Evaluation of the Quality of Yard-Long Bean (Vigna unguiculata sub sp. sesquipedalis L.) Cultivars to Meet the Nutritional Security of Increasing Population
Abstract
1. Introduction
2. Materials and Methods
2.1. Experimental Site
2.2. Experimental Materials Used in the Study
2.3. Sample Preparation
2.4. Estimation of Proximate Contents in the Pods of Yard-Long Bean Cultivars
2.5. Estimation of Macro and Microelements in the Pods of Yard-Long Bean Cultivars
2.6. Vitamins Concentrations in the Pods of Yard-Long Bean Cultivars
2.7. Data Arrangement and Their Statistical Analysis Procedures
3. Results
3.1. Energy and Carbohydrate Content in Five Yard-Long Bean Cultivars
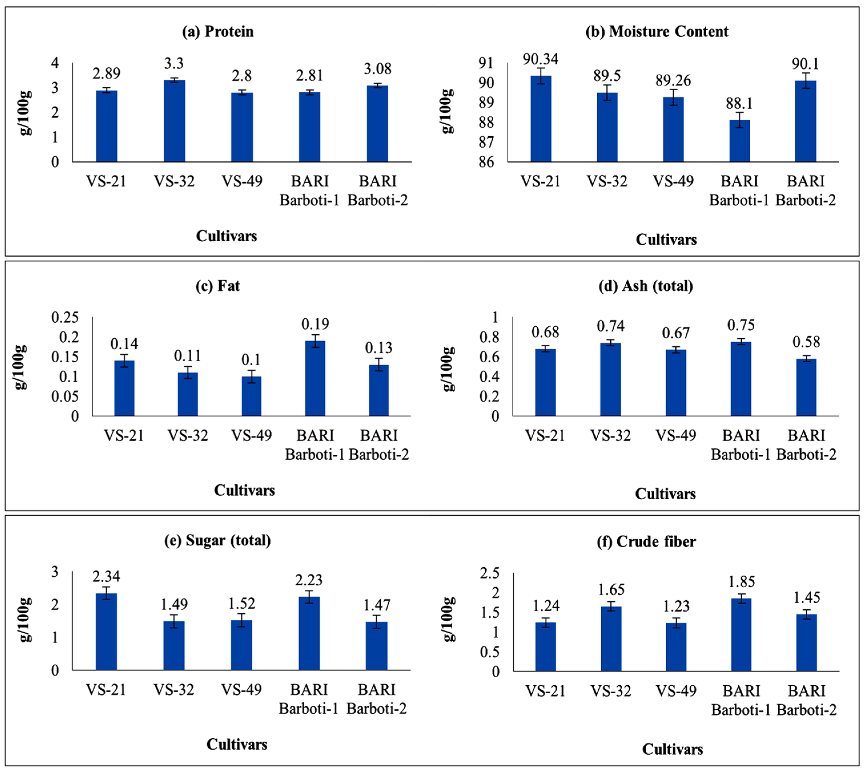
3.2. Protein, Moisture, Fat, Ash, Sugar and Crude Fiber Content of Five Yard-Long Bean Cultivars
3.3. Folate and Vitamin Content of Five Yard-Long Bean Cultivars
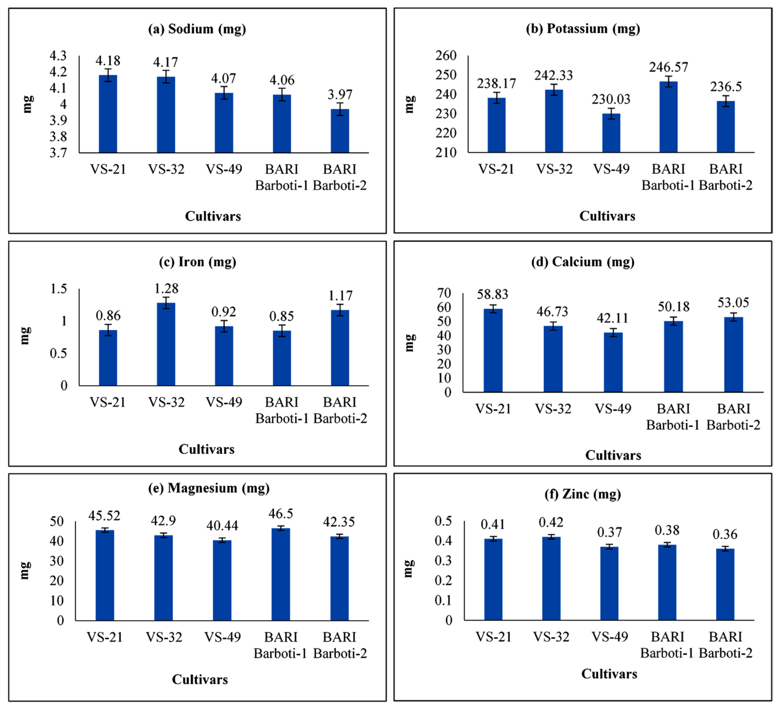
3.4. Sodium, Potassium, Iron, Calcium, Magnesium and Zinc Contents of Five Yard-Long Bean Cultivars
4. Discussion
5. Conclusions
Author Contributions
Funding
Institutional Review Board Statement
Informed Consent Statement
Data Availability Statement
Acknowledgments
Conflicts of Interest
References
- Drewnowski, A. The Nutrient Rich Foods Index helps to identify healthy, affordable foods. Am. J. Clin. Nutr. 2010, 91, 1095S–1101S. [Google Scholar] [CrossRef]
- Haytowitz, D.B.; Ahuja, J.K.C.; Wu, X.; Somanchi, M.; Nickle, M.; Nguyen, Q.A.; Roseland, J.M.; Williams, J.R.; Patterson, K.Y.; Li, Y.; et al. USDA National Nutrient Database for Standard Reference, Legacy Release. Nutrient Data Laboratory, Beltsville Human Nutrition Research Center, ARS, USDA, 2019. Available online: https://data.nal.usda.gov/dataset/usda-national-nutrient-database-standard-reference-legacy-release (accessed on 17 August 2022).
- Lourenço, S.C.; Moldão-Martins, M.; Alves, V.D. Antioxidants of natural plant origins: From sources to food industry applications. Molecules 2019, 24, 4132. [Google Scholar] [CrossRef] [PubMed]
