Genetic Gains in Grain Yield and Agronomic Traits of Argentinian Durum Wheat from 1934 to 2015
Abstract
:1. Introduction
2. Materials and Methods
2.1. Plant Material and Experimental Design
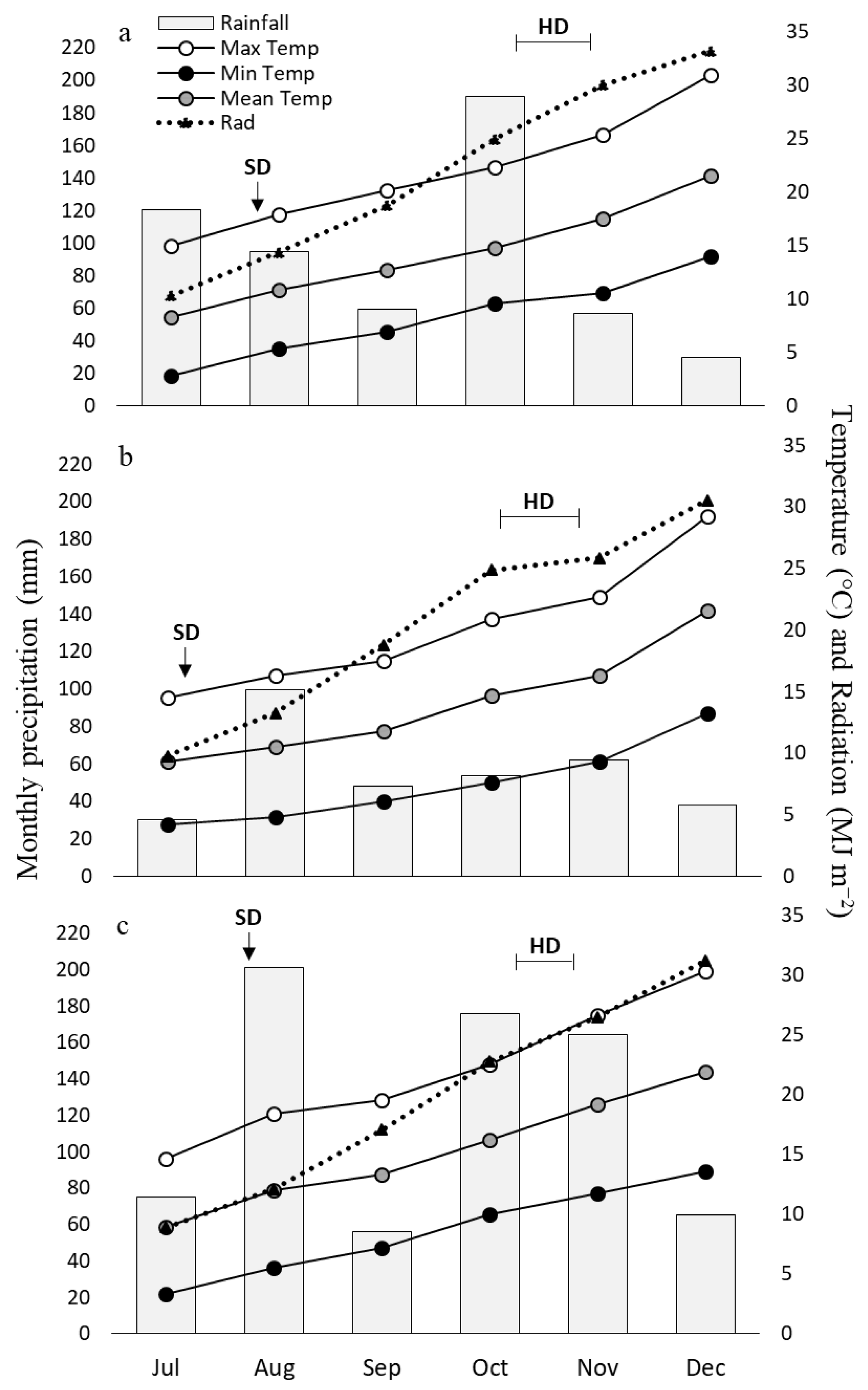
2.2. Growing Conditions
2.3. Measurements
2.4. Statistical Analyses
3. Results
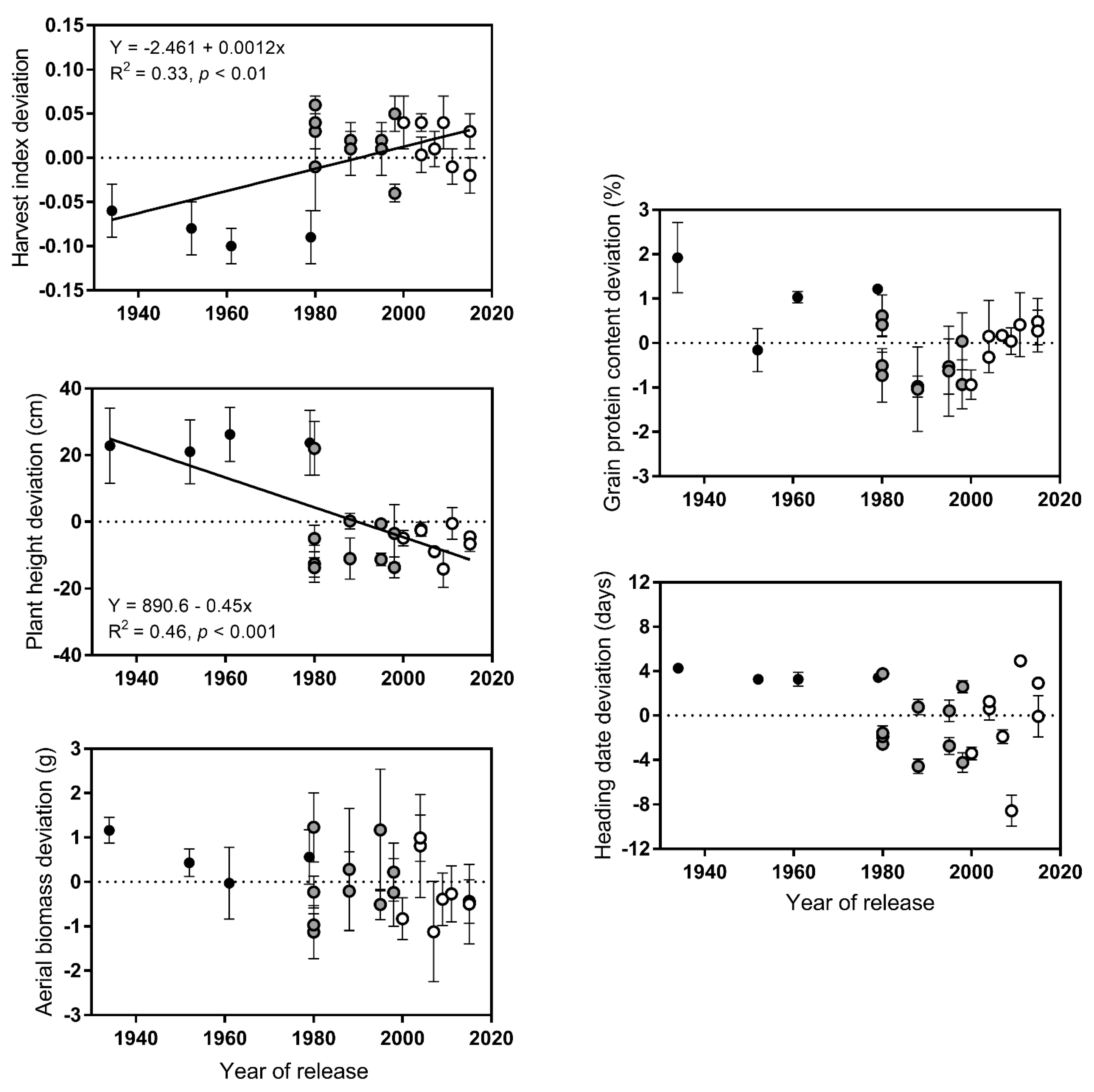
3.1. Grain Yield, Biomass Partition and Plant Height
3.2. Grain Protein Content and Heading Date
3.3. Yield Components
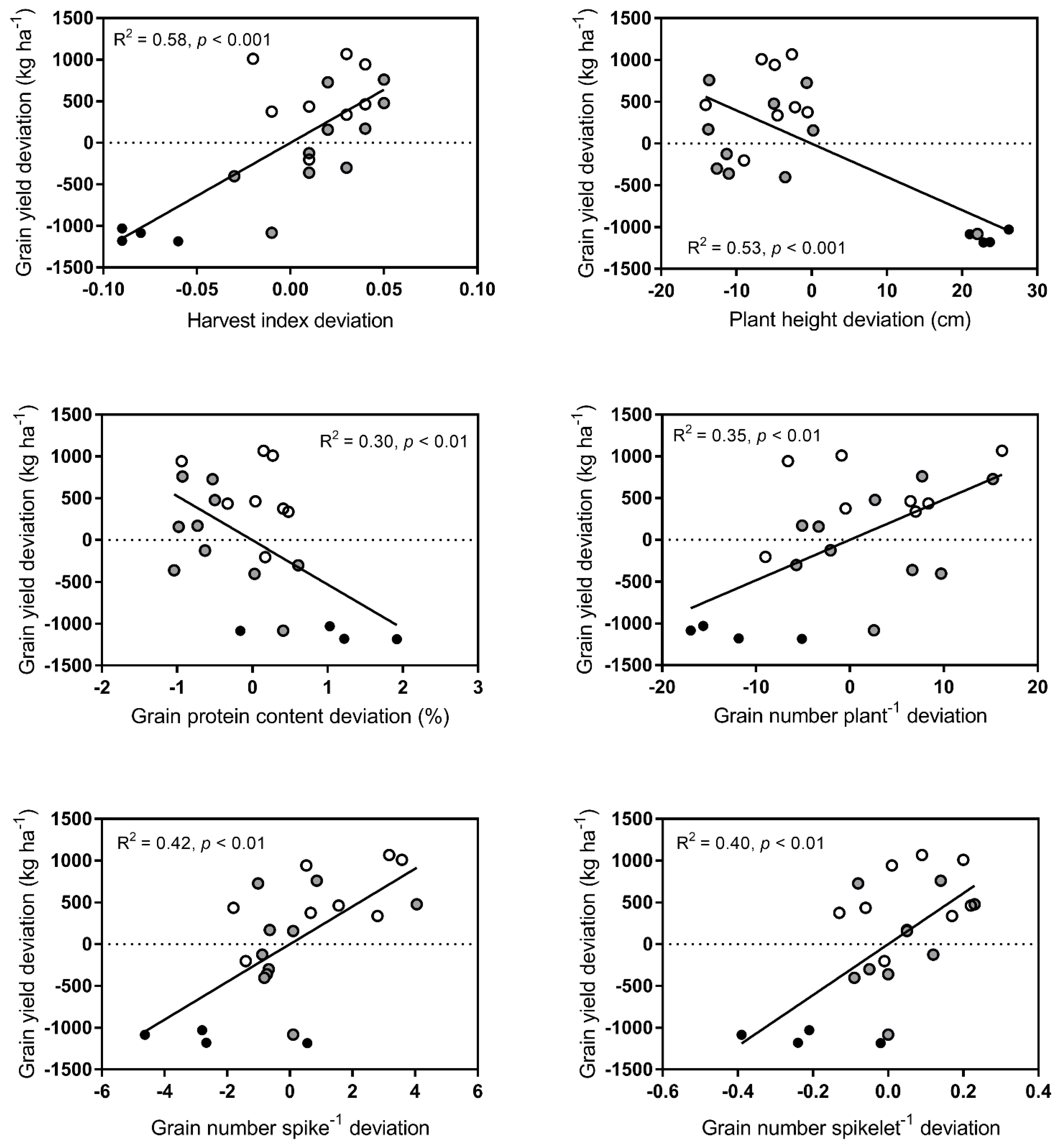
3.4. Relationships between Grain Yield and Other Traits
4. Discussion
5. Conclusions
Author Contributions
Funding
Data Availability Statement
Acknowledgments
Conflicts of Interest
References
- Royo, C.; Soriano, J.M.; Alvaro, F. Wheat: A Crop in the Bottom of the Mediterranean Diet Pyramid. In Mediterranean Identities-Environment, Society, Culture; IntechOpen: London, UK, 2017. [Google Scholar] [CrossRef]
- Beche, E.; Benin, G.; da Silva, C.L.; Munaro, L.B.; Marchese, J.A. Genetic gain in yield and changes associated with physiological traits in Brazilian wheat during the 20th century. Eur. J. Agron. 2014, 61, 49–59. [Google Scholar] [CrossRef]
- Cox, T.S.; Shroyer, J.P.; Ben-hui, L.; Sears, R.G.; Martin, T.J. Winter Wheat Cultivars from 1919 to 1987. Crop Sci. 1988, 760, 756–760. [Google Scholar] [CrossRef]
