Combining Planting Patterns with Mulching Bolsters the Soil Water Content, Growth, Yield, and Water Use Efficiency of Spring Wheat under Limited Water Supply in Arid Regions
Abstract
1. Introduction
2. Materials and Methods
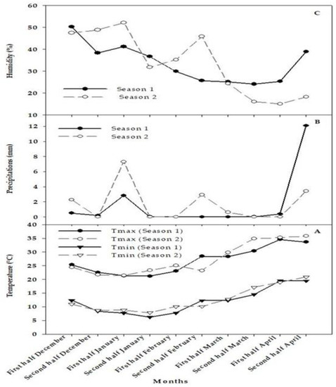
2.1. Site Description
2.2. Experimental Design and Field Management
2.3. Irrigation Treatments
2.4. SWC
2.5. Plant Parameters and WUE
2.6. Relationship of Yield with ET, WUE, SWC, and Ky
2.7. Data Analysis
3. Results
3.1. Soil Water Status
3.2. Growth, Yield and Yield Components, and WUE
3.3. Measurement of Ky
3.4. Relationship of Yield with ET and WUE
3.5. Production Function
4. Discussion
4.1. Effects of PPs and Mulching Practices on SWC
4.2. The Impacts of PPs and Mulching Practices on Growth, Yield, and WUE Depending on Irrigation Rate
4.3. Identify the Optimal Coupling Combinations between PPs and Mulching Practices for Enhancing Growth, GY, and WUE under Limited Water Applications
4.4. Crop Water-Production Function
5. Conclusions and Outlook
Author Contributions
Funding
Institutional Review Board Statement
Informed Consent Statement
Data Availability Statement
Acknowledgments
Conflicts of Interest
References
- Fereres, E.; Soriano, M.A. Deficit irrigation for reducing agricultural water use. J. Exp. Bot. 2007, 58, 147–159. [Google Scholar] [CrossRef] [PubMed]
- Wei, T.; Dong, Z.; Zhang, C.; Ali, S.; Chen, X.; Han, Q.; Zhang, F.; Jia, Z.; Zhang, P.; Ren, X. Effects of rainwater harvesting planting combined with deficiency irrigation on soil water use efficiency and winter wheat (Triticum aestivum L.) yield in a semiarid area. Field Crops Res. 2018, 218, 231–242. [Google Scholar] [CrossRef]
- El-Hendawy, S.E.; Al-Suhaibani, N.; Elsayed, S.; Refay, Y.; Alotaibi, M.; Dewir, Y.H.; Hassan, W.; Schmidhalter, U. Combining biophysical parameters, spectral indices and multivariate hyperspectral models for estimating yield and water productivity of spring wheat across different agronomic practices. PLoS ONE 2019, 14, e0212294. [Google Scholar]
- El-Hendawy, S.E.; Hassan, W.; Al-Suhaibani, N.; Schmidhalter, U. Spectral assessment of drought tolerance indices and grain yield in advanced spring wheat lines grown under full and limited water irrigation. Agric. Water Manag. 2017, 182, 1–12. [Google Scholar] [CrossRef]
- Azab, O.; Al-Doss, A.; Alshahrani, T.; El-Hendawy, S.; Zakri, A.M.; Abd-ElGawad, A.M. Root system architecture plasticity of bread wheat in response to oxidative burst under extended osmotic stress. Plants 2021, 10, 939. [Google Scholar] [CrossRef] [PubMed]
- El-Hendawy, S.E.; Schmidhalter, U. Optimal coupling combinations between irrigation frequency and rate for drip-irrigated maize grown on sandy soil. Agric. Water Manag. 2009, 97, 439–448. [Google Scholar] [CrossRef]
- Hokam, E.M.; El-Hendawy, S.E.; Schmidhalter, U. Drip irrigation frequency: The effects and their interaction with nitrogen fertilization on maize growth and nitrogen use efficiency under arid conditions. J. Agron. Crop Sci. 2011, 197, 186–201. [Google Scholar] [CrossRef]
- Ma, S.; Tong, L.; Kang, S.; Wang, S.; Wu, X.; Cheng, X.; Li, Q. Optimal coupling combinations between dripper discharge and irrigation interval of maize for seed production under plastic film-mulched drip irrigation in an arid region. Irrig. Sci. 2022, 40, 131–133. [Google Scholar] [CrossRef]
