Barley Straw Combined with Urea and Controlled-Release Nitrogen Fertilizer Improves Lint Yield and Nitrogen Utilization of Field-Seeded Cotton
Abstract
:1. Introduction
2. Material and Methods
2.1. Experimental Site
2.2. Experimental Design
2.3. Sampling and Measurement
2.3.1. Biomass Accumulation and N-Content Determination
2.3.2. N-Use Efficiency
2.3.3. Soil Chemical and Biological Analysis
2.3.4. Lint Yield and Yield Components
2.4. Statistical Analyses
3. Results
3.1. Yield and Yield Components under Combined Straw Management and N-Fertilization Strategy
3.2. Biomass Accumulation and Partition under Combined Straw Management and N-Fertilization Strategy
3.3. N Uptake and Utilization in Shoot and Reproductive Organs under Combined Straw Management and N-Fertilization Strategy
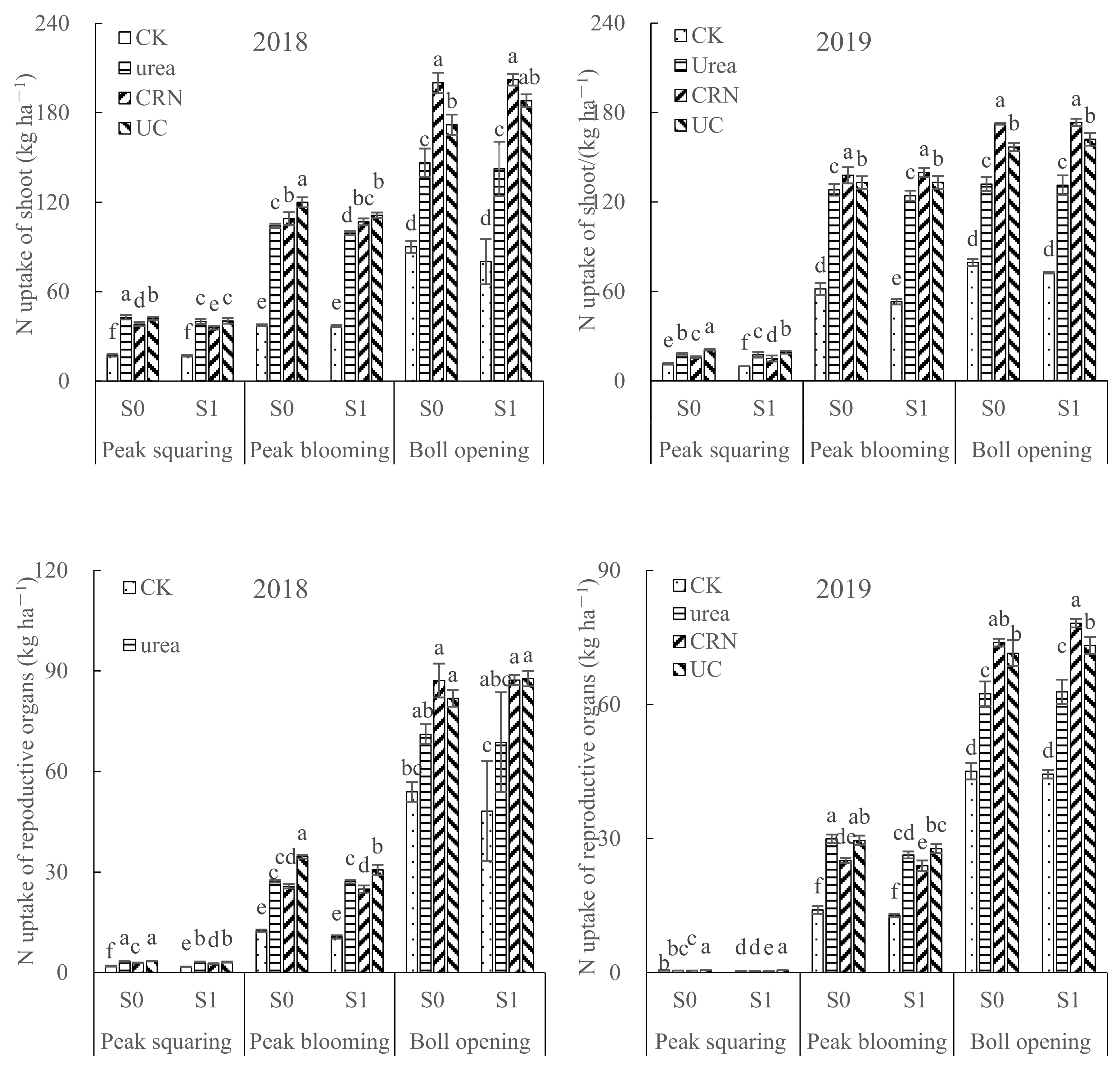
3.3.1. N Uptake and Partition
3.3.2. N-Use Efficiency
3.4. Soil Physical and Chemical Properties at Harvest
3.4.1. Soil Alkali-Hydro N and Microbial N Contents
3.4.2. Soil Urease and Sucrase Activities
4. Discussion
4.1. Straw Returning Combined with UC Improves the Cotton Yield
4.2. Straw Returning Combined with UC Facilitates Biomass Accumulation and N Uptake
4.3. Straw Returning Combined with UC Improves the Soil N Availability
5. Conclusions
Author Contributions
Funding
Institutional Review Board Statement
Informed Consent Statement
Data Availability Statement
Conflicts of Interest
References
- Yu, C.R.; Wang, X.J.; Hu, B.; Yang, C.Q.; Sui, N.; Liu, R.X.; Meng, Y.L.; Zhou, Z.G. Effects of wheat straw incorporation in cotton-wheat double cropping system on nutrient status and growth in cotton. Field Crops Res. 2016, 197, 39–51. [Google Scholar] [CrossRef]
- Li, X.S.; Qu, C.Y.; Li, Y.N.; Liang, Z.Y.; Tian, X.H.; Shi, J.L.; Ning, P.; Wei, G.H. Long-term effects of straw mulching coupled with N application on soil organic carbon sequestration and soil aggregation in a winter wheat monoculture system. Agron. J. 2021, 113, 2118–2131. [Google Scholar] [CrossRef]
- Kar, S.; Pramanick, B.; Brahmachari, K.; Saha, G.; Mahapatra, B.S.; Saha, A.; Kumar, A. Exploring the best tillage option in rice based diversified cropping systems in alluvial soil of eastern India. Soil Till. Res. 2021, 205, 104761. [Google Scholar] [CrossRef]
- Singh, S.P.; Mahapatra, B.S.; Pramanick, B.; Yadav, V.R. Effect of irrigation levels, planting methods and mulching on nutrient uptake, yield, quality, water and fertilizer productivity of field mustard (Brassica rapa L.) under sandy loam soil. Agr. Water Manag. 2021, 244, 106539. [Google Scholar] [CrossRef]
- Kumar, M.; Mitra, S.; Mazumdar, S.P.; Majumdar, B.; Saha, A.R.; Singh, S.R.; Pramanick, B.; Gaber, A.; Alsanie, W.F.; Hossain, A. Improvement of soil health and system productivity through crop diversification and residue incorporation under jute-based different cropping systems. Agronomy 2021, 11, 1622. [Google Scholar] [CrossRef]