- Nehe, A.; Akin, B.; Sanal, T.; Evlice, A.K.; Ünsal, R.; Dinçer, N.; Demir, L.; Geren, H.; Sevim, I.; Orhan, Ş.; et al. Genotype x environment interaction and genetic gain for grain yield and grain quality traits in Turkish spring wheat released between 1964 and 2010. PLoS ONE 2019, 14, e0219432. [Google Scholar] [CrossRef] [PubMed]
- Sadras, V.O.; Lawson, C. Genetic gain in yield and associated changes in phenotype, trait plasticity and competitive ability of South Australian wheat varieties released between 1958 and 2007. Crop Pasture Sci. 2011, 62, 533–549. [Google Scholar] [CrossRef]
- Yao, Y.; Lv, L.; Zhang, L.; Yao, H.; Dong, Z.; Zhang, J.; Ji, J.; Jia, X.; Wang, H. Genetic gains in grain yield and physiological traits of winter wheat in Hebei Province of China, from 1964 to 2007. Field Crop. Res. 2019, 239, 114–123. [Google Scholar] [CrossRef]
- Sissons, M. Role of durum wheat on quality of pasta and bread. Food 2008, 2, 75–90. [Google Scholar]
- Sabella, E.; Aprile, A.; Negro, C.; Nicolì, F.; Nutricati, E.; Vergine, M.; Luvisi, A.; De Bellis, L. Impact of climate change on durum wheat yield. Agronomy 2020, 10, 793. [Google Scholar] [CrossRef]
- Xynias, I.N.; Mylonas, I.; Korpetis, E.; Ninou, E.; Tsaballa, A.; Avdikos, I.; Mavromatis, A. Durum Wheat Breeding in the Mediterranean Region: Current Status and Future Prospects. Agronomy 2020, 10, 432. [Google Scholar] [CrossRef]
- De Vita, P.; Nicosia, O.L.D.; Nigro, F.; Platani, C.; Riefolo, C.; Di Fonzo, N.; Cattivelli, L. Breeding progress in morpho-physiological, agronomical and qualitative traits of durum wheat cultivars released in Italy during the 20th century. Eur. J. Agron. 2007, 26, 39–53. [Google Scholar] [CrossRef]
