Biochar Mitigated Yield-Scaled N2O and NO Emissions and Ensured Vegetable Quality and Soil Fertility: A 3-Year Greenhouse Field Observation
Abstract
:1. Introduction
2. Materials and Methods
2.1. Site Description and Biochar Properties
2.2. Field Design
2.3. Gases Sampling and Measurements
2.4. Vegetable Yield, NUE, Emission Factors, Yield-Scaled N2O or NO Emission, and Quality Analysis
2.5. Soil Collection and Analysis
2.6. Overall Soil Fertility Assessment
2.7. Statistics
3. Results
3.1. N2O and NO Fluxes and Cumulative Emissions
3.2. Vegetable Yield and Yield-Scaled Emissions
3.3. N2O and NO Emission Factors and NUE
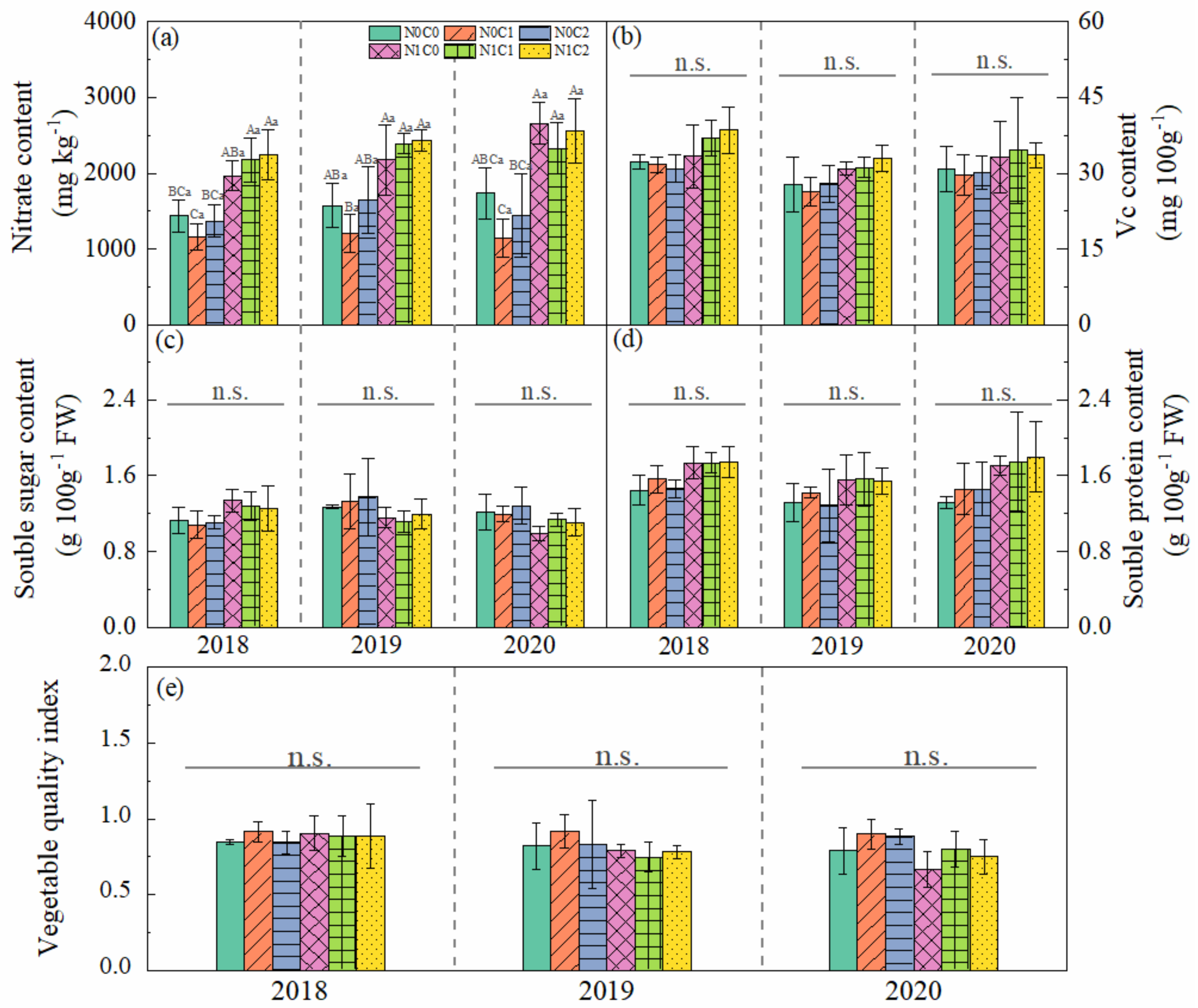
3.4. Vegetable Quality
3.5. Soil Properties and SFI
4. Discussion
4.1. Lasting Effect of Biochar on N2O and NO Emissions
4.2. Lasting Effect of Biochar on Vegetable Yield, Yield-Scaled N2O and NO Emissions, Emission Factors, and NUE
4.3. Lasting Effect of Biochar on Vegetable Quality and Soil Fertility
5. Conclusions
Supplementary Materials
Author Contributions
Funding
Data Availability Statement
Acknowledgments
Conflicts of Interest
References
- Hu, W.; Zhang, Y.; Huang, B.; Teng, Y. Soil environmental quality in greenhouse vegetable production systems in eastern China: Current status and management strategies. Chemosphere 2017, 170, 183–195. [Google Scholar] [CrossRef] [PubMed]
- Qasim, W.; Xia, L.; Lin, S.; Wan, L.; Zhao, Y.; Butterbach-Bahl, K. Global greenhouse vegetable production systems are hotspots of soil N2O emissions and nitrogen leaching: A meta-analysis. Environ. Pollut. 2020, 272, 116372. [Google Scholar] [CrossRef] [PubMed]
- Wang, X.; Zou, C.; Gao, X.; Guan, X.; Zhang, W.; Zhang, Y.; Shi, X.; Chen, X. Nitrous oxide emissions in Chinese vegetable systems: A meta-analysis. Environ. Pollut. 2018, 239, 375–383. [Google Scholar] [CrossRef] [PubMed]
- Li, B.; Bi, Z.; Xiong, Z. Dynamic responses of nitrous oxide emission and nitrogen use efficiency to nitrogen and biochar amendment in an intensified vegetable field in southeastern China. GCB Bioenergy 2017, 9, 400–413. [Google Scholar] [CrossRef]
- Lv, H.; Zhao, Y.; Wang, Y.; Wan, L.; Wang, J.; Butterbach-Bahl, K.; Lin, S. Conventional flooding irrigation and over fertilization drives soil pH decrease not only in the top- but also in subsoil layers in solar greenhouse vegetable production systems. Geoderma 2020, 363, 114156. [Google Scholar] [CrossRef]
- Sun, J.; Li, W.; Li, C.; Chang, W.; Zhang, S.; Zeng, Y.; Zeng, C.; Peng, M. Effect of different rates of nitrogen fertilization on crop yield, soil properties and leaf physiological attributes in banana under subtropical regions of China. Front. Plant Sci. 2020, 11, 613760. [Google Scholar] [CrossRef]