- Carbonaro, M.; Nucara, A. Legume Proteins and Peptides as Compounds in Nutraceuticals: A Structural Basis for Dietary Health Effects. Nutrients 2022, 14, 1188. [Google Scholar] [CrossRef] [PubMed]
- Ade-Omowaye, B.I.; Tucker, G.A.; Smetanska, I. Nutritional potential of nine underexploited legumes in Southwest Nigeria. Int. Food Res. J. 2015, 22, 798. [Google Scholar]
- Öztürk, S.; Köksel, H. Production and characterization of resistant starch and its utilization as food ingredient: A review. Qual. Assur. Saf. Crops Foods 2014, 17, 335–346. [Google Scholar] [CrossRef]
- De Almeida Costa, G.E.; da Silva Queiroz-Monici, K.; Pissini Machado Reis, S.M.; de Oliveira, A.C. Chemical composition, dietary fibre and resistant starch contents of raw and cooked pea, common bean, chickpea and lentil legumes. Food Chem. 2006, 94, 327–330. [Google Scholar] [CrossRef]
- Mallillin, A.C.; Trinidad, T.P.; Raterta, R.; Dagbay, K.; Loyola, A.S. Dietary fibre and fermentability characteristics of root crops and legumes. Br. J. Nutr. 2008, 100, 485–488. [Google Scholar] [CrossRef] [PubMed]
- Massa, J.; Cho, E.; Orav, E.J.; Willett, W.C.; Wu, K.; Giovannucci, E.L. Long-term use of multivitamins and risk of colorectal adenoma in women. Br. J. Cancer 2014, 110, 249–255. [Google Scholar] [CrossRef][Green Version]
- Celmeli, T.; Sari, H.; Canci, H.; Sari, D.; Adak, A.; Eker, T.; Toker, C. The Nutritional Content of Common Bean (Phaseolus vulgaris L.) Landraces in Comparison to Modern Varieties. Agronomy 2018, 8, 166. [Google Scholar] [CrossRef]
- Benchasri, S.; Bairaman, C. Evaluation of yield, yield components and consumers’ satisfaction towards yarLPong bean and cowpea in agricultural organic system. Bulg. J. Agric. Sci. 2010, 16, 705–712. [Google Scholar]
- Benchasri, S.; Bairaman, B.; Nualsri, C. Evaluation of yarLPong bean and cowpea for resistance to Aphis craccivora Koch in southern part of Thailand. J. Anim. Plant Sci. 2012, 22, 1024–1029. [Google Scholar]
- Nokkoul, R.; Santipracha, Q.; Santipracha, W. Crop production of yard long bean from organic seed. J. Sci. Technol. 2009, 17, 87–95. Available online: http://www.tci-thaijo.org/index.php/tstj/article/view/15043/13799 (accessed on 16 July 2022).