- Pecetti, L.; Annicchiarico, P. Agronomic value and plant type of Italian durum wheat cultivars from different eras of breeding. Euphytica 1998, 99, 9–15. [Google Scholar] [CrossRef]
- Chairi, F.; Vergara-Diaz, O.; Vatter, T.; Aparicio, N.; Nieto-Taladriz, M.T.; Kefauver, S.C.; Bort, J.; Serret, M.D.; Araus, J.L. Post-green revolution genetic advance in durum wheat: The case of Spain. Field Crop. Res. 2018, 228, 158–169. [Google Scholar] [CrossRef]
- Foulkes, M.J.; Reynolds, M.; Sylvester-Bradley, R. Genetic improvement of grain crops: Yield potential. In Crop Physiology: Applications for Genetic Improvement and Agronomy; Sadras, V., Calderini, D., Eds.; Elsevier Inc.: Amsterdam, The Neatherlands, 2009. [Google Scholar]
- McClung, A.M.; Cantrell, R.G.; Quick, J.S.; Gregory, R.S. Influence of the Rht1 semidwarf gene on yield, yield components and grain protein in durum wheat. Crop Sci. 1986, 26, 1095–1098. [Google Scholar] [CrossRef]
- Slafer, G.A.; Andrade, F.H.; Satorre, E.H. Genetic-improvement effects on pre-anthesis physiological attributes related to wheat grain-yield. Field Crop. Res. 1990, 23, 255–263. [Google Scholar] [CrossRef]
- Slafer, G.A.; Miralles, D.J. Fruiting Efficiency in Three Bread Wheat (Triticum aestivum) Cultivars Released at Different Eras. Number of Grains per Spike and Grain Weight. J. Agron. Crop Sci. 1993, 170, 251–260. [Google Scholar] [CrossRef]