- Gao, L.; Li, W.; Ashraf, U.; Lu, W.J.; Li, Y.L.; Li, C.Y.; Li, G.Y.; Li, G.K.; Hu, J.G. Nitrogen fertilizer management and maize straw return modulate yield and nitrogen balance in sweet corn. Agronomy 2020, 10, 362. [Google Scholar] [CrossRef] [Green Version]
- Reiter, M.S.; Reeves, D.W.; Burmester, C.H.; Torbert, H.A. Cotton nitrogen management in a high-residue conservation system: Cover crop fertilization. Soil Sci. Soc. Am. J. 2008, 72, 1321–1329. [Google Scholar] [CrossRef] [Green Version]
- Verma, T.S.; Bhagat, R.M. Impact of rice straw management practices on yield, nitrogen uptake and soil properties in a wheat-rice rotation in northern India. Fert. Res. 1992, 33, 97–106. [Google Scholar] [CrossRef]
- Wang, X.B.; Wu, H.J.; Dai, K. Tillage and crop residue effects on rainfed wheat and maize production in northern China. Field Crops Res. 2011, 132, 106–116. [Google Scholar] [CrossRef]
- Soon, Y.K.; Lupwayi, N.Z. Straw management in a cold semi-arid region: Impact on soil quality and crop productivity. Field Crops Res. 2012, 139, 39–46. [Google Scholar] [CrossRef]
- Azam, F.; Lodhi, A.; Ashraf, M. Availability of soil and fertilizer nitrogen to wetland rice following wheat straw amendment. Biol. Fert. Soils 1991, 11, 97–100. [Google Scholar] [CrossRef]
- Laik, R.; Kumara, B.H.; Pramanick, B.; Singh, S.K.; Nidhi; Alhomrani, M.; Gaber, A.; Hossain, A. Labile soil organic matter pools are influenced by 45 years of applied farmyard manure and mineral nitrogen in the wheat-pearl millet cropping system in the sub-tropical condition. Agronomy 2021, 11, 2190. [Google Scholar] [CrossRef]
- Thippayarugs, S.; Toomsan, B.; Vityakon, P.; Limpinuntana, V.; Patanothai, A.; Cadisch, G. Interactions in decomposition and N mineralization between tropical legume residue components. Agroforest. Systy. 2008, 72, 137–148. [Google Scholar] [CrossRef]
- Moritsuka, N.; Yanai, J.; Mori, K.; Kosaki, T. Biotic and abiotic processes of nitrogen immobilization in the soil-residue interface. Soil Biol. Biochem. 2004, 36, 1141–1148. [Google Scholar] [CrossRef]
- Henriksen, T.M.; Breland, T.A. Nitrogen availability effects on carbon mineralization, fungal and bacterial growth, and enzyme activities during decomposition of wheat straw in soil. Soil Biol. Biochem. 1999, 31, 1121–1134. [Google Scholar] [CrossRef]
- Shaukat, A.A.; Tian, X.H.; Wang, D. Decomposition characteristic of maize straw with different carbon to nitrogen (C/N) ratios under various moisture regimes. Afr. J. Biotechnol. 2011, 10, 10149–10156. [Google Scholar] [CrossRef]
- Yang, C.Q.; Zhang, G.W.; Liu, R.X. Effect of nitrogen management on lint yield and nitrogen utilization of field-seeded cotton after barley harvest. Chin. J. Eco-Agric. 2016, 24, 1607–1613. (In Chinese) [Google Scholar]