- Prakash, M.; Ramachandran, K. Effects of chemical ameliorants on stomatal frequency and water relations in brinjal (Solanum melongena L.) under moisture stress conditions. J. Agron. Crop Sci. 2000, 185, 237–239. [Google Scholar] [CrossRef]
- Mphande, W.; Kettlewell, P.S.; Grove, I.G.; Farrell, A.D. The potential of antitranspirants in drought management of arable crops: Areview. Agric. Water Manag. 2020, 236, 106143. [Google Scholar] [CrossRef]
- Sun, D.; Li, H.; Wang, E.; He, W.; Hao, W.; Yan, C.; Li, Y.; Xurong Mei, X.; Zhang, Y.; Sun, Z.; et al. An overview of the use of plastic-film mulching in China to increase crop yield and water-use efficiency. National Sci. Rev. 2020, 7, 1523–1526. [Google Scholar] [CrossRef] [PubMed]
- Zhu, L.; Liu, J.; Luo, S.; Bu, L.; Chen, X.; Li, S. Soil mulching can mitigate soil water deficiency impacts on rainfed maize production in semiarid environments. J. Integr. Agric. 2015, 14, 58–66. [Google Scholar] [CrossRef]
- Cheng, D.; Wang, Z.; Yang, L.; Zhang, L.; Zhang, Q. Combined effects of mulching and crop density on soil evaporation, temperature, and water use efficiency of winter wheat. Exp. Agric. 2021, 57, 163–174. [Google Scholar] [CrossRef]
- Ali, S.; Xu, Y.; Ma, X.; Ahmad, I.; Kamran, M.; Dong, Z.; Cai, T.; Jia, Q.; Ren, X.; Zhang, P.; et al. Planting patterns and deficit irrigation strategies to improve wheat production and water use efficiency under simulated rainfall conditions. Front. Plant Sci. 2017, 8, 1408. [Google Scholar] [CrossRef] [PubMed]
- Liu, G.; Zuo, Y.; Zhang, Q.; Yang, L.; Zhao, E.; Liang, L.; Tong, Y. Ridge-furrow with plastic film and straw mulch increases water availability and wheat production on the Loess Plateau. Sci. Rep. 2018, 8, 6503. [Google Scholar] [CrossRef]
- Kader, M.A.; Singha, A.; Begum, M.A.; Jewel, A.; Khan, F.H.; Khan, N.I. Mulching as water-saving technique in dryland agriculture: Review article. Bull. Natl. Res. Cent. 2019, 43, 147. [Google Scholar] [CrossRef]
- Peng, Z.; Wang, L.; Xie, J.; Li, L.; Coulter, J.A.; Zhang, R.; Luo, Z.; Kholova, J.; Choudhary, S. Conservation tillage increases water use efficiency of spring wheat by optimizing water transfer in a semi-arid environment. Agronomy 2019, 9, 583. [Google Scholar] [CrossRef]
- Zhang, X.; Kamran, M.; Xue, X.; Zhao, J.; Cai, T.; Jia, Z.; Zhang, P.; Han, Q. Ridge-furrow mulching system drives the efficient utilization of key production resources and the improvement of maize productivity in the Loess Plateau of China. Soil Tillage Res. 2019, 190, 10–21. [Google Scholar] [CrossRef]
- Zhao, H.; Liu, J.; Chen, X.; Wang, Z. Straw mulch as an alternative to plastic film mulch: Positive evidence from dryland wheat production on the Loess Plateau. Sci. Total Environ. 2019, 676, 782–791. [Google Scholar] [CrossRef]
- Lan, X.; Chai, S.; Coulter, J.A.; Cheng, H.; Chang, L.; Huang, C.; Li, R.; Chai, Y.; Li, Y.; Ma, J.; et al. Maize straw strip mulching as a replacement for plastic film mulching in maize production in a semiarid region. Sustainability 2020, 12, 6273. [Google Scholar] [CrossRef]
- Liu, Y.; Zhang, X.; Xi, L.; Liao, Y.; Han, J. Ridge-furrow planting promotes wheat grain yield and water productivity in the irrigated sub-humid region of China. Agric. Water Manag. 2020, 231, 105935. [Google Scholar] [CrossRef]
