Impacts of Biochar on Trifolium incarnatum and Lolium multiflorum: Soil Nutrient Retention and Loss in Sandy Loam Amended with Dairy Manure
Abstract
1. Introduction
2. Materials and Methods
2.1. Experimental Design
2.1.1. Soil Preparation
2.1.2. Biochar Preparation
2.1.3. Treatments
2.1.4. Seeding and Watering
2.2. Sampling and Sample Preparation
2.2.1. Soil
2.2.2. Forage
2.3. Sample Analysis
2.3.1. Soil
2.3.2. Forage
2.4. Statistical Analysis
3. Results
3.1. Herbage Biomass
3.1.1. Trifolium incarnatum
3.1.2. L. multiflorum
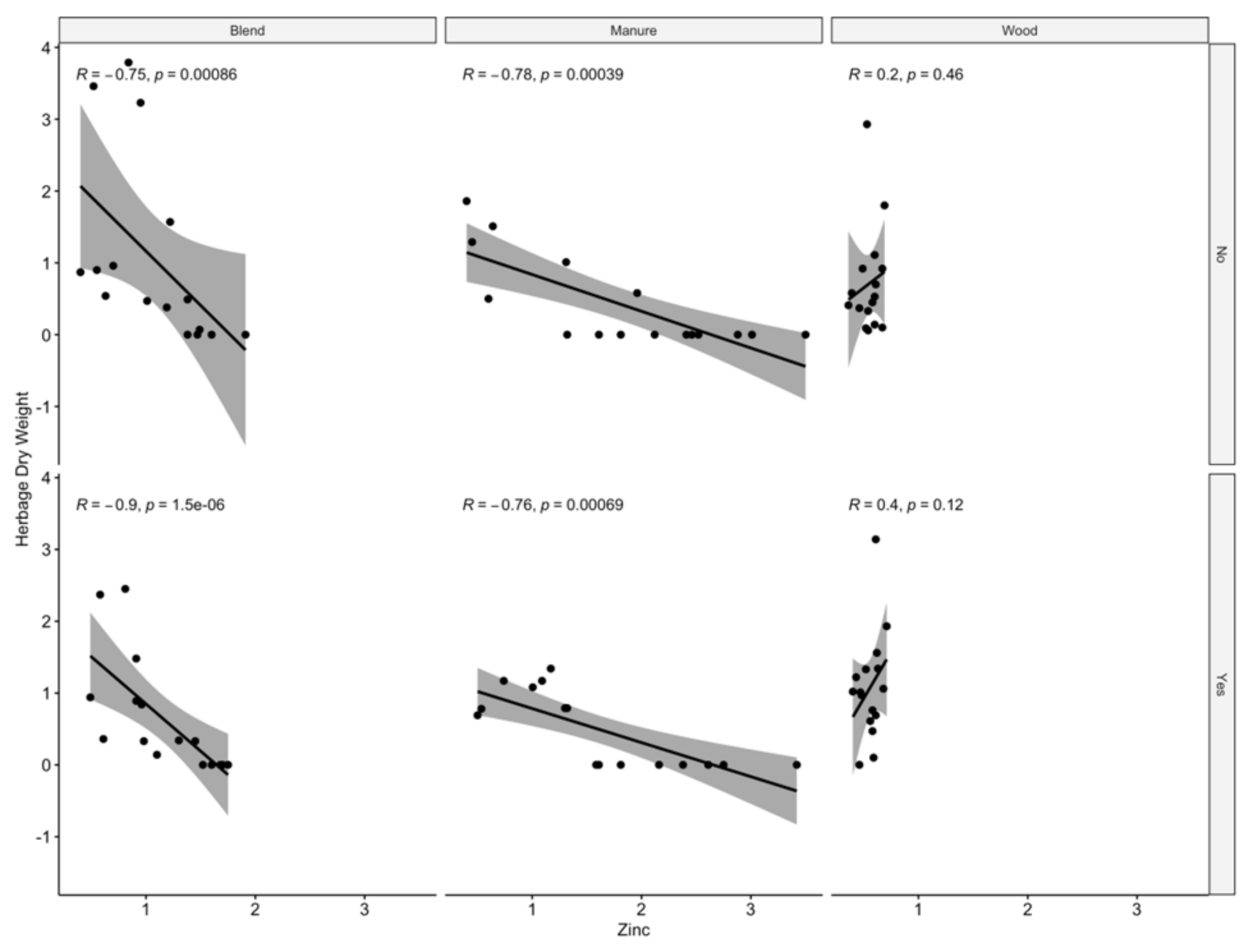
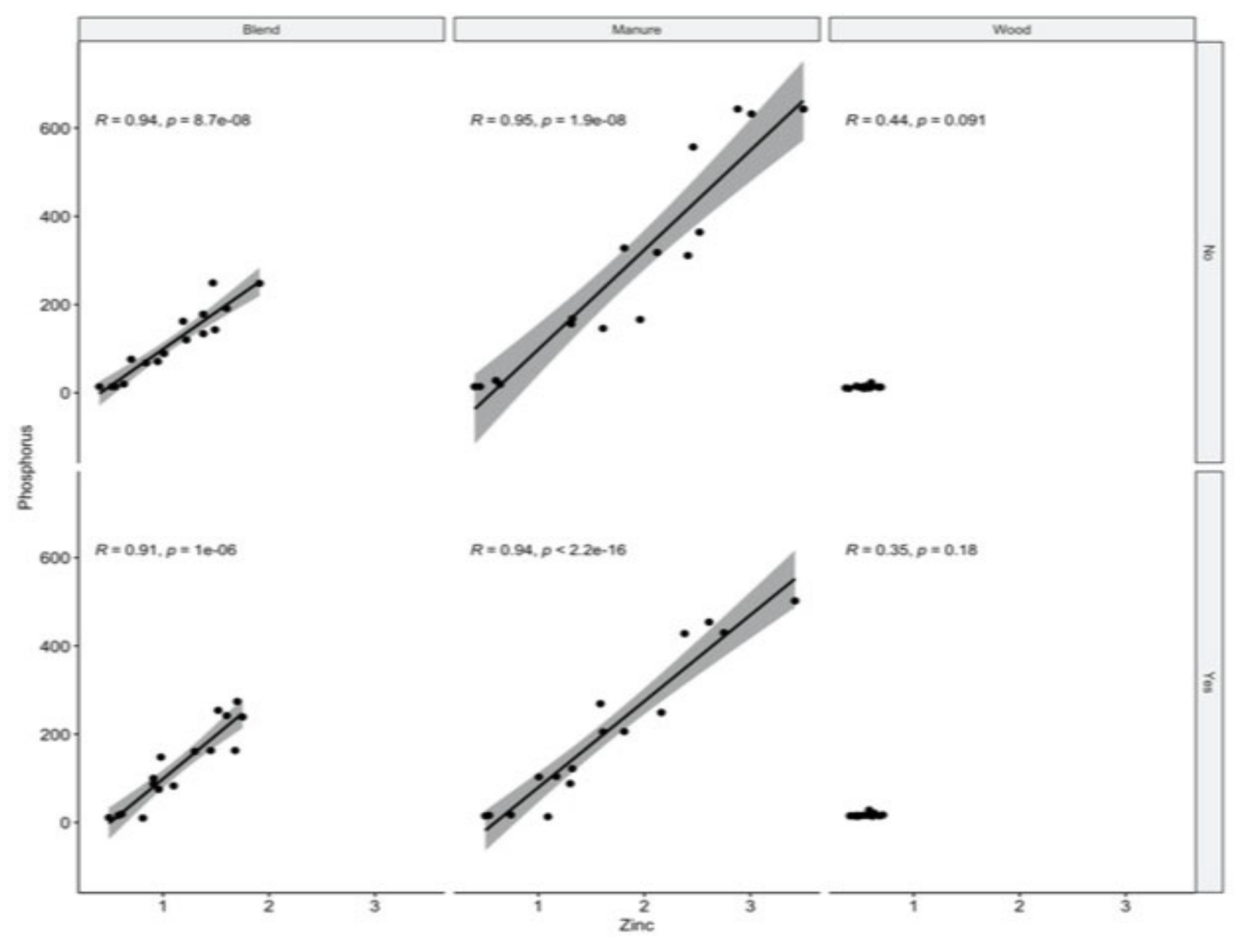
3.2. Soil Phosphorus
3.3. Soil Oxidizable Carbon
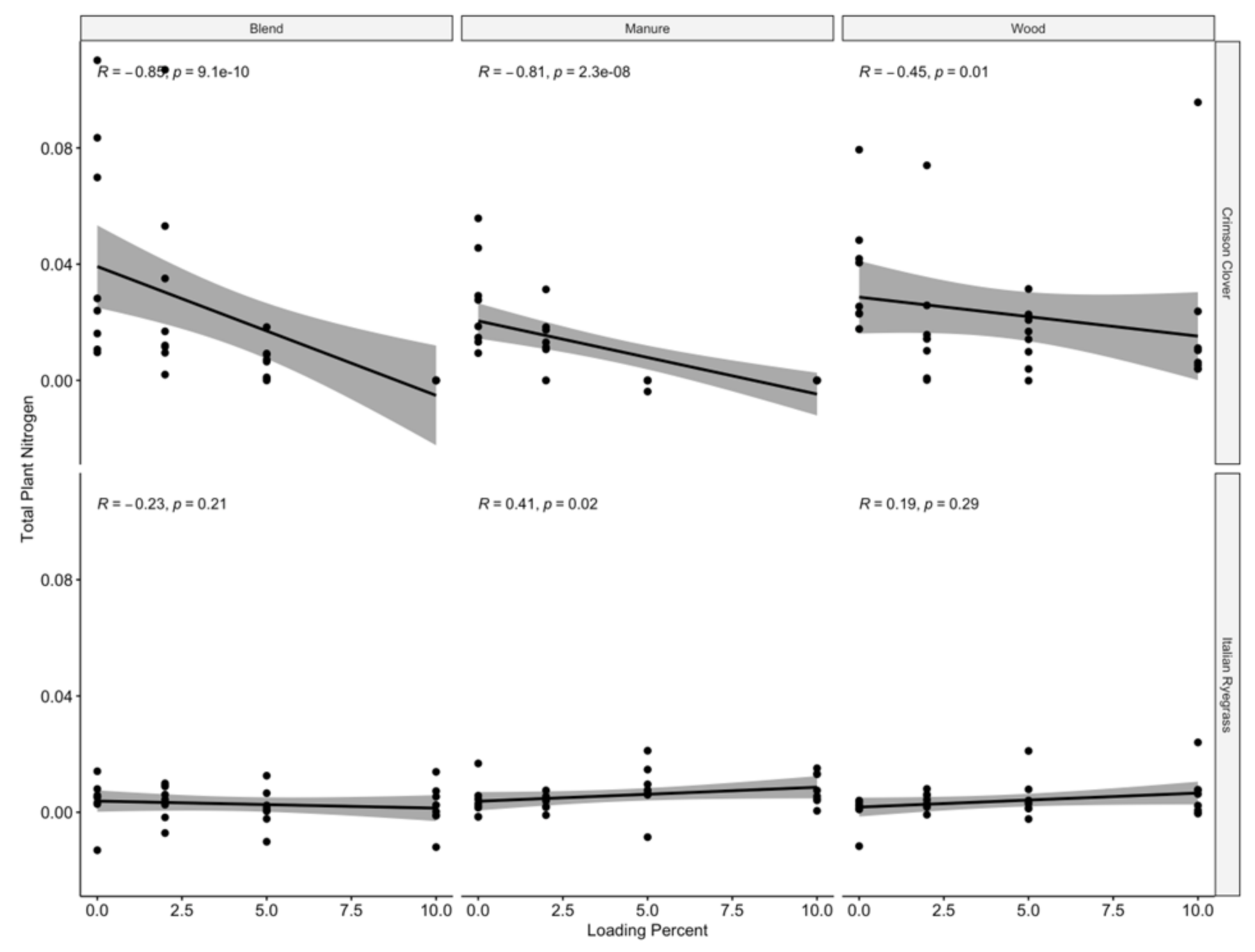
3.4. Forage and Soil Nitrogen
4. Discussion
5. Conclusions
Author Contributions
Funding
Data Availability Statement
Acknowledgments