- Peyrano, F.; Speroni, F.; Avanza, M.V. Physicochemical and functional properties of cowpea protein isolates treated with temperature or high hydrostatic pressure. Innov. Food Sci. Emerg. Tech. 2016, 33, 38–46. [Google Scholar] [CrossRef]
- Available online: https://www.nutrition-and-you.com/yard-long-beans.html (accessed on 18 July 2022).
- Chinma, C.E.; Emelife, I.G.; Alemede, I.C. Physicochemical and functional properties of some Nigerian Cowpea Varieties. Pak. J. Nutr. 2008, 7, 186–190. [Google Scholar] [CrossRef]
- Huaqiang, T.; Manman, T.; Qian, L.; Yongpeng, Z.; Jia, L.; Kongjaimun, A.; Kaga, A.; Tomooka, N.; Somta, P.; Vaughan, D.A.; et al. The genetics of domestication of yarLPong bean, Vigna unguiculata (L.) WaLP. ssp. unguiculata cv.-gr. Sesquipedalis. Ann Bot. 2012, 109, 1185–1200. [Google Scholar]
- Pandey, S.; Shrestha, S.L.; Gautam, I.P.; Dhakal, M.; Sapkota, S. Evaluation of Yard Long Bean (Vigna unguiculata ssp. sesquipedalis) Genotypes for Commercial Production in the Central Mid hills Region of Nepal. Nepal. Hortic. 2020, 14, 43–47. [Google Scholar] [CrossRef]
- USDA United States Department of Agriculture: Health and Human Services. In Dietary Guidelines for Americans, 7th ed.; U.S. Government Printing Office: Washington, DC, USA, 2010; 154p.
- BMD (Bangladesh Meteorological Department). Agro-Climatatrological Data; Agromet Division, Bangladesh Meteorological Department: Gazipur, Bangladesh, 1995; pp. 35–65.