- Dai, Z.; Su, W.; Chen, H.; Barberán, A.; Zhao, H.; Yu, M.; Yu, L.; Brookes, P.C.; Schadt, C.W.; Chang, S.X.; et al. Long-term nitrogen fertilization decreases bacterial diversity and favors the growth of Actinobacteria and Proteobacteria in agroecosystems across the globe. Glob. Change Biol. 2018, 24, 3452–3461. [Google Scholar] [CrossRef]
- Ma, R.; Yu, K.; Xiao, S.; Liu, S.; Ciais, P.; Zou, J. Data-driven estimates of fertilizer-induced soil NH3, NO and N2O emissions from croplands in China and their climate change impacts. Glob. Change Biol. 2022, 28, 1008–1022. [Google Scholar] [CrossRef]
- Wang, J.; Xiong, Z.; Kuzyakov, Y. Biochar stability in soil: Meta-analysis of decomposition and priming effects. GCB Bioenergy 2016, 8, 512–523. [Google Scholar] [CrossRef] [Green Version]
- Zhang, C.; Zeng, G.; Huang, D.; Lai, C.; Chen, M.; Cheng, M.; Tang, W.; Tang, L.; Dong, H.; Huang, B.; et al. Biochar for environmental management: Mitigating greenhouse gas emissions, contaminant treatment, and potential negative impacts. Chem. Eng. J. 2019, 373, 902–922. [Google Scholar] [CrossRef]
- Li, B.; Huang, W.; Elsgaard, L.; Yang, B.; Li, Z.; Yang, H.; Lu, Y. Optimal biochar amendment rate reduced the yield-scaled N2O emissions from Ultisols in an intensive vegetable field in South China. Sci. Total Environ. 2020, 723, 138161. [Google Scholar] [CrossRef]
- Gul, S.; Whalen, J.K.; Thomas, B.W.; Sachdeva, V.; Deng, H. Physico-chemical properties and microbial responses in biochar-amended soils: Mechanisms and future directions. Agric. Ecosyst. Environ. 2015, 206, 46–59. [Google Scholar] [CrossRef]
- Borchard, N.; Schirrmann, M.; Cayuela, M.L.; Kammann, C.; Wrage-Mönnig, N.; Estavillo, J.M.; Fuertes-Mendizábal, T.; Sigua, G.; Spokas, K.; Ippolito, J.A.; et al. Biochar, soil and land-use interactions that reduce nitrate leaching and N2O emissions: A meta-analysis. Sci. Total Environ. 2019, 651, 2354–2364. [Google Scholar] [CrossRef]
- Zhang, X.; Zhang, J.; Song, M.; Dong, Y.; Xiong, Z. N2O and NO production and functional microbes responding to biochar aging process in an intensified vegetable soil. Environ. Pollut. 2022, 307, 119491. [Google Scholar] [CrossRef]
- Fan, C.; Duan, P.; Zhang, X.; Shen, H.; Chen, M.; Xiong, Z. Mechanisms underlying the mitigation of both N2O and NO emissions with field-aged biochar in an Anthrosol. Geoderma 2020, 364, 114178. [Google Scholar] [CrossRef]
- Yangjin, D.; Wu, X.; Bai, H.; Gu, J. A meta-analysis of management practices for simultaneously mitigating N2O and NO emissions from agricultural soils. Soil Till. Res. 2021, 213, 105142. [Google Scholar] [CrossRef]
- Li, S.; Wang, S.; Fan, M.; Wu, Y.; Shangguan, Z. Interactions between biochar and nitrogen impact soil carbon mineralization and the microbial community. Soil Till. Res. 2020, 196, 104437. [Google Scholar] [CrossRef]
- Han, L.; Sun, K.; Yang, Y.; Xia, X.; Li, F.; Yang, Z.; Xing, B. Biochar’s stability and effect on the content, composition and turnover of soil organic carbon. Geoderma 2020, 364, 114184. [Google Scholar] [CrossRef]
