Effect of Climatic Conditions Caused by Seasons on Maize Yield, Kernel Filling and Weight in Central China
Abstract
:1. Introduction
2. Materials and Methods
2.1. Experimental Sites
2.2. Experimental Design and Cropping Management
2.3. Measurements Methods
2.3.1. Kernel Weight, Kernel Filling and Grain Yield
2.3.2. Meteorological Data and Date Analysis
2.4. Statistical Analysis
3. Results
3.1. Calendar Time and Variation in Climatic Factors
3.2. Grain Yield and Final Kernel Weight
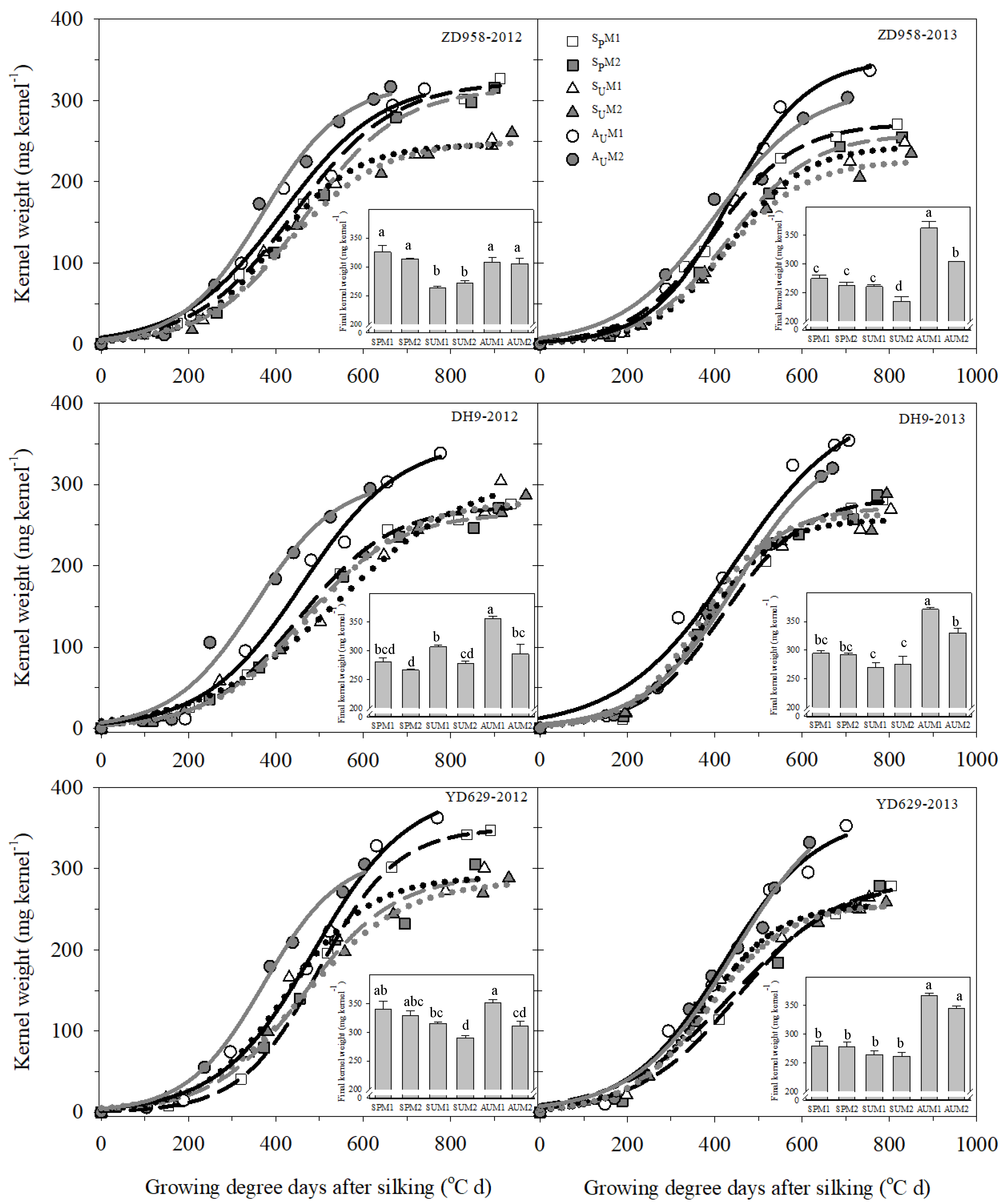
3.3. Maize Kernel Filling Characteristic Parameters
3.4. Relationships among GY, KW, Kernel Filling Characteristic Parameters and Climatic Factors
4. Discussion
5. Conclusions
Author Contributions
Funding
Data Availability Statement
Conflicts of Interest
References
- FAO. 2020. Available online: https://www.fao.org/faostat/en/#data/QCL/visualize (accessed on 25 June 2022).
