Effect of Combined Application of Chicken Manure and Inorganic Nitrogen Fertilizer on Yield and Quality of Cherry Tomato
Abstract
:1. Introduction
2. Materials and Methods
2.1. Experimental Site
2.2. Field Trials
2.3. Measurements and Data Analysis
2.3.1. Soil Physicochemical Measurements
2.3.2. Yield Performance and Morphological Parameters
2.3.3. Quality Traits Assessment
2.3.4. Data Calculation and Statistical Analysis
3. Results
3.1. Fruit Yield, Yield Components, and NUE
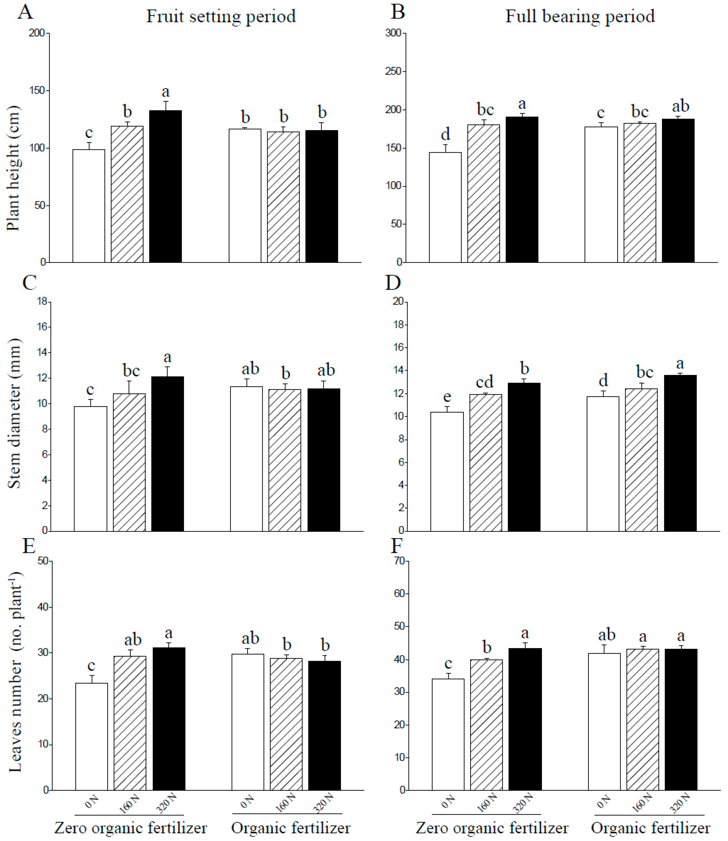
3.2. Morphological Parameters
3.3. Fruit Quality Traits
3.4. Comprehensive Evaluation of Cherry Tomato Quality under Different Fertilizer Treatments
3.5. Pearson Correlations between the Measured Parameters
4. Discussion
4.1. Fruit Yields in Resposne to N Application Rates and Chicken Manure Application
4.2. Environmental Concerns of High N Application Rate and the Possibility of Chicken Manure to Replace Inorganic N Fertilizers
4.3. Fruit Quality in Response to Different Fertilizer Management
5. Conclusions
Supplementary Materials
Author Contributions
Funding
Institutional Review Board Statement
Informed Consent Statement
Data Availability Statement
Conflicts of Interest
References
- Guo, X.X.; Zhao, D.; Zhuang, M.H.; Wang, C.; Zhang, F.S. Fertilizer and pesticide reduction in cherry tomato production to achieve multiple environmental benefits in Guangxi, China. Sci. Total Environ. 2021, 793, 148527. [Google Scholar] [CrossRef] [PubMed]
- Ti, C.; Luo, Y.; Yan, X. Characteristics of nitrogen balance in open-air and greenhouse vegetable cropping systems of China. Environ. Sci. Pollut. Res. 2015, 22, 18508–18518. [Google Scholar] [CrossRef] [PubMed]
- Wu, L.; Zhang, W.F.; Chen, X.P.; Cui, Z.L.; Fan, M.S.; Chen, Q.; Zhang, F.S. Nitrogen fertilizer input and nitrogen use efficiency in Chinese farmland. Soil Fert. Sci. China 2016, 4, 76–83. (In Chinese) [Google Scholar]
- Bai, M.; Suter, H.; Lam, S.K.; Sun, J.; Chen, D. Use of open-path FTIR and inverse dispersion technique to quantify gaseous nitrogen loss from an intensive vegetable production site. Atmos. Environ. 2014, 94, 687–691. [Google Scholar] [CrossRef]
- Lam, S.K.; Suter, H.; Mosier, A.R.; Chen, D. Using nitrification inhibitors to mitigate agricultural N2O emission: A double-edged sword? Glob. Chang. Biol. 2017, 23, 485–489. [Google Scholar] [CrossRef]
- Wang, X.Z.; Dou, Z.X.; Shi, X.J.; Zou, C.Q.; Liu, D.Y.; Wang, Z.Y.; Guan, X.L.; Sun, Y.X.; Wu, G.; Zhang, B.G.; et al. Innovative management programme reduces environmental impacts in Chinese vegetable production. Nat. Food. 2021, 2, 47–53. [Google Scholar] [CrossRef]
- Gu, B.J.; Ju, X.T.; Chang, S.X.; Ge, Y.; Chang, J. Nitrogen use efficiencies in Chinese agricultural systems and implications for food security and environmental protection. Reg. Environ. Chang. 2017, 17, 1217–1227. [Google Scholar] [CrossRef]
