Effects of Nitrogen and Phosphorus Addition on Agronomic Characters, Photosynthetic Performance and Anatomical Structure of Alfalfa in Northern Xinjiang, China
Abstract
1. Introduction
2. Materials and Methods
2.1. Experimental Site
2.2. Experimental Design and Crop Management
2.3. Sampling and Measurements
2.3.1. Agronomic Traits
2.3.2. Photosynthetic Indexes
2.3.3. Photosynthetic Physiological and Biochemical Indexes
2.3.4. Anatomical Structure
2.4. Data Analysis
3. Results
3.1. Agronomic Traits
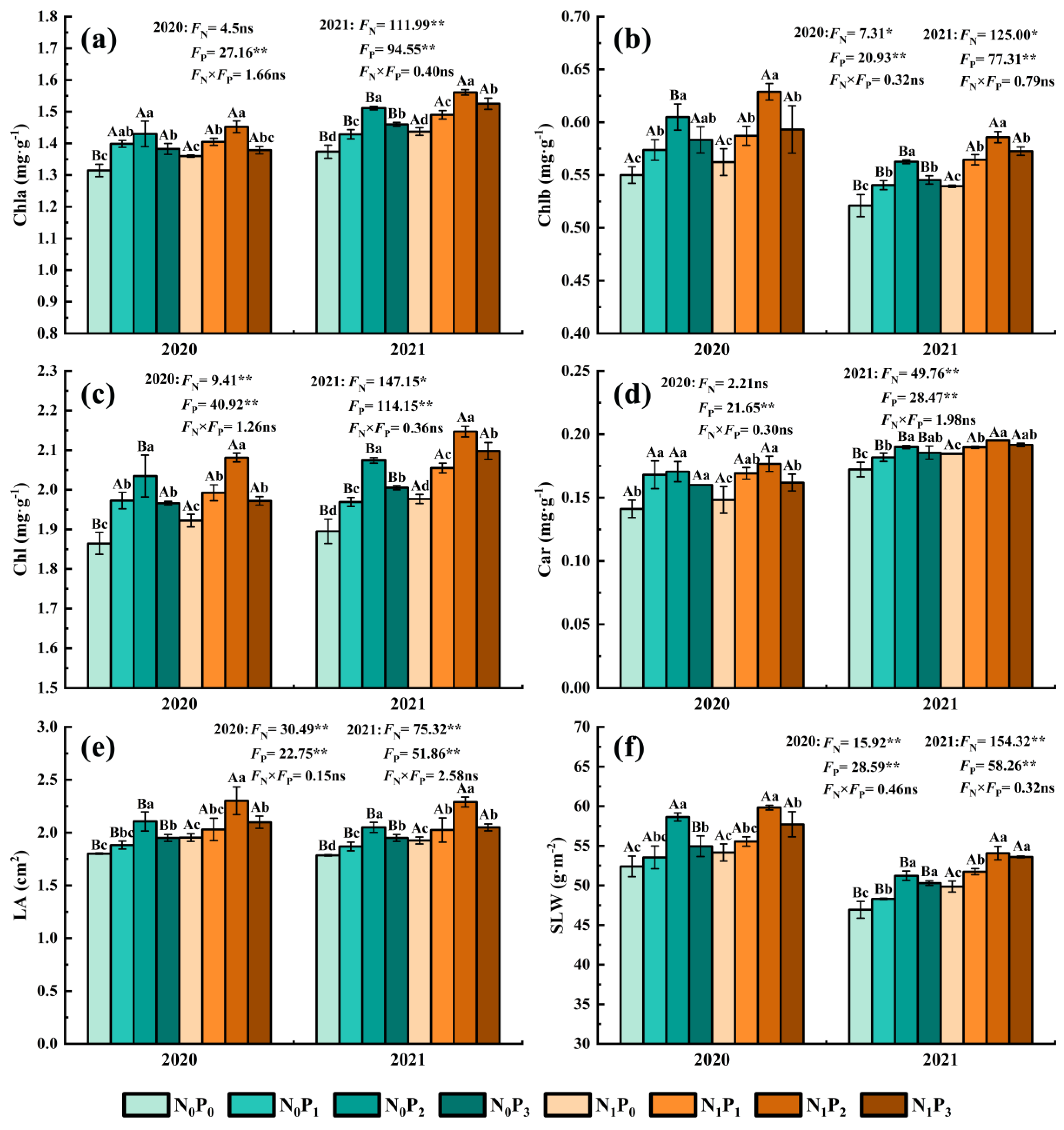
3.2. Photosynthetic Performance
3.3. Anatomical Structure
3.4. Principal Component Analysis and Comprehensive Evaluation
3.5. Structural Equation Modeling Statistics
4. Discussion
4.1. Effects of Nitrogen and Phosphorus Addition on Agronomic Characteristics of Alfalfa
4.2. Effects of Nitrogen and Phosphorus Addition on Photosynthetic Performance of Alfalfa
4.3. Effects of Nitrogen and Phosphorus Addition on Anatomical Structure of Alfalfa
4.4. Relationship between Agronomic Characteristics, Photosynthetic Performance and Anatomical Structure of Alfalfa under Nitrogen and Phosphorus Addition
5. Conclusions
Author Contributions
Funding
Institutional Review Board Statement
Informed Consent Statement
Data Availability Statement
Conflicts of Interest
References
- Sousa, D.O.; Hansen, H.H.; Hallin, O.; Nussio, L.G.; Nadeau, E. A two-year comparison on nutritive value and yield of eight lucerne cultivars and one red clover cultivar. Grass Forage Sci. 2020, 75, 76–85. [Google Scholar] [CrossRef]
- Abid, M.; Mansour, E.; Yahia, L.; Bachar, K.; Abdennaceur, B.; Ferchichi, A. Alfalfa nutritive quality as influenced by drought in south-eastern oasis of Tunisia. Ital. J. Anim. Sci. 2016, 15, 334–342. [Google Scholar] [CrossRef]
- Amare, M.; Weldearegay, D.F.; Andreasen, C. The effect of N and P fertilizers on yield and yield components of sesame (Sesamum indicum L.) in low-fertile soil of north-western Ethiopia. Agriculture 2019, 9, 227. [Google Scholar] [CrossRef]
- Elgharably, A.; Benes, S.E. Alfalfa biomass yield and nitrogen fixation in response to applied mineral nitrogen under saline soil conditions. J. Soil Sci. Plant Nutr. 2021, 21, 744–755. [Google Scholar] [CrossRef]
- Zhang, Q.B.; Liu, J.Y.; Liu, X.S.; Sun, Y.L.; Li, S.Y.; Lu, W.H.; Ma, C.H. Optimizing the nutritional quality and phosphorus use efficiency of alfalfa under drip irrigation with nitrogen and phosphorus fertilization. Agron. J. 2020, 112, 3129–3139. [Google Scholar] [CrossRef]
- Oliveira, W.S.; Oliveira, P.P.A.; Corsi, M.; Duarte, F.R.S.; Tsai, S.M. Alfalfa yield and quality as function of nitrogen fertilization and symbiosis with sinorhizobium meliloti. Sci. Agric. 2004, 61, 433–438. [Google Scholar] [CrossRef]