- Wang, Z.; Wang, Z.; Ma, L.J.; Lv, X.B.; Meng, Y.L.; Zhou, Z.G. Straw returning coupled with nitrogen fertilization increases canopy photosynthetic capacity, yield and nitrogen use efficiency in cotton. Eur. J. Agron. 2021, 126, 126267. [Google Scholar] [CrossRef]
- Ercoli, L.; Masoni, A.; Pampana, S.; Mariotti, M.; Arduini, I. As durum wheat productivity is affected by nitrogen fertilisation management in Central Italy. Eur. J. Agron. 2013, 44, 38–45. [Google Scholar] [CrossRef]
- Trinh, T.H.; Kushaari, K.; Shuib, A.S.; Ismail, L.; Azeem, B. Modeling the release of nitrogen from controlled release fertilizer: Constant and decay release. Biosyst. Eng. 2015, 130, 34–42. [Google Scholar] [CrossRef]
- Yang, Y.; Ni, X.; Zhou, Z.; Yu, L.X.; Liu, B.M.; Yang, Y.; Wu, Y. Performance of matrix-based slow-release urea in reducing nitrogen loss and improving maize yields and profits. Field Crops Res. 2017, 212, 73–81. [Google Scholar] [CrossRef]
- Geng, J.B.; Ma, Q.; Zhang, M.; Li, C.L.; Liu, Z.G.; Lyu, X.X.; Zheng, W.K. Synchronized relationships between nitrogen release of controlled release nitrogen fertilizers and nitrogen requirements of cotton. Field Crops Res. 2015, 184, 9–16. [Google Scholar] [CrossRef]
- Wang, S.P.; Li, X.K.; Lu, J.W.; Hong, J.; Chen, G.; Xue, X.X.; Li, J.F.; Wei, Y.X.; Zou, J.L.; Liu, G.W. Effects of controlled-release urea application on the growth, yield and nitrogen recovery efficiency of cotton. Agri. Sci. 2013, 4, 33–38. [Google Scholar] [CrossRef] [Green Version]
- Naz, M.Y.; Sulaiman, S.A. Slow release coating remedy for nitrogen loss from conventional urea: A review. J. Control. Release 2016, 225, 109–120. [Google Scholar] [CrossRef]
- Grant, C.A.; Wu, R.; Selles, F.; Harker, K.N.; Clayton, G.W.; Bittman, S.; Zebarth, B.J.; Lupwayi, N.Z. Crop yield and nitrogen concentration with controlled release urea and split applications of nitrogen as compared to non-coated urea applied at seeding. Field Crops Res. 2012, 127, 170–180. [Google Scholar] [CrossRef]
- Tian, X.F.; Fan, Z.; Zhao, Y.X.; Sun, S.C.; Li, T.T.; Yu, N.; Zhai, S. Controlled-release urea improved cotton productivity and nitrogen use efficiency in China: A meta-analysis. Agron. J. 2021, 113, 2251–2259. [Google Scholar] [CrossRef]
- Sato, T.; Shibuya, K.; Saigusa, M.; Abe, T. Single basal application of total nitrogen fertilizer with controlled-release coated area on non-tilled rice culture. JPN J. Crop Sci. 1993, 62, 408–413. (In Japanese) [Google Scholar] [CrossRef] [Green Version]
- Zhao, B.; Dong, S.T.; Zhang, J.W.; Liu, P. Effects of controlled-release fertilizer on nitrogen use efficiency in summer maize. PLoS ONE 2013, 8, e70569. [Google Scholar]
- Limonortega, A.; Sayre, K.D.; Francis, C.A. Wheat and maize yields in response to straw management and nitrogen under a bed planting system. Agron. J. 2000, 92, 295–302. [Google Scholar] [CrossRef]
- Lu, R.K. Analytical Methods for Soil and Agro-Chemistry; China Agricultural Science and Technology Press: Beijing, China, 1999. (In Chinese) [Google Scholar]