- Xia, L.L.; Lam, S.K.; Yan, X.Y.; Chen, D.L. How does recycling of livestock manure in agroecosystems affect crop productivity, reactive nitrogen losses and soil carbon balance? Environ. Sci. Technol. 2017, 51, 7450–7457. [Google Scholar] [CrossRef]
- Zhang, J.; Zhuang, M.; Shan, N.; Zhao, Q.; Li, H.; Wang, L. Substituting organic manure for compound fertilizer increases yield and decreases NH3 and N2O emissions in an intensive vegetable production systems. Sci. Total Environ. 2019, 670, 1184–1189. [Google Scholar] [CrossRef]
- Duan, Y.H.; Xu, M.G.; Gao, S.D.; Yang, X.Y.; Huang, S.M.; Liu, H.B.; Wang, B.R. Nitrogen use efficiency in a wheat-corn cropping system from 15 years of manure and fertilizer applications. Field Crop. Res. 2014, 157, 47–56. [Google Scholar] [CrossRef]
- Yang, Z.C.; Zhao, N.; Huang, F.; Lv, Y.Z. Long-term effects of different organic and inorganic fertilizer treatments on soil organic carbon sequestration and crop yields on the North China Plain. Soil Tillage Res. 2015, 146, 47–52. [Google Scholar] [CrossRef]
- Zhang, X.Y.; Fang, Q.C.; Zhang, T.; Ma, W.Q.; Velthof, G.L.; Hou, Y.; Oenema, O.; Zhang, F.S. Benefits and trade–offs of replacing synthetic fertilizers by animal manures in crop production in China: A meta–analysis. Glob. Chang. Biol. 2019, 26, 888–900. [Google Scholar] [CrossRef] [PubMed]
- Zhou, J.; Li, B.; Xia, L.; Fan, C.; Xiong, Z. Organic-substitute strategies reduced carbon and reactive nitrogen footprints and gained net ecosystem economic benefit for intensive vegetable production. J. Clean. Prod. 2019, 225, 984–994. [Google Scholar] [CrossRef]
- Yuan, Q.; Feng, B.; Zhong, Y.H.; Wang, J.; Xu, X.J.; Ma, H.B. Partial replacement of chemical fertilizer with organic fertilizer: Effects on eggplant yield, quality and soil fertility. Chin. Agric. Sci. Bull. 2021, 37, 59–63. (In Chinese) [Google Scholar]
- Pan, S.; Liu, C.; Zhang, F.; Chen, Z.; Li, Y. First report of Meloidogyne graminicola on tomato (Solanum lycopersicum) in Hainan of China. Plant Dis. 2022, online. [Google Scholar] [CrossRef]
- Carillo, P.; Kyriacou, M.C.; El-Nakhel, C.; Pannico, A.; Dell’Aversana, E.; D’Amelia, L.; Colla, G.; Caruso, G.; De Pascale, S.; Rouphael, Y. Sensory and functional quality characterization of protected designation of origin ‘Piennolo del Vesuvio’ cherry tomato landraces from Campania-Italy. Food Chem. 2019, 292, 166–175. [Google Scholar] [CrossRef]
- Erge, H.S.; Karadeniz, F. Bioactive compounds and antioxidant activity of tomato cultivars. Int. J. Food Prop. 2011, 14, 968–977. [Google Scholar] [CrossRef]
- Burton-Freeman, B.M.; Sesso, H.D. Whole food versus supplement: Comparing the clinical evidence of tomato intake and lycopene supplementation on cardiovascular risk factors. Adv. Nutr. 2014, 5, 457–485. [Google Scholar] [CrossRef] [Green Version]
