Next Article in Journal
Crop Productivity, Nutritional and Economic Benefits of No-Till Systems in Smallholder Farms of Ethiopia
Next Article in Special Issue
Is Diversified Crop Rotation an Effective Non-Chemical Strategy for Protecting Triticale Yield and Weed Diversity?
Previous Article in Journal
Effect of Ustilago maydis on the Nutritive Value and Aerobic Deterioration of Maize Silage
Previous Article in Special Issue
The Biomass Productivity of Maize, Hemp and Faba Bean Multi-Crops
error_outline You can access the new MDPI.com website here. Explore and share your feedback with us.
 
 
Font Type:
Arial Georgia Verdana
Font Size:
Aa Aa Aa
Line Spacing:
Column Width:
Background:
Article

Alternative Approaches to Chemical Thinning for Regulating Crop Load and Alternate Bearing in Apple

1
Institute of Agricultural Engineering, University of Bonn, 53113 Bonn, Germany
2
Department of Agricultural and Biological Engineering, Faculty of Engineering, Rajamangala University of Technology Lanna (RMUTL), Chiang Mai 50000, Thailand
3
Institute of Crop Sciences and Resource Conservation (INRES), Horticultural Sciences, University of Bonn, 53121 Bonn, Germany
*
Author to whom correspondence should be addressed.
This author has passed away in 2021.
Agronomy 2023, 13(1), 112; https://doi.org/10.3390/agronomy13010112
Submission received: 22 November 2022 / Revised: 23 December 2022 / Accepted: 24 December 2022 / Published: 29 December 2022
(This article belongs to the Special Issue Non-chemical Approach in Crop Production Systems)

Abstract

In the past, chemical thinning dominated in fruit orchards. This paper for the special issue outlines alternatives to chemical thinning for crop load management (CLM) and its effect on fruit size, firmness, sugar, starch, and weight, indicating ripeness and fruit quality, yield, and alternate bearing. A total of 450 apple trees (Malus domestica Borkh., cv. ‘Roter Boskoop’; six years old) on M9 rootstock were used at the Klein-Altendorf experimental station (50° N) of the University of Bonn, Germany. As the first alternatives, trees were mechanically blossom-thinned at the balloon stage (BBCH 59) with a rotor speed of 320 rpm or 380 rpm at 5 km/h tractor speed or were chemically thinned at the full bloom stage (BBCH 65) with ammonium thiosulfate (ATS), ethephon (ETH), and/or 6-benzyladenine (BA) at 10–12 mm fruit size (BBCH 71) after applying ATS/ETH. Flower clusters and/or cluster leaves (source) were manually removed to determine the optimum sink-source ratio to achieve different ratios of fruitlets (sink) relative to the leaves (source) at fruit set (BBCH 67–69). Un-thinned, adjacent trees served as the control. The majority of CLM methods improved fruit size and weight. Removing cluster leaves at fruit set increased fruit size and weight of the remaining fruit, which has not been observed before. The most effective treatment for fruit size and weight and return bloom was the 75% flower cluster and complete cluster leaf removal. Removal of more than 50% of flower clusters successfully improved return bloom, indicative of alternate bearing. The mechanical blossom thinning had a positive effect on fruit size and weight with a return bloom similar to that of removal of 50% flower clusters.

1. Introduction

In fruit trees, a large number of fruits can result in slow fruit growth and small fruit size. Therefore, a reduction in fruit load can be beneficial in fruit production to achieve optimum fruit quality. Crop load management (CLM) is an elegant strategy to improve fruit quality [1]. The two CLM methods commonly used in fruit cultivation are pruning and thinning. All CLM methods also aim to overcome biennial bearing [2], a major problem in pome and stone fruit as well as citrus cultivation worldwide, with severe fluctuations in yield from year to year [3]. Biennial bearing may be cultivar dependent [4] and is influenced by: (a) biotic factors such as fruit load, carbohydrates and hormones associated with flowering, seed development, basipetal gibberellic acid (GA3) transport, and (b) abiotic environmental factors such as drought and spring frost [5].
Early thinning can moderate alternate bearing in many perennial fruit trees [6]. Early hand thinning removes either flower buds (artificial spur extinction; ASE) [7] or diseased or under-sized fruitlets in July, but it requires extensive manpower. In the past, chemical thinners including ammonium thiosulfate (ATS), ethephon (ETH), and naphthalene acetic acid (NAA) were used to remove excess flowers or fruitlets [8] or 6-benzyladenine (6-BA) for fruitlet thinning [9]. One shortcoming of chemical thinning is its dependence upon weather conditions and cultivar [10,11]. Approximately 7% of flowers are necessary in apple to achieve a sufficient yield of high fruit quality [12]. Mechanical blossom thinning is regarded as an environmentally friendly alternative and reduces the number of unwanted flowers [13,14].
At the time of flowering, carbohydrate reserves stored overwinter in bark and roots, as well as new carbohydrates formed in photosynthesis by cluster leaves, are the sources for flower and fruit growth [15,16]. In addition, cluster leaves or spur leaves are the only source of current photosynthate for fruit (sink) growth until approximately 3 weeks after full bloom in apple [17]. Removal of cluster leaves by hand is experimentally the most selective way to affect fruitlet development. Thus, this approach also decreases fruit set in flower clusters. Cluster leaf defoliation at petal fall did not inhibit return bloom, whereas the bourse shoot defoliation did [18]. We hypothesized that cluster leaves play a critical role in fruit growth and fruit quality. Hence, we manipulated the source:sink relationship in order to determine the contribution of the cluster leaves and stored carbohydrates to fruit set, which has not been reported before to our knowledge.
Thus, this research investigated alternative approaches to chemical thinning for CLM by three thinning methods and the effect of manual flower and cluster leaf removal on the number of fruitlets, fruit size and weight, and alternate bearing.

2. Materials and Methods

2.1. Trees Treatment and Location

Six-year-old apple trees cv. ‘Roter Boskoop’ on M9 rootstock were selected for the present study at the Klein-Altendorf field laboratory (50° N 6° E) of the University of Bonn, Germany. The 450, ca. 2.30 m tall, apple trees at a planting distance of 3.5 m × 1 m had been trained as slender spindles with a large blossom intensity of 8 in 2018 on the 1–9 scale of the blossom intensity scale (1 = no flowers to 9 = white blossom) [19] after the spring frost in April 2017. Treatments consisted of chemical or mechanical thinning of whole trees and leaf or flower cluster removal by hand; the control was not treated (Table 1).

2.2. Flower Cluster and Fruit Counting as Well as Return Bloom

Apple flower clusters on whole trees were counted on 19 April 2018 at the balloon stage (BBCH 59) [20] before CLM. Fruit set was calculated based on the number of fruit per 100 flower clusters before and after the June drop in 2018. Return bloom, as a measure of alternate bearing in the subsequent year (2019), was expressed using the blossom intensity scale on 10 detached branches per treatment subjected to a temperature of 20 °C from December 2018 to February 2019 until flowering [21].