- Zhang, S.; Sadras, V.; Chen, X.; Zhang, F. Water use efficiency of dryland wheat in the Loess Plateau in response to soil and crop management. Field Crops Res. 2013, 151, 9–18. [Google Scholar] [CrossRef]
- Li, C.; Wen, X.; Wan, X.; Liu, Y.; Han, J.; Yuncheng Liao, Y.; Wu, W. Towards the highly effective use of precipitation by ridge-furrow with plastic film mulching instead of relying on irrigation resources in a dry semi-humid area. Field Crops Res. 2016, 188, 62–73. [Google Scholar] [CrossRef]
- Gan, Y.T.; Siddique, K.H.M.; Turner, N.C.; Li, X.G.; Niu, J.Y.; Yang, C.; Liu, L.; Chai, Q. Ridge–furrow mulching systems-an innovative technique for boosting crop productivity in semiarid rain–fed environments. Adv. Agron. 2013, 117, 429–476. [Google Scholar]
- Yang, H.; Wu, G.; Mo, P.; Chen, S.; Wang, S.; Xiao, Y.; Ma, H.A.; Wen, T.; Guo, X.; Fan, G. The combined effects of maize straw mulch and no-tillage on grain yield and water and nitrogen use efficiency of dry-land winter wheat (Triticum aestivum L.). Soil Tillage Res. 2020, 197, 104485. [Google Scholar] [CrossRef]
- Zhang, Y.; Wang, J.; Gong, S.; Xu, D.; Mo, Y.; Zhang, B. Straw mulching improves soil water content, increases flag leaf photosynthetic parameters and maintaines the yield of winter wheat with different irrigation amounts. Agric. Water Manag. 2021, 249, 106809. [Google Scholar] [CrossRef]
- Chakraborty, D.; Garg, R.N.; Tomar, R.K.; Singh, R.; Sharma, S.K.; Singh, R.K.; Trivedi, S.M.; Mittal, R.B.; Sharma, P.K.; Kamble, K.H. Synthetic and organic mulching and nitrogen effect on winter wheat (Triticum aestivum L.) in a semi-arid environment. Agric. Water Manag. 2010, 97, 738–748. [Google Scholar] [CrossRef]
- Zhang, P.; Wei, T.; Wang, H.; Wang, M.; Meng, X.; Mou, S.; Zhang, R.; Jia, Z.; Han, Q. Effects of straw mulch on soil water and winter wheat production in dryland farming. Sci. Rep. 2015, 5, 10725. [Google Scholar]
- Noor, M.A.; Nawaz, M.M.; Ma, W.; Zhao, M. Wheat straw mulch improves summer maize productivity and soil properties. Ital. J. Agron. 2021, 16, 1623. [Google Scholar] [CrossRef]
- Mak-Mensah, E.; Obour, P.B.; Essel, E.; Wang, Q.; Ahiakpa, J.K. Influence of plastic film mulch with biochar application on crop yield, evapotranspiration, and water use efficiency in northern China: A meta-analysis. PeerJ 2021, 9, e10967. [Google Scholar] [CrossRef]
- Zhang, R.; Lei, T.; Wang, Y.; Xu, J.; Zhang, P.; Han, Y.; Hu, C.; Yang, X.; Sadras, V.; Zhang, S. Responses of yield and water use efficiency to the interaction between water supply and plastic film mulch in winter wheat-summer fallow system. Agric. Water Manag. 2022, 266, 107545. [Google Scholar] [CrossRef]
- Gao, H.; Yan, C.; Liu, Q.; Li, Z.; Yang, X.; Qi, R. Exploring optimal soil mulching to enhance yield and water use efficiency in maize cropping in China: A meta-analysis. Agric. Water Manag. 2019, 255, 105741. [Google Scholar] [CrossRef]
- Xie, J.; Wang, L.; Li, L.; Anwar, S.; Luo, Z.; Zechariah, E.; Kwami Fudjoe, S. Yield, economic benefit, soil water balance, and water use efficiency of intercropped maize/potato in responses to mulching practices on the semiarid loess plateau. Agriculture 2021, 11, 1100. [Google Scholar] [CrossRef]