Conflicts of Interest
References
- United States Department of Agriculture, Natural Resources Conservation Service. Amendments for Treatment of Agricultural Waste, last revised September 2020. Available online: https://www.nrcs.usda.gov/wps/portal/nrcs/detailfull/national/technical/cp/ncps/?cid=nrcs143_026849 (accessed on 4 February 2022).
- United States Department of Agriculture, Natural Resources Conservation Service. Effects of NRCS Conservation Practices—National, last revised September 2020. Available online: https://www.nrcs.usda.gov/Internet/FSE_DOCUMENTS/stelprdb1246743.pdf (accessed on 4 February 2022).
- Food and Agriculture Organization of the United Nations. Nitrogen Inputs to Agricultural Soils from Livestock Manure; FAO: Rome, Italy, 2018; Volume 24, Available online: http://www.fao.org/3/I8153EN/i8153en.pdf (accessed on 4 February 2022).
- Kemppainen, E. Nutrient Content and Fertilizer Value of Livestock Manure with Special Reference to Cow Manure. Ann. Agric. Fenn. 1989, 28, 165–284. [Google Scholar]
- United States Department of Agriculture, Natural Resources Conservation Service. Animal Manure Management; United States Department of Agriculture: Washington, DC, USA, 1995. Available online: https://www.nrcs.usda.gov/wps/portal/nrcs/detail/national/technical/nra/rca/?cid=nrcs143_014211 (accessed on 4 February 2022).
- United States Department of Agriculture, Natural Resources Conservation Service. Agricultural Waste Management Field Handbook; United States Department of Agriculture: Washington, DC, USA, 2011; Chapter 9. Available online: https://www.wcc.nrcs.usda.gov/ftpref/wntsc/AWM/handbook/ch9.pdf (accessed on 4 February 2022).