- Bao, S.D. Soil Agro-Chemistrical Analysis; China Agriculture Press: Beijing, China, 2000. (In Chinese) [Google Scholar]
- Li, Z.G.; Luo, Y.M.; Teng, Y. The Methodology of Soil and Environmental Microbiology; Science Press: Beijing, China, 2008; pp. 395–402. (In Chinese) [Google Scholar]
- Lin, X.G. Theories and Methods for Soil Microorganism; Higher Education Press: Beijing, China, 2010; pp. 73–76. (In Chinese) [Google Scholar]
- Brennan, J.; Hackett, R.; McCabe, T.; Grant, J.; Fortune, R.A.; Forristal, P.D. The effect of tillage system and residue management on grain yield and nitrogen use efficiency in winter wheat in a cool Atlantic climate. Eur. J. Agron. 2014, 54, 61–69. [Google Scholar] [CrossRef]
- Limon-ortega, A.; Govaerts, B.; Sayre, K.D. Straw management, crop rotation, and nitrogen source effect on wheat grain yield and nitrogen use efficiency. Eur. J. Agron. 2008, 29, 21–28. [Google Scholar] [CrossRef]
- Rafique, E.; Mahmood-UI-Hassan, M.; Rashid, A.; Chaudhary, M.F. Nutrient balances as affected by integrated nutrient and crop residue management in cotton-wheat system in Aridisols. I. Nitrogen. J. Plant. Nutr. 2012, 35, 591–616. [Google Scholar] [CrossRef]
- Abbasi, M.K.; Tahir, M.M.; Rahim, N. Effect of N fertilizer source and timing on yield and N use efficiency of rainfed maize (Zea mays L.) in Kashmir-Pakistan. Geoderma 2013, 195–196, 87–93. [Google Scholar] [CrossRef]
- Ke, J.; He, R.C.; Hou, P.F.; Ding, C.; Ding, Y.F.; Wang, S.H.; Liu, Z.H.; Tang, S.; Ding, C.Q.; Chen, L.; et al. Combined controlled-released nitrogen fertilizers and deep placement effects of N leaching, rice yield and N recovery in machine-transplanted rice. Agr. Ecosyst. Environ. 2018, 265, 402–412. [Google Scholar] [CrossRef]
- Farmaha, B.S.; Sims, A.L. The influence of PCU and urea fertilizer mixtures on spring wheat protein concentrations and economic returns. Agron. J. 2013, 105, 1328–1334. [Google Scholar] [CrossRef]
- Kaur, G.; Zurweller, B.A.; Nelson, K.A.; Motavalli, P.P.; Dudenhoeffer, C.J. Soil waterlogging and nitrogen fertilizer management effects on corn and soybean yields. Agron. J. 2017, 109, 97–106. [Google Scholar] [CrossRef]
- Bange, M.P.; Milroy, S.P. Growth and dry matter partitioning of diverse cotton genotypes. Field Crops Res. 2004, 87, 73–87. [Google Scholar] [CrossRef]
- Dharminder; Singh, R.K.; Kumar, V.; Pramanick, B.; Alsanie, W.F.; Gaber, A.; Hossain, A. The use of municipal solid waste compost in combination with proper irrigation scheduling influences the productivity, microbial activity and water use effificiency of direct seeded rice. Agriculture 2021, 11, 941. [Google Scholar] [CrossRef]
- Kumar, A.; Pramanick, B.; Mahapatra, B.S.; Singh, S.P.; Shukla, D.K. Growth, yield and quality improvement of flax (Linum usitattisimum L.) grown under tarai region of Uttarakhand, India through integrated nutrient management practices. Ind. Crop Prod. 2019, 140, 111710. [Google Scholar] [CrossRef]