2.3. Modification of Source: Sink Relationship in the Flower Cluster by Flower Cluster and Cluster Leaf Removal by Hand

Flower clusters and/or cluster leaves were removed to determine the optimum sink-source ratio to achieve a different number of fruitlets (sink) relative to the number of leaves (source). At the beginning of flowering (BBCH 59–61), 25% (treatment H1), 50% (treatment H4), or 75% (treatment H7) of flower clusters were removed manually. After full bloom (BBCH 67–69), 50% (treatment H2, H5, and H8) of cluster leaves or 100% (treatment H3, H6, and H9) of leaves in flower clusters were removed (Figure 1a,b), as can happen in hailstorms.

2.4. Mechanical Thinning

The Bonner thinning device [13] (Figure 2a) was used with three adjustable horizontal rotors mounted on the front of a tractor and was operated at a tractor speed of 5 km/h and rotor speeds of 320 rpm (treatment M1) resulting in an integrated coefficient of thinning (ICT) of 3.8 (formula 1) or 380 rpm with an ICT of 6.3 at the balloon stage (BBCH 59) on 20 April 2018 (Table 1, treatment M2). The ICT was developed to devise critical thresholds and aid future decision-making processes [22]:
I C T = m × s 2 F S × v × r
where FS is the fruit set (%), m is mass of a rope in the brush (3 g), s is rotor speed (rpm), r is radius (m), i.e., length of a rope in the brush (0.3 m), and v is the vehicle speed or velocity (km/h).

2.5. Chemical Thinning

ATS (15 L/ha application rate) was combined with ethephon (420 g/L active ingredient, application rate of 0.3 L/ha) in a spray volume of 1000 L/ha for the first chemical thinning to remove blossoms at full bloom (BBCH 65) (Figure 2b) on 24 April 2018 at 10 am (15 °C, 56% RH and 3 m/s wind speed) in treatment C1. At the onset of fruitlet development (BBCH 71), 6-benzyladenine (BA) (7.5 L/ha application rate) was also applied with an air-blast sprayer on 4 May 2018 when the air temperature was 19 °C with 35% RH for the second chemical thinning to remove fruitlets in treatment C2 (Table 1).

2.6. Fruit Size and Maturity Assessment

One week before regular harvesting, ten apple fruits from all trees in each CLM treatment were examined for fruit size and maturity using an ART system (UP Co., Osnabrück, Germany). The Streif index was calculated from fruit firmness measured by a penetrometer with a 10 mm2 plunger, total soluble solids (TSS) concentration was measured using a digital refractometer (type PR 32; Atago Co., Tokyo, Japan) and starch breakdown after iodine-potassium staining was assessed on a 1–10 scale (no starch breakdown to complete starch breakdown) [22]. The remaining apple fruits were harvested on 22 September 2018. Fruit size was averaged from apples of 10 trees per treatment by an automatic grading machine (type Greefa MSE 2000; Geldermalsen, Holland).

2.7. Experimental Design and Statistical Analysis

The manual CLM treatments H1–H9 were on whole trees, whereas both the mechanical (treatment M1 and M2) and chemical treatments (treatment C1 and C2) were on 10 adjacent trees in a row, which served as 9 replicates per treatment, and were separated by a border tree. Two rows contained ten untreated trees, which served as un-thinned control. The fruit set, as the number of remaining apple fruit before (Figure 3 and Figure 4) and after (Figure 5 and Figure 6) June drop, and fruit size and quality were statistically evaluated using SPSS version 24 (SPSS Co., Detroit, MI, USA). Levene’s test was applied for the examination of the homogeneity of variances. The Dunnett-T3 test determined the difference between group means and the un-thinned control at the 95% confidence level, whereas LSDs indicate the difference between group means in case of homogeneous variances.