- Lee, Y.; Oa, S.W. Nutrient Transport Characteristics of Livestock Manure in a Farmland. Int. J. Recycl. Org. Waste Agric. 2013, 2, 1–6. [Google Scholar] [CrossRef]
- Sharpley, A.N.; McDowell, R.W.; Kleinman, P.J.A. Phosphorus Loss from Land to Water: Integrating Agricultural and Environmental Management. Plant Soil 2001, 237, 287–307. [Google Scholar] [CrossRef]
- Frossard, E.; Brossard, M.; Hedley, M.J.; Metherell, A. Reactions Controlling the Cycling of P in Soils. In Phosphorus in the Global Environment; John Wiley & Sons: Hoboken, NJ, USA, 1995; pp. 107–137. [Google Scholar]
- Zhao, S.; Wang, B.; Gao, Q.; Gao, Y.; Liu, S. Adsorption of Phosphorus by Different Biochars. Spectrosc. Lett. 2017, 50, 73–80. [Google Scholar] [CrossRef]
- Choi, Y.K.; Jang, H.M.; Kan, E.; Rose, A.R.; Sun, W. Adsorption of Phosphate in Water on a Novel calcium Hydroxide-coated Dairy Manure-derived Biochar. Environ. Eng. Res. 2019, 24, 434–442. [Google Scholar] [CrossRef]
- Zeng, S.; Kan, E. Sustainable use of Ca(OH)2 modified biochar for phosphorus recovery and tetracycline removal from water. Sci. Total Environ. 2022, 839, 156159. [Google Scholar] [CrossRef]
- Pan, S.Y.; Dong, C.D.; Su, J.F.; Wang, P.Y.; Chen, C.W.; Chang, J.S.; Kim, H.; Huang, C.P.; Hung, C.M. The Role of Biochar in Regulating the Carbon, Phosphorus, and Nitrogen Cycles Exemplified by Soil Systems. Sustainability 2021, 13, 5612. [Google Scholar] [CrossRef]
- Wang, C.; Lu, H.; Dong, D.; Deng, H.; Strong, P.J.; Wang, H.; Wu, W. Insight into the Effects of Biochar on Manure Composting: Evidence Supporting the Relationship between N2O Emission and Denitrifying Community. Environ. Sci. Technol. 2013, 47, 7341–7349. [Google Scholar] [CrossRef]
- Streubel, J.D.; Collins, H.P.; Tarara, J.M.; Cochran, R.L. Biochar Produced from Anaerobically Digested Fiber Reduces Phosphorus in Dairy Lagoons. J. Environ. Qual. 2012, 41, 1166–1174. [Google Scholar] [CrossRef]
- Schulz, H.; Dunst, G.; Glaser, B. Positive Effects of Composted Biochar on Plant Growth and Soil Fertility. Agron. Sustain. Dev. 2013, 33, 817–827. [Google Scholar] [CrossRef]
- Schulz, H.; Glaser, B. Effects of Biochar Compared to Organic and Inorganic Fertilizers on Soil Quality and Plant Growth in a Greenhouse Experiment. J. Plant Nutr. Soil Sci. 2012, 175, 410–422. [Google Scholar] [CrossRef]
- Schulz, H.; Dunst, G.; Glaser, B. No Effect Level of Co-Composted Biochar on Plant Growth and Soil Properties in a Greenhouse Experiment. Agronomy 2014, 4, 34–51. [Google Scholar] [CrossRef]
- Mohan, L.; Zhao, Z.; Wang, L.; Xiai, Y. Influences of rice straw biochar and organic manure on forage soybean nutrient and Cd uptake. Int. J. Phytoremediation 2021, 23, 53–63. [Google Scholar] [CrossRef]
- Xiao, Y.; Liu, M.; Chen, L.; Ji, L.; Zhao, Z.; Wang, L.; Wei, L.; Zhang, Y. Growth and elemental uptake of Trifolium repens in response to biochar addition, arbuscular mycorrhizal fungi and phosphorus fertilizer applications in low-Cd-polluted soils. Environ. Pollut. 2020, 260, 113761. [Google Scholar] [CrossRef] [PubMed]
- Pescatore, A.; Grassi, C.; Rizzo, A.M.; Orlandini, S.; Napoli, M. Effects of biochar on berseem clover (Trifolium alexandrinum, L.) growth and heavy metal (Cd, Cr, Cu, Ni, Pb, and Zn) accumulation. Chemosphere 2021, 287, 131986. [Google Scholar] [CrossRef] [PubMed]
- Liu, M.; Che, Y.; Wang, L.; Zhao, Z.; Zhang, Y.; Wei, L.; Xiao, Y. Rice straw biochar and phosphorus inputs have more positive effects on the yield and nutrient uptake of Lolium multiflorum than arbuscular mycorrhizal fungi in acidic Cd-contaminated soils. Chemosphere 2019, 235, 32–39. [Google Scholar] [CrossRef] [PubMed]
- Demiraj, E.; Libutti, A.; Malltezi, J.; Rroco, E.; Brahushi, F.; Monteleone, M.; Sulce, S. Effect of organic amendments on nitrate leaching mitigation in a sandy loam soil of Shkodra district, Albania. Ital. J. Agron. 2018, 13, 1136. [Google Scholar] [CrossRef]
- Sher, A.; Adnan, M.; Sattar, A.; Ul-Allah, S.; Ijaz, M.; Hassan, M.U.; Manaf, A.; Qayyum, A.; Elesawy, B.H.; Ismail, K.A.; et al. Combined Application of Organic and Inorganic Amendments Improved the Yield and Nutritional Quality of Forage Sorghum. Agronomy 2022, 12, 896. [Google Scholar] [CrossRef]
- United States Department of Agriculture. Windthorst Series, rev. CRC-GLL-CLN-CMR, last revised September 2020. Available online: https://soilseries.sc.egov.usda.gov/OSD_Docs/W/WINDTHORST.html (accessed on 4 February 2022).