- Ge, J.Z.; Xu, Y.; Zhong, X.Y.; Li, S.Y.; Tian, S.Y.; Yuan, G.Y.; Cao, C.G.; Zhan, M.; Zhao, M. Climatic Conditions varied by planting date affects maize yield in central China. Agron. J. 2016, 108, 966–977. [Google Scholar] [CrossRef]
- Hou, P.; Liu, Y.; Liu, W.; Liu, G.; Xie, R.; Wang, K.; Ming, B.; Wang, Y.; Zhao, R.; Zhang, W.; et al. How to increase maize production without extra nitrogen input. Resour. Conserv. Recycl. 2020, 160, 104913. [Google Scholar] [CrossRef]
- Liu, Y.E.; Hou, P.; Huang, G.R.; Zhong, X.L.; Li, H.R.; Zhao, J.R.; Li, S.K.; Mei, X.R. Maize grain yield and water use efficiency in relation to climatic factors and plant population in northern China. J. Integr. Agric. 2021, 20, 156–3169. [Google Scholar] [CrossRef]
- Djaman, K.; Allen, S.; Djaman, S.D.; Koudahe, K.; Irmak, S.; Puppala, N.; Darapuneni, K.M.; Angadi, V.S. Planting date and plant density effects on maize growth, yield and water use efficiency. Environ. Chall. 2022, 6, 100417. [Google Scholar] [CrossRef]
- Hou, P.; Liu, Y.E.; Liu, W.M.; Yang, H.S.; Xie, R.Z.; Wang, K.R.; Ming, B.; Liu, G.Z.; Xue, J.; Wang, Y.H.; et al. Quantifying maize grain yield losses caused by climate change based on extensive field data across China. Resour. Conserv. Recycl. 2021, 174, 105811. [Google Scholar] [CrossRef]
- Li, E.; Zhao, J.; Pullens, J.W.M.; Yang, X.G. The compound effects of drought and high temperature stresses will be the main constraints on maize yield in Northeast China. Sci. Total Environ. 2022, 812, 152461. [Google Scholar] [CrossRef]
- Borrás, L.; Gambín, B.L. Trait dissection of maize kernel weight: Towards integrating hierarchical scales using a plant growth approach. Field Crop. Res. 2010, 118, 1–12. [Google Scholar] [CrossRef]
- Beruski, G.C.; Schiebelbein, L.M.; Pereira, A.B. Maize yield components as affected by plant population, planting date, crop growing season and soil coverings in Brazil. Agriculture 2020, 10, 579. [Google Scholar] [CrossRef]
- Sala, R.G.; Westgate, M.E.; Andrade, F.H. Source/sink ratio and the relation-ship between maximum water content, maximum volume, and final dry weight of maize kernels. Field Crop. Res. 2007, 101, 19–25. [Google Scholar] [CrossRef]
- Chazarreta, Y.D.; Amas, J.I.; Otegui, M.E. Kernel filling and desiccation in temperate maize: Breeding and environmental effects. Field Crop. Res. 2022, 271, 108733. [Google Scholar] [CrossRef]
- Liu, Y.E.; Hou, P.; Xie, R.Z.; Li, S.K.; Mei, X.R. Spatial variation in the utilization efficiency of accumulated temperature for maize and measures to efficiently use it in China. Crop Sci. 2015, 55, 1806–1817. [Google Scholar] [CrossRef]
- Cirilo, A.G.; Anddrade, F.H. Sowing date and kernel weight in maize. Crop Sci. 1996, 36, 325–331. [Google Scholar] [CrossRef]
- Commuri, P.D.; Jones, R.J. Ultra structural characterization of maize (Zea mays L.) kernels exposed to high temperature during endosperm cell division. Plant Cell Environ. 1999, 22, 375–385. [Google Scholar] [CrossRef]
- Greaves, J.A. Improving suboptimal temperature tolerance in maize—The search for variation. J. Exp. Bot. 1996, 3, 307–323. [Google Scholar] [CrossRef]
- Ying, J.; Lee, E.A.; Tollenaar, M. Response of maize leaf photosynthesis to low temperature during the grain-filling period. Field Crop. Res. 2000, 68, 87–96. [Google Scholar] [CrossRef]
- Zhang, Y.; Dai, J.Y.; Su, Z.S. Damage of low temperature during grain filling stage on maize grain. Acta Agron. Sin. 1995, 21, 71–76. [Google Scholar]