- Miralles, D.J.; Slafer, G.A. Yield, biomass and yield components in dwarf, semi-dwarf and tall isogenic lines of spring wheat under recommended and late sowing dates. Plant Breed. 1995, 114, 392–396. [Google Scholar] [CrossRef]
- Reynolds, M.P.; Rajaram, S.; Sayre, K.D. Physiological and genetic changes of irrigated wheat in the post-green revolution period and approaches for meeting projected global demand. Crop Sci. 1999, 39, 1611–1621. [Google Scholar] [CrossRef]
- McCaig, T.N.; Clarke, J.M. Breeding durum wheat in western Canada: Historical trends in yield and related variables. Can. J. Plant Sci. 1995, 75, 55–60. [Google Scholar] [CrossRef]
- Royo, C.; Álvaro, F.; Martos, V.; Ramdani, A.; Isidro, J.; Villegas, D.; García Del Moral, L.F. Genetic changes in durum wheat yield components and associated traits in Italian and Spanish varieties during the 20th century. Euphytica 2007, 155, 259–270. [Google Scholar] [CrossRef]
- Austin, R.B.; Ford, M.A.; Morgan, C.L. Genetic improvement in the yield of winter wheat: A further evaluation. J. Agric. Sci. 1989, 112, 295–301. [Google Scholar] [CrossRef]
- Slafer, G.A.; Andrade, F.H. Genetic Improvement in Bread Wheat (Triticum aestivum) Yield in Argentina. Field Crop. Res. 1989, 21, 289–296. [Google Scholar] [CrossRef]
- Álvaro, F.; Isidro, J.; Villegas, D.; García del Moral, L.F.; Royo, C. Old and modern durum wheat varieties from Italy and Spain differ in main spike components. Field Crop. Res. 2008, 106, 86–93. [Google Scholar] [CrossRef]