- Culman, S.; Freeman, M.; Snapp, S. Procedure for the Determination of Permanganate Oxidizable Carbon; Kellogg Biological Station: Hickory Corners, MI, USA, 2014; Available online: https://lter.kbs.msu.edu/protocols/133 (accessed on 4 February 2022).
- Mehlich, A. New extractant for soil test evaluation of phosphorus, potassium, magnesium, calcium, sodium, manganese, and zinc. Commun. Soil Sci. Plant Anal. 1978, 9, 477–492. [Google Scholar] [CrossRef]
- Keeney, D.; Nelson, D. Nitrogen—Inorganic Forms. In Methods of Soil Analysis; American Society of Agronomy: Madison, WI, USA, 1983. [Google Scholar] [CrossRef]
- Kachurina, O.M.; Zhang, H.; Raun, W.R.; Krenzer, E.G. Simultaneous Determination of Soil Aluminum, Ammonium- and Nitrate-nitrogen using 1 M Potassium Chloride Extraction. Commun. Soil Sci. Plant Anal. 2000, 31, 893–903. [Google Scholar] [CrossRef]
- Marques, A.P.G.C.; Rangel, A.O.S.S.; Castro, P.M.L. Effect of Arsenic, Lead and Zinc on Seed Germination and Plant Growth in Black Nightshade (Solanum nigrum L.) vs. Clover (Trifolium incarnatum L.). Fresenius Environ. Bull. 2007, 16, 896–903. [Google Scholar]
- Niraula, S.; Choi, Y.K.; Payne, K.; Muir, J.P.; Kan, E.; Chang, W.S. Dairy Effluent-Saturated Biochar Alters Microbial Communities and Enhances Bermudagrass Growth and Soil Fertility. Agronomy 2021, 19, 1794. [Google Scholar] [CrossRef]
- Hannaway, D.; Fransen, S.; Cropper, J.; Teel, M.; Chaney, M.; Griggs, T.; Halse, R.; Hart, J.; Cheeke, P.; Hansen, D.; et al. Annual ryegrass. 1999. Available online: http://content.libraries.wsu.edu/index.php/utils/getfile/collection/cahnrs-arch/id/424/filename/7935182432004_PNW501.pdf (accessed on 4 February 2022).
- Nartey, O.D.; Zhao, B. Biochar Preparation, Characterization, and Adsorptive Capacity and its Effect on Bioavailability of Contaminants: An Overview. Adv. Mater. Sci. Eng. 2014, 2014, 715398. [Google Scholar] [CrossRef]
- Greenwood, E.A.N.; Hallsworth, E.G. Studies on the Nutrition of Forage Legumes: II. Some Interactions of Calcium, Phosphorus, Copper and Molybdenum on the Growth and Chemical Composition of Trifolium subterraneum L. Plant Soil 1960, 12, 97–127. [Google Scholar] [CrossRef]
- Provin, T.L.; Pitt, J.L.; Phosphorus—Too much and Plants may Suffer. Texas A&M AgriLife Communications. Available online: https://agrilifeextension.tamu.edu/library/gardening/phosphorus-too-much-and-plants-may-suffer/ (accessed on 4 February 2022).