- Killi, D.; Bussotti, F.; Raschi, A.; Haworth, M. Adaptation to high temperature mitigates the impact of water deficit during combined heat and drought stress in C3 sunflower and C4 maize varieties with contrasting drought tolerance. Physiol. Plant. 2017, 159, 130–147. [Google Scholar] [CrossRef]
- Killi, D.; Raschi, A.; Bussotti, F. Lipid peroxidation and chlorophyll fluorescence of photosystem ii performance during drought and heat stress is associated with the antioxidant capacities of C3 sunflower and C4 maize varieties. Int. J. Mol. Sci. 2020, 21, 44846. [Google Scholar] [CrossRef]
- Liu, X.W.; Yu, Y.H.; Huang, S.B.; Xu, C.C.; Wang, X.; Gao, J.; Meng, Q.F.; Wang, P. The impact of drought and heat stress at flowering on maize kernel filling: Insights from the field and laboratory. Agric. For. Meteorol. 2022, 312, 108733. [Google Scholar] [CrossRef]
- Muchow, R.C. Effect of high temperature on grain growth in field grown maize. Field Crop. Res. 1990, 23, 145–158. [Google Scholar] [CrossRef]
- Muchow, R.C.; Sinclair, T.R.; Bennett, J.M. Temperature and solar radiation effects on potential maize yield across locations. Agron. J. 1990, 82, 338–343. [Google Scholar] [CrossRef]
- Liu, X.W.; Wang, X.L.; Wang, X.Y.; Gao, J.; Meng, Q.F.; Wang, P. Dissecting the critical stage in the response of maize kernel set to individual and combined drought and heat stress around flowering. Environ. Exp. Bot. 2020, 179, 104213. [Google Scholar] [CrossRef]
- Lindquist, J.L.; Arkebauer, T.J.; Walters, D.T.; Cassman, K.G.; Dobermann, A. Maize radiation use efficiency under optimal growth conditions. Agron. J. 2005, 97, 72–78. [Google Scholar] [CrossRef]
- Chen, C.; Baethgen, W.E.; Robertson, A. Contributions of individual variation in temperature, solar radiation and precipitation to crop yield in the North China Plain: 1961–2003. Clim. Change 2013, 116, 767–788. [Google Scholar] [CrossRef]
- Yang, Y.S.; Guo, X.X.; Liu, G.Z.; Liu, W.M.; Xue, J.; Ming, B.; Xie, R.Z.; Wang, K.R.; Hou, P.; Li, S.K. Solar radiation effects on dry matter accumulations and transfer in maize. Front. Plant Sci. 2021, 12, 1927. [Google Scholar] [CrossRef]
- Feng, L.Y.; Raza, M.A.; Chen, Y.; Khalid, M.H.B.; Meraj, T.A.; Ahsan, F.; Fan, Y.; Du, J.; Wu, X.; Song, C.; et al. Narrow-wide row planting pattern improves the light environment and seed yields of intercrop species in relay intercropping system. PLoS ONE 2019, 14, e0212885. [Google Scholar] [CrossRef]
- Gao, Z.; Sun, L.; Ren, J.H.; Liang, X.G.; Shen, S.; Lin, S.; Zhao, X.; Chen, X.M.; Wu, G.; Zhou, S.L. Detasseling increases kernel number in maize under shade stress. Agri. Forest Meteorol. 2019, 280, 107811. [Google Scholar] [CrossRef]
- Guo, X.X.; Yang, Y.S.; Liu, H.F.; Liu, G.Z.; Liu, W.M.; Wang, Y.H.; Zhao, R.L.; Ming, B.; Xie, R.Z.; Wang, K.R.; et al. Effects of solar radiation on root and shoot growth of maize and the quantitative relationship between them. Crop. Sci. 2020, 61, 1414–1425. [Google Scholar] [CrossRef]
- Almaraz, J.J.; Mabood, F.; Zhou, X.; Gregorich, E.G.; Smith, D.L. Climate change, weather variability and corn yield at a higher latitude locale: Southwestern Quebec. Clim. Change 2008, 88, 187–197. [Google Scholar] [CrossRef]
- Zhou, H.L.; Zhou, G.S.; He, Q.J.; Zhou, L.; Ji, Y.H.; Zhou, M.Z. Environmental explanation of maize specific leaf area under varying water stress regimes. Environ. Exp. Bot. 2019, 171, 103932. [Google Scholar] [CrossRef]