- He, Z.; Zhang, T.; Liu, X.; Shang, X. Water-yield relationship responses of maize to ridge-furrow planting systems coupled with multiple irrigation levels in China’s Horqin sandy land. Agronomy 2018, 8, 221. [Google Scholar] [CrossRef]
- Ferreira, T.C.; Gonçalves, D.A. Crop-yield/water-use production functions of potatoes (Solanum tuberosum, L.) grown under differential nitrogen and irrigation treatments in a hot, dry climate. Agric. Water Manag. 2007, 90, 45–55. [Google Scholar] [CrossRef]
- Greaves, G.E.; Wang, Y.-M. Yield response, water productivity, and seasonal water production functions for maize under deficit irrigation water management in southern Taiwan. Plant Prod. Sci. 2017, 20, 353–365. [Google Scholar] [CrossRef]
- Shrestha, N.; Geerts, S.; Raes, D.; Horemans, S.; Soentjens, S.; Maupas, F.; Clouet, P. Yield response of sugar beets to water stress under Western European conditions. Agric. Water Manag. 2010, 97, 346–350. [Google Scholar] [CrossRef]
- Al-Suhaibani, N.; Selim, M.; Alderfasi, A.; El-Hendawy, S. Comparative performance of integrated nutrient management between composted agricultural wastes, chemical fertilizers, and biofertilizers in improving soil quantitative and qualitative properties and crop yields under arid conditions. Agronomy 2020, 10, 1503. [Google Scholar] [CrossRef]
- Allen, R.; Pereira, L.; Raes, D.; Smith, M. Crop Evapotranspiration. Guidelines for Computing Crop Water Requirements; Irrigation and Drainage; FAO: Rome, Italy, 1998; 300p. [Google Scholar]
- Rana, G.; Katerji, N. Measurement and estimation of actual evapotranspiration in the field under Mediterranean climate: A review. Eur. J. Agron. 2000, 13, 125–153. [Google Scholar] [CrossRef]
- Doorenbos, J.; Kassam, A. Yield Response to Water; Irrigation and Drainage Paper no. 33; FAO: Rome, Italy, 1979. [Google Scholar]
- Chen, S.; Zhang, X.; Sun, H.; Ren, T.; Wang, Y. Effects of winter wheat row spacing on evapotranpsiration, grain yield and water use efficiency. Agric. Water Manag. 2010, 97, 1126–1132. [Google Scholar] [CrossRef]
- Yin, W.; Fan, Z.; Hu, F.; Yu, A.; Zhao, C.; Qiang Chai, Q.; Coulter, J.A. Innovation in alternate mulch with straw and plastic management bolsters yield and water use efficiency in wheat-maize intercropping in arid conditions. Sci. Rep. 2019, 9, 6364. [Google Scholar] [CrossRef]
- Yin, W.; Chai, Q.; Guo, Y.; Fan, H.; Fan, Z.; Hu, F.; Zhao, C.; Yu, A.; Coulter, J.A. No tillage with plastic re-mulching maintains high maize productivity via regulating hydrothermal effects in an arid region. Front. Plant Sci. 2021, 12, 649684. [Google Scholar] [CrossRef] [PubMed]
- Hu, Q.; Pan, F.; Pan, X.; Zhang, D.; Yang, N.; Pan, Z.; Zhao, P.; Tuo, D. Effects of a ridge-furrow micro-field rainwater-harvesting system on potato yield in a semi-arid region. Field Crops Res. 2014, 166, 92–101. [Google Scholar] [CrossRef]
- Mo, F.; Wang, J.Y.; Xiong, Y.C.; Nguluu, S.N.; Li, F.M. Ridge–furrow mulching system in semiarid Kenya: A promising solution to improve soil water availability and maize productivity. Eur. J. Agron. 2016, 80, 124–136. [Google Scholar] [CrossRef]
- Jabran, K.; Ullah, E.; Hussain, M.; Farooq, M.; Zaman, U.; Yaseen, M.; Chauhan, B.S. Mulching improves water productivity, yield and quality of fine rice under water-saving rice production systems. J. Agro. Crop Sci. 2015, 201, 389–400. [Google Scholar] [CrossRef]