- Rajaram, S.; Saari, E.E.; Hettel, G.P. Durum Wheats: Challenges and Opportunities. In Wheat Special Report No.9; CIMMYT: Mexico City, Mexico, 1992; ISBN 968-6127-77-1. [Google Scholar]
- Roncallo, P.F.; Larsen, A.O.; Achilli, A.L.; Pierre, C.S.; Gallo, C.A.; Dreisigacker, S.; Echenique, V. Linkage disequilibrium patterns, population structure and diversity analysis in a worldwide durum wheat collection including Argentinian genotypes. BMC Genom. 2021, 22, 233. [Google Scholar] [CrossRef] [PubMed]
- Achilli, A.L.; Roncallo, P.F.; Larsen, A.O.; Dreisigacker, S.; Echenique, V. Population structure, allelic variation at Rht-B1 and Ppd-A1 loci and its effects on agronomic traits in Argentinian durum wheat. Sci. Rep. 2022, 12, 9629. [Google Scholar] [CrossRef] [PubMed]
- Calderini, D.F.; Dreccer, M.F.; Slafer, G.A. Genetic improvement in wheat yield and associated traits. A re-examination of previous results and the latest trends. Plant Breed. 1995, 114, 108–112. [Google Scholar] [CrossRef]
- Lo Valvo, P.J.; Miralles, D.J.; Serrago, R.A. Genetic progress in Argentine bread wheat varieties released between 1918 and 2011: Changes in physiological and numerical yield components. Field Crop. Res. 2018, 221, 314–321. [Google Scholar] [CrossRef]
- RNC, Catálogo Nacional de Cultivares. 2021. Available online: https://gestion.inase.gob.ar/consultaGestion/gestiones (accessed on 4 March 2021).
