Physiological Fitness Associated to ACCase Target-Site Resistance Enhances Growth and Reproduction in Phalaris brachystachys
Abstract
1. Introduction
2. Materials and Methods
2.1. Seed Source and Genetic Background Control
2.2. Evaluation of Growth
2.3. Determination of Physiological Parameters of S and R Sub-Populations
2.4. Determination of Physiological Parameters of S and R Populations
3. Results
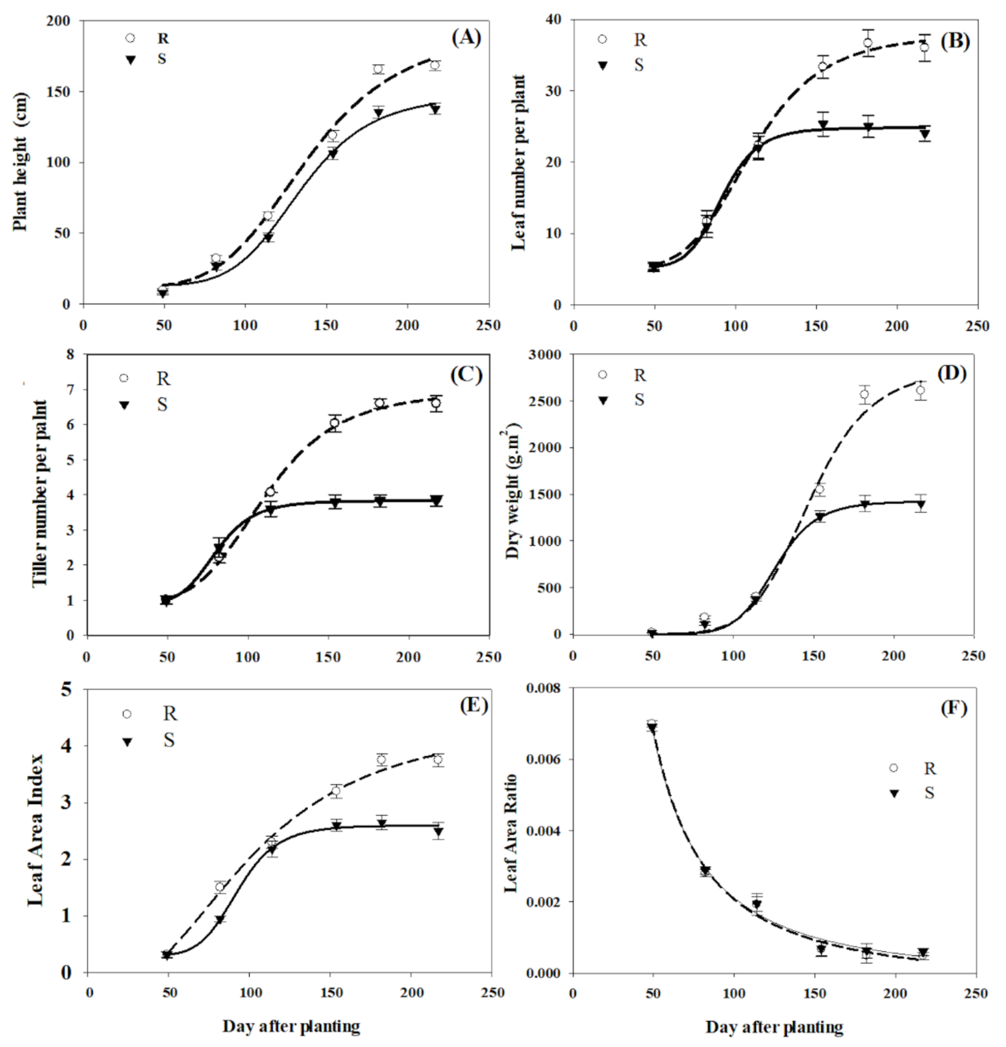
3.1. Comparative Growth Analysis
3.2. Physiological Parameters
3.3. Seed Production
4. Discussion
5. Conclusions
Author Contributions
Funding
Data Availability Statement
Acknowledgments
Conflicts of Interest
References
- Colbach, N.; Chauvel, B.; Darmency, H.; Délye, C.; Le Corre, V. Choosing the best cropping systems to target pleiotropic effects when managing single-gene herbicide resistance in grass weeds. A blackgrass simulation study. Pest Manag. Sci. 2016, 72, 1910–1925. [Google Scholar] [CrossRef] [PubMed]
- Jang, S.; Marjanovic, J.; Gornicki, P. Resistance to herbicides caused by single amino acid mutations in acetyl-CoA carboxylase in resistant populations of grassy weeds. New Phytol. 2013, 197, 1110–1116. [Google Scholar] [CrossRef] [PubMed]
- Heap, I. International Survey of Herbicide Resistant Weeds. 2022. Available online: http://www.weedscience.org (accessed on 11 April 2022).