- Rout, G.; Das, P. Effect of Metal Toxicity on Plant Growth and Metabolism: I. Zinc. Agronomie 2003, 23, 3–11. [Google Scholar] [CrossRef]
- Pang, J.; Tibbett, M.; Denton, M.D.; Lambers, H.; Siddique, K.H.M.; Bolland, M.D.A.; Revell, C.K.; Ryan, M.H. Variation in Seedling Growth of 11 Perennial Legumes in Response to Phosphorus Supply. Plant Soil 2010, 328, 133–143. [Google Scholar] [CrossRef]
- Sharma, N.C.; Sahi, S.V. Characterization of Phosphate Accumulation in Lolium multiflorum for Remediation of Phosphorus-enriched Soils. Environ. Sci. Technol. 2005, 39, 5475–5480. [Google Scholar] [CrossRef]
- Cely, P.; Gascó, G.; Paz-Ferreiro, J.; Méndez, A. Agronomic Properties of Biochars from Different Manure Wastes. J. Anal. Appl. Pyrolysis 2015, 111, 173–182. [Google Scholar] [CrossRef]
- Li, X.; Xu, S.; Neupane, A.; Abdoulmoumine, N.; DeBruyn, J.M.; Walker, F.R.; Jagadamma, S. Co-application of Biochar and Nitrogen Fertilizer Reduced Nitrogen Losses from Soil. PLoS ONE 2021, 16, e0248100. [Google Scholar] [CrossRef] [PubMed]
- Ball, D.; Collins, M.; Lacefield, G.; Martin, N.; Mertens, D.; Olson, K.; Putnam, D.; Undersander, D.; Wolf, M. Understanding Forage Quality; American Farm Bureau Federation Publication: Washington, DC, USA, 2001; Volume 1. [Google Scholar]









| Comparison | p-Value |
|---|---|
| Control—10% Blend S− BC * | 0.041 |
| Control—10% Blend S+ BC | 0.029 |
| Control—5% Manure S− BC | 0.036 |
| Control—5% Manure S+ BC | 0.043 |
| Control—10% Manure S− BC | 0.034 |
| Control—10% Manure S+ BC | 0.042 |
| 2% Blend S− BC—10% Blend S− BC | 0.037 |
| 5% Blend S+ BC—5% Manure S+ BC | 0.049 |
| 2% Manure S+ BC—5% Manure S+ BC | 0.048 |
| 2% Manure S+ BC—10% Manure S+ BC | 0.047 |
| Loading Percent | Wood BC * | Blend BC | Manure BC | |||
|---|---|---|---|---|---|---|
| S− | S+ | S− | S+ | S− | S+ | |
| g | ||||||
| Control | 1.455 | 1.275 | 0.885 | 1.655 | 1.400 | 0.975 |
| 2% | 0.640 | 0.890 | 2.095 | 0.865 | 0.290 | 0.935 |
| 5% | 0.235 | 0.990 | 0.435 | 0.330 | 0.000 | 0.000 |
| 10% | 0.370 | 1.015 | 0.000 | 0.000 | 0.000 | 0.000 |
| Comparison | p-Value |
|---|---|
| Control—10% Blend S− BC * | 0.044 |
| Control—5% Manure S− BC | 0.044 |
| Control—10% Manure S− BC | 0.043 |
| 2% Blend S− BC—10% Blend S− BC | 0.039 |
| Loading Percent | Wood BC * | Blend BC | Manure BC | |||
|---|---|---|---|---|---|---|
| S− | S+ | S− | S+ | S− | S+ | |
| g | ||||||
| Control | 1.175 | 0.785 | 1.115 | 0.855 | 0.855 | 0.925 |
| 2% | 0.450 | 0.990 | 1.675 | 0.810 | 0.125 | 0.505 |
| 5% | 0.230 | 0.940 | 0.255 | 0.195 | 0.000 | 0.000 |
| 10% | 0.295 | 0.465 | 0.000 | 0.000 | 0.000 | 0.000 |
| Loading Percent | ||||
|---|---|---|---|---|
| BC Type | 0% | 2% | 5% | 10% |
| ppm | ||||
| Wood S− BC * | 0.2 | 0.9282 | 2.0205 | 3.841 |
| Wood S+ BC | 0.2 | 1.003 | 2.2075 | 4.215 |
| Blend S− BC | 0.2 | 3.1996 | 7.699 | 15.198 |
| Blend S+ BC | 0.2 | 4.1694 | 10.1235 | 20.047 |
| Manure S− BC | 0.2 | 5.9146 | 14.4865 | 28.773 |
| Manure S+ BC | 0.2 | 6.2436 | 15.309 | 30.418 |
| Wood BC * | Blend BC | Manure BC | |
|---|---|---|---|
| % | |||
| Nitrogen | 0.211 | 0.290 | 0.738 |
| Phosphorus | 0.004 | 0.631 | 1.149 |
| Potassium | 0.214 | 1.767 | 4.392 |
| Calcium | 0.216 | 3.649 | 6.389 |