3. Results

3.1. Effect of CLM on Fruit Set before and after June Drop

The fruit set and/or thinning efficiency as the number of apple fruitlets before June drop expressed per 100 flower clusters (=100%) is presented for the mechanical, chemical, and manual thinning in Figure 3, whereas Figure 4 presents the underlying regulatory mechanisms and source-sink modification by cluster leaf removal.
The efficiency of CLM in terms of fruit set reduction was successful when 50% or 75% flower clusters were removed compared with the un-thinned control, resulting in 56 and 46 fruitlets per hundred flower clusters (Figure 3). The faster rotor speed of mechanical thinning of 380 rpm with the ICT of 6.2 (treatment M2) removed more flowers and thinned more effectively than the slower rotation speed of 320 rpm with the ICT of 3.6 (treatment M1) (46.5 and 56.5 fruitlets per hundred flower clusters, respectively). Both rotor speeds were as or were more efficient than the two chemical treatments of ATS/ETH at full bloom (BBCH 65) (treatment C1) and ATS/ETH/BA at a fruit size 10–12 mm (BBCH 71) (treatment C2) (65.6 and 60 fruitlets per hundred flower clusters, respectively), based on the number of fruitlets per 100 flower cluster before June drop (Figure 3).
Fruit set was successfully decreased if more than 50% of cluster leaves were removed (Figure 4). The loss of 100% photosynthesizing cluster leaf area (treatment R2) induced a significantly stronger flower/fruitlet drop than that of 50% cluster leaf removal (treatment R1) (54% and 77%, respectively) (Table 2). Only two treatments (R1 and H1), the un-thinned flower cluster with 50% cluster leaf removal and 25% flower cluster removal with all cluster leaves remaining, had a larger fruit set (77.3% and 83.3%, respectively) than that of the un-thinned control.
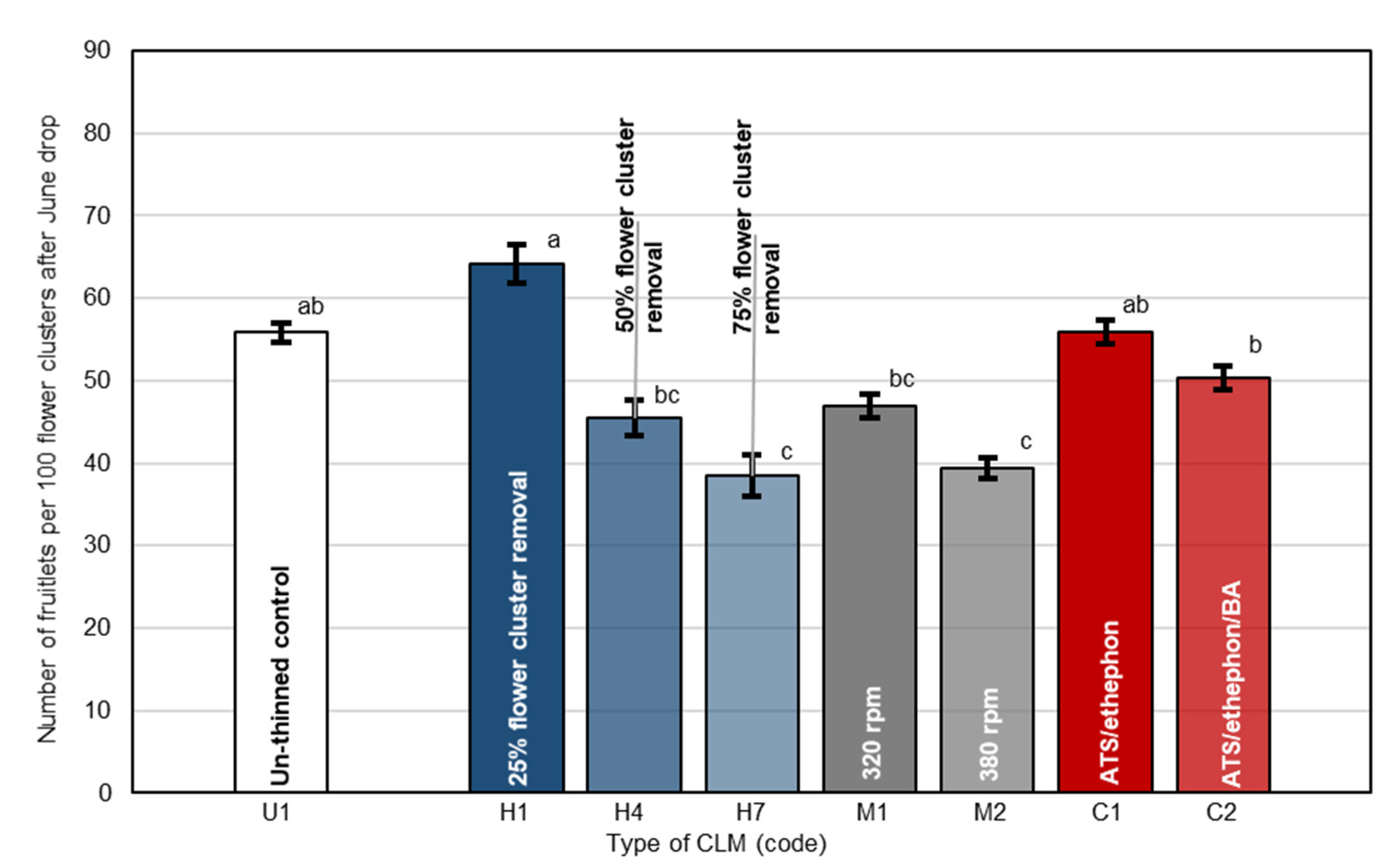
The trees compensated for excessive fruitlet removal by reducing their June drop. Consequently, the number of fruitlets per 100 flower clusters significantly declined in the strong CLM treatments (Figure 5). Chemical thinning using ATS/ETH (treatment C1) and ATS/ETH/BA (treatment C2) had a negligible effect (56% and 50%, respectively) on either June drop or total fruit drop in comparison with the un-thinned control trees (treatment U1). Two CLM treatments, hand removal of 50% (treatment H4) and 75% flower clusters (treatment H7), resulted in the intended reduction of fruitlets per 100 flower clusters (45.5% and 38%, respectively) (Table 2). Similarly, both rotor speeds of the mechanical thinning device were successful in reducing fruit set with 39% (treatment M2) and 47% (treatment M1), respectively.
There was a similar trend in the number of fruitlets per 100 flower clusters after June drop from all treatments with flower and/or cluster leaf removal by hand (Figure 6) with the number of fruits before June drop (Figure 4). Removal of cluster leaves succeeded in reducing fruit set both before (treatment H3–H9; Figure 4) and after June drop (treatment H5–H9; Figure 6). Loss of 100% photosynthesizing cluster leaf area (treatment R2) induced less fruit set than that induced by 50% cluster leaf removal (treatment R1) (47% and 59%, respectively) (Figure 6). The combined 75% flower cluster and complete cluster leaf removal (treatment H9) achieved the significantly smallest fruit set after June drop (35%) compared with the un-thinned control (treatment U1) (Table 2).

3.2. CLM Affects June Drop

The intensity of the natural June drop was reduced to different extents by CLM at flowering. Following severe flower cluster removal, there was a small June drop in contrast to a stronger June drop after slight flower cluster removal (Figure 7 and Figure 8).
The 75% flower cluster and all cluster leaf removal (treatment H9) was the strongest manipulation with a close source:sink relationship and induced the smallest June drop reduction (7%, with 93% of fruit remaining) (Figure 8). This CLM had the smallest number of fruitlets before (Figure 4) and after June drop (Figure 6). However, all treatments with a wide source:sink relationship produced a large June drop, such as 50% cluster leaf removal (treatment R1), 50% flower cluster and 50% cluster leaf removal (treatment H5), and 25% flower cluster removal with remaining cluster leaves (treatment H1) (24%, 23%, and 22%, respectively) in comparison with that of the un-thinned control (treatment U1) (19%) (Figure 8). All four treatments of 100% cluster leaf removal (treatment R2, H3, H6, and H9) successfully reduced fruit set before and after June drop (Figure 8).

3.3. Effect of CLM on Fruit Quality and Yield

Except for starch, the internal quality of apple cv. ‘Roter Boskoop’ in all treatments was within or exceeded the recommended range at fruit harvest with a fruit firmness of 8–9 kg/cm2, sugar content of 11.5–12.5° Brix, starch breakdown of 4–6, and Streif index of 0.08–0.15 [23] (Table 3). All CLM treatments were significantly more effective in improving fruit weight compared with results from the un-thinned control (Table 4), and there was no major reduction in yield in most cases except for cluster leaf removal. The largest fruit were achieved with the most severe CLM in the close source:sink relationship with the 75% flower cluster with cluster leaf removal (treatment H7–H9). Treatment H9 had the greatest percentage (86%) of fruit > 80 mm diameter and the largest weight of 318 g/fruit, although this treatment also had the smallest yield of 14.4 kg/tree (Table 4). All CLM trees had more than 65% of fruit with a diameter of >80 mm and a weight heavier than 239 g/fruit. This is in contrast to results from the wide source:sink relationship in the un-thinned control trees (treatment U1) (57% of fruit diameter > 80 mm, fruit weight of 228 g/fruit, and yield of 21.1 kg/tree), which produced a large fruit yield but with the smallest fruit.
Chemical thinning with ATS and ethephon with/without BA (treatment C1 and C2) improved fruit size and weight, with 80–82% of fruit having a diameter of >80 mm and a weight of 262–277 g/fruit, but did not reduce the fruit yield of 22–23 kg/tree in comparison with results from the un-thinned control (Table 4).

3.4. Effect of CLM on Return Bloom

Apple trees benefited from CLM in 2018 in terms of improved or similar return bloom and less alternate bearing in 2019. The greatest return bloom (score 4) appeared after the most severe CLM treatment, which was the 75% flower cluster removal irrespective of cluster leaf removal (treatment H7, H8, and H9), whereas 50% (treatment H4) and 25% (treatment H1) flower cluster thinning scored only 3 and 2 (Table 3). Partial cluster leaf removal (treatment R1 and R2) did not affect return bloom (alternate bearing) with a score of 2, similar to that of the un-thinned control (treatment U1). The weaker mechanical blossom thinning (treatment M1) (320 rpm) scored 3, whereas the stronger mechanical thinning (treatment M2) (380 rpm) scored 2. The two chemical blossom thinning treatments using ATS/ETH with/without additional BA at 10–12 mm fruit size (treatment C1 and C2) scored 2, similar to the un-thinned control.