- Dou, Z.X.; Ramberg, C.; Toth, J.; Wang, Y.; Sharpley, A.; Boyd, S.; Chen, C.R.; Williams, D.; Xu, Z.H. Phosphorus speciation and sorption-desorption characteristics in heavily manured soils. Soil Sci. Soc. Am. J. 2009, 73, 93–101. [Google Scholar] [CrossRef]
- Jansa, J.; Finlay, R.; Wallander, H.; Smith, F.; Smith, S. Role of mycorrhizal symbioses in phosphorus cycling. In Phosphorus in Action; Springer: Berlin/Heidelberg, Germany, 2011; pp. 137–168. [Google Scholar]
- Zhou, Y.M.; Deng, J.F.; Tai, Z.J.; Jiang, L.F.; Han, J.Q.; Meng, G.L.; Li, M.H. Leaf anatomy, morphology and photosynthesis of three tundra shrubs after 7-year experimental warming on Changbai Mountain. Plants 2019, 8, 271. [Google Scholar] [CrossRef] [PubMed]
- Medeiros, L.; Pinto, J.; Castro, E.; Rezende, A.; Lima, C. Nitrogen and anatomical, bromatological and agronomical characteristics of Brachiaria brizantha cultivars. Ciência E Agrotecnologia 2011, 35, 598–605. [Google Scholar] [CrossRef]
- Tazoe, Y.; Noguchi, K.; Terashima, I. Effects of growth light and nitrogen nutrition on the organization of the photosynthetic apparatus in leaves of a C4 plant, Amaranthus cruentus. Plant Cell Environ. 2010, 29, 691–700. [Google Scholar] [CrossRef] [PubMed]
- Gu, Y.J.; Han, C.L.; Fan, J.W.; Shi, X.P.; Kong, M.; Shi, X.Y.; Siddique, K.; Zhao, Y.Y.; Li, F.M. Alfalfa forage yield, soil water and p availability in response to plastic film mulch and p fertilization in a semiarid environment. Field Crops Res. 2018, 215, 94–103. [Google Scholar] [CrossRef]
- Naeem, M.; Khan, M.M.; Moinuddin, A.S.; Idrees, M.; Aftab, T. Phosphorus ameliorates crop productivity, photosynthetic efficiency, nitrogen-fixation, activities of the enzymes and content of nutraceuticals of Lablab purpureus L. Sci. Hortic. 2010, 126, 205–214. [Google Scholar] [CrossRef]
- Saavedra, J.; Mccray, J.; Erickson, J.; Sandhu, H.; Bhadha, J. Sugarcane biomass yield response to phosphorus fertilizer on four mineral soils as related to extractable soil phosphorus. Commun. Soil Sci. Plant Anal. 2019, 50, 2960–2970. [Google Scholar]
- Oguchi, R.; Hikosaka, K.; Hirose, T. Leaf anatomy as a constraint for photosynthetic acclimation: Differential responses in leaf anatomy to increasing growth irradiance among three deciduous trees. Plant Cell Environ. 2005, 28, 916–927. [Google Scholar] [CrossRef]
- Nanamori, M.; Shinano, T.; Wasaki, J.; Yamamura, T.; Rao, I.; Osaki, M. Low phosphorus tolerance mechanisms: Phosphorus recycling and photosynthate partitioning in the tropical forage grass, brachiaria hybrid cultivar Mulato compared with Rice. Plant Cell Physiol. 2004, 45, 460–469. [Google Scholar] [CrossRef] [PubMed]