- Wossen, T.; Abdoulaye, T.; Alene, A.; Feleke, S.; Menkir, A.; Manyong, V. Measuring the impacts of adaptation strategies to drought stress: The case of drought tolerant maize varieties. J. Environ. Manag. 2017, 203, 106–113. [Google Scholar] [CrossRef] [PubMed]
- Huang, C.; Gao, Y.; Qin, A.Z.; Liu, Z.G.; Zhao, B.; Ning, D.F.; Ma, S.T.; Duan, A.W.; Liu, Z.D. Effects of waterlogging at different stages and durations on maize growth and grain yields. Agric. Water Manag. 2022, 261, 107334. [Google Scholar] [CrossRef]
- Cirilo, A.G.; Anddrade, F.H. Sowing Date and Maize Productivity: I. Crop growth and dry matter partitioning. Crop Sci. 1994, 34, 1039–1043. [Google Scholar] [CrossRef]
- Zhou, B.Y.; Yue, Y.; Sun, X.F.; Ding, Z.S.; Ma, W.; Zhao, M. Maize kernel weight responses to sowing date-associated variation in weather conditions. Crop J. 2017, 5, 43–51. [Google Scholar] [CrossRef]
- Dahmardeh, M. The effect of sowing date and some growth physiological index on grain yield in three maize hybrids in southeastern Iran. Asian J. Plant Sci. 2010, 9, 432–436. [Google Scholar] [CrossRef]
- Gambín, B.L.; Borrás, L.; Otegui, M.E. Source–sink relations and kernel weight differences in maize temperate hybrids. Field Crop. Res. 2006, 95, 316–326. [Google Scholar] [CrossRef]
- Mcmaster, G.S.; Wilhelm, W.W. Growing degree days: One equation, two interpretations. Agric. Forest Meteorol. 1997, 87, 291–300. [Google Scholar] [CrossRef]
- Yang, H.S.; Dobermann, A.; Lindquist, J.L.; Walters, D.T.; Arkebauer, T.J.; Cassman, K.G. Hybrid-maize–Amaize simulation model that combines two crop modeling approaches. Field Crop. Res. 2004, 87, 131–154. [Google Scholar] [CrossRef]
- Lobell, D.B.; Bänziger, M.; Magorokosho, C.; Vivek, B. Nonlinear heat effects on African maize as evidenced by historical yield trials. Nat. Clim. Change 2011, 1, 41–45. [Google Scholar] [CrossRef]
- Butler, E.E.; Huybers, P. Adaptation of US maize to temperature variations. Nat. Clim. Change. 2013, 3, 68–72. [Google Scholar] [CrossRef]
- Acreche, M.M.; Slafer, G.A. Grain weight, radiation interception and use efficiency as affected by sink-strength in Mediterranean wheat released from 1940 to 2005. Field Crop Res. 2009, 110, 98–105. [Google Scholar] [CrossRef]
- Tollenaar, M.; Daynard, T. Kernel growth and development at two positions on the ear of maize (Zea mays). Can. J. Plant Sci. 1978, 58, 189–197. [Google Scholar] [CrossRef]
- Meng, Q.F.; Hou, P.; Lobell, D.B.; Wang, H.F.; Cui, Z.L.; Zhang, F.S.; Chen, X.P. The benefits of recent warming for maize production in high latitude China. Clim. Change 2014, 122, 341–349. [Google Scholar] [CrossRef]
- Wang, L.J.; Liao, S.H.; Huang, S.B.; Ming, B.; Meng, Q.F.; Wang, P. Increasing concurrent drought and heat during the summer maize season in Huang–Huai–Hai Plain, China. Int. J. Climatol. 2018, 38, 3177–3190. [Google Scholar] [CrossRef]
- Tao, F.; Yokozawa, M.; Xu, Y.L. Climate changes and trends in penology and yields of field crops in China: 1981–2000. Agric. Forest Meteorol. 2006, 138, 82–92. [Google Scholar] [CrossRef]
- Wang, J.; Wang, E.L.; Yang, X.G.; Zhang, F.S.; Yin, H. Increased yield potential of wheat-maize cropping system in the North China Plain by climate change adaptation. Clim. Change 2012, 113, 825–840. [Google Scholar] [CrossRef]
- Sun, H.Y.; Zhang, X.Y.; Chen, S.Y.; Pei, D.; Liu, C.M. Effects of harvest and sowing time on the performance of the rotation of winter wheat–summer maize in the North China Plain. Ind. Crop. Prod. 2007, 25, 239–247. [Google Scholar] [CrossRef]