4. Discussion

This study was carried out in 2018 following a frost in April 2017 all over Europe with an 80% loss of flowers and fruitlets. As a consequence, apple trees showed strong flowering in April 2018. The heavy June drop and weak fruit set resulted from the hot and dry spring and summer of 2018 throughout Europe. Our objective was to study the effect of flower reduction by three methods of CLM. Thus, hand, mechanical, and chemical thinning were applied to study the regulation of fruit set, June drop, return bloom, fruit size and weight, and yield and to determine the optimum source:sink relationship.

4.1. Efficacy of Mechanical Thinning and ICT

The results from more effective mechanical thinning at the faster rotor speed (Figure 3) in terms of removing excess flowers are in line with those of Hehnen et al. [2] and Solomakhin and Blanke [22]. In their experiments, faster rotor speeds of 360 rpm in the US [2] and 420 rpm in Europe [22] removed excess apple flowers more effectively than the weaker rotor speeds of 260 rpm [2] and 300 rpm [22]. These authors invented ICT, taking into account the larger impact of increasing rotor speed and the inverse relationship between tractor speed and fruit set. The optimum ICT of 10–40 was found for a tractor speed range of 5 or 7.5 km/h [22]. Hehnen et al. [2] reported on a lower ICT between 4–10 at a tractor speed of 2.5 km/h in Washington State, USA without considering the number of fruit removed per cluster in formula 1. The ICT of 6.2 in the stronger mechanical thinning at a 380 rpm rotor speed from our experiment was similar to that of Solomakhin and Blanke [22] (ICT of 6.1) at a rotor speed of 420 rpm and 5 km/h tractor speed. Kong et al. [14] used the same machine at a rotor speed of 420 rpm and 5 km/h tractor speed to produce ICTs of 6.0 and 6.4.

4.2. Efficacy of Chemical Thinning

The application of the chemical treatments ATS and ethephon (Figure 2b) at full bloom (BBCH 65) and BA at 10–12 mm fruit size (BBCH 71) occurred after a strong spring frost in 2017 and, consequently, there was a heavy bloom in 2018. There were no significant differences in the number of fruitlets per 100 flower clusters before (fruit set) and after June drop between chemical thinning in comparison with those in the un-thinned control (Table 2). The negligible effect of chemical thinning in this experiment was caused by unfavorable weather conditions during and after BA application and flower development that caused unpredictable fruit set responses and poor fruit set reduction [24,25]. During BA application, the temperature was 19 °C and dropped to 12 °C in the subsequent days in contrast to the optimum temperature of 20–25 °C [26].
ATS was applied for blossom thinning at full bloom (BBCH 65) at the optimum stage when most flowers opened [27]. Our result is consistent with the model of Frank Maas [28] where ATS inhibits pollen tube growth and, hence, does not affect already pollinated flowers; the efficacy of ATS was decreased by 50% when ATS was applied approximately 32 h after pollination.
Ethephon was applied to reduce excessive flowering in conjunction with ATS at the full bloom stage at a temperature of ca. 15 °C. This is below the optimum temperature of 18–22 °C for the ethephon application [26]. Thus, ethephon did not appear to reduce excessive flowers and inhibit fruit set in this experiment.

4.3. Efficacy of Source-Sink Modification by Flower Cluster and Cluster Leaf Removal by Hand

In our study, merely 25% flower cluster removal did not decrease the number of fruitlets before June drop. However, 75% flower cluster removal with a leaf:fruit ratio of 29:1 resulted in the least number of fruits before and after June drop (Table 2). This is close to the optimum source:sink relationship when all cluster leaves remained on the tree in comparison with 25% (17:1) and 50% (21:1) flower cluster removal and un-thinned control (18:1). Our result agrees with that of Blanke [29], where CLM and a smaller fruit number reduce competition between sinks in the partitioning for photo-assimilates. In addition, removing 75% flower clusters in this experiment provided a source: sink relationship close to the optimal leaf:fruit ratio of between 20–30:1 and 40–50:1 [30] or 25–30 apple leaves supporting a 160 g fruit with photo-assimilates [31].
Breen et al. [7] suggested that the final fruit number under frost-free weather conditions in the apple growing region of New Zealand can be determined by artificial spur extinction (ASE) between dormancy and early bud break (BBCH 51–52) and flower cluster thinning at pink bud stage (BBCH 57). Both methods improve the fruit set, which is in line with our manual removal of flower clusters (BBCH 59–61) (data not shown). In both cases, removal and uniform spatial distribution of buds provided a positive effect in an irradiance of fruiting spurs and increased the photosynthate availability to developing fruit. ASE as an early thinning method with a positive effect on fruit quality and alternate bearing [32] might not be appropriate in areas such as Canada and Bonn, where spring frost reduces the number of floral buds, flowers, or fruitlets [33,34]. Crop load regulation should include the possibility of a spring frost for a consistent fruit yield.
With an un-thinned flower cluster and 50% of cluster leaves removed (treatment R1), sufficient carbon and energy sources from cluster leaves and stored carbohydrates remained available to maintain flowers and fruitlets on the tree. Fruit abscission was only achieved when all cluster leaves (treatment R2) were removed, which was not observed before. This suggests that the remaining 50% of cluster leaves may increase photosynthesis and that primary leaves next to flowers or cluster leaves near young fruits were the main sources of carbohydrates for the young fruit growth during 3–5 weeks after bloom [17,35,36,37,38].

4.4. Effect of CLM on June Drop and Return Bloom

Apple trees are susceptible to fruit abscission and CLM within three main periods [39]: (a) when unfertilized flowers are discarded by the trees 1 and 4 weeks after full bloom; (b) 5–6 weeks after full bloom with June drop of fruitlets, which have developed fewer seeds because of insufficient fertilization; and (c) ca. 4 weeks before harvesting, called pre-harvest fruit drop. All three fruit falls have a negative effect because they decrease fruit yield.
The majority of CLM by blossom thinning, which decreased fruit set and altered the source:sink relationship, positively affected the June drop in comparison with that of the un-thinned control (Table 2). Both mechanical blossom thinning at 320 rpm (Figure 7) and cluster leaf removal reduced June drop (Figure 8), except for 50% cluster leaf removal. In this experiment, the smallest June drop appeared after the most severe CLM treatment with 75% flower cluster and all cluster leaf removal (7%) (Figure 8).
The apple cv. ‘Roter Boskoop’ selected for this experiment is susceptible to alternate bearing [15,40]. Consequently, there was a low flowering intensity in 2019 (Table 3, score value 2) after the high flowering intensity in 2018 (maximum score value 8) in the un-thinned control. However, the effect of alternate bearing was partly mitigated by CLM in this experiment, and fewer blossom buds developed compared with those in normal years because of the hot summer and autumn in 2018. Removal of more than 50% of flower clusters improved the return bloom, similar to that seen with the weaker mechanical thinning (Table 3). Embree et al. [41] and Meland [42] supported the idea that crop load reduction enhances flower formation, whereas higher crop loads result in lower return bloom.
Our result is consistent with the findings of Elsysy and Hirst [18], where cluster leaf or spur leaf removal did not improve flower formation for the next year. Cluster leaf removal in our experiment provided a positive effect on return bloom if 50% or 75% of flower clusters were removed. In addition, all cluster leaf removal successfully reduced fruit set (Table 2) and improved the fruit size and weight (Table 3).