- Ye, Z.P. A new model for relationship between irradiance and the rate of photosynthesis in Oryza sativa. Photosynthetica 2007, 45, 637–640. [Google Scholar] [CrossRef]
- Wellburn, A. The spectral determination of chlorophylls a and b, as well as total carotenoids, using various solvents with spectrophotometers of different resolution. J. Plant Physiol. 1994, 144, 307–313. [Google Scholar] [CrossRef]
- Li, J.H.; Yang, W.P.; Guo, A.N.; Qi, Z.W.; Chen, J.; Huang, T.M.; Yang, Z.P.; Gao, Z.Q.; Sun, M.; Wang, J.W. Combined foliar and soil selenium fertilizer increased the grain yield, quality, total Se, and organic Se content in naked oats. J. Cereal Sci. 2021, 100, 103265. [Google Scholar] [CrossRef]
- Perry, L.; Blumenthal, D.; Monaco, T.; Paschke, M.; Redente, E. Immobilizing nitrogen to control plant invasion. Oecologia 2010, 163, 13–24. [Google Scholar] [CrossRef]
- Giesler, R.; Esberg, C.; Lagerström, A.; Graae, B.J. Phosphorus availability and microbial respiration across different tundra vegetation types. Biogeochemistry 2012, 108, 429–445. [Google Scholar] [CrossRef]
- Gu, Y.J.; Han, C.L.; Kong, M.; Shi, X.Y.; Zdruli, P.; Li, F.M. Plastic film mulch promotes high alfalfa production with phosphorus-saving and low risk of soil nitrogen loss. Field Crops Res. 2018, 229, 44–54. [Google Scholar] [CrossRef]
- Li, Z.G.; Tian, C.Y.; Zhang, R.H.; Ali, I.; Liu, y.; Zhang, G.S.; Pan, J.F.; Chen, F. Plastic mulching with drip irrigation increases soil carbon stocks of natrargid soils in arid areas of northwestern China. Catena 2015, 133, 179–185. [Google Scholar] [CrossRef]
- Wu, Z.; Ying, Y.; Zhang, Y.; Bi, Y.; Wang, A.; Du, X. Alleviation of drought stress in phyllostachys edulis by N and P application. Sci. Rep. 2018, 8, 228. [Google Scholar] [CrossRef] [PubMed]
- Zhang, Y.Q.; Wang, J.D.; Gong, S.H.; Xu, D.; Sui, J. Nitrogen fertigation effect on photosynthesis, grain yield and water use efficiency of winter wheat. Agric. Water Manag. 2016, 179, 277–287. [Google Scholar] [CrossRef]
- Mfilinge, A.; Mtei, K.; Ndakidemi, P. Effect of rhizobium inoculation and supplementation with phosphorus and potassium on growth and total leaf chlorophyll (Chl) content of bush bean Phaseolus vulgaris L. Agric. Sci. 2014, 5, 1413–1426. [Google Scholar] [CrossRef]
- Davidson, E.; Howarth, R. Environmental science: Nutrients in synergy. Nature 2007, 449, 1000–1003. [Google Scholar] [CrossRef]
- Raghothama, K.; Karthikeyan, A. Phosphate acquisition. Plant Soil 2006, 274, 37–49. [Google Scholar] [CrossRef]
- Guo, Y.H.; Yuan, C.; Tang, L.; Peng, J.M.; Zhang, K.L.; Li, G.; Ma, X.J. Responses of clonal growth and photosynthesis in amomum villosum to different light environment. Photosynthetic 2015, 54, 396–404. [Google Scholar] [CrossRef]