- Watts, D.B.; Runion, G.B.; Smith Nannenga, K.W.; Torbert, H.A. Enhanced-efficiency fertilizer effects on cotton yield and quality in the Coastal Plains. Agron. J. 2014, 106, 745–752. [Google Scholar] [CrossRef] [Green Version]
- Zheng, W.K.; Zhang, M.; Liu, Z.G.; Zhou, H.Y.; Lu, H.; Zhang, W.T.; Yang, Y.C.; Li, C.L.; Chen, B.C. Combining controlled-release urea and normal urea to improve the nitrogen use efficiency and yield under wheat-maize double cropping system. Field Crops Res. 2016, 197, 52–62. [Google Scholar] [CrossRef]
- Zhang, G.X.; Zhao, D.H.; Liu, S.J.; Liao, Y.C.; Han, J. Can controlled-release urea replace the split application of normal urea in China? A meta-analysis based on crop grain yield and nitrogen use efficiency. Field Crops Res. 2022, 275, 108343. [Google Scholar] [CrossRef]
- Aoyama, M.; Nozawa, T. Microbial biomass nitrogen and mineralization-immobilization processes of nitrogen in soils incubated with various organic materials. Soil Sci. Plant Nutr. 1993, 39, 23–32. [Google Scholar] [CrossRef]
- Yang, X.; Liu, H.B.; Mao, X.T.; Deng, J.L.; Haefele, S.M. Non-flooding rice yield response to straw biochar and controlled-release fertilizer. Agron. J. 2020, 112, 4799–4809. [Google Scholar] [CrossRef]
- Alijani, K.; Bahrani, M.J.; Kazemeini, S.A. Short-term responses of soil and wheat yield to tillage, corn residue management and nitrogen fertilization. Soil Tillage Res. 2012, 124, 78–82. [Google Scholar] [CrossRef]
- Geng, J.B.; Ma, Q.; Chen, J.Q.; Zhang, M.; Li, C.L.; Yang, Y.C.; Yang, X.Y.; Zhang, W.T.; Liu, Z.G. Effects of polymer coated urea and sulfur fertilization on yield, nitrogen use efficiency and leaf senescence of cotton. Field Crops Res. 2016, 187, 87–95. [Google Scholar] [CrossRef]
- Li, G.H.; Zhao, B.; Dong, S.T.; Zhang, J.W.; Liu, P.; Lu, W.P. Controlled-release urea combining with optimal irrigation improved grain yield, nitrogen uptake, and growth of maize. Agr. Water Manag. 2020, 227, 105834. [Google Scholar] [CrossRef]
- Jackson, L.E.; Calderon, F.J.; Steenwerth, K.L.; Scow, K.M.; Rolston, D.E. Responses of soil microbial processes and community structure to tillage events and implications for soil quality. Geoderma 2003, 114, 305–317. [Google Scholar] [CrossRef]
- Dolan, M.S.; Clapp, C.E.; Allmaras, R.R.; Baker, J.M.; Molina, J.A.E. Soil organic carbon and nitrogen in a Minnesota soil as related to tillage, residue and nitrogen management. Soil Till. Res. 2006, 89, 221–231. [Google Scholar] [CrossRef]
- Kaewpradit, W.; Toomsan, B.; Cadisch, G.; Vityakon, P.; Limpinuntana, V.; Saenjan, P.; Jogloy, S.; Patanothai, A. Mixing groundnut residues and rice straw to improve rice yield and N use efficiency. Field Crops Res. 2009, 110, 130–138. [Google Scholar] [CrossRef]