- Birch, C.J.; Hammer, G.L.; Rickert, K.G. Temperature and photoperiod sensitivity of development in five cultivars of maize (Zea mays L.) from emergence to tassel initiation. Field Crop. Res. 1998, 55, 93–107. [Google Scholar] [CrossRef]
- Liu, Y.E.; Xie, R.Z.; Hou, P.; Li, S.K.; Zhang, H.B.; Ming, B.; Long, H.L.; Liang, S.M. Phenological responses of maize to changes in environment when grown at different lati-tudes in China. Field Crop. Res. 2013, 144, 192–199. [Google Scholar] [CrossRef]
- Li, S.K.; Wang, C.T. Potential and Ways to High Yield in Maize; Science Press: Beijing, China, 2010. [Google Scholar]
- Otegui, M.E.; Andrade, F.H.; Suero, E.E. Growth, water use, and kernel abortion of maize subjected to drought at silking. Field Crop. Res. 1995, 40, 87–94. [Google Scholar] [CrossRef]
- Oury, V.; Tardieu, F.; Turc, O. Ovary apical abortion under water deficit is caused by changes in sequential development of ovaries and in silk growth rate in maize. Plant Physiol. 2016, 171, 986–996. [Google Scholar]
- Borrás, L.; Slafer, G.A.; Otegui, M.E. Seed dry weight response to source–sink manipulations in wheat, maize and soybean: A quantitative reappraisal. Field Crop. Res. 2004, 86, 131–146. [Google Scholar] [CrossRef]
- Tsimba, R.; Edmeades, G.O.; Millner, J.P.; Kemp, P.D. The effect of planting date on maize grain yields and yield components. Field Crop. Res. 2013, 150, 135–144. [Google Scholar] [CrossRef]
- Zhou, B.Y.; Yue, Y.; Sun, X.F.; Wang, X.B.; Wang, Z.M.; Ma, W.; Zhao, M. Maize grain yield and dry matter production responses to variations in weather conditions. Agron. J. 2015, 108, 196–204. [Google Scholar] [CrossRef]
- Otegui, M.E.; Riglos, M.; Mercau, J.L. Genetically modified maize hybrids and delayed sowing reduced negative drought effects across a rainfall gradient in temperate Argentina. J. Exp. Botany. 2021, 72, 371–376. [Google Scholar] [CrossRef]
- Hisse, I.R.; D’Andrea, K.E.; Otegui, M.E. Source-sink relations and kernel weight in maize inbred lines and hybrids: Responses to contrasting nitrogen supply levels. Field Crop. Res. 2019, 230, 151–159. [Google Scholar] [CrossRef]
- Andrade, F.H.; Vega, C.; Uhart, S.; Cirilo, A.; Cantarero, M.; Valentinuz, O. Kernel number determination in maize. Crop Sci. 1999, 39, 453–459. [Google Scholar] [CrossRef]
- Jones, R.J.; Gengenbach, B.G.; Cardwell, V.B. Temperature effects on in vitro kernel development of maize. Crop Sci. 1981, 21, 761–766. [Google Scholar] [CrossRef]
- Egli, D.B. Seed Biology and the Yield of Grain Crops; CAB International: Oxfordshire, UK, 1998. [Google Scholar]







| Seasons | Varieties | Mazie Growth Stage (Day/Month) | |||||||
|---|---|---|---|---|---|---|---|---|---|
| 2012 | 2013 | ||||||||
| PD | VE | R1 | R6 | PD | VE | R1 | R6 | ||
| SPM1 | ZD958 | 14/3 | 3/4 | 29/5 | 18/7 | 18/3 | 2/4 | 3/6 | 22/7 |
| DH9 | 3/6 | 22/7 | 8/6 | 26/7 | |||||
| YD629 | 8/6 | 25/7 | 14/6 | 29/7 | |||||
| SPM2 | ZD958 | 28/3 | 8/4 | 5/6 | 22/7 | 26/3 | 8/4 | 7/6 | 26/7 |
| DH9 | 8/6 | 27/7 | 14/6 | 28/7 | |||||
| YD629 | 13/6 | 29/7 | 18/6 | 31/7 | |||||
| SUM1 | ZD958 | 4/5 | 10/5 | 27/6 | 17/8 | 5/5 | 12/5 | 27/6 | 13/8 |
| DH9 | 30/6 | 20/8 | 2/7 | 16/8 | |||||
| YD629 | 4/7 | 22/8 | 7/7 | 19/8 | |||||
| SUM2 | ZD958 | 23/5 | 28/5 | 11/7 | 4/9 | 20/5 | 25/5 | 9/7 | 26/8 |
| DH9 | 13/7 | 8/9 | 14/7 | 28/8 | |||||
| YD629 | 18/7 | 11/9 | 17/7 | 30/8 | |||||
| AUM1 | ZD958 | 7/7 | 11/7 | 24/8 | 22/10 | 7/7 | 12/7 | 23/8 | 24/10 |
| DH9 | 26/8 | 29/10 | 27/8 | 26/10 | |||||
| YD629 | 31/8 | 5/11 | 30/8 | 3/11 | |||||