- AOAC Official Methods of Analysis of Association of Official Analytical Chemists, 17th ed.; Gaithersburg, M.D., Ed.; AOAC: Washington, DC, USA, 2002. [Google Scholar]
- Genestar, C.; Grases, F. Determination of vitamin A in pharmaceutical preparations by HPLC with DA detection. Chromatographia 1995, 40, 143–146. [Google Scholar] [CrossRef]
- Gauch, R.; Leuenberger, U.; Muller, U. Bestimmung der wasserloslicher Vitamine in Milch durch HPLC. Z Lebensm Unters 1992, 195, 312–315. [Google Scholar] [CrossRef]
- Bognar, A. Bestimmung von vitamin C in lebensmitteln mittels HPLC. Dtsch. Lebensm.-Rundsch. 1988, 84, 73–76. [Google Scholar]
- Steel, R.G.; Torrie, J.H.; Dickey, D.A. Principles and Procedures of Statistics: A Biometrical Approach, 3rd ed.; McGraw Hill Book International Co.: Singapore, 1997. [Google Scholar]
- Mansouri, F.; Moumen, A.B.; Belhaj, K.; Richard, G.; Fauconnier, M.L.; Sindic, M.; Caid, H.S.; Elamrani, A. Effect of crop season on the quality and composition of extra virgin olive oils from Greek and Spanish varieties grown in the oriental region of Morocco. Emir. J. Food Agric. 2018, 30, 549–562. [Google Scholar]
- Morelló, J.R.; Romero, M.P.; Motilva, M.J. Influence of seasonal conditions on the composition and quality parameters of monovarietal virgin olive oils. J. Am. Oil Chem. Soc. 2006, 83, 683–690. [Google Scholar] [CrossRef]
- Romero, N.; Saavedra, J.; Tapia, F.; Sepúlveda, B.; Aparicio, R. Influence of agroclimatic parameters on phenolic and volatile compounds of Chilean virgin olive oils and characterization based on geographical origin, cultivar and ripening stage. J. Sci. Food Agric. 2016, 96, 583–592. [Google Scholar] [CrossRef] [PubMed]
- Lombardo, N.; Marone, E.; Alessandrino, M.; Godino, G.; Madeo, A.; Fiorino, P. Influence of growing season temperatures in the fatty acids (FAs) of triacilglycerols (TAGs) composition in Italian cultivars of Olea europaea. Adv. Hortic. Sci. 2008, 22, 49–53. [Google Scholar]
- El-Tohamy, W.A. Physiological responses, growth, yield and quality of snap beans in response to foliar application of yeast, vitamin E and zinc under sandy soil conditions. Aust. J. Basic Appl. Sci. 2007, 1, 294–299. [Google Scholar]
- Katuuramu, D.N.; Wiesinger, J.A.; Luyima, G.B.; Nkalubo, S.T.; Glahn, R.P.; Cichy, K.A. Investigation of genotype by environment interactions for seed zinc and iron concentration and iron bioavailability in common bean. Front. Plant Sci. 2021, 12, 669. [Google Scholar] [CrossRef]
- Gelete, S.H.; Mekbib, F.; Fenta, B.A.; Teamir, M. Genotype-by-environment interaction on canning and cooking quality of advanced large-seeded common bean genotypes. Heliyon 2021, 7, e06936. [Google Scholar] [CrossRef]
- Kumar, V.; Rani, A.; Solanki, S.; Hussain, S. Influence of growing environment on the biochemical composition and physical characteristics of soybean seed. J. Food Compos. Anal. 2006, 19, 188–195. [Google Scholar] [CrossRef]
- Kinaci, G.; Akin, R.; Kinaci, E. Effect of different irrigation management on physical quality traits of field beans (Phaseolus vulgaris L.). C.B.U. J. Sci. 2008, 4, 179–186. [Google Scholar]
- Pereira, H.S.; Melo, L.C.; Del Peloso, M.J.; de Faria, L.C.; Wendland, A. Complex interaction between genotypes and growing seasons of carioca common bean in Goiás/Distrito Federal. Crop Breed. Appl. Biotechnol. 2011, 11, 207–215. [Google Scholar] [CrossRef][Green Version]
- Ceyhan, E.; Kahraman, A.; Önder, M. The impacts of environment on plant products. International Journal of Bioscience. Biochem. Bioinform. 2012, 2, 48–51. [Google Scholar]
- Köse, M.A.; Ekbiç, E.; Arıcı, Y.K. Determination of protein, vitamins, amino acids and mineral element content of Yenice and Pınarlı bean (Phaseolus vulgaris L.) genotypes. Turkish J. Food Agric. Sci. 2019, 1, 6–11. [Google Scholar]
- Available online: https://www.hsph.harvard.edu/nutritionsource/folic-acid/ (accessed on 8 July 2022).