- Kuzyakov, Y.; Xu, X.L. Competition between roots and microorganisms for nitrogen: Mechanisms and ecological relevance. New Phytol. 2013, 198, 656–669. [Google Scholar] [CrossRef] [PubMed]
- Sui, P.X.; Tian, P.; Lian, H.L.; Wang, Z.Y.; Ma, Z.Q.; Qi, H.; Mei, N.; Sun, Y.; Wang, Y.Y.; Su, Y.H.; et al. Straw incorporation management affects maize grain yield through regulating nitrogen uptake, water use efficiency, and root distribution. Agronomy 2020, 10, 324. [Google Scholar] [CrossRef] [Green Version]


| Treatment Combination | 2018 | 2019 | |||||||
|---|---|---|---|---|---|---|---|---|---|
| Straw Management | N-Fertilization Strategy | Boll No. (×104 ha−1) | Boll Weight (g) | Lint Percentage (%) | Lint Yield (kg ha−1) | Boll No. (×104 ha−1) | Boll Weight (g) | Lint Percentage (%) | Lint Yield (kg ha−1) |
| S0 | CK | 71.7 e | 5.0 bc | 35.5 a | 1281.7 d | 66.6 e | 5.0 bcd | 35.8 a | 1190.0 e |
| urea | 84.3 d | 5.2 a | 35.5 a | 1562.5 c | 80.3 d | 5.2 a | 35.5 a | 1484.1 d | |
| CRN | 87.2 cd | 5.2 a | 34.9 ab | 1594.7 c | 86.4 c | 5.2 a | 34.7 bc | 1570.1 c | |
| UC | 95.4 b | 5.2 ab | 35.2 ab | 1732.9 b | 92.2 b | 5.1 ab | 35.0 abc | 1653.8 b | |
| S1 | CK | 70.7 e | 4.9 d | 35.8 a | 1229.6 d | 68.9 e | 4.9 d | 35.8 a | 1196.2 e |
| urea | 91.1 bc | 4.9 cd | 35.3 ab | 1583.7 c | 93.0 b | 4.9 cd | 35.4 ab | 1613.4 bc | |
| CRN | 89.0 cd | 5.2 a | 34.5 b | 1600.8 c | 91.6 b | 5.2 a | 34.6 c | 1645.3 b | |
| UC | 101.9 a | 5.1 b | 35.0 ab | 1806.1 a | 98.1 a | 5.0 bc | 35.2 abc | 1732.4 a | |
| Source of variance | |||||||||
| Straw management (S) | * | ** | ns | ns | ** | ** | ns | * | |
| N-fertilization strategy (N) | ** | ** | ** | ** | ** | ** | ** | ** | |
| S × N | ** | ** | ns | ns | ** | * | ns | ns | |
| Source of Variance | 2018 | 2019 | ||||||||||
|---|---|---|---|---|---|---|---|---|---|---|---|---|
| Shoot | Reproductive Organs | Shoot | Reproductive Organs | |||||||||
| Peak Squaring | Peak Blooming | Boll Opening | Peak Squaring | Peak Blooming | Boll Opening | Peak Squaring | Peak Blooming | Boll Opening | Peak Squaring | Peak Blooming | Boll Opening | |
| Straw management (S) | ** | ns | ns | * | ns | ns | ** | ns | * | * | ns | * |
| N-fertilization strategy (N) | ** | ** | ** | ** | ** | ** | ** | ** | ** | ** | ** | ** |
| S × N | ** | ns | ** | * | ns | ns | * | ns | * | * | ns | ** |
| Source of Variance | 2018 | 2019 | ||||||||||
|---|---|---|---|---|---|---|---|---|---|---|---|---|
| Shoot | Reproductive Organs | Shoot | Reproductive Organs | |||||||||
| Peak Squaring | Peak Blooming | Boll Opening | Peak Squaring | Peak Blooming | Boll Opening | Peak Squaring | Peak Blooming | Boll Opening | Peak Squaring | Peak Blooming | Boll Opening | |
| Straw management (S) | * | ns | ns | * | * | ns | * | ns | ns | ** | * | ns |
| N-fertilization strategy (N) | ** | ** | ** | ** | ** | ** | ** | ** | ** | ** | ** | ** |