- Edeh, I.G.; Mašek, O.; Buss, W. A meta-analysis on biochar’s effects on soil water properties—New insights and future research challenges. Sci. Total Environ. 2020, 714, 136857. [Google Scholar] [CrossRef]
- Hossain, M.Z.; Bahar, M.M.; Sarkar, B.; Donne, S.W.; Ok, Y.S.; Palansooriya, K.N.; Kirkham, M.B.; Chowdhury, S.; Bolan, N. Biochar and its importance on nutrient dynamics in soil and plant. Biochar 2020, 2, 379–420. [Google Scholar] [CrossRef]
- He, Y.; Yao, Y.; Ji, Y.; Deng, J.; Zhou, G.; Liu, R.; Shao, J.; Zhou, L.; Li, N.; Zhou, X.; et al. Biochar amendment boosts photosynthesis and biomass in C3 but not C4 plants: A global synthesis. GCB Bioenergy 2020, 12, 605–617. [Google Scholar] [CrossRef]
- Jeffery, S.; Abalos, D.; Prodana, M.; Bastos, A.C.; van Groenigen, J.W.; Hungate, B.A.; Verheijen, F. Biochar boosts tropical but not temperate crop yields. Environ. Res. Lett. 2017, 12, 053001. [Google Scholar] [CrossRef]
- Wu, Z.; Zhang, X.; Dong, Y.; Li, B.; Xiong, Z. Biochar amendment reduced greenhouse gas intensities in the rice-wheat rotation system: Six-year field observation and meta-analysis. Agric. For. Meteorol. 2019, 278, 107625. [Google Scholar] [CrossRef]
- Liu, X.; Zhou, J.; Chi, Z.; Zheng, J.; Li, L.; Zhang, X.; Zheng, J.; Cheng, K.; Bian, R.; Pan, G. Biochar provided limited benefits for rice yield and greenhouse gas mitigation six years following an amendment in a fertile rice paddy. CATENA 2019, 179, 20–28. [Google Scholar] [CrossRef]
- Medyńska-Juraszek, A.; Latawiec, A.; Królczyk, J.; Bogacz, A.; Kawałko, D.; Bednik, M.; Dudek, M. Biochar improves maize growth but has a limited effect on soil properties: Evidence from a three-year field experiment. Sustainability 2021, 13, 3617. [Google Scholar] [CrossRef]
- Xiang, L.; Liu, S.; Ye, S.; Yang, H.; Song, B.; Qin, F.; Shen, M.; Tan, C.; Zeng, G.; Tan, X. Potential hazards of biochar: The negative environmental impacts of biochar applications. J. Hazard. Mater. 2021, 420, 126611. [Google Scholar] [CrossRef]
- Zhang, Y.; Wang, J.; Feng, Y. The effects of biochar addition on soil physicochemical properties: A review. CATENA 2021, 202, 105284. [Google Scholar] [CrossRef]
- Bonanomi, G.; Ippolito, F.; Scala, F. A “black” future for plant pathology? Biochar as a new soil amendment for controlling plant diseases. J. Plant Pathol. 2015, 97, 223–234. [Google Scholar]
- Joseph, S.; Cowie, A.L.; Van Zwieten, L.; Bolan, N.; Budai, A.; Buss, W.; Cayuela, M.L.; Graber, E.R.; Ippolito, J.; Kuzyakov, Y.; et al. How biochar works, and when it doesn’t: A review of mechanisms controlling soil and plant responses to biochar. GCB Bioenergy 2021, 13, 1731–1764. [Google Scholar] [CrossRef]