4.5. Effect of CLM on Fruit Maturity and Fruit Yield

All CLM methods maintained good fruit quality in terms of firmness, level of sugar, starch breakdown, and ripeness (Table 3). Moreover, all CLM trials in our experiments significantly enhanced the fruit weight in comparison with that in the un-thinned control (229 g/fruit) (Table 4). The percentage of fruit larger than 80 mm was greater in all CLM treatments than that in the un-thinned control (57%). This result is consistent with the findings from Hehnen et al. [2], Kong et al. [14], Seehuber et al. [43], and Solomakhin and Blanke [22]. The treatment with strong thinning (treatment H7, H8, and H9) produced a larger proportion of fruit over the optimum size (>90 mm). This was the result of the relatively hot and dry weather conditions in spring 2018, which caused a smaller fruit set after June drop. However, this would have been more balanced in normal years. CLM, by means of regulating flower intensity, improved fruit weight and size by reducing fruit set and improving the source:sink relationship [1]. In our experiment, yield progressively decreased with 25% to 75% flower cluster removal. Fruit yields of 14–18 kg/tree are acceptable for the six-year-old apple trees at 50° N, if fruit size and fruit quality are suitable [43].

5. Conclusions

In these experiments, the efficacy of three different thinning methods on the regulation of fruit set, June drop, return bloom (alternate bearing), fruit size, weight, firmness, sugar, starch, yield and the source:sink relationship were investigated. All thinning methods in this experiment give evidence of improvement in fruit grade in terms of fruit size and weight. The alternative approaches to chemical thinning improved fruit grade in terms of fruit weight and size and had a positive effect on return bloom. The fruit yield reduction by the manual thinning of 50% or more flower clusters improved the return bloom as well as the mechanical thinning with the rotor speed of 320 rpm. These thinning methods provided the optimal fruit yield of 14–18 kg per tree with the acceptable fruit size and weight. For the first time, it was shown that removing of more than 50% of cluster leaves (as a carbohydrate source) is necessary to induce fruit abscission and consequently enhance the growth of the remaining fruit and their quality. The high level of source removal indicates that carbohydrate reserves in the over-wintering parts of the tree play a significant role for fruit set and are exhausted at fruit set. A reduction of less than 50% of cluster leaves was compensated by carbohydrate reserves and photosynthesis in the remaining cluster leaves. The results of mechanical thinning, as a practical approach for farmers, were on the same level in terms of fruit weight and size as well as return bloom.

Author Contributions

Conceptualization, L.D., M.B. and P.N.; methodology, L.D., M.B. and P.N.; investigation, P.N. and A.K.; resources, A.K.; data curation, P.N.; writing—original draft preparation, P.N., P.S.L. and M.B.; writing—review and editing, P.S.L. and M.B.; supervision, P.S.L. and M.B. All authors have read and agreed to the published version of the manuscript.

Funding

The first author was supported by the Thai Government and Rajamangala University of Technology Lanna, Thailand.

Acknowledgments

KJ Wiesel and his staff at Klein-Altendorf for technical support in the orchard and ENAGO for revision of the English language. This publication is dedicated to Lutz Damerow (L.D.), who contributed to this work and died much too early during the course of this project.

Conflicts of Interest

The authors declare no conflict of interest.