- Ellis, M.H.; Spielmeyer, W.; Gale, K.R.; Rebetzke, G.J.; Richards, R.A. “Perfect” markers for the Rht-B1b and Rht-D1b dwarfing genes in wheat. Theor. Appl. Genet. 2002, 105, 1038–1042. [Google Scholar] [CrossRef]
- Zadoks, J.C.; Chang, T.T.; Konzak, C.F. A decimal code for the growth stages of cereals. Weed Res. 1974, 14, 415–421. [Google Scholar] [CrossRef]
- Acreche, M.M.; Briceño-Félix, G.; Sánchez, J.A.M.; Slafer, G.A. Physiological bases of genetic gains in mediterranean bread wheat yield in Spain. Eur. J. Agron. 2008, 28, 162–170. [Google Scholar] [CrossRef]
- Motzo, R.; Fois, S.; Giunta, F. Relationship between grain yield and quality of durum wheats from different eras of breeding. Euphytica 2004, 140, 147–154. [Google Scholar] [CrossRef]
- Calderini, D.F.; Slafer, G.A. Has yield stability changed with genetic improvement of wheat yield? Euphytica 1999, 107, 51–59. [Google Scholar] [CrossRef]
- Del Pozo, A.; Matus, I.; Ruf, K.; Castillo, D.; Méndez-Espinoza, A.M.; Serret, M.D. Genetic advance of durum wheat under high yielding conditions: The case of Chile. Agronomy 2019, 9, 454. [Google Scholar] [CrossRef]
- Foulkes, M.J.; Snape, J.W.; Shearman, V.J.; Reynolds, M.P.; Gaju, O.; Sylvester-Bradley, R. Genetic progress in yield potential in wheat: Recent advances and future prospects. J. Agric. Sci. 2007, 145, 17–29. [Google Scholar] [CrossRef]
- Austin, R.B. Physiological limitations to cereals yields and ways of reducing them by breeding. In Opportunities for Increasing Crop Yields; Hurd, R.G., Biscoe, P.V., Dennis, C., Eds.; Association of Applied Biology: Boston, MA, USA, 1980; pp. 3–19. [Google Scholar]
- Subira, J.; Peña, R.J.; Álvaro, F.; Ammar, K.; Ramdani, A.; Royo, C. Breeding progress in the pasta-making quality of durum wheat cultivars released in Italy and Spain during the 20th Century. Crop Pasture Sci. 2014, 65, 16–26. [Google Scholar] [CrossRef]
- Bassi, F.M.; Nachit, M.M. Genetic Gain for Yield and Allelic Diversity over 35 Years of Durum Wheat Breeding at ICARDA. Crop Breed. Genet. Genom. 2019, 1, e190004. [Google Scholar] [CrossRef]
- Miralles, D.J.; Rharrabti, Y.; Royo, C.; Villegas, D.; García del Moral, L.F. Grain setting strategies of Mediterranean durum wheat cultivars released in different periods (1900–2000). In Genotype-Phenotype: Narrowing the Gaps; The Royal Agricultural College: Cirencester, UK, 2002. [Google Scholar]
- Sadras, V.O. Evolutionary aspects of the trade-off between seed size and number in crops. Field Crop. Res. 2007, 100, 125–138. [Google Scholar] [CrossRef]





| Period | Cultivar | Year of Release | Rht-B1 Allele a |
|---|---|---|---|
| Old | Taganrog | 1934 | Rht-B1a |
| Candeal Durumbuck | 1952 | Rht-B1a | |
| Taganrog Vilela Fideos | 1961 | Rht-B1a | |
| Taganrog Selección Buck | 1979 | Rht-B1a | |
| Intermediate | Taganrog Buck Balcarce | 1980 | Rht-B1a |
| Balcarceño INTA | 1980 | Rht-B1b | |
| Bonaerense Valverde | 1980 | Rht-B1b | |
| Buck Mechongue | 1980 | Rht-B1b | |
| Bonaerense Quilaco | 1988 | Rht-B1b | |