- Chen, G.; Fang, Y.; Van Zwieten, L.; Xuan, Y.; Tavakkoli, E.; Wang, X.; Zhang, R. Priming, stabilization and temperature sensitivity of native SOC is controlled by microbial responses and physicochemical properties of biochar. Soil Biol. Biochem. 2021, 154, 108139. [Google Scholar] [CrossRef]
- Rasul, M.; Cho, J.; Shin, H.S.; Hur, J. Biochar-induced priming effects in soil via modifying the status of soil organic matter and microflora: A review. Sci. Total Environ. 2022, 805, 150304. [Google Scholar] [CrossRef] [PubMed]
- Wang, L.; O’Connor, D.; Rinklebe, J.; Ok, Y.S.; Tsang, D.C.W.; Shen, Z.; Hou, D. Biochar aging: Mechanisms, physicochemical changes, assessment, and implications for field applications. Environ. Sci. Technol. 2020, 54, 14797–14814. [Google Scholar] [CrossRef] [PubMed]
- Liao, X.; Niu, Y.; Liu, D.; Chen, Z.; He, T.; Luo, J.; Lindsey, S.; Ding, W. Four-year continuous residual effects of biochar application to a sandy loam soil on crop yield and N2O and NO emissions under maize-wheat rotation. Agric. Ecosyst. Environ. 2020, 302, 107109. [Google Scholar] [CrossRef]
- Basalirwa, D.; Sudo, S.; Wacal, C.; Oo, A.Z.; Sasagawa, D.; Yamamoto, S.; Masunaga, T.; Nishihara, E. Impact of fresh and aged palm shell biochar on N2O emissions, soil properties, nutrient content and yield of Komatsuna (Brassica rapa var. perviridis) under sandy soil conditions. Soil Sci. Plant. Nutr. 2020, 66, 328–343. [Google Scholar] [CrossRef]
- Spokas, K.A. Impact of biochar field aging on laboratory greenhouse gas production potentials. GCB Bioenergy 2013, 5, 165–176. [Google Scholar] [CrossRef]
- Zhang, X.; Zhang, Q.; Zhan, L.; Xu, X.; Bi, R.; Xiong, Z. Biochar addition stabilized soil carbon sequestration by reducing temperature sensitivity of mineralization and altering the microbial community in a greenhouse vegetable field. J. Environ. Manag. 2022, 313, 114972. [Google Scholar] [CrossRef]
- Zhou, J.; Li, B.; Xia, L.; Fan, C.; Xiong, Z. Organic-substitute strategies reduced carbon and reactive nitrogen footprints and gained net ecosystem economic benefit for intensive vegetable production. J. Clean. Prod. 2019, 225, 984–994. [Google Scholar] [CrossRef]
- Ke, X.; Yun, Z.; Liu, M.; Liu, X.; Bian, R.; Li, L.; Pan, G. Potential of pyrolysis for agricultural application of different biowastes: Biochar yield, properties and their crop growth effects. J. Plant Nutr. Fertil. 2021, 27, 1113–1128. (In Chinese) [Google Scholar]
- Zhang, X.; Qu, J.; Li, H.; La, S.; Tian, Y.; Gao, L. Biochar addition combined with daily fertigation improves overall soil quality and enhances water-fertilizer productivity of cucumber in alkaline soils of a semi-arid region. Geoderma 2020, 363, 114170. [Google Scholar] [CrossRef]
- Schmidt, H.P.; Kammann, C.; Hagemann, N.; Leifeld, J.; Bucheli, T.D.; Sánchez Monedero, M.A.; Cayuela, M.L. Biochar in agriculture—A systematic review of 26 global meta-analyses. GCB Bioenergy 2021, 13, 1708–1730. [Google Scholar] [CrossRef]