- Jianga, R.; Li, X.; Zhou, M.; Li, H.J.; Zhao, Y.; Yi, J.; Cui, L.L.; Li, M.; Zhang, J.G.; Qu, D. Plastic film mulching on soil water and maize (Zea mays L.) yield in a ridge cultivation system on Loess Plateau of China. Soil Sci. Plant Nutr. 2016, 62, 1–12. [Google Scholar] [CrossRef]
- Kader, M.A.; Senge, M.; Mojid, M.A.; Ito, K. Recent advances in mulching materials and methods for modifying soil environment. Soil Tillage Res. 2017, 168, 155–166. [Google Scholar] [CrossRef]
- Li, L.-L.; Huang, G.-B.; Zhang, R.-Z.; Bill, B.; Guangdi, L.; Kwong, Y.C. Benefits of conservation agriculture on soil and water conservation and its progress in China. Agric. Water Manag. 2011, 10, 850–859. [Google Scholar] [CrossRef]
- Zhou, L.M.; Jin, S.L.; Liu, C.A.; Xiong, Y.C.; Si, J.T.; Li, X.G.; Gan, Y.T.; Li, F.M. Ridge-furrow and plastic-mulching tillage enhances maize-soil interactions: Opportunities and challenges in a semiarid agroecosystem. Field Crop Res. 2012, 126, 181–188. [Google Scholar] [CrossRef]
- Li, S.; Zhang, S.; Pu, Y.; Li, T.; Xu, X.; Jia, Y.; Deng, O.; Gong, G. Dynamics of soil labile organic carbon fractions and C-cycle enzyme activities under straw mulch in Chengdu Plain. Soil Tillage Res. 2016, 155, 289–297. [Google Scholar] [CrossRef]
- Dong, Q.; Yang, Y.; Yu, K.; Feng, H. Effects of straw mulching and plastic film mulching on improving soil organic carbon and nitrogen fractions, crop yield and water use efficiency in the Loess Plateau, China. Agric. Water Manag. 2018, 201, 133–143. [Google Scholar] [CrossRef]
- Akhtar, K.; Wang, W.; Ren, G.; Khan, A.; Feng, Y.; Yang, G.; Wang, H. Integrated use of straw mulch with nitrogen fertilizer improves soil functionality and soybean production. Enviro. Int. 2019, 132, 105092. [Google Scholar] [CrossRef] [PubMed]
- Qin, X.; Huang, T.; Lu, C.; Dang, P.; Zhang, M.; Guan, X.-K.; Wen, P.-F.; Wang, T.-C.; Chen, Y.; Siddique, K.H.M. Benefits and limitations of straw mulching and incorporation on maize yield, water use efficiency, and nitrogen use efficiency. Agric. Water Manag. 2021, 256, 107128. [Google Scholar] [CrossRef]
- Singh, G.; Jalota, S.K.; Singh, Y. Manuring and residue management effects on physical properties of a soil under the rice–wheat System in Punjab, India. Soil Till. Res. 2007, 94, 229–238. [Google Scholar] [CrossRef]
- Xie, W.; Wu, L.; Zhang, Y.; Wu, T.; Li, X.; Ouyang, Z. Effects of straw application on coastal saline topsoil salinity and wheat yield trend. Soil Tillage Res. 2017, 169, 1–6. [Google Scholar] [CrossRef]
- Nan, X.-X.; Tian, X.-H.; Zhang, L.; You, D.-H.; Wu, Y.-H.; Cao, Y.-X. Decomposition characteristics of maize and wheat straw and their effects on soil carbon and nitrogen contents. Plant Nutr. Fert. Sci. 2010, 16, 626–633. [Google Scholar]
- Wu, J.; Guo, X.-S.; Wang, Y.; Xu, Z.; Zhang, X.; Lu, J. Decomposition characteristics of rapeseed and wheat straw under different water regimes and straw incorporating models. J. Food Agric. Environ. 2011, 9, 572–577. [Google Scholar]
- Gao, Y.H.; Xie, Y.P.; Jiang, H.Y.; Wu, B.; Niu, J.Y. Soil water status and root distribution across the rooting zone in maize with plastic film mulching. Field Crops Res. 2014, 156, 40–47. [Google Scholar] [CrossRef]