References

  1. Seehuber, C.; Damerow, L.; Blanke, M. Regulation of source: Sink relationship, fruit set, fruit growth and fruit quality in European plum (Prunus domestica L.)—Using thinning for crop load management. Plant Growth Regul. 2011, 65, 335–341. [Google Scholar] [CrossRef]
  2. Hehnen, D.; Hanrahan, I.; Lewis, K.; McFerson, J.; Blanke, M. Mechanical flower thinning improves fruit quality of apples and promotes consistent bearing. Sci. Hortic. 2012, 134, 241–244. [Google Scholar] [CrossRef]
  3. Martínez-Fuentes, A.; Mesejo, C.; Muñoz-Fambuena, N.; Reig, C.; González-Mas, M.; Iglesias, D.; Primo-Millo, E.; Agustí, M. Fruit load restricts the flowering promotion effect of paclobutrazol in alternate bearing Citrus sp. Sci. Hortic. 2013, 151, 122–127. [Google Scholar] [CrossRef]
  4. Krasniqi, A.-L.; Damerow, L.; Kunz, A.; Blanke, M.M. Quantifying key parameters as elicitors for alternate fruit bearing in cv. ‘Elstar’ apple trees. Plant Sci. 2013, 212, 10–14. [Google Scholar] [CrossRef] [PubMed]
  5. Pellerin, B.P.; Buszard, D.; Iron, D.; Embree, C.G.; Marini, R.P.; Nichols, D.S.; Neilsen, G.H.; Neilsen, D. A Theory of Blossom Thinning to Consider Maximum Annual Flower Bud Numbers on Biennial Apple Trees. HortScience 2011, 46, 40–42. [Google Scholar] [CrossRef]
  6. Dennis, F.G.; Nitsch, J.P. Identification of Gibberellins A4 and A7 in Immature Apple Seeds. Nature 1966, 211, 781–782. [Google Scholar] [CrossRef]
  7. Breen, K.C.; Tustin, D.S.; Palmer, J.W.; Close, D.C. Method of manipulating floral bud density affects fruit set responses in apple. Sci. Hortic. 2015, 197, 244–253. [Google Scholar] [CrossRef]
  8. Dennis, F.G. The history of fruit thinning. Plant Growth Regul. 2000, 31, 1–16. [Google Scholar] [CrossRef]
  9. Schröder, M.; Link, H.; Bangerth, K.F. Correlative polar auxin transport to explain the thinning mode of action of benzyladenine on apple. Sci. Hortic. 2013, 153, 84–92. [Google Scholar] [CrossRef]
  10. Forshey, C.G. Factors affecting chemical thinning of apples. N. Y. Food Life Sci. Bull. 1976, 64, 68–73. [Google Scholar]
  11. Williams, M.W. Chemical Thinning of Apples. In Horticultural Reviews 1; Janick, J., Ed.; Wiley-Blackwell: Hoboken, NJ, USA, 1979; pp. 270–300. [Google Scholar]
  12. Untiedt, R.; Blanke, M. Effects of fruit thinning agents on apple tree canopy photosynthesis and dark respiration. Plant Growth Regul. 2001, 35, 1–9. [Google Scholar] [CrossRef]
  13. Damerow, L.; Kunz, A.; Blanke, M. Mechanische Fruchtbehangsregulierung (Regulation of fruit set by mechanical flower thinning). Erwerbs Obstbau 2007, 49, 1–9. [Google Scholar] [CrossRef]
  14. Kong, T.; Damerow, L.; Blanke, M. Einfluss selektiver mechanischer Fruchtbehangsregulierung auf Ethylensynthese als Stressindikator sowie Ertrag und Fruchtqualität bei Kernobst (Influence on apple trees of selective mechanical thinning on stress-induced ethylene synthesis, yield, fruit quality, (fruit firmness, sugar, acidity, colour) and taste). Erwerbs Obstbau 2009, 51, 39–53. [Google Scholar] [CrossRef]
  15. Fischer, M.; Baab, G.; Falkenau, B.; Fischer, C.; Handschack, M.; Häseli, A.; Lange, E.; Link, H.; Mittelstädt, H.; Osterloh, A.; et al. Apfelanbau: Integriert Und Biologisch; Verlag Eugen Ulmer: Stuttgart, Germany, 2002. [Google Scholar]
  16. Jackson, J.E. The Biology of Apples and Pears; Cambridge University Press: Cambridge, UK, 2003. [Google Scholar]
  17. Grappadelli, L.C.; Lakso, A.; Flore, J. Early Season Patterns of Carbohydrate Partitioning in Exposed and Shaded Apple Branches. J. Am. Soc. Hortic. Sci. 1994, 119, 596–603. [Google Scholar] [CrossRef]
  18. Elsysy, M.A.; Hirst, P.M. The Role of Spur Leaves, Bourse Leaves, and Fruit on Local Flower Formation in Apple: An Approach to Understanding Biennial Bearing. HortScience 2017, 52, 1229–1232. [Google Scholar] [CrossRef]
  19. Peifer, L.; Ottnad, S.; Kunz, A.; Damerow, L.; Blanke, M. Effect of non-chemical crop load regulation on apple fruit quality, assessed by the DA-meter. Sci. Hortic. 2018, 233, 526–531. [Google Scholar] [CrossRef]
  20. Meier, U.; Graf, H.; Hack, M.; Hess, M.; Kennel, W.; Klose, R.; Mappes, D.; Seipp, D.; Strauss, R.; Streif, J.; et al. Phänologische Entwicklungsstadien des Kernobstes (Malus domestica Borkh. und Pyrus communis L.) des Steinobstes (Prunus-Arten), der Johannisbeere (Ribes-Arten) und der Erdbeere (Fragaria x ananassa Duch.) (Phenological growth stages of pome fruit (Malus domestica Borkh. and Pyrus communis L.), stone fruit (Prunus species), currants (Ribes species) and straw-berry (Fragaria x ananassa Duch.)). Nachr. Des Dtsch. Pflanzenschutzd. 1994, 46, 141–153. [Google Scholar]
  21. Bertschinger, L.; Dolega, E.; Stadler, W. Erhöhte Qualitäts- und Ertragssicherheit dank Blütenknospenmanagement (Improving security in fruit quality and productivity by means of flower bud management). Schweiz. Z. Für Obs. Und Weinbau 2000, 12, 261–265. [Google Scholar]
  22. Solomakhin, A.; Blanke, M. Mechanical flower thinning improves the fruit quality of apples. J. Sci. Food Agric. 2010, 90, 735–741. [Google Scholar] [CrossRef]
  23. Streif, J. Erfahrungen mit Erntetermin-Untersuchungen bei Äpfeln. Besseres Obst. 1989, 34, 235–238. [Google Scholar]
  24. Breen, K.C.; Tustin, D.S.; Palmer, J.W.; Hedderley, D.I.; Close, D.C. Effects of environment and floral intensity on fruit set behaviour and annual flowering in apple. Sci. Hortic. 2016, 210, 258–267. [Google Scholar] [CrossRef]
  25. Maas, F. Thinning strategies for ‘Elstar’ apples-Experiences with ammonium thiosulphate, calcium hydroxide and ben-zyladenine. Erwerbs Obstbau 2007, 49, 101–105. [Google Scholar] [CrossRef][Green Version]
  26. Baab, G.; Lafer, G. Kernobst: Harmonisches Wachstum-Optimaler Ertrag, 1st ed.; Österreichischer Agrarverlag: Leopoldsdorf, Austria, 2005. [Google Scholar]
  27. Janoudi, A.; Flore, J.A. Application of ammonium thiosulfate for blossom thinning in apples. Sci. Hortic. 2005, 104, 161–168. [Google Scholar] [CrossRef]
  28. Maas, F. Control of fruit set in apple by ATS requires accurate timing of ATS application. Acta Hortic. 2016, 1138, 45–52. [Google Scholar] [CrossRef]
  29. Blanke, M.M. Regulatory mechanisms in source sink relationships in plants-A review. Acta Hortic. 2009, 835, 13–20. [Google Scholar] [CrossRef]
  30. Friedrich, G.; Fischer, M. Physiologische Grundlagen des Obstbaues; Verlag Eugen Ulmer: Stuttgart, Germany, 2000. [Google Scholar]
  31. Hansen, P. C14 studies on apple trees: IV. Photosynthate consumption in fruits in relation to leaf: Fruit ratio and to the leaf-fruit position. Physiol. Plant 1969, 22, 186–198. [Google Scholar] [CrossRef]
  32. Tustin, D.; Dayatilake, G.; Breen, K.; Oliver, M. Fruit set responses to changes in floral bud load-a new concept for crop load regulation. Acta Hortic. 2012, 932, 195–202. [Google Scholar] [CrossRef]
  33. Rodrigo, J. Spring frosts in deciduous fruit trees—Morphological damage and flower hardiness. Sci. Hortic. 2000, 85, 155–173. [Google Scholar] [CrossRef]
  34. Vitasse, Y.; Rebetez, M. Unprecedented risk of spring frost damage in Switzerland and Germany in 2017. Clim. Chang. 2018, 149, 233–246. [Google Scholar] [CrossRef]
  35. Proctor, J.T.A.; Palmer, J.W. The role of spur and bourse leaves of three apple cultivars on fruit set and growth and calcium content. J. Hortic. Sci. 1991, 66, 275–282. [Google Scholar] [CrossRef]
  36. Urban, L.; LE Roux, X.; Sinoquet, H.; Jaffuel, S.; Jannoyer, M. A biochemical model of photosynthesis for mango leaves: Evidence for the effect of fruit on photosynthetic capacity of nearby leaves. Tree Physiol. 2003, 23, 289–300. [Google Scholar] [CrossRef][Green Version]
  37. Wibbe, L.M.; Blanke, M. Effects of defruiting on source-sink relationship, carbon budget, leaf carbohydrate content and water use efficiency of apple trees. Physiologia Plantarum. 1995, 94, 529–533. [Google Scholar] [CrossRef]
  38. Ferree, D.C.; Palmer, J.W. Effect of Spur Defoliation and Ringing during Bloom on Fruiting, Fruit Mineral Level, and Net Photosynthesis of ‘Golden Delicious’ Apple1. J. Am. Soc. Hortic. Sci. 1982, 107, 1182–1186. [Google Scholar] [CrossRef]
  39. Luckwill, L.C. Studies of Fruit Development in Relation to Plant Hormones: I. Hormone Production by the Developing Apple Seed in Relation to Fruit Drop. J. Hortic. Sci. 1953, 28, 14–24. [Google Scholar] [CrossRef]
  40. Winter, F.; Janssen, H.; Kennel, W.; Link, H.; Scherr, F.; Silbereisen, R.; Streif, J. Lucas’ Anleitung Zum Obstbau, 32nd ed.; Verlag Eugen Ulmer: Stuttgart, Germany, 2002. [Google Scholar]
  41. Embree, C.G.; Myra, M.T.; Nichols, D.S.; Wright, A.H. Effect of Blossom Density and Crop Load on Growth, Fruit Quality, and Return Bloom in ‘Honeycrisp’ Apple. Hortscience 2007, 42, 1622–1625. [Google Scholar] [CrossRef]
  42. Meland, M. Effects of different crop loads and thinning times on yield, fruit quality, and return bloom in Malus domestica Borkh. ‘Elstar’. J. Hortic. Sci. Biotechnol. 2009, 84, 117–121. [Google Scholar] [CrossRef]
  43. Seehuber, C.; Damerow, L.; Kunz, A.; Blanke, M. Mechanische Fruchtbehangsregulierung bei Apfel verbessert Fruchtgröße, Fruchtfestigkeit, Fruchtausfärbung und die Source: Sink-Verhältnisse mit mehr Einzelfruchtständen (Singlets) bei ‘Gala’ (Mechanical thinning improves source: Sink relationships, fruit quality viz fruit size, fruit firmness and fruit colouration and portion of singlets of cv. ‘Gala’ apple). Erwerbs Obstbau 2014, 56, 49–58. [Google Scholar]
Figure 1. Source-sink modification by cluster leaf removal at fruit set: (a) 50% cluster leaves removed, and (b) 100% cluster leaves removed (photos: ca. 2 months after treatment).