- Müller, L.; Caris-Veyrat, C.; Lowe, G.; Böhm, V. Lycopene and its antioxidant role in the prevention of cardiovascular diseases-a critical review. Crit. Rev. Food Sci. Nutr. 2016, 56, 1868–1879. [Google Scholar] [CrossRef]
- Khaitov, B.; Yun, H.J.; Lee, Y.; Ruziev, F.; Le, T.H.; Umurzokov, M.; Bo, A.B.; Cho, K.M.; Park, K.W. Impact of organic manure on growth, nutrient content and yield of chilli pepper under various temperature environments. Int. J. Environ. Res. Public Health 2019, 16, 3031. [Google Scholar] [CrossRef] [Green Version]
- Antonious, G.F.; Turley, E.; Mishra, B.; Heist, Q.; Upadhyaya, Y.; Trivette, T.; Nkuwi, L. Characterization of eggplant grown in animal manure amended soil. Int. J. Environ. Health Res. 2020, 30, 492–503. [Google Scholar] [CrossRef] [PubMed]
- Agbede, T.M. Effect of tillage, biochar, poultry manure and NPK 15-15-15 fertilizer, and their mixture on soil properties, growth and carrot (Daucus carota L.) yield under tropical conditions. Heliyon 2021, 7, e07391. [Google Scholar] [CrossRef]
- Zhuang, M.; Lam, S.K.; Zhang, J.; Li, H.; Shan, N.; Yuan, Y.; Wang, L. Effect of full substituting compound fertilizer with different organic manure on reactive nitrogen losses and crop productivity in intensive vegetable production system of China. J. Environ. Manag. 2019, 243, 381–384. [Google Scholar] [CrossRef]
- Huang, R.; Wang, Y.; Gao, X.; Liu, J.; Wang, Z.; Gao, M. Nitrous oxide emission and the related denitrifier community: A short-term response to organic manure substituting chemical fertilizer. Ecotoxicol. Environ. Saf. 2020, 192, 110291. [Google Scholar] [CrossRef] [PubMed]
- Suter, H.; Pandey, A.; Lam, S.K.; Davies, R.; Hassan, R.; Riches, D.; Chen, D.L. Opportunities to improve nitrogen use efficiency in an intensive vegetable system without compromising yield. J. Environ. Qual. 2021, 50, 791–798. [Google Scholar] [CrossRef] [PubMed]
- Caris-Veyrat, C.; Amiot, M.J.; Tyssandier, V.; Grasselly, D.; Buret, M.; Mikolajczak, M.; Guilland, J.C.; Bouteloup-Demange, C.; Borel, P. Influence of organic versus conventional agricultural practice on the antioxidant microconstituent content of tomatoes and derived purees; consequences on antioxidant plasma status in humans. J. Agric. Food Chem. 2004, 52, 6503–6509. [Google Scholar] [CrossRef]
- Karim, M.F.; Hao, P.F.; Nordin, N.H.B.; Qiu, C.W.; Zeeshan, M.; Khan, A.A.; Wu, F.B.; Shamsi, I.H. CO2 enrichment using CRAM fermentation improves growth, physiological traits and yield of cherry tomato (Solanum lycopersicum L.). Saudi J. Biol. Sci. 2020, 27, 1041–1048. [Google Scholar] [CrossRef]
- Mamatha, H.; Rao, N.K.S.; Laxman, R.H.; Shivashankara, K.S.; Bhatt, R.M.; Pavithra, K.C. Impact of elevated CO2 on growth, physiology, yield, and quality of tomato (Lycopersicon esculentum Mill) cv. Arka Ashish. Photosynthetica 2014, 52, 519–528. [Google Scholar] [CrossRef]