- Batke, S.; Yiotis, C.; Elliott-Kingston, C.; Holohan, A.; Mcelwain, J. Plant responses to decadal scale increments in atmospheric CO2 concentration: Comparing two stomatal conductance sampling methods. Planta 2020, 251, 52. [Google Scholar] [CrossRef]
- Zhang, D.Y.; Wang, X.H.; Chen, Y.; Xu, D.Q. Determinant of photosynthetic capacity in rice leaves under ambient air conditions. Photosynthetica 2005, 43, 273–276. [Google Scholar] [CrossRef]
- Guo, W.D.; Guo, Y.; Liu, J.R.; Mattson, N. Midday depression of photosynthesis is related with carboxylation efficiency decrease and D1 degradation in bayberry (Myrica rubra) plants. Sci. Hortic. 2009, 123, 188–196. [Google Scholar] [CrossRef]
- Monneveux, P.; Rekika, D.; Acevedo, E.; Merah, O. Effect of drought on leaf gas exchange, carbon isotope discrimination, transpiration efficiency and productivity in field grown durum wheat genotypes. Plant Sci. 2006, 170, 867–872. [Google Scholar] [CrossRef]
- Huang, M.Y.; Wong, S.L.; Weng, J.H. Rapid light-response curve of chlorophyll fluorescence in terrestrial plants: Relationship to CO2 exchange among five woody and four fern species adapted to different light and water regimes. Plants 2021, 10, 445. [Google Scholar] [CrossRef] [PubMed]
- Gyimah, R.; Nakao, T. Early growth and photosynthetic responses to light in seedlings of three tropical species differing in successional strategies. New For. 2007, 33, 217–236. [Google Scholar] [CrossRef]
- Miao, Z.; Xu, M.; Lathrop, R.; Wang, Y.F. Comparison of the A–Cc curve fitting methods in determining maximum ribulose 1·5-bisphosphate carboxylase/oxygenase carboxylation rate, potential light saturated electron transport rate and leaf dark respiration. Plant Cell Environ. 2009, 32, 109–122. [Google Scholar] [CrossRef]
- Wang, R.; Sun, Q.Q.; Wang, Y.; Liu, Q.F.; Du, L.L.; Zhao, M.; Gao, X.; Hu, Y.X.; Guo, S.L. Temperature sensitivity of soil respiration: Synthetic effects of nitrogen and phosphorus fertilization on Chinese Loess Plateau. Sci. Total Environ. 2016, 574, 1665–1673. [Google Scholar] [CrossRef]
- Attaran, E.; Major, I.; Cruz, J.; Rosa, B.; Koo, A.; Chen, J.; Kramer, D.; He, S.; Howe, G. Temporal Dynamics of Growth and Pho-tosynthesis Suppression in Response to Jasmonate Signaling. Plant Physiol. 2014, 165, 1302–1314. [Google Scholar] [CrossRef]
- Muller, O.; Oguchi, R.; Hirose, T.; Werger, M.; Hikosaka, K. The leaf anatomy of a broad-leaved evergreen allows an increase in leaf nitrogen content in winter. Physiol. Plant. 2009, 136, 299–309. [Google Scholar] [CrossRef]
- Chaffey, N. An introduction to plant structure and development. Plant anatomy for the twenty-first century. Ann. Bot. 2010, 108, 6–7. [Google Scholar] [CrossRef][Green Version]