- Li, C.; Wang, C.; Wen, X.; Qin, X.; Liu, Y.; Han, J.; Li, Y.; Liao, Y.; Wu, W. Ridge–furrow with plastic film mulching practice improves maize productivity and resource use efficiency under the wheat–maize double–cropping system in dry semi–humid areas. Field Crops Res. 2017, 203, 201–211. [Google Scholar] [CrossRef]
- Zhou, J.-B.; Wang, C.-Y.; Zhang, H.; Dong, F.; Zheng, X.-F.; Gale, W.; Li, S.-X. Effect of water saving management practices and nitrogen fertilizer rate on crop yield and water use efficiency in a winter wheat–summer maize cropping system. Field Crops Res. 2011, 122, 157–163. [Google Scholar] [CrossRef]
- Zhou, L.M.; Li, F.M.; Jin, S.L.; Song, Y.J. How two ridges and the furrow mulched with plastic film affect soil water, soil temperature and yield of maize on the semiarid Loess Plateau of China. Field Crops Res. 2009, 113, 41–47. [Google Scholar] [CrossRef]
- Xu, J.; Li, C.; Liu, H.; Zhou, P.; Tao, Z.; Wang, P.; Meng, Q.; Zhao, M. The effects of plastic film mulching on maize growth and water use in dry and rainy years in northeast China. PLoS ONE 2015, 10, e0125781. [Google Scholar] [CrossRef] [PubMed]
- Lovelli, S.; Perniola, M.; Ferrara, A.; di Tommaso, T. Yield response factor to water (Ky) and water use efficiency of Carthamus tinctorius L. and Solanum melongena L. Agric. Water Manag. 2007, 92, 73–80. [Google Scholar] [CrossRef]
- Steduto, P.; Hsiao, T.C.; Fereres, E.; Raes, D. Crop Yield Response to Water; FAO Irrigation and Drainage Paper 66; Food and Agriculture Organization of the United Nations: Rome, Italy, 2012; p. 503. [Google Scholar]
- Igbadun, H.E.; Oiganji, E. Crop coefficients and yield response factors for onion (Allium Cepa. L) under deficit irrigation and mulch practices in Samaru, Nigeria. Afr. J. Agric. Res. 2012, 7, 5137–5152. [Google Scholar] [CrossRef]
- Wen, Y.; Shang, S.; Yang, J. Optimization of irrigation scheduling for spring wheat with mulching and limited irrigation water in an arid climate. Agric. Water Manag. 2017, 192, 33–44. [Google Scholar] [CrossRef]
- Huang, M.; Gallichand, J.; Zhong, L. Water-yield relationships and optimal water management for winter wheat in the Loess Plateau of China. Irrig. Sci. 2004, 23, 47–54. [Google Scholar] [CrossRef]
- Zhang, S.L.; Li, P.R.; Yang, X.Y.; Wang, Z.H.; Chen, X.P. Effects of tillage and plastic mulch on soil water, growth and yield of spring-sown maize. Soil Tillage Res. 2011, 112, 92–97. [Google Scholar] [CrossRef]
- Chen, Y.L.; Liu, T.; Tian, X.H.; Wang, X.F.; Li, M.; Wang, S.X.; Wang, Z.H. Effects of plastic film combined with straw mulch on grain yield and water use efficiency of winter wheat in Loess Plateau. Field Crops Res. 2015, 172, 53–58. [Google Scholar] [CrossRef]










| PP | PDW | GNPs | TGW | GY | BY | HI | WUE |
|---|---|---|---|---|---|---|---|
| 1.00 ET | |||||||
| CFNM | 9.47 ab | 53.14 bc | 40.80 b | 6.69 bc | 17.35 ab | 38.60 ab | 10.12 ab |
| CFPM | 9.56 ab | 54.34 b | 40.71 b | 6.99 b | 17.58 ab | 39.77 ab | 11.12 a |
| CFSM | 10.04 a | 58.71 a | 45.64 a | 7.65 a | 18.63 a | 41.09 a | 11.78 a |
| RBNM | 9.55 ab | 53.24 b | 40.62 b | 6.96 b | 17.40 ab | 40.08 ab | 10.52 ab |
| RBPM | 9.41 ab | 54.88 b | 40.45 b | 6.64 bc | 17.27 b | 38.46 ab | 10.48 ab |
| RBSW | 9.96 a | 58.54 a | 45.76 a | 7.56 a | 18.58 a | 40.85 a | 11.70 a |