| AUM2 | ZD958 | 22/7 | 25/7 | 9/9 | 22/11 | 21/7 | 25/7 | 5/9 | 20/11 |
| DH9 | 14/9 | 30/11 | 9/9 | 25/11 | |||||
| YD629 | 19/9 | 30/11 | 13/9 | 28/11 | |||||
| Seasons | Varieties | Growing Degree Days (GDD, °Cd) | Mean Daily Temperature (MT, °C) | Mean Temperature Difference (M△T, °C) | Killing Degree Days (KDD, °Cd) | Accumulated Solar Radiation (Ra,MJ m−2) | Accumulated Precipitation (Pr, mm) | ||||||
|---|---|---|---|---|---|---|---|---|---|---|---|---|---|
| 2012 | 2013 | 2012 | 2013 | 2012 | 2013 | 2012 | 2013 | 2012 | 2013 | 2012 | 2013 | ||
| SPM1 | ZD958 | 1404.8 | 1446.6 | 23.6 | 23.4 | 7.7 | 9.5 | 110.5 | 154.2 | 1565.8 | 1762.0 | 399.8 | 365.3 |
| DH9 | 1474.6 | 1518.9 | 21.0 | 23.6 | 7.7 | 9.4 | 122.4 | 170.6 | 1654.4 | 1855.4 | 401.5 | 398.0 | |
| YD629 | 1526.6 | 1574.0 | 21.5 | 23.8 | 7.7 | 9.3 | 135.7 | 182.4 | 1707.8 | 1924.3 | 401.5 | 398.0 | |
| SPM2 | ZD958 | 1476.4 | 1487.4 | 21.8 | 24.1 | 7.6 | 9.4 | 127.2 | 170.6 | 1613.6 | 1782.3 | 400.6 | 388.4 |
| DH9 | 1531.5 | 1524.1 | 22.0 | 24.2 | 7.6 | 9.3 | 144.3 | 178.4 | 1703.8 | 1828.2 | 400.6 | 388.4 | |
| YD629 | 1583.4 | 1578.2 | 22.7 | 24.3 | 7.6 | 9.3 | 152.7 | 192.8 | 1764.4 | 1891.5 | 400.6 | 388.4 | |
| SUM1 | ZD958 | 1593.4 | 1511.8 | 25.1 | 27.4 | 7.2 | 8.5 | 206.8 | 257.9 | 1678.9 | 1684.2 | 335.6 | 252.1 |
| DH9 | 1705.3 | 1564.8 | 25.3 | 27.4 | 7.2 | 8.6 | 213.8 | 274.7 | 1859.6 | 1748.0 | 394.8 | 252.1 | |
| YD629 | 1764.5 | 1618.5 | 26.0 | 27.5 | 7.3 | 8.7 | 204.6 | 292.9 | 1916.5 | 1805.6 | 400.4 | 252.1 | |
| SUM2 | ZD958 | 1664.1 | 1560.4 | 28.5 | 28.0 | 7.3 | 8.2 | 244.8 | 281.4 | 1709.8 | 1700.2 | 341.8 | 261.6 |
| DH9 | 1795.9 | 1594.9 | 28.5 | 28.0 | 7.3 | 8.2 | 172.5 | 286.2 | 1915.2 | 1734.6 | 442.4 | 273.4 | |
| YD629 | 1853.5 | 1630.3 | 27.7 | 28.0 | 7.3 | 8.2 | 174.1 | 294.0 | 1950.9 | 1767.8 | 483.6 | 273.4 | |
| AUM1 | ZD958 | 1488.3 | 1503.6 | 28.2 | 25.1 | 8.2 | 9.0 | 150.2 | 237.7 | 1614.1 | 1577.8 | 292.6 | 271.9 |
| DH9 | 1645.9 | 1519.0 | 27.8 | 25.0 | 8.3 | 9.1 | 85.6 | 237.7 | 1845.0 | 1602.9 | 453.0 | 271.9 | |
| YD629 | 1692.5 | 1566.5 | 27.7 | 24.3 | 8.4 | 8.9 | 113.3 | 237.7 | 1913.3 | 1655.6 | 464.8 | 280.2 | |
| AUM2 | ZD958 | 1385.0 | 1416.0 | 27.0 | 22.2 | 8.7 | 8.9 | 115.6 | 186.2 | 1650.6 | 1576.1 | 327.6 | 226.4 |
| DH9 | 1461.1 | 1429.7 | 26.2 | 21.8 | 8.6 | 8.9 | 84.3 | 186.2 | 1814.3 | 1605.5 | 340.0 | 226.5 | |
| YD629 | 1515.7 | 1436.9 | 25.3 | 21.4 | 8.6 | 8.9 | 108.3 | 186.2 | 1804.5 | 1639.4 | 389.3 | 226.6 | |
| Seasons | 15.4 ** | 7.5 * | 21.1 ** | 21.3 ** | 94.3 ** | 44.5 ** | 40.2 ** | 34.7 ** | 29.2 ** | 332.2 ** | ns | 72.3 ** | |
| Varieties | 6.1 * | 4.6 * | ns | ns | ns | ns | ns | Ns | 45.7 ** | 62.2 ** | 5.5 * | ns | |
| Seasons * Varieties | ns | ns | ns | ns | ns | ns | ns | Ns | ns | ns | ns | ns | |
| Seasons | Varieties | Growing Degree Days (GDD, °Cd) | Mean Daily Temperature (MT, °C) | Mean Temperature Difference (M△T, °C) | Killing Degree Days (KDD, °Cd) | Accumulated Solar Radiation (Ra,MJ m−2) | Accumulated Precipitation (Pr, mm) | ||||||
|---|---|---|---|---|---|---|---|---|---|---|---|---|---|
| 2012 | 2013 | 2012 | 2013 | 2012 | 2013 | 2012 | 2013 | 2012 | 2013 | 2012 | 2013 | ||
| SPM1 | ZD958 | 815.4 | 817.9 | 27.1 | 27.8 | 7.2 | 7.9 | 107.2 | 121.8 | 801.1 | 897.1 | 197.7 | 110.0 |
| DH9 | 822.2 | 812.7 | 27.7 | 28.1 | 7.3 | 7.8 | 119.0 | 131.8 | 827.5 | 905.5 | 153.0 | 94.2 | |
| YD629 | 809.1 | 789.8 | 28.3 | 28.9 | 7.5 | 7.8 | 132.4 | 143.6 | 845.6 | 868.9 | 130.7 | 86.5 | |