- Yan, Z.N.; Ma, T.; Guo, S.X.; Liu, R.J.; Li, M. Leaf anatomy, photosynthesis and chlorophyll fluorescence of lettuce as influenced by arbuscular mycorrhizal fungi under high temperature stress. Sci. Hortic. 2021, 280, 109933. [Google Scholar] [CrossRef]
- Hiroshi, Y.; Takeshi, I.; Kenji, N.; Tetsuya, Y.; Wataru, S.; Makoto, K. Genetic analysis of chlorophyll synthesis and degradation regulated by balance of chlorophyll metabolism. Plant Physiol. 2022, 189, 419–432. [Google Scholar]
- Fatichi, S.; Leuzinger, S.; Körner, C. Moving beyond photosynthesis: From carbon source to sink-driven vegetation modeling. New Phytol. 2013, 201, 1086–1095. [Google Scholar] [CrossRef] [PubMed]
- Hu, W.H.; Lu, Z.F.; Meng, F.J.; Li, X.K.; Cong, R.H.; Ren, T.; Sharkey, T.; Lu, J.W. The reduction in leaf area precedes that in photosynthesis under potassium deficiency: The importance of leaf anatomy. New Phytol. 2020, 227, 1749–1763. [Google Scholar] [CrossRef] [PubMed]
- Nelson, N.; Junge, W. Structure and Energy Transfer in Photosystems of Oxygenic Photosynthesis. Annu. Rev. Biochem. 2015, 84, 659–683. [Google Scholar] [CrossRef] [PubMed]









| Treatments | Pmaxa/(μmol CO2·m−2·s−1) | AQY/(CO2·Photon−1) | Rd/(μmol CO2·m−2·s−1) | LCP/(μmol·m−2·s−1) | LSP/(μmol·m−2·s−1) |
|---|---|---|---|---|---|
| N0P0 | 32.4 ± 0.42 ad b | 0.0622 ± 0.001 bd | 2.77 ± 0.1 bc | 44.59 ± 2.58 bc | 2309.39 ± 24.39 aa |
| N0P1 | 35.34 ± 1.33 bc | 0.0658 ± 0.0008 ac | 3.35 ± 0.13 ab | 50.86 ± 2.28 ab | 2326.99 ± 14.01 aa |
| N0P2 | 41.91 ± 0.06 ba | 0.0691 ± 0.0001 ba | 4.06 ± 0.29 aa | 58.8 ± 2.06 aa | 2371.49 ± 9.51 aa |
| N0P3 | 38.63 ± 0.61 bb | 0.0674 ± 0.0008 bb | 3.44 ± 0.18 ab | 50.97 ± 3.04 ab | 2340.16 ± 10.84 aa |
| N1P0 | 33.36 ± 0.42 ad | 0.0666 ± 0.0012 ac | 3.34 ± 0.27 ac | 50.09±2.33 ab | 2360.06 ± 8.94 aa |
| N1P1 | 37.3 ± 0.28 ac | 0.067 ± 0.0005 ac | 3.43 ± 0.18 abc | 51.24 ± 1.77 ab | 2382.16 ± 11.16 aa |
| N1P2 | 43.62 ± 1.23 aa | 0.0716 ± 0.0011 aa | 4.3 ± 0.21 aa | 60.09 ± 1.92 aa | 2402.6 ± 48.4 aa |
| N1P3 | 39.98 ± 0.67 ab | 0.0691 ± 0.0007 ab | 3.65 ± 0.16 ab | 52.88 ± 2.14 ab | 2384.16 ± 80.16 aa |
| FB c | 3.91 *d | 3.18 ns | 5.28 * | 6.95 ** | 0.05 ns |
| FN | 32.10 ** | 64.69 ** | 17.60 ** | 20.47 ** | 8.68 ** |
| FP | 255.71 ** | 70.01 ** | 51.42 ** | 102.36 ** | 1.99 ns |
| FN × FP | 0.67 ns | 5.37 * | 2.35 ns | 4.99 ** | 0.12 ns |
| Treatments | LT a/(μm) | UE/(μm) | DE/(μm) | PT/(μm) | ST/(μm) | CTR/(%) | SR/(%) | PT/ST |
|---|---|---|---|---|---|---|---|---|
| N0P0 | 169.86 ± 5.8 bd b | 17.36 ± 1.15 aa | 18.67 ± 0.52 aa | 82.1 ± 2.1 bd | 51.52 ± 2.53 Bd | 48.34 ± 0.63 Ac | 30.37 ± 2.25 Aa | 1.6 ± 0.1 Ab |
| N0P1 | 178.15 ± 7.02 bc | 17.51 ± 1.36 aa | 18.67 ± 1.26 aa | 93.68 ± 4.5 bc | 54.83 ± 1.98 bc | 52.58 ± 0.67 ab | 30.84 ± 2.32 aa | 1.71 ± 0.14 aab |