| Magnesium | 0.035 | 0.722 | 2.615 |
| Sodium | 0.059 | 0.326 | 0.742 |
| Ash | 5.83 | 22.94 | 40.05 |
| Fixed Carbon | 60.70 | 42.27 | 23.83 |
| Volatile Matter | 27.84 | 30.21 | 32.57 |
| ppm | |||
| Zinc | 36.61 | 150.18 | 285.93 |
| Iron | 775.36 | 3721.51 | 7708.70 |
| Copper | 12.62 | 62.29 | 153.70 |
| Manganese | 139.14 | 330.85 | 432.47 |
| Sulfur | 13.70 | 3943.97 | 3167.22 |
| Boron | 2.32 | 6.22 | 29.74 |
| pH | 8.8 | 9.4 | 10.2 |
| Comparison | Percent Difference | p-Value |
|---|---|---|
| Control—10% Wood S+ BC * | +92.90% | 0.035 |
| Control—10% Blend S+ BC | +82.24% | 0.018 |
| Control—2% Manure S+ BC | +89.40% | 0.038 |
| Control—5% Manure S− BC | +97.30% | 0.043 |
| Control—5% Manure S+ BC | +114.59% | 0.016 |
| Control—10% Manure S+ BC | +139.85% | 0.017 |
| 5% Wood S+ BC—10% Wood S+ BC | +93.85% | 0.030 |
| 10% Wood S− BC—10% Wood S+ BC | +135.06% | 0.005 |
| 2% Manure S− BC—2% Wood S− BC | −122.65% | 0.027 |
| 5% Manure S− BC—5% Wood S− BC | −129.59% | 0.009 |
| 5% Manure S+ BC—5% Wood S+ BC | −91.75% | 0.029 |
| 10% Manure S− BC—10% Manure S+ BC | +134.81% | 0.047 |
| Loading Percent | Wood BC * | Blend BC | Manure BC | |||
|---|---|---|---|---|---|---|
| S− | S+ | S− | S+ | S− | S+ | |
| g | ||||||
| Control | 0.920 | 0.830 | 0.755 | 0.625 | 0.755 | 0.600 |
| 2% | 0.345 | 1.270 | 0.900 | 0.895 | 1.460 | 1.570 |
| 5% | 0.465 | 0.820 | 1.145 | 0.760 | 2.200 | 2.205 |
| 10% | 0.435 | 2.270 | 1.065 | 1.510 | 0.660 | 3.385 |
| Wood S− BC * | Wood S+ BC | ||||
|---|---|---|---|---|---|
| Loading | BC Effect p-Value | Forage Effect p-Value | Loading | BC Effect p-Value | Forage Effect p-Value |
| 2% | 0.946 | 0.771 | 2% | 0.960 | 0.936 |
| 5% | 0.607 | 0.869 | 5% | 0.730 | 0.602 |
| 10% | 0.974 | 0.928 | 10% | 0.953 | 0.635 |
| Blend S− BC | Blend S+ BC | ||||
| Loading | BC effect p-value | Forage effect p-value | Loading | BC effect p-value | Forage effect p-value |
| 2% | 0.177 | 0.897 | 2% | 0.079 | 0.981 |
| 5% | 0.048 | 0.940 | 5% | 0.014 | 0.990 |
| 10% | 0.010 | 0.953 | 10% | 0.003 | 0.912 |
| Manure S− BC | Manure S+ BC | ||||
| Loading | BC effect p-value | Forage effect p-value | Loading | BC effect p-value | Forage effect p-value |
| 2% | 0.0732 | 0.962 | 2% | 0.127 | 0.894 |
| 5% | 0.007 | 0.984 | 5% | 0.012 | 0.931 |
| 10% | 0.002 | 0.994 | 10% | 0.002 | 0.994 |
| Wood S− BC * | Wood S+ BC | ||||
|---|---|---|---|---|---|
| Loading | BC Effect p-Value | Forage Effect p-Value | Loading | BC Effect p-Value | Forage Effect p-Value |
| 2% | 0.925 | 0.891 | 2% | 0.380 | 0.652 |
| 5% | 0.829 | 0.442 | 5% | 0.832 | 0.602 |
| 10% | 0.799 | 0.748 | 10% | 0.854 | 0.431 |
| Blend S− BC | Blend S+ BC | ||||
| 2% | 0.077 | 0.993 | 2% | 0.052 | 0.978 |
| 5% | 0.015 | 0.943 | 5% | 0.009 | 0.978 |
| 10% | 0.003 | 0.974 | 10% | 0.001 | 0.9406 |
| Manure S− BC | Manure S+ BC | ||||
| 2% | 0.027 | 0.953 | 2% | 0.046 | 0.953 |
| 5% | 0.002 | 0.959 | 5% | 0.002 | 0.820 |
| 10% | 0.0004 | 1.00 | 10% | 0.0005 | 0.978 |
| Wood S− BC * | Wood S+ BC | ||
|---|---|---|---|
| Loading | Median | Loading | Median |
| ppm | ppm | ||
| 0% | 13 | 0% | 16.5 |
| 2% | 12.5 | 2% | 16 |
| 5% | 14 | 5% | 15.5 |
| 10% | 12 | 10% | 17 |
| Blend S− BC | Blend S+ BC | ||
| ppm | ppm | ||
| 0% | 14 | 0% | 13.5 |