| SPM2 | ZD958 | 814.0 | 828.8 | 27.9 | 28.1 | 7.4 | 7.8 | 123.9 | 132.2 | 829.5 | 925.8 | 152.0 | 94.2 |
| DH9 | 846.4 | 771.5 | 28.4 | 28.9 | 7.5 | 7.8 | 140.9 | 139.6 | 895.7 | 845.8 | 130.7 | 86.5 | |
| YD629 | 797.6 | 759.1 | 28.5 | 29.0 | 7.5 | 7.6 | 138.9 | 141.1 | 862.8 | 814.4 | 126.8 | 86.5 | |
| SUM1 | ZD958 | 910.3 | 835.2 | 29.2 | 29.4 | 7.3 | 8.4 | 175.4 | 186.8 | 953.3 | 948.7 | 165.6 | 55.4 |
| DH9 | 915.2 | 803.4 | 29.3 | 29.7 | 7.5 | 8.6 | 186.6 | 194.6 | 972.6 | 912.6 | 143.1 | 55.4 | |
| YD629 | 877.5 | 767.7 | 29.2 | 29.8 | 7.4 | 9.0 | 171.1 | 200.5 | 913.1 | 880.3 | 148.7 | 55.1 | |
| SUM2 | ZD958 | 953.1 | 850.3 | 28.2 | 29.4 | 7.1 | 8.6 | 146.5 | 205.2 | 973.6 | 925.1 | 199.1 | 125.8 |
| DH9 | 972.7 | 793.9 | 27.8 | 29.2 | 7.2 | 8.6 | 140.0 | 185.4 | 1013.4 | 838.7 | 193.0 | 137.4 | |
| YD629 | 933.5 | 775.2 | 27.7 | 29.2 | 7.4 | 8.7 | 140.6 | 183.3 | 984.9 | 821.5 | 167.5 | 137.4 | |
| AUM1 | ZD958 | 714.7 | 755.5 | 21.8 | 22.0 | 9.2 | 9.1 | 20.0 | 44.1 | 834.1 | 743.3 | 141.2 | 216.2 |
| DH9 | 751.0 | 706.5 | 20.9 | 21.6 | 9.2 | 9.4 | 19.9 | 42.7 | 889.0 | 733.2 | 185.1 | 134.5 | |
| YD629 | 686.8 | 700.9 | 19.9 | 20.5 | 9.4 | 9.0 | 12.2 | 31.5 | 835.2 | 736.8 | 195.2 | 142.8 | |
| AUM2 | ZD958 | 604.7 | 704.1 | 17.2 | 18.8 | 9.5 | 9.2 | 0.2 | 29.1 | 848.1 | 844.6 | 185.0 | 143.2 |
| DH9 | 551.2 | 669.9 | 16.0 | 18.2 | 9.5 | 9.2 | 0.0 | 29.1 | 860.2 | 836.3 | 133.2 | 132.7 | |
| YD629 | 499.7 | 631.6 | 15.8 | 17.6 | 9.3 | 9.5 | 0.0 | 29.1 | 763.5 | 845.4 | 133.1 | 90.9 | |
| Seasons | 24.5 ** | 33.9 ** | 49.2 ** | 96.9 ** | 357 ** | 120 ** | 121 ** | 530 ** | 30.6 ** | 6.24 * | ns | ns | |
| Varieties | ns | 8.71 ** | ns | ns | ns | ns | ns | ns | ns | ns | ns | ns | |
| Seasons * Varieties | ns | ns | ns | ns | ns | ns | ns | ns | ns | ns | ns | ns | |
| Years | Seasons | KFRlkf (mg °Cd−1) | GDDonset (°Cd) | GDDlkf (°Cd) | GDDKFRmax (°Cd) | GDDmax (°Cd) | ||||||||||
|---|---|---|---|---|---|---|---|---|---|---|---|---|---|---|---|---|
| ZD958 | DH9 | YD629 | ZD958 | DH9 | YD629 | ZD958 | DH9 | YD629 | ZD958 | DH9 | YD629 | ZD958 | DH9 | YD629 | ||
| 2012 | SPM1 | 0.547 ± 0.03 bc | 0.518 ± 0.03 b | 0.745 ± 0.04 a | 185 ± 9 a | 186 ± 9 a | 259 ± 13 a | 575 ± 29 a | 513 ± 26 c | 462 ± 23 bc | 443 ± 22 a | 455 ± 23 b | 498 ± 25 a | 720 ± 36 a | 699 ± 35 b | 721 ± 36 a |
| SPM2 | 0.572 ± 0.02 b | 0.518 ± 0.02 b | 0.61 ± 0.02 b | 190 ± 7 a | 186 ± 7 a | 212 ± 7 b | 536 ± 19 b | 513 ± 18 c | 440 ± 15 c | 467 ± 16 a | 460 ± 16 b | 465 ± 16 ab | 726 ± 25 a | 699 ± 24 b | 653 ± 23 b | |
| SUM1 | 0.526 ± 0.01 cd | 0.369 ± 0.01 d | 0.604 ± 0.02 b | 161 ± 4 b | 116 ± 3 c | 181 ± 5 c | 463 ± 12 c | 830 ± 21 a | 474 ± 12 bc | 397 ± 10 b | 544 ± 14 a | 424 ± 11 b | 623 ± 16 b | 946 ± 24 a | 655 ± 16 b | |
| SUM2 | 0.509 ± 0.02 d | 0.464 ± 0.02 c | 0.479 ± 0.02 c | 160 ± 7 b | 179 ± 8 ab | 158 ± 7 cd | 461 ± 19 c | 594 ± 25 b | 582 ± 24 a | 426 ± 18 ab | 481 ± 20 ab | 462 ± 19 ab | 621 ± 26 b | 773 ± 32 b | 740 ± 31 a | |
| AUM1 | 0.534 ± 0.02 cd | 0.612 ± 0.02 a | 0.715 ± 0.03 a | 115 ± 5 c | 164 ± 7 b | 197 ± 8 bc | 588 ± 24 a | 553 ± 22 bc | 507 ± 20 ab | 415 ± 17 ab | 460 ± 18 b | 487 ± 19 a | 703 ± 28 a | 717 ± 29 b | 704 ± 28 ab | |
| AUM2 | 0.659 ± 0.03 a | 0.595 ± 0.02 a | 0.719 ± 0.03 a | 125 ± 5 c | 84 ± 3 d | 145 ± 6 d | 469 ± 19 c | 495 ± 20 c | 401 ± 16 c | 369 ± 15 b | 353 ± 14 c | 373 ± 15 c | 594 ± 24 b | 579 ± 23 c | 545 ± 22 c | |
| F values | ||||||||||||||||
| Seasons (S) | 11.4 ** | 5.21 * | ns | ns | ns | |||||||||||
| Varieties (V) | 8.75 ** | ns | ns | ns | ns | |||||||||||