- Bradford, M.M. A rapid and sensitive method for the quantitation of microgram quantities of protein utilizing the principle of protein-dye binding. Anal. Biochem. 1976, 72, 248–254. [Google Scholar] [CrossRef]
- Wu, X.R.; Zhao, W.Q.; Zeng, X.Y.; Zhang, Q.A.; Gao, G.T.; Song, S.J. Effects of cold plasma treatment on cherry quality during storage. Food Sci. Technol. Int. 2021, 27, 441–455. [Google Scholar] [CrossRef]
- Zhang, X.C.; Lei, J.C.; Zheng, D.Y.; Liu, Z.H.; Li, G.H.; Wang, S.H.; Ding, Y.F. Amino acid composition of leaf, grain and bracts of japonica rice (Oryza Sativa ssp. japonica) and its response to nitrogen fertilization. Plant Growth Regul. 2017, 82, 1–9. [Google Scholar] [CrossRef]
- Ali, M.M.; Anwar, R.; Malik, A.U.; Khan, A.S.; Ahmad, S.; Hussain, Z.; Hasan, M.U.; Nasir, M.; Chen, F.X. Plant growth and fruit quality response of strawberry is improved after exogenous application of 24-epibrassinolide. J. Plant Growth Regul. 2021, 41, 1786–1799. [Google Scholar] [CrossRef]
- Liao, G.L.; Jiang, Z.Q.; He, Y.Q.; Zhong, M.; Huang, C.H.; Qu, X.Y.; Xu, X.B. The Comprehensive evaluation analysis of the fruit quality in Actinidia eriantha pollinated with different pollen donors based on the membership function method. Erwerbs-Obstbau 2022, 64, 91–96. [Google Scholar] [CrossRef]
- Zhang, X.; Davidson, E.A.; Mauzerall, D.L.; Searchinger, T.D.; Dumas, P.; Shen, Y. Managing nitrogen for sustainable development. Nature 2015, 528, 51–59. [Google Scholar] [CrossRef] [PubMed] [Green Version]
- Zhang, J.; He, W.; Smith, W.N.; Grant, B.B.; Ding, W.; Jiang, R.; Zou, G.; Chen, Y.; He, P. Exploring management strategies to improve yield and mitigate nitrate leaching in a typical radish field in northern China. J. Environ. Manag. 2021, 290, 112640. [Google Scholar] [CrossRef] [PubMed]
- Liu, H.; Wang, Z.H.; Yu, R.; Li, F.C.; Li, K.Y.; Cao, H.B.; Yang, N.; Li, M.H.; Dai, J.; Zan, Y.L.; et al. Optimal nitrogen input for higher efficiency and lower environmental impacts of winter wheat production in China. Agric. Ecosyst. Environ. 2016, 224, 1–11. [Google Scholar] [CrossRef]
- Zhao, C.S.; Hu, C.X.; Huang, W.; Sun, X.C.; Tan, Q.L.; Di, H.J. A lysimeter study of nitrate leaching and optimum nitrogen application rates for intensively irrigated vegetable production systems in Central China. J. Soils Sed. 2010, 10, 9–17. [Google Scholar] [CrossRef]
- Xu, G.H.; Fan, X.R.; Miller, A.J. Plant nitrogen assimilation and use efficiency. Annu. Rev. Plant. Biol. 2012, 63, 153–182. [Google Scholar] [CrossRef] [Green Version]
- Liu, B.; Wang, X.; Ma, L.; Chadwick, D.; Chen, X. Combined applications of organic and synthetic nitrogen fertilizers for improving crop yield and reducing reactive nitrogen losses from China’s vegetable systems: A meta-analysis. Environ. Pollut. 2021, 269, 116143. [Google Scholar] [CrossRef]