Figure 1. Source-sink modification by cluster leaf removal at fruit set: (a) 50% cluster leaves removed, and (b) 100% cluster leaves removed (photos: ca. 2 months after treatment).
Agronomy 13 00112 g001
Figure 2. Two methods of blossom thinning: (a) mechanical thinning using the Bonner thinning device, and (b) chemical thinning.
Figure 2. Two methods of blossom thinning: (a) mechanical thinning using the Bonner thinning device, and (b) chemical thinning.
Agronomy 13 00112 g002
Figure 3. Effect of practical thinning methods on number of apple fruitlets before June drop per 100 flower clusters (white, un-thinned control; blue, thinning by hand at flowering; gray, mechanical blossom thinning; red, chemical thinning) (different letters denote statistically significant differences at the 5% level).
Figure 3. Effect of practical thinning methods on number of apple fruitlets before June drop per 100 flower clusters (white, un-thinned control; blue, thinning by hand at flowering; gray, mechanical blossom thinning; red, chemical thinning) (different letters denote statistically significant differences at the 5% level).
Agronomy 13 00112 g003
Figure 4. Effect of source-sink modification, such as cluster leaf and flower cluster removal, on fruit set expressed as number of fruitlets per 100 flower clusters before June drop (white, un-thinned control; brown, cluster leaf removal; blue, yellow, and green are 25%, 50%, and 75% flower cluster removal, respectively; all with/without cluster leaf removal) (different letters denote statistically significant differences at the 5% level).
Figure 4. Effect of source-sink modification, such as cluster leaf and flower cluster removal, on fruit set expressed as number of fruitlets per 100 flower clusters before June drop (white, un-thinned control; brown, cluster leaf removal; blue, yellow, and green are 25%, 50%, and 75% flower cluster removal, respectively; all with/without cluster leaf removal) (different letters denote statistically significant differences at the 5% level).
Agronomy 13 00112 g004
Figure 5. Effect of practical thinning methods on number of apple fruitlets after June drop per 100 flower clusters (color coding and explanations as for Figure 3).
Figure 5. Effect of practical thinning methods on number of apple fruitlets after June drop per 100 flower clusters (color coding and explanations as for Figure 3).
Agronomy 13 00112 g005
Figure 6. Effect of source-sink modification such as cluster leaf and flower cluster removal on fruit set expressed as number of fruitlets after June drop per 100 flower clusters (color coding and explanations as for Figure 4).
Figure 6. Effect of source-sink modification such as cluster leaf and flower cluster removal on fruit set expressed as number of fruitlets after June drop per 100 flower clusters (color coding and explanations as for Figure 4).
Agronomy 13 00112 g006
Figure 7. Effect of practical thinning methods on reduction of fruitlets in June drop expressed as difference between before and after June drop (color coding and explanations as for Figure 3).
Figure 7. Effect of practical thinning methods on reduction of fruitlets in June drop expressed as difference between before and after June drop (color coding and explanations as for Figure 3).
Agronomy 13 00112 g007
Figure 8. Effect of source-sink modification such as cluster leaf and flower cluster removal on reduction of fruitlets in June drop expressed as difference of the number of fruitlets before and after June drop (color coding and explanations as for Figure 4).
Figure 8. Effect of source-sink modification such as cluster leaf and flower cluster removal on reduction of fruitlets in June drop expressed as difference of the number of fruitlets before and after June drop (color coding and explanations as for Figure 4).
Agronomy 13 00112 g008
Table 1. Crop load management (CLM) in 2018.
Table 1. Crop load management (CLM) in 2018.
Type of CLM Treatment Number/CLM DescriptionFlower Stage/Fruit Development
1. Un-thinned controlU1: all flowers and cluster leaves remainedn.a.
2. Cluster leaf removalR1: 50% cluster leaf removalR2: 100% cluster leaf removalFruit set (BBCH 67–69)
3. CLM: Flower cluster and/or cluster leaf removal by hand25% flower cluster removalH1: without cluster leaf removalH2: with 50% cluster leaf removalH3: with 100% cluster leaf removalBalloon-flowering (BBCH 59–61) for flower cluster removalFruit set (BBCH 67–69) for cluster leaf removal
50% flower cluster removalH4: without cluster leaf removalH5: with 50% cluster leaf removalH6: with 100% cluster leaf removal
75% flower cluster removalH7: without cluster leaf removalH8: with 50% cluster leaf removalH9: with 100% cluster leaf removal
4. Mechanical thinningM1: 320 rpm rotor speed at tractor speed of 5 km/hM2: 380 rpm rotor speed at tractor speed of 5 km/hBalloon stage (BBCH 59)
5. Chemical thinningC1: ATS (15 L/ha) + ethephon (0.3 L/ha)C2: ATS (15 L/ha) + ethephon (0.3 L/ha) and BA (7.5 L/ha)Full bloom (BBCH 65) for ATS and Flordimex 420 Fruit size 10–12 mm (BBCH 71) for BA
Table 2. Effect of crop load management (CLM) on number of fruitlets before and after June drop and fruit reduction in June drop.
Table 2. Effect of crop load management (CLM) on number of fruitlets before and after June drop and fruit reduction in June drop.
Treatment CodeType of CLMNumber of Fruitlets per 100 Flower Clusters before June DropNumber of Fruitlets per 100 Flower Clusters after June DropReduction in June Drop * (%)
U1Un-thinned control68.9 b55.8 ab19.0 ab
Cluster leaf thinning
R150% cluster leaf removal77.3 ab59.0 ab23.8 a
R2100% cluster leaf removal53.9 cd47.3 b12.2 bc
CLM by hand
25% flower clusters removed
H1without cluster leaf removal83.3 a64.2 a22.0 ab
H2with 50% cluster leaf removal63.6 bc50.7 ab19.8 ab
H3with 100% cluster leaf removal56.2 cd49.4 b11.5 bc
50% flower clusters removed
H4without cluster leaf removal56.2 cd45.5 bc17 abc
H5with 50% cluster leaf removal48.7 cde37.2 c22.8 ab
H6with 100% cluster leaf removal41.1 de35.6 c11.2 bc
75% flower clusters removed
H7without cluster leaf removal46.0 cde38.4 c15.6 abc
H8with 50% cluster leaf removal40.6 de35.8 c10.0 bc
H9with 100% cluster leaf removal37.9 e35.2 c7.0 c
Mechanical blossom thinning
M1320 rpm56.5 c46.9 bc16 abc
M2380 rpm46.5 cde39.4 c15.0 bc
Chemical thinning
C1ATS/ethephon65.6 b55.9 ab14.0 bc
C2ATS/ethephon/BA60.2 bc50.4 ab15.0 bc
a, b, c, d and e show significant differences according to Dunnett-T3 and LSD with p > 0.05. * Percentages refer to the number of fruit per tree before June drop (100%). Colors facilitate differentiation between treatments and subtreatments.
Table 3. Effect of thinning treatment on the maturity of harvest of apple cv. ‘Roter Boskoop’ in 2018 and blossom intensity in 2019.
Table 3. Effect of thinning treatment on the maturity of harvest of apple cv. ‘Roter Boskoop’ in 2018 and blossom intensity in 2019.
Treatment CodeType of CLMFirmness (kg/cm2)Sugar (°Brix)Starch Breakdown (1–10)Streif IndexBlossom Intensity (Scale 1–9) b in 2019
U1Un-thinned control8.615.13.00.192
Cluster leaf thinning
R150% cluster leaf removal8.815.82.90.202
R2100% cluster leaf removal8.616.0 *2.80.212
CLM by hand
25% flower clusters removed
H1without cluster leaf removal9.014.92.60.242
H2with 50% cluster leaf removal8.715.13.20.192
H3with 100% cluster leaf removal9.115.52.70.232
50% flower clusters removed
H4without cluster leaf removal8.915.9 *2.90.203 *
H5with 50% cluster leaf removal8.915.43.60.193 *
H6with 100% cluster leaf removal9.316.0 *2.80.224 *
75% flower clusters removed
H7without cluster leaf removal8.915.9 *3.70.184 *
H8with 50% cluster leaf removal9.216 *2.70.224 *
H9with 100% cluster leaf removal9.016.7 *3.20.194 *
Mechanical blossom thinning
M1320 rpm9.015.62.70.233 *
M2380 rpm9.015.82.80.222
Chemical thinning
C1ATS/ethephon8.815.42.70.222
C2ATS/ethephon/BA8.815.53.20.192
* Significant difference according to LSD and p > 0.05 in comparison with un-thinned control b 1 = no flowers to 9 = white blossom.
Table 4. Effect of thinning treatment on fruit weight, fruit size distribution expressed as percentage of total yield and yield per tree, cv. ‘Roter Boskoop’ in 2018.
Table 4. Effect of thinning treatment on fruit weight, fruit size distribution expressed as percentage of total yield and yield per tree, cv. ‘Roter Boskoop’ in 2018.
Treatment CodeType of CLMFruit Weight (g/Fruit)Percentage of Fruit Size >80 mm Diameter (%)Yield (kg/Tree)
U1Un-thinned control228.356.821.1
Cluster leaf thinning
R150% cluster leaf removal259.277.3 *24.4
R2100% cluster leaf removal238.965.1 *18.6
CLM by hand
25% flower clusters removed
H1without cluster leaf removal253.272.7 *21.3
H2with 50% cluster leaf removal259.574.5 *19.0
H3with 100% cluster leaf removal277.9 *85.7 *18.0 *
50% flower clusters removed
H4without cluster leaf removal259.676.2 *18.2
H5with 50% cluster leaf removal266.378.1 *18.0 *
H6with 100% cluster leaf removal276.0 *80.9 *15.3 *
75% flower clusters removed
H7without cluster leaf removal293.6 *81.6 *14.7 *
H8with 50% cluster leaf removal302.5 *82.6 *15.1 *
H9with 100% cluster leaf removal318.2 *86.4 *14.4 *
Mechanical blossom thinning
M1320 rpm280.2 *81.4 *15.9 *
M2380 rpm256.9 *73.5 *18.5
Chemical thinning
C1ATS/ethephon262.379.9 *22.9
C2ATS/ethephon/BA277.0 *82.0 *22.3
* Significant difference according to Dunnett-T3 and p > 0.05 in comparison with the un-thinned control.
Disclaimer/Publisher’s Note: The statements, opinions and data contained in all publications are solely those of the individual author(s) and contributor(s) and not of MDPI and/or the editor(s). MDPI and/or the editor(s) disclaim responsibility for any injury to people or property resulting from any ideas, methods, instructions or products referred to in the content.