- Cayuela, M.L.; van Zwieten, L.; Singh, B.P.; Jeffery, S.; Roig, A.; Sánchez-Monedero, M.A. Biochar’s role in mitigating soil nitrous oxide emissions: A review and meta-analysis. Agric. Ecosyst. Environ. 2014, 191, 5–16. [Google Scholar] [CrossRef]
- Zhang, Y.; Wang, H.; Maucieri, C.; Liu, S.; Zou, J. Annual nitric and nitrous oxide emissions response to biochar amendment from an intensive greenhouse vegetable system in southeast China. Sci. Horti-Amst. 2019, 246, 879–886. [Google Scholar] [CrossRef]
- Huang, R.; Wang, Y.; Liu, J.; Li, J.; Xu, G.; Luo, M.; Xu, C.; Ci, E.; Gao, M. Variation in N2O emission and N2O related microbial functional genes in straw- and biochar-amended and non-amended soils. Appl. Soil Ecol. 2019, 137, 57–68. [Google Scholar] [CrossRef]
- Yi, Q.; Tang, S.; Fan, X.; Zhang, M.; Pang, Y.; Huang, X.; Huang, Q. Effects of nitrogen application rate, nitrogen synergist and biochar on nitrous oxide emissions from vegetable field in south China. PLoS ONE 2017, 12, e0175325. [Google Scholar] [CrossRef]
- Cayuela, M.L.; Jeffery, S.; van Zwieten, L. The molar H:Corg ratio of biochar is a key factor in mitigating N2O emissions from soil. Agric. Ecosyst. Environ. 2015, 202, 135–138. [Google Scholar] [CrossRef]
- Liao, X.; Müller, C.; Jansen-Willems, A.; Luo, J.; Lindsey, S.; Liu, D.; Chen, Z.; Niu, Y.; Ding, W. Field-aged biochar decreased N2O emissions by reducing autotrophic nitrification in a sandy loam soil. Biol. Fertil. Soils 2021, 57, 471–483. [Google Scholar] [CrossRef]
- Clough, T.J.; Condron, L.M.; Kammann, C.; Müller, C. A review of biochar and soil nitrogen dynamics. Agronomy 2013, 3, 275. [Google Scholar] [CrossRef] [Green Version]
- He, T.; Liu, D.; Yuan, J.; Luo, J.; Lindsey, S.; Bolan, N.; Ding, W. Effects of application of inhibitors and biochar to fertilizer on gaseous nitrogen emissions from an intensively managed wheat field. Sci. Total Environ. 2018, 628–629, 121–130. [Google Scholar] [CrossRef]
- Han, Z.; Wang, J.; Xu, P.; Li, Z.; Liu, S.; Zou, J. Differential responses of soil nitrogen-oxide emissions to organic substitution for synthetic fertilizer and biochar amendment in a subtropical tea plantation. GCB Bioenergy 2021, 13, 1260–1274. [Google Scholar] [CrossRef]
- Duan, W.; Oleszczuk, P.; Pan, B.; Xing, B. Environmental behavior of engineered biochars and their aging processes in soil. Biochar 2019, 1, 339–351. [Google Scholar] [CrossRef] [Green Version]
- Cayuela, M.L.; Sánchez-Monedero, M.A.; Roig, A.; Hanley, K.; Enders, A.; Lehmann, J. Biochar and denitrification in soils: When, how much and why does biochar reduce N2O emissions? Sci. Rep. 2013, 3, 1732. [Google Scholar] [CrossRef] [Green Version]