- Zhang, J.J.; He, P.; Ding, W.C.; Ullah, S.; Abbas, T.; Li, M.Y.; Ai, C.; Zhou, W. Identifying the critical nitrogen fertilizer rate for optimum yield and minimum nitrate leaching in a typical field radish cropping system in China. Environ. Pollut. 2021, 268, 115004. [Google Scholar] [CrossRef]
- Rashti, M.R.; Wang, W.; Moody, P.; Chen, C.; Ghadiri, H. Fertiliser-induced nitrous oxide emissions from vegetable production in the world and the regulating factors: A review. Atmos. Environ. 2015, 112, 225–233. [Google Scholar] [CrossRef]
- Zhou, M.R.; Ying, S.S.; Chen, J.H.; Jiang, P.K.; Teng, Y.X. Effects of biochar-based fertilizer on nitrogen use efficiency and nitrogen losses via leaching and ammonia volatilization from an open vegetable field. Environ. Sci. Pollut. Res. 2021, 28, 65188–65199. [Google Scholar] [CrossRef] [PubMed]
- Lv, F.; Song, J.; Giltrap, D.; Feng, Y.; Yang, X.; Zhang, S. Crop yield and N2O emission affected by long-term organic manure substitution fertilizer under winter wheat-summer maize cropping system. Sci. Total Environ. 2020, 732, 139321. [Google Scholar] [CrossRef] [PubMed]
- Wang, W.J.; Zhu, D.Y.; Wang, H.S. Effect of different amount of organic fertilizer in the yield of organic vegetables. North Hortic. 2010, 17, 29–30. (In Chinese) [Google Scholar]
- Parham, J.A.S.P.; Deng, S.; Raun, W.; Johnson, G. Long-term cattle manure application in soil. Biol. Fertil. Soils. 2002, 35, 328–337. [Google Scholar] [CrossRef]
- Souza, M.A.D.; Peres, L.E.P.; Freschi, J.R.; Purgatto, E.; Lajolo, F.M.; Hassimotto, N.M.A. Changes in flavonoid and carotenoid profiles alter volatile organic compounds in purple and orange cherry tomatoes obtained by allele introgression. J. Sci. Food Agr. 2020, 100, 1662–1670. [Google Scholar] [CrossRef]
- Bénard, C.; Gautier, H.; Bourgaud, F.; Grasselly, D.; Navez, B.; Caris-Veyrat, C.; Weiss, M.; Génard, M. Effects of low nitrogen supply on tomato (Solanum lycopersicum) fruit yield and quality with special emphasis on sugars, acids, ascorbate, carotenoids, and phenolic compounds. J. Agric. Food. Chem. 2009, 57, 4112–4123. [Google Scholar] [CrossRef]
- Chen, K.; Yu, H.; Feng, W.Q.; Tu, S.H.; Qin, Y.S. Effects of different combinations of organic and mineral fertilizers on yield and quality of long chili pepper. Southwest China J. Agric. Sci. (In Chinese). 2014, 27, 2006–2010. [Google Scholar]




| Growth Season | Chicken Manure Rate (t ha−1) | N ApplicateRate (kg N ha−1) | Fruit Yield (t ha−1) | Fruit Number (No. m−2) | Single Fruit Weight (g) | Shoot Dry Matter (t ha−1) |
|---|---|---|---|---|---|---|
| 2020–2021 | 0 | 0 | 16.33d | 171c | 10.18d | 2.72d |
| 0 | 160 | 25.99c | 214a | 12.00c | 4.89c | |