| S×V | ns | ns | ns | ns | ns | |||||||||||
| 2013 | SPM1 | 0.566 ± 0.03 b | 0.591 ± 0.03 ab | 0.457 ± 0.02 c | 157 ± 8 c | 174 ± 9 a | 148 ± 7 a | 465 ± 23 c | 467 ± 23 b | 610 ± 31 ab | 398 ± 20 a | 421 ± 21 ab | 453 ± 23 a | 622 ± 31 b | 641 ± 32 ab | 758 ± 38 a |
| SPM2 | 0.529 ± 0.02 b | 0.545 ± 0.02 b | 0.392 ± 0.01 d | 182 ± 6 b | 146 ± 5 b | 167 ± 6 b | 471 ± 16 c | 499 ± 17 b | 710 ± 25 a | 433 ± 15 a | 387 ± 14 b | 439 ± 15 a | 653 ± 23 b | 644 ± 23 ab | 777 ± 27 a | |
| SUM1 | 0.563 ± 0.01 b | 0.555 ± 0.01 b | 0.618 ± 0.02 a | 210 ± 5 a | 146 ± 4 b | 148 ± 4 a | 420 ± 11 d | 463 ± 12 b | 393 ± 10 d | 433 ± 11 a | 375 ± 9 b | 376 ± 9 b | 630 ± 16 b | 608 ± 15 b | 541 ± 14 c | |
| SUM2 | 0.361 ± 0.02 c | 0.57 ± 0.02 ab | 0.514 ± 0.02 b | 153 ± 6 c | 138 ± 6 b | 147 ± 6 a | 651 ± 27 a | 466 ± 20 b | 482 ± 20 c | 424 ± 18 a | 366 ± 15 b | 386 ± 16 b | 804 ± 34 a | 604 ± 25 b | 628 ± 26 b | |
| AUM1 | 0.793 ± 0.03 a | 0.584 ± 0.02 ab | 0.636 ± 0.03 a | 201 ± 8 a | 90 ± 4 c | 131 ± 5 a | 425 ± 17 d | 625 ± 25 a | 555 ± 22 b | 433 ± 17 a | 444 ± 18 a | 420 ± 17 ab | 626 ± 25 b | 715 ± 29 a | 686 ± 27 ab | |
| AUM2 | 0.551 ± 0.02 b | 0.655 ± 0.03 ab | 0.691 ± 0.03 a | 110 ± 4 d | 174 ± 7 a | 153 ± 6 a | 551 ± 22 b | 489 ± 20 b | 487 ± 19 c | 402 ± 16 a | 450 ± 18 a | 444 ± 18 a | 661 ± 26 b | 663 ± 27 ab | 640 ± 26 b | |
| F values | ||||||||||||||||
| Seasons (S) | ns | ns | ns | 9.91 ** | ns | |||||||||||
| Varieties (V) | ns | ns | ns | ns | ns | |||||||||||
| S×V | ns | ns | ns | 6.02 * | 4.16 * | |||||||||||
| GDD | MT | M△T | KDD | Ra | Pr | |
|---|---|---|---|---|---|---|
| GY | −0.384 * | −0.528 ** | −0.152 | −0.315 * | −0.336 * | 0.257 |
| KW | −0.421 * | −0.592 ** | 0.400 * | −0.673 ** | −0.589 ** | 0.397 * |
| KFRlkf | −0.565 ** | −0.563 ** | 0.492 ** | −0.573 ** | −0.523 ** | 0.170 |
| GDDonset | 0.345 * | 0.290 | −0.343 * | 0.230 | 0.210 | 0.110 |
| GDDlkf | 0.240 | 0.110 | −0.180 | 0.070 | 0.110 | 0.110 |
| GDDKFRmax | 0.429 ** | 0.190 | −0.409 * | 0.080 | 0.210 | 0.260 |
| GDDmax | 0.440 ** | 0.270 | −0.374 * | 0.190 | 0.230 | 0.180 |
Publisher’s Note: MDPI stays neutral with regard to jurisdictional claims in published maps and institutional affiliations. |
© 2022 by the authors. Licensee MDPI, Basel, Switzerland. This article is an open access article distributed under the terms and conditions of the Creative Commons Attribution (CC BY) license (https://creativecommons.org/licenses/by/4.0/).
Share and Cite
Ge, J.; Xu, Y.; Zhao, M.; Zhan, M.; Cao, C.; Chen, C.; Zhou, B. Effect of Climatic Conditions Caused by Seasons on Maize Yield, Kernel Filling and Weight in Central China. Agronomy 2022, 12, 1816. https://doi.org/10.3390/agronomy12081816
Ge J, Xu Y, Zhao M, Zhan M, Cao C, Chen C, Zhou B. Effect of Climatic Conditions Caused by Seasons on Maize Yield, Kernel Filling and Weight in Central China. Agronomy. 2022; 12(8):1816. https://doi.org/10.3390/agronomy12081816
Chicago/Turabian StyleGe, Junzhu, Ying Xu, Ming Zhao, Ming Zhan, Cougui Cao, Chuanyong Chen, and Baoyuan Zhou. 2022. "Effect of Climatic Conditions Caused by Seasons on Maize Yield, Kernel Filling and Weight in Central China" Agronomy 12, no. 8: 1816. https://doi.org/10.3390/agronomy12081816
APA StyleGe, J., Xu, Y., Zhao, M., Zhan, M., Cao, C., Chen, C., & Zhou, B. (2022). Effect of Climatic Conditions Caused by Seasons on Maize Yield, Kernel Filling and Weight in Central China. Agronomy, 12(8), 1816. https://doi.org/10.3390/agronomy12081816