- Sigmund, G.; Bucheli, T.D.; Hilber, I.; Micić, V.; Kah, M.; Hofmann, T. Effect of ageing on the properties and polycyclic aromatic hydrocarbon composition of biochar. Environ. Sci. Processes Impacts 2017, 19, 768–774. [Google Scholar] [CrossRef] [Green Version]
- Medinets, S.; Skiba, U.; Rennenberg, H.; Butterbach-Bahl, K. A review of soil NO transformation: Associated processes and possible physiological significance on organisms. Soil Biol. Biochem. 2015, 80, 92–117. [Google Scholar] [CrossRef] [Green Version]
- Zhang, X.; Duan, P.; Wu, Z.; Xiong, Z. Aged biochar stimulated ammonia-oxidizing archaea and bacteria-derived N2O and NO production in an acidic vegetable soil. Sci. Total Environ. 2019, 687, 433–440. [Google Scholar] [CrossRef]
- Zhang, Y.; Mu, Y.; Zhou, Y.; Tian, D.; Liu, J.; Zhang, C. NO and N2O emissions from agricultural fields in the North China Plain: Origination and mitigation. Sci. Total Environ. 2016, 551–552, 197–204. [Google Scholar] [CrossRef]
- Niu, Y.; Luo, J.; Liu, D.; Müller, C.; Zaman, M.; Lindsey, S.; Ding, W. Effect of biochar and nitrapyrin on nitrous oxide and nitric oxide emissions from a sandy loam soil cropped to maize. Biol. Fertil. Soils 2018, 54, 645–658. [Google Scholar] [CrossRef]
- Liu, X.; Zhang, A.; Ji, C.; Joseph, S.; Bian, R.; Li, L.; Pan, G.; Paz-Ferreiro, J. Biochar’s effect on crop productivity and the dependence on experimental conditions—A meta-analysis of literature data. Plant Soil 2013, 373, 583–594. [Google Scholar] [CrossRef]
- Mehmood, I.; Qiao, L.; Chen, H.; Tang, Q.; Woolf, D.; Fan, M. Biochar addition leads to more soil organic carbon sequestration under a maize-rice cropping system than continuous flooded rice. Agric. Ecosyst. Environ. 2020, 298, 106965. [Google Scholar] [CrossRef]
- Li, B.; Fan, C.; Xiong, Z.; Li, Q.; Zhang, M. The combined effects of nitrification inhibitor and biochar incorporation on yield-scaled N2O emissions from an intensively managed vegetable field in southeastern China. Biogeosciences 2015, 12, 2003–2017. [Google Scholar] [CrossRef] [Green Version]
- Zhou, Z.; Wang, M.; Wang, J. Nitrate and Nitrite Contamination in Vegetables in China. Food Rev. Int. 2000, 16, 61–76. [Google Scholar] [CrossRef]
- Shi, L.; Zheng, W.; Lei, T.; Liu, X.; Hui, M. The effect of different soil amendments on soil properties and on the morphological and physiological characteristics of Chinese Cabbage. J. Soil Sci. Plant Nutr. 2021, 21, 1500–1510. [Google Scholar] [CrossRef]
- Oladele, S.O. Changes in physicochemical properties and quality index of an Alfisol after three years of rice husk biochar amendment in rainfed rice—Maize cropping sequence. Geoderma 2019, 353, 359–371. [Google Scholar] [CrossRef]
- El-Naggar, A.; El-Naggar, A.H.; Shaheen, S.M.; Sarkar, B.; Chang, S.X.; Tsang, D.C.W.; Rinklebe, J.; Ok, Y.S. Biochar composition-dependent impacts on soil nutrient release, carbon mineralization, and potential environmental risk: A review. J. Environ. Manag. 2019, 241, 458–467. [Google Scholar] [CrossRef] [PubMed]