Share and Cite

MDPI and ACS Style

Netsawang, P.; Damerow, L.; Lammers, P.S.; Kunz, A.; Blanke, M. Alternative Approaches to Chemical Thinning for Regulating Crop Load and Alternate Bearing in Apple. Agronomy 2023, 13, 112. https://doi.org/10.3390/agronomy13010112

AMA Style

Netsawang P, Damerow L, Lammers PS, Kunz A, Blanke M. Alternative Approaches to Chemical Thinning for Regulating Crop Load and Alternate Bearing in Apple. Agronomy. 2023; 13(1):112. https://doi.org/10.3390/agronomy13010112

Chicago/Turabian Style

Netsawang, Prud, Lutz Damerow, Peter Schulze Lammers, Achim Kunz, and Michael Blanke. 2023. "Alternative Approaches to Chemical Thinning for Regulating Crop Load and Alternate Bearing in Apple" Agronomy 13, no. 1: 112. https://doi.org/10.3390/agronomy13010112

APA Style

Netsawang, P., Damerow, L., Lammers, P. S., Kunz, A., & Blanke, M. (2023). Alternative Approaches to Chemical Thinning for Regulating Crop Load and Alternate Bearing in Apple. Agronomy, 13(1), 112. https://doi.org/10.3390/agronomy13010112

Note that from the first issue of 2016, this journal uses article numbers instead of page numbers. See further details here.

Article Metrics

Back to TopTop