| Buck Cristal | 1988 | Rht-B1b | |
| BonINTA Cumenay | 1995 | Rht-B1b | |
| Buck Ambar | 1995 | Rht-B1b | |
| BonINTA Facon | 1998 | Rht-B1b | |
| Buck Topacio | 1998 | Rht-B1b | |
| Modern | Buck Esmeralda | 2000 | Rht-B1b |
| BonINTA Carilo | 2004 | Rht-B1b | |
| Buck Platino | 2004 | Rht-B1b | |
| ACA 1801 F | 2007 | Rht-B1b | |
| ACA 1901 F | 2009 | Rht-B1b | |
| Buck Granate | 2011 | Rht-B1b | |
| BonINTA Quillen | 2015 | Rht-B1b | |
| Buck Zafiro | 2015 | Rht-B1b |
| Environment | CA14 | BW17 | PS14 |
|---|---|---|---|
| pH | 6 | 6.3 | 5.8 |
| OM (%) | 2.1 | 3.8 | 4 |
| P (ppm) | 37.5 | 30.7 | 43.4 |
| NO3− (ppm) | 34.6 | 110 | 27.2 |
| SO42− (ppm) | - a | - a | 6.7 |
| Trait | Old (<1980) | Intermediate (1980–1999) | Modern (2000+) | R2 | Absolute Change | Relative Change (% yr−1) |
|---|---|---|---|---|---|---|
| N | 4 | 10 | 8 | |||
| Grain yield (kg ha−1) | 2215.95 c | 3338.2 b | 3888.93 a | 0.55 *** | 26.94 kg yr−1 | 0.81 |
| Harvest index | 0.27 b | 0.37 a | 0.37 a | 0.33 ** | 0.0012 yr−1 | 0.34 |
| Aerial biomass (g) | 7.86 a | 7.30 a | 7.11 a | 0.12 | ||
| Grain protein content (%) | 13.62 a | 12.19 b | 12.65 b | 0.15 | ||
| Plant height (cm) | 119.63 a | 91.27 b | 90.61 b | 0.46 *** | −0.45 cm yr−1 | −0.47 |
| Heading date (days) | 82.63 a | 78.07 b | 78.54 ab | 0.12 | ||
| Thousand kernel weight (g) | 40.12 a | 41.63 a | 40.87 a | 0.01 | ||
| Grain number plant−1 | 53.49 b | 68.71 a | 68.51 a | 0.29 ** | 0.24 yr−1 | 0.36 |
| Spikes plant−1 | 1.95 a | 2.29 a | 2.23 a | 0.14 | ||
| Grain number spike−1 | 28.54 b | 30.96 ab | 32.05 a | 0.21 * | 0.05 yr−1 | 0.16 |
| Grain number spikelet−1 | 1.69 b | 1.94 a | 1.97 a | 0.25 * | 0.004 yr−1 | 0.21 |
| Spikelets spike−1 | 16.94 a | 15.98 a | 16.31 a | 0.07 |
Publisher’s Note: MDPI stays neutral with regard to jurisdictional claims in published maps and institutional affiliations. |
© 2022 by the authors. Licensee MDPI, Basel, Switzerland. This article is an open access article distributed under the terms and conditions of the Creative Commons Attribution (CC BY) license (https://creativecommons.org/licenses/by/4.0/).
Share and Cite
Achilli, A.L.; Roncallo, P.F.; Echenique, V. Genetic Gains in Grain Yield and Agronomic Traits of Argentinian Durum Wheat from 1934 to 2015. Agronomy 2022, 12, 2151. https://doi.org/10.3390/agronomy12092151
Achilli AL, Roncallo PF, Echenique V. Genetic Gains in Grain Yield and Agronomic Traits of Argentinian Durum Wheat from 1934 to 2015. Agronomy. 2022; 12(9):2151. https://doi.org/10.3390/agronomy12092151
Chicago/Turabian StyleAchilli, Ana Laura, Pablo Federico Roncallo, and Viviana Echenique. 2022. "Genetic Gains in Grain Yield and Agronomic Traits of Argentinian Durum Wheat from 1934 to 2015" Agronomy 12, no. 9: 2151. https://doi.org/10.3390/agronomy12092151
APA StyleAchilli, A. L., Roncallo, P. F., & Echenique, V. (2022). Genetic Gains in Grain Yield and Agronomic Traits of Argentinian Durum Wheat from 1934 to 2015. Agronomy, 12(9), 2151. https://doi.org/10.3390/agronomy12092151