| N0P2 | 205.66 ± 2.69 ba | 17.62 ± 1.22 aa | 19.51 ± 0.13 aa | 114.75 ± 0.81 ba | 63.82 ± 3.03 ba | 55.81 ± 1.04 aa | 31.02 ± 1.17 aa | 1.8 ± 0.09 aa |
| N0P3 | 197.41 ± 1.66 bb | 17.53 ± 0.44 aa | 18.99 ± 0.75 aa | 102.21 ± 4.97 bb | 60.5 ± 1.11 bb | 51.76 ± 2.11 bb | 30.65 ± 0.82 aa | 1.69 ± 0.11 aab |
| N1P0 | 179.98 ± 5.98 ad | 17.5 ± 0.18 aa | 18.75 ± 0.98 aa | 87.32 ± 2.95 ad | 54.91 ± 0.04 ad | 48.52 ± 0.02 ac | 30.53 ± 1aa | 1.59 ± 0.05 ab |
| N1P1 | 191.24 ± 2.97 ac | 17.68 ± 0.11 aa | 18.83 ± 0.85 aa | 102.62 ± 2.36 ac | 59.03 ± 2.28 ac | 53.68 ± 2.07 ab | 30.88 ± 1.67 aa | 1.74 ± 0.03 aab |
| N1P2 | 219.25 ± 0.9 aa | 17.79 ± 0.31 aa | 19.53 ± 0.99 aa | 123.48 ± 2.19 aa | 68.13 ± 0.65 aa | 56.32 ± 0.77 aa | 31.08 ± 0.17 aa | 1.81 ± 0.01 aa |
| N1P3 | 209.13 ± 2 ab | 17.52 ± 1.29 aa | 19 ± 0.54 aa | 112.65 ± 3.29 ab | 64.36 ± 2.12 ab | 53.86 ± 1.06 ab | 30.77 ± 0.72 aa | 1.75 ± 0.01 aab |
| FB c | 0.62 ns d | 2.40 ns | 4.91 ns | 3.32 ns | 1.28 ns | 2.38 ns | 0.14 ns | 0.08 ns |
| FN | 47.20 ** | 0.12 ns | 0.09 ns | 53.85 ** | 24.98 ** | 4.28 ns | 0.02 ns | 0.41 ns |
| FP | 93.80 ** | 0.11 ns | 1.90 ns | 164.34 ** | 51.78 ** | 44.98 ** | 0.16 ns | 6.05 ns |
| FN × FP | 0.19 ns | 0.02 ns | 0.03 ns | 0.95 ns | 0.70 ns | 0.81 ns | 0.01 ns | 0.16 ns |
Publisher’s Note: MDPI stays neutral with regard to jurisdictional claims in published maps and institutional affiliations. |
© 2022 by the authors. Licensee MDPI, Basel, Switzerland. This article is an open access article distributed under the terms and conditions of the Creative Commons Attribution (CC BY) license (https://creativecommons.org/licenses/by/4.0/).
Share and Cite
Sun, Y.; Wang, X.; Ma, C.; Zhang, Q. Effects of Nitrogen and Phosphorus Addition on Agronomic Characters, Photosynthetic Performance and Anatomical Structure of Alfalfa in Northern Xinjiang, China. Agronomy 2022, 12, 1613. https://doi.org/10.3390/agronomy12071613
Sun Y, Wang X, Ma C, Zhang Q. Effects of Nitrogen and Phosphorus Addition on Agronomic Characters, Photosynthetic Performance and Anatomical Structure of Alfalfa in Northern Xinjiang, China. Agronomy. 2022; 12(7):1613. https://doi.org/10.3390/agronomy12071613
Chicago/Turabian StyleSun, Yanliang, Xuzhe Wang, Chunhui Ma, and Qianbing Zhang. 2022. "Effects of Nitrogen and Phosphorus Addition on Agronomic Characters, Photosynthetic Performance and Anatomical Structure of Alfalfa in Northern Xinjiang, China" Agronomy 12, no. 7: 1613. https://doi.org/10.3390/agronomy12071613
APA StyleSun, Y., Wang, X., Ma, C., & Zhang, Q. (2022). Effects of Nitrogen and Phosphorus Addition on Agronomic Characters, Photosynthetic Performance and Anatomical Structure of Alfalfa in Northern Xinjiang, China. Agronomy, 12(7), 1613. https://doi.org/10.3390/agronomy12071613