| RFNM | 8.55 b | 49.66 c | 40.62 b | 6.23 c | 16.84 b | 36.97 b | 9.77 b |
| RFPM | 8.48 b | 50.38 c | 40.90 b | 6.41 c | 16.81 b | 38.14 ab | 10.27 ab |
| Mean | 9.38 A | 54.11 A | 41.94 A | 6.89 A | 17.56 A | 39.24 A | 10.72 B |
| 0.50 ET | |||||||
| CFNM | 4.90 cd | 35.60 bc | 29.19 bc | 3.21 cd | 11.84 bcd | 27.13 c | 8.18 ef |
| CFPM | 7.56 a | 42.80 ab | 33.37 ab | 4.81 ab | 14.35 a | 33.49 ab | 15.48 a |
| CFSM | 6.62 abc | 37.83 bc | 31.29 bc | 3.65 cd | 12.49 bc | 29.23 bc | 10.41 d |
| RBNM | 4.77 d | 34.77 c | 28.79 c | 3.14 d | 11.36 d | 27.71 c | 7.95 f |
| RBPM | 6.98 ab | 41.13 ab | 32.86 ab | 4.31 b | 14.05 a | 30.73 bc | 13.48 b |
| RBSW | 6.40 abc | 37.47 bc | 29.55 bc | 3.44 cd | 11.65 cd | 29.55 bc | 9.73 de |
| RFNM | 6.33 bc | 38.33 bc | 32.53 b | 3.83 c | 12.78 b | 30.10 bc | 11.97 c |
| RFPM | 7.54 a | 43.67 a | 34.57 a | 5.06 a | 14.25 a | 35.48 a | 16.31 a |
| Mean | 6.39 B | 38.95 B | 31.52 B | 3.93 B | 12.85 B | 30.43 B | 11.69 A |
| F test | |||||||
| I | ** | *** | * | ** | *** | ** | * |
| PP | * | * | * | *** | ** | ns | *** |
| I × PP | ** | ** | *** | *** | *** | * | *** |
| PP | PDW | GNPs | TGW | GY | BY | HI | WUE |
|---|---|---|---|---|---|---|---|
| 1.00 ET | |||||||
| CFNM | 9.86 abc | 53.17 bc | 41.03 b | 6.78 bcd | 18.30 cde | 37.09 a | 10.31 bc |
| CFPM | 9.98 ab | 54.77 b | 41.82 b | 6.89 bc | 19.49 bc | 35.40 a | 10.97 bc |
| CFSM | 10.56 ab | 58.25 a | 46.11 a | 7.77 a | 20.96 a | 37.12 a | 11.99 a |
| RBNM | 9.82 bc | 53.08 bc | 41.15 b | 6.60 bcd | 18.27 de | 36.16 a | 9.98 cd |
| RBPM | 9.80 bc | 54.57 b | 42.91 b | 7.00 b | 19.01 cd | 36.83 a | 11.12 ab |
| RBSW | 10.62 a | 58.61 a | 46.25 a | 7.49 a | 20.43 ab | 36.70 a | 11.43 a |
| RFNM | 8.82 c | 50.95 c | 41.45 b | 6.26 d | 17.67 e | 35.45 a | 9.66 d |
| RFPM | 8.91 c | 50.73 c | 41.46 b | 6.42 cd | 17.77 e | 36.18 a | 10.27 bc |
| Mean | 9.80 A | 54.27 A | 42.77 A | 6.90 A | 18.99 A | 36.37 A | 10.72 B |
| 0.50 ET | |||||||
| CFNM | 5.12 d | 36.25 bc | 33.09 ab | 4.06 b | 12.89 bc | 31.49 a | 10.41 d |
| CFPM | 8.06 a | 45.43 a | 37.24 a | 4.91 a | 14.48 ab | 33.94 a | 15.02 ab |
| CFSM | 6.58 bc | 38.81 bc | 34.47 ab | 4.10 b | 13.68 bc | 29.95 a | 11.20 d |
| RBNM | 5.19 d | 35.96 c | 32.48 b | 4.04 b | 12.76 c | 31.64 a | 10.25 d |
| RBPM | 7.84 a | 45.02 a | 36.14 a | 4.74 a | 14.05 ab | 33.73 a | 14.23 b |
| RBSW | 6.37 c | 38.59 bc | 34.30 ab | 4.07 b | 13.59 bc | 29.93 a | 11.13 d |
| RFNM | 6.99 b | 40.75 b | 35.32 a | 4.33 b | 13.82 b | 31.30 a | 12.83 c |
| RFPM | 7.88 a | 45.19 a | 37.14 a | 5.05 a | 14.91 a | 33.85 a | 15.77 a |
| Mean | 6.75 B | 40.75 B | 35.02 B | 4.41 B | 13.77 B | 31.98 B | 12.60 A |
| F test | |||||||
| I | ** | ** | * | *** | ** | * | ** |
| PP | *** | *** | * | ** | *** | ns | *** |
| I × PP | *** | *** | * | *** | *** | ns | *** |
| PP | First Season | Second Season | ||
|---|---|---|---|---|
| KyPDW | KyGY | KyPDW | KyGY | |
| CFNM | 1.25 | 1.42 | 1.26 | 1.16 |
| CFPM | 0.47 | 0.70 | 0.48 | 0.73 |
| CFSM | 0.72 | 1.11 | 0.85 | 1.06 |
| RBNM | 1.30 | 1.46 | 1.27 | 1.19 |
| RBPM | 0.59 | 0.84 | 0.53 | 0.79 |
| RBSW | 0.78 | 1.18 | 0.90 | 1.07 |
| RFNM | 0.72 | 0.97 | 0.70 | 0.90 |
| RFPM | 0.47 | 0.64 | 0.50 | 0.68 |
| Parameters | Days after Sowing | Equation | R2 | Increase in Each Parameters for Each 10 mm Increase in SWS |