| 0 | 320 | 26.70bc | 215a | 12.56bc | 5.76bc | |
| Mean | 23.01B | 199A | 11.58B | 4.46B | ||
| 40 | 0 | 27.65ab | 211a | 13.65ab | 6.30ab | |
| 40 | 160 | 28.65a | 191b | 14.15a | 6.60ab | |
| 40 | 320 | 25.18c | 186bc | 14.30a | 7.51a | |
| Mean | 27.16A | 196A | 14.04A | 6.80A | ||
| 2021–2022 | 0 | 0 | 13.30d | 79d | 16.21a | 1.88d |
| 0 | 160 | 16.45c | 102c | 16.87a | 2.30cd | |
| 0 | 320 | 18.06a | 112ab | 17.74a | 2.66bc | |
| Mean | 15.94B | 98A | 16.94A | 2.28B | ||
| 40 | 0 | 18.32a | 114a | 16.65a | 2.77bc | |
| 40 | 160 | 17.61ab | 104bc | 17.78a | 2.98ab | |
| 40 | 320 | 16.89bc | 102c | 17.54a | 3.37a | |
| Mean | 17.60A | 106A | 17.33A | 3.04A |
| Chicken Manure Rate (t ha−1) | N Application Rate (kg ha−1) | Soluble Protein | Ascorbic Acid | Soluble Sugar | Titratable Acid | Sugar-Acid Ratio | Soluble Solid | Membership Function Indicator |
|---|---|---|---|---|---|---|---|---|
| 0 | 0 | 0.00 | 1.00 | 0.70 | 0.45 | 0.65 | 0.55 | 0.478 |
| 0 | 160 | 0.37 | 0.83 | 0.77 | 0.21 | 0.60 | 0.46 | 0.464 |
| 0 | 320 | 0.39 | 0.00 | 0.23 | 0.01 | 0.10 | 0.15 | 0.127 |
| Mean | 0.25 | 0.61 | 0.57 | 0.22 | 0.45 | 0.39 | 0.356 | |
| 40 | 0 | 0.27 | 0.50 | 0.29 | 1.00 | 0.74 | 0.46 | 0.464 |
| 40 | 160 | 0.42 | 0.63 | 1.00 | 0.43 | 1.00 | 1.00 | 0.640 |
| 40 | 320 | 1.00 | 0.50 | 0.00 | 0.00 | 0.00 | 0.00 | 0.214 |
| Mean | 0.56 | 0.54 | 0.43 | 0.48 | 0.58 | 0.49 | 0.439 |
Publisher’s Note: MDPI stays neutral with regard to jurisdictional claims in published maps and institutional affiliations. |
© 2022 by the authors. Licensee MDPI, Basel, Switzerland. This article is an open access article distributed under the terms and conditions of the Creative Commons Attribution (CC BY) license (https://creativecommons.org/licenses/by/4.0/).
Share and Cite
Tao, Y.; Liu, T.; Wu, J.; Wu, Z.; Liao, D.; Shah, F.; Wu, W. Effect of Combined Application of Chicken Manure and Inorganic Nitrogen Fertilizer on Yield and Quality of Cherry Tomato. Agronomy 2022, 12, 1574. https://doi.org/10.3390/agronomy12071574
Tao Y, Liu T, Wu J, Wu Z, Liao D, Shah F, Wu W. Effect of Combined Application of Chicken Manure and Inorganic Nitrogen Fertilizer on Yield and Quality of Cherry Tomato. Agronomy. 2022; 12(7):1574. https://doi.org/10.3390/agronomy12071574
Chicago/Turabian StyleTao, Yang, Tuo Liu, Jianyu Wu, Zhuangsheng Wu, Daolong Liao, Farooq Shah, and Wei Wu. 2022. "Effect of Combined Application of Chicken Manure and Inorganic Nitrogen Fertilizer on Yield and Quality of Cherry Tomato" Agronomy 12, no. 7: 1574. https://doi.org/10.3390/agronomy12071574
APA StyleTao, Y., Liu, T., Wu, J., Wu, Z., Liao, D., Shah, F., & Wu, W. (2022). Effect of Combined Application of Chicken Manure and Inorganic Nitrogen Fertilizer on Yield and Quality of Cherry Tomato. Agronomy, 12(7), 1574. https://doi.org/10.3390/agronomy12071574