- Owen, M.J.; Michael, P.J.; Renton, M.; Steadman, K.J.; Powles, S.B. Towards large-scale prediction of Lolium rigidum emergence. II. Correlation between dormancy and herbicide resistance levels suggests an impact of cropping systems. Weed Res. 2011, 51, 133–141. [Google Scholar] [CrossRef]
- Panozzo, S.; Scarabel, L.; Rosan, V.; Sattin, M. A new Ala-122-Asn amino acid change confers decreased fitness to ALS-resistant Echinochloa Crus-Gall. Front. Plant Sci. 2017, 8, 2042. [Google Scholar] [CrossRef]
- Kaundun, S.S. Resistance to acetyl-CoA carboxylase-inhibiting herbicides. Pest Manag. Sci. 2014, 70, 1405–1417. [Google Scholar] [CrossRef] [PubMed]
- Délye, C. Weed resistance to acetyl coenzyme A carboxylase inhibitors: An update. Weed Sci. 2005, 53, 728–746. [Google Scholar] [CrossRef]
- Busi, R.; Vila-Aiub, M.M.; Beckie, H.J.; Gaines, T.A.; Goggin, D.E.; Kaundun, S.S.; Lacoste, M.; Neve, P.; Nissen, S.J.; Norsworthy, J.K.; et al. Herbicide resistant weeds: From research and knowledge to future needs. Evol. Appl. 2013, 6, 1219–1221. [Google Scholar] [CrossRef] [PubMed]
- Wang, T.; Picard, J.C.; Tian, X.; Darmency, H. A herbicide-resistant ACCase 1781 Setaria mutant shows higher fitness than wild type. Heredity 2010, 105, 394–400. [Google Scholar] [CrossRef]
- Beckie, H.J.; Tardif, F.J. Herbicide cross resistance in weeds. Crop Prot. 2012, 35, 15–28. [Google Scholar] [CrossRef]
- Powles, S.B.; Yu, Q. Evolution in action: Plants resistant to herbicides. Ann. Rev. Plant Biol. 2010, 61, 317–347. [Google Scholar] [CrossRef]
- Neve, P.; Powles, S. Recurrent selection with reduced herbicide rates results in the rapid evolution of herbicide resistance in Lolium Rigidum. Theor. Appl. Genet. 2005, 110, 1154–1166. [Google Scholar] [CrossRef]
- Wu, X.; Zhang, T.; Pan, L.; Wang, L.; Xu, H.; Dong, L. Germination requirements differ between fenoxaprop-P-ethyl resistant and susceptible Japanese foxtail (Alopecurus japonicus) biotypes. Weed Sci. 2016, 64, 653–663. [Google Scholar] [CrossRef]
- Frenkel, E.; Matzrafi, M.; Rubin, B.; Peleg, Z. Effects of environmental conditions on the fitness penalty in herbicide resistant Brachypodium Hybridum. Front. Plant Sci. 2017, 8, 94–102. [Google Scholar] [CrossRef]
- Vila-Aiub, M.M.; Gundel, P.E.; Preston, C. Experimental methods for estimation of plant fitness costs associated with herbicide-resistance genes. Weed Sci. 2015, 63, 203–216. [Google Scholar] [CrossRef]
- Yu, L.; Kim, Y.; Tong, L. Mechanism for the inhibition of the carboxyltransferase domain of acetyl-coenzyme A carboxylase