under Mediterranean-Type Greenhouse Conditions. Agronomy, 13(1), 36. https://doi.org/10.3390/agronomy13010036

Note that from the first issue of 2016, this journal uses article numbers instead of page numbers. See further details here.

Article Metrics

Back to TopTop