| 2% | 73.5 | 2% | 85 |
| 5% | 138.5 | 5% | 162 |
| 10% | 219.5 | 10% | 248 |
| Manure S− BC | Manure S+ BC | ||
| ppm | ppm | ||
| 0% | 16.5 | 0% | 15.5 |
| 2% | 161 | 2% | 103.5 |
| 5% | 323 | 5% | 227.5 |
| 10% | 637.5 | 10% | 442 |
| Wood S− BC * | Wood S+ BC | ||
|---|---|---|---|
| Loading | Median | Loading | Median |
| ppm | ppm | ||
| 0% | 13 | 0% | 15 |
| 2% | 14 | 2% | 18 |
| 5% | 11.5 | 5% | 16 |
| 10% | 14 | 10% | 14.5 |
| Blend S− BC | Blend S+ BC | ||
| ppm | ppm | ||
| 0% | 13 | 0% | 13 |
| 2% | 86 | 2% | 84.5 |
| 5% | 157 | 5% | 160.5 |
| 10% | 237.5 | 10% | 252.5 |
| Manure S− BC | Manure S+ BC | ||
| ppm | ppm | ||
| 0% | 14 | 0% | 13.5 |
| 2% | 161 | 2% | 107 |
| 5% | 313.5 | 5% | 264.5 |
| 10% | 634 | 10% | 428.5 |
| Loading Percent | Wood BC * | Blend BC | Manure BC | |||
|---|---|---|---|---|---|---|
| S− | S+ | S− | S+ | S− | S+ | |
| mg | ||||||
| Control | 24.17 | 41.18 | 22.17 | 46.91 | 29.42 | 23.13 |
| 2% | 12.26 | 20.07 | 32.56 | 13.19 | 5.70 | 17.88 |
| 5% | 6.89 | 21.75 | 8.18 | 3.54 | 0.00 | 0.00 |
| 10% | 5.72 | 17.44 | 0.00 | 0.00 | 0.00 | 0.00 |
| Loading Percent | Wood BC * | Blend BC | Manure BC | |||
|---|---|---|---|---|---|---|
| S− | S+ | S− | S+ | S− | S+ | |
| mg | ||||||
| Control | 2.37 | 1.22 | 4.28 | 6.56 | 2.53 | 3.03 |
| 2% | 3.62 | 4.21 | 0.41 | 7.47 | 5.00 | 1.28 |
| 5% | 2.12 | 5.58 | 0.90 | 4.45 | 12.15 | 6.44 |
| 10% | 0.25 | 7.68 | −0.41 | 4.87 | 4.37 | 13.15 |
Disclaimer/Publisher’s Note: The statements, opinions and data contained in all publications are solely those of the individual author(s) and contributor(s) and not of MDPI and/or the editor(s). MDPI and/or the editor(s) disclaim responsibility for any injury to people or property resulting from any ideas, methods, instructions or products referred to in the content. |
© 2022 by the authors. Licensee MDPI, Basel, Switzerland. This article is an open access article distributed under the terms and conditions of the Creative Commons Attribution (CC BY) license (https://creativecommons.org/licenses/by/4.0/).
Share and Cite
Taggart, C.B.; Muir, J.P.; Brady, J.A.; Kan, E.; Mitchell, A.B.; Obayomi, O. Impacts of Biochar on Trifolium incarnatum and Lolium multiflorum: Soil Nutrient Retention and Loss in Sandy Loam Amended with Dairy Manure. Agronomy 2023, 13, 26. https://doi.org/10.3390/agronomy13010026
Taggart CB, Muir JP, Brady JA, Kan E, Mitchell AB, Obayomi O. Impacts of Biochar on Trifolium incarnatum and Lolium multiflorum: Soil Nutrient Retention and Loss in Sandy Loam Amended with Dairy Manure. Agronomy. 2023; 13(1):26. https://doi.org/10.3390/agronomy13010026
Chicago/Turabian StyleTaggart, Cosette B., James P. Muir, Jeff A. Brady, Eunsung Kan, Adam B. Mitchell, and Olabiyi Obayomi. 2023. "Impacts of Biochar on Trifolium incarnatum and Lolium multiflorum: Soil Nutrient Retention and Loss in Sandy Loam Amended with Dairy Manure" Agronomy 13, no. 1: 26. https://doi.org/10.3390/agronomy13010026
APA StyleTaggart, C. B., Muir, J. P., Brady, J. A., Kan, E., Mitchell, A. B., & Obayomi, O. (2023). Impacts of Biochar on Trifolium incarnatum and Lolium multiflorum: Soil Nutrient Retention and Loss in Sandy Loam Amended with Dairy Manure. Agronomy, 13(1), 26. https://doi.org/10.3390/agronomy13010026