- Igalavithana, A.D.; Ok, Y.S.; Usman, A.R.A.; Al-Wabel, M.I.; Oleszczuk, P.; Lee, S.S. The Effects of Biochar Amendment on Soil Fertility. In Agricultural and Environmental Applications of Biochar: Advances and Barriers; Soil Science Society of America, Inc.: Washington, DC, USA, 2016. [Google Scholar]
- Bakshi, S.; Aller, D.M.; Laird, D.A.; Chintala, R. Comparison of the physical and chemical properties of laboratory and field-aged biochars. J. Environ. Qual. 2016, 45, 1627–1634. [Google Scholar] [CrossRef]
- Li, N.; Wen, S.; Wei, S.; Li, H.; Feng, Y.; Ren, G.; Yang, G.; Han, X.; Wang, X.; Ren, C. Straw incorporation plus biochar addition improved the soil quality index focused on enhancing crop yield and alleviating global warming potential. Environ. Technol. Innovat. 2021, 21, 101316. [Google Scholar] [CrossRef]
- Li, P.; Wu, M.; Kang, G.; Zhu, B.; Li, H.; Hu, F.; Jiao, J. Soil quality response to organic amendments on dryland red soil in subtropical China. Geoderma 2020, 373, 114416. [Google Scholar] [CrossRef]
- Amacher, M.C.; O’Neil, K.P.; Perry, C.H. Soil Vital Signs: A New Soil Quality Index (SQI) for Assessing Forest Soil Health; Research Paper RMRS-P-65 12; US Department of Agriculture, Forest Service, Rocky Mountain Research Station: Fort Collins, CO, USA, 2007; p. 65. [Google Scholar]
- Lu, R.; O’Neil, K.P.; Perry, C.H. Analytical Methods for Soils and Agricultural Chemistry; Research Paper RMRS-P-65 12; China Agricultural Science and Technology Press of China: Beijing, China, 1999. [Google Scholar]
- Shen, H.; Zhang, Q.; Zhang, X.; Zhu, S.; Chen, A.; Wu, Z.; Xiong, Z. In situ effects of biochar field-aged for six years on net N mineralization in paddy soil. Soil Till. Res. 2021, 205, 104766. [Google Scholar] [CrossRef]





| Parameter | Year | N | Biochar | Year | N × Biochar | N × Year | Biochar × Year | N × Biochar × Year |
|---|---|---|---|---|---|---|---|---|
| CEC | 2018–2020 | 0.507 | 114.4 *** | 80.94 *** | 4.015 * | 0.638 | 1.133 | 1.701 |
| pH | 2018–2020 | 167.4 *** | 56.95 *** | 3.329 | 40.43 *** | 5.792 ** | 2.642 | 1.556 |
| EC | 2018–2020 | 2374 *** | 214.1 *** | 1270 *** | 95.80 *** | 301.2 *** | 35.05 *** | 7.512 *** |
| SOC | 2018–2020 | 0.335 | 114.1 *** | 5.127 * | 5.249 * | 0.126 | 9.106 *** | 2.371 |
| TN | 2018–2020 | 178.4 *** | 15.97 *** | 7.957 ** | 10.59 ** | 0.770 | 0.177 | 6.365 ** |
| TP | 2018–2020 | 6.406 * | 7.969 ** | 6.121 ** | 0.712 | 0.327 | 0.978 | 0.703 |
| NH4+-N | 2018–2020 | 3.234 | 0.585 | 735.8 *** | 1.136 | 2.345 | 2.728 | 6.129 ** |
| NO3−-N | 2018–2020 | 1439 *** | 56.36 *** | 609.8 *** | 72.99 *** | 422.1 *** | 77.73 *** | 62.45 *** |
| Available P | 2018–2020 | 4.701 | 15.15 ** | 192.3 *** | 2.622 | 12.04 *** | 7.431 *** | 4.396 ** |