- Nordin, E. Determination of vitamin B6 content in brown beans (Phaseolus vulgaris L.) from Öland–The influence of cultivar, year of cultivation, geographical area and type of fertilizer, Analys av vitamin B6 innehåll i bruna bönor från land–påverkan av sorter, odlingsår, odlingsområde och typ av gödsel. Agric. Programme-Food Sci. Mol. Sci. 2017, 10, 1–56. Available online: http://stud.epsilon.slu.se (accessed on 15 January 2022).
- Mastropasqua, L.; Dipierro, N.; Paciolla, C. Effects of Darkness and Light Spectra on Nutrients and Pigments in Radish, Soybean, Mung Bean and Pumpkin Sprouts. Antioxidants 2020, 9, 558. [Google Scholar] [CrossRef] [PubMed]
- Haque, M.M.; Ahmed, J.U. Morpho-physiological changes and yield performance of yard long bean under reduced light levels. J. Sher-e-Bangla Agric. Univ. 2010, 4, 88–93. [Google Scholar]
- Butnariu, M.; Butu, A. Chemical Composition of Vegetables and their Products. In Handbook of Food Chemistry; Cheung, P., Ed.; Springer: Berlin/Heidelberg, Germany, 2014. [Google Scholar] [CrossRef]
- Gutiérrez-Gamboa, G.; Zheng, W.; Martínez de Toda, F. Strategies in vineyard establishment to face global warming in viticulture: A mini review. J. Sci. Food Agric. 2020, 98, 1261–1269. [Google Scholar] [CrossRef]
- Meneghelli, C.M.; Lima JS de, S.; Bernardes, A.L.; Coelho, J.M.; Silva S de, A.; Meneghelli LA, M. Niágara Rosada” and “Isabel” grapes quality cultivated in different altitudes in the state of Espírito Santo, Brazil. Emir. J. Food Agric. 2018, 30, 1014–1018. [Google Scholar]






Publisher’s Note: MDPI stays neutral with regard to jurisdictional claims in published maps and institutional affiliations. |
© 2022 by the authors. Licensee MDPI, Basel, Switzerland. This article is an open access article distributed under the terms and conditions of the Creative Commons Attribution (CC BY) license (https://creativecommons.org/licenses/by/4.0/).
Share and Cite
Quamruzzaman, A.; Islam, F.; Akter, L.; Khatun, A.; Mallick, S.R.; Gaber, A.; Laing, A.; Brestic, M.; Hossain, A. Evaluation of the Quality of Yard-Long Bean (Vigna unguiculata sub sp. sesquipedalis L.) Cultivars to Meet the Nutritional Security of Increasing Population. Agronomy 2022, 12, 2195. https://doi.org/10.3390/agronomy12092195
Quamruzzaman A, Islam F, Akter L, Khatun A, Mallick SR, Gaber A, Laing A, Brestic M, Hossain A. Evaluation of the Quality of Yard-Long Bean (Vigna unguiculata sub sp. sesquipedalis L.) Cultivars to Meet the Nutritional Security of Increasing Population. Agronomy. 2022; 12(9):2195. https://doi.org/10.3390/agronomy12092195
Chicago/Turabian StyleQuamruzzaman, AKM, Ferdouse Islam, Limu Akter, Anjumanara Khatun, Sharmila Rani Mallick, Ahmed Gaber, Alison Laing, Marian Brestic, and Akbar Hossain. 2022. "Evaluation of the Quality of Yard-Long Bean (Vigna unguiculata sub sp. sesquipedalis L.) Cultivars to Meet the Nutritional Security of Increasing Population" Agronomy 12, no. 9: 2195. https://doi.org/10.3390/agronomy12092195
APA StyleQuamruzzaman, A., Islam, F., Akter, L., Khatun, A., Mallick, S. R., Gaber, A., Laing, A., Brestic, M., & Hossain, A. (2022). Evaluation of the Quality of Yard-Long Bean (Vigna unguiculata sub sp. sesquipedalis L.) Cultivars to Meet the Nutritional Security of Increasing Population. Agronomy, 12(9), 2195. https://doi.org/10.3390/agronomy12092195