| S × N | ** | ** | ns | ** | ** | ns | * | ** | ns | ** | ** | ns |
| Treatment | 2018 | 2019 | ||
|---|---|---|---|---|
| NARE (%) | NAE (kg kg−1) | NARE (%) | NAE (kg kg−1) | |
| S0 | 46.0 b | 2.0 b | 41.4 b | 2.1 b |
| S1 | 54.1 a | 2.4 a | 46.2 a | 2.6 a |
| urea | 33.0 c | 1.8 b | 31.0 c | 2.0 c |
| CRN | 64.5 a | 2.0 b | 54.0 a | 2.3 b |
| UC | 52.7 b | 2.9 a | 46.4 b | 2.8 a |
| Treatment | 2018 | 2019 | ||
|---|---|---|---|---|
| Alkali-Hydro N | Microbial N | Alkali-Hydro N | Microbial N | |
| S0 | 86.9 b | 26.5 a | 86.6 b | 27.3 a |
| S1 | 90.8 a | 25.9 a | 93.3 a | 25.8 a |
| CK | 81.8 d | 22.7 c | 83.8 c | 22.1 c |
| urea | 97.0 a | 22.3 c | 99.3 a | 21.9 c |
| CRN | 90.1 b | 31.9 a | 90.0 b | 32.8 a |
| UC | 86.5 c | 28.0 b | 86.7 bc | 29.5 b |
| Treatment | 2018 | 2019 | ||
|---|---|---|---|---|
| Urease Activity (mg NH3-N g−1 d−1) | Sucrase Activity (mg Glu g−1 d−1) | Urease Activity (mg NH3-N g−1 d−1) | Sucrase Activity (mg Glu g−1 d−1) | |
| S0 | 1.27 b | 23.6 b | 1.38 b | 24.1 b |
| S1 | 1.44 a | 26.4 a | 1.51 a | 27.4 a |
| CK | 1.19 d | 21.3 c | 1.27 d | 22.8 b |
| urea | 1.55 a | 23.1 b | 1.65 a | 22.9 b |
| CRN | 1.39 b | 28.0 a | 1.46 b | 28.9 a |
| UC | 1.30 c | 27.6 a | 1.39 c | 28.4 a |
| Factor | Alkali-Hydro N Content | Microbial N Content |
|---|---|---|
| Urease activity | 0.765 ** | −0.139 |
| Sucrase activity | 0.159 | 0.754 ** |
Publisher’s Note: MDPI stays neutral with regard to jurisdictional claims in published maps and institutional affiliations. |
© 2022 by the authors. Licensee MDPI, Basel, Switzerland. This article is an open access article distributed under the terms and conditions of the Creative Commons Attribution (CC BY) license (https://creativecommons.org/licenses/by/4.0/).
Share and Cite
Yang, C.; Li, J.; Zhang, G.; Shu, H.; Wang, X.; Hu, W.; Liu, R. Barley Straw Combined with Urea and Controlled-Release Nitrogen Fertilizer Improves Lint Yield and Nitrogen Utilization of Field-Seeded Cotton. Agronomy 2022, 12, 1208. https://doi.org/10.3390/agronomy12051208
Yang C, Li J, Zhang G, Shu H, Wang X, Hu W, Liu R. Barley Straw Combined with Urea and Controlled-Release Nitrogen Fertilizer Improves Lint Yield and Nitrogen Utilization of Field-Seeded Cotton. Agronomy. 2022; 12(5):1208. https://doi.org/10.3390/agronomy12051208
Chicago/Turabian StyleYang, Changqin, Jianan Li, Guowei Zhang, Hongmei Shu, Xiaojing Wang, Wei Hu, and Ruixian Liu. 2022. "Barley Straw Combined with Urea and Controlled-Release Nitrogen Fertilizer Improves Lint Yield and Nitrogen Utilization of Field-Seeded Cotton" Agronomy 12, no. 5: 1208. https://doi.org/10.3390/agronomy12051208
APA StyleYang, C., Li, J., Zhang, G., Shu, H., Wang, X., Hu, W., & Liu, R. (2022). Barley Straw Combined with Urea and Controlled-Release Nitrogen Fertilizer Improves Lint Yield and Nitrogen Utilization of Field-Seeded Cotton. Agronomy, 12(5), 1208. https://doi.org/10.3390/agronomy12051208