| Available K | 2018–2020 | 86.97 *** | 75.67 *** | 16.12 *** | 178.3 *** | 31.49 *** | 20.73 *** | 18.12 *** |
| DOC | 2018–2020 | 41.11 *** | 4.225 * | 7.171 ** | 4.908 * | 16.31 *** | 9.590 *** | 2.808 * |
| DON | 2018–2020 | 1487 *** | 5.546 * | 620.1 *** | 6.340 * | 439.8 *** | 7.194 ** | 2.317 |
| MBC | 2018–2020 | 10.29 ** | 25.30 *** | 70.06 *** | 6.108 * | 0.512 | 3.475 * | 4.305 ** |
| MBN | 2018–2020 | 71.57 *** | 1.619 | 16.71 *** | 0.001 | 1.616 | 1.497 | 2.266 |
| Soil Properties | Yield | Soil Property | Yield |
|---|---|---|---|
| CEC | −0.064 | NO3−-N | 0.655 ** |
| pH | −0.456 ** | Available P | −0.143 |
| EC | 0.457 ** | Available K | 0.279 * |
| SOC | 0.169 | DOC | −0.355 ** |
| TN | 0.725 ** | DON | 0.658 ** |
| TP | 0.341 * | MBC | −0.118 |
| NH4+-N | 0.088 | MBN | 0.634 ** |
| Soil Properties | PC1 | PC2 | Norm | Communality |
|---|---|---|---|---|
| DON | 0.945 | −0.004 | 1.998 | 0.893 |
| NO3−-N | 0.908 | 0.138 | 1.926 | 0.844 |
| MBN | 0.786 | 0.231 | 1.681 | 0.670 |
| EC | 0.782 | 0.211 | 1.670 | 0.656 |
| TN | 0.750 | −0.073 | 1.589 | 0.568 |
| PH | −0.583 | 0.510 | 1.359 | 0.600 |
| DOC | −0.576 | 0.095 | 1.222 | 0.341 |
| Available K | 0.382 | −0.729 | 1.148 | 0.677 |
| TP | 0.379 | 0.575 | 1.028 | 0.474 |
| Eigenvalue | 4.470 | 1.253 | ||
| % of variance | 49.67 | 13.921 | ||
| Cumulative variance % | 49.67 | 63.593 |
Publisher’s Note: MDPI stays neutral with regard to jurisdictional claims in published maps and institutional affiliations. |
© 2022 by the authors. Licensee MDPI, Basel, Switzerland. This article is an open access article distributed under the terms and conditions of the Creative Commons Attribution (CC BY) license (https://creativecommons.org/licenses/by/4.0/).
Share and Cite
Zhang, X.; Zhang, Q.; Xu, X.; Dong, Y.; Xiong, Z. Biochar Mitigated Yield-Scaled N2O and NO Emissions and Ensured Vegetable Quality and Soil Fertility: A 3-Year Greenhouse Field Observation. Agronomy 2022, 12, 1560. https://doi.org/10.3390/agronomy12071560
Zhang X, Zhang Q, Xu X, Dong Y, Xiong Z. Biochar Mitigated Yield-Scaled N2O and NO Emissions and Ensured Vegetable Quality and Soil Fertility: A 3-Year Greenhouse Field Observation. Agronomy. 2022; 12(7):1560. https://doi.org/10.3390/agronomy12071560
Chicago/Turabian StyleZhang, Xi, Qianqian Zhang, Xintong Xu, Yubing Dong, and Zhengqin Xiong. 2022. "Biochar Mitigated Yield-Scaled N2O and NO Emissions and Ensured Vegetable Quality and Soil Fertility: A 3-Year Greenhouse Field Observation" Agronomy 12, no. 7: 1560. https://doi.org/10.3390/agronomy12071560
APA StyleZhang, X., Zhang, Q., Xu, X., Dong, Y., & Xiong, Z. (2022). Biochar Mitigated Yield-Scaled N2O and NO Emissions and Ensured Vegetable Quality and Soil Fertility: A 3-Year Greenhouse Field Observation. Agronomy, 12(7), 1560. https://doi.org/10.3390/agronomy12071560