|---|---|---|---|---|
| Plant dry weight (g plant−1) | 56 | Y = 0.0171x − 2.05 | 0.83 | 0.171 g per plant |
| 87 | Y = 0.0117x + 1.77 | 0.81 | 0.117 g per plant | |
| 108 | Y = 0.0249x − 1.59 | 0.84 | 0.249 g per plant | |
| Grain number per spike | 56 | Y = 0.0779x + 0.78 | 0.84 | 0.779 grain per spike |
| 87 | Y = 0.0548x + 17.39 | 0.87 | 0.548 grain per spike | |
| 108 | Y = 0.1138x + 2.77 | 0.85 | 1.138 grain per spike | |
| 1000-grain weight (g) | 56 | Y = 0.0491x + 8.68 | 0.83 | 0.491 g per 1000-grain |
| 87 | Y = 0.0347x + 19.08 | 0.87 | 0.347 g per 1000-grain | |
| 108 | Y = 0.0715x + 10.00 | 0.84 | 0.715 g per 1000-grain | |
| Grain yield (ton ha−1) | 56 | Y = 0.0144x − 3.02 | 0.83 | 0.144 ton ha−1 |
| 87 | Y = 0.0103x − 0.039 | 0.89 | 0.103 ton ha−1 | |
| 108 | Y = 0.0212x − 2.71 | 0.87 | 0.212 ton ha−1 | |
| Biological yield (ton ha−1) | 56 | Y = 0.0263x + 0.166 | 0.84 | 0.263 ton ha−1 |
| 87 | Y = 0.0188x + 5.63 | 0.90 | 0.188 ton ha−1 | |
| 108 | Y = 0.0387x − 0.751 | 0.87 | 0.387 ton ha−1 | |
| Harvest index (%) | 56 | Y = 0.0358x + 13.27 | 0.82 | 0.358% |
| 87 | Y = 0.0253x + 20.85 | 0.86 | 0.253% | |
| 108 | Y = 0.0526x + 14.05 | 0.85 | 0.526% | |
| Water use efficiency (kg ha−1 mm−1) | 56 | Y = –0.00015x2 − 0.0018x + 13.8 | 0.34 | 60.0 kg ha−1 |
| 87 | Y = –0.00012x2 − 0.0022x + 14.72 | 0.32 | 90.2 kg ha−1 | |
| 108 | Y = –0.00035x2 − 0.0036x + 38.12 | 0.34 | 50.1 kg ha−1 |
Publisher’s Note: MDPI stays neutral with regard to jurisdictional claims in published maps and institutional affiliations. |
© 2022 by the authors. Licensee MDPI, Basel, Switzerland. This article is an open access article distributed under the terms and conditions of the Creative Commons Attribution (CC BY) license (https://creativecommons.org/licenses/by/4.0/).
Share and Cite
El-Hendawy, S.; Alsamin, B.; Mohammed, N.; Al-Suhaibani, N.; Refay, Y.; Alotaibi, M.; Tola, E.; Mattar, M.A. Combining Planting Patterns with Mulching Bolsters the Soil Water Content, Growth, Yield, and Water Use Efficiency of Spring Wheat under Limited Water Supply in Arid Regions. Agronomy 2022, 12, 1298. https://doi.org/10.3390/agronomy12061298
El-Hendawy S, Alsamin B, Mohammed N, Al-Suhaibani N, Refay Y, Alotaibi M, Tola E, Mattar MA. Combining Planting Patterns with Mulching Bolsters the Soil Water Content, Growth, Yield, and Water Use Efficiency of Spring Wheat under Limited Water Supply in Arid Regions. Agronomy. 2022; 12(6):1298. https://doi.org/10.3390/agronomy12061298
Chicago/Turabian StyleEl-Hendawy, Salah, Bazel Alsamin, Nabil Mohammed, Nasser Al-Suhaibani, Yahya Refay, Majed Alotaibi, ElKamil Tola, and Mohamed A. Mattar. 2022. "Combining Planting Patterns with Mulching Bolsters the Soil Water Content, Growth, Yield, and Water Use Efficiency of Spring Wheat under Limited Water Supply in Arid Regions" Agronomy 12, no. 6: 1298. https://doi.org/10.3390/agronomy12061298
APA StyleEl-Hendawy, S., Alsamin, B., Mohammed, N., Al-Suhaibani, N., Refay, Y., Alotaibi, M., Tola, E., & Mattar, M. A. (2022). Combining Planting Patterns with Mulching Bolsters the Soil Water Content, Growth, Yield, and Water Use Efficiency of Spring Wheat under Limited Water Supply in Arid Regions. Agronomy, 12(6), 1298. https://doi.org/10.3390/agronomy12061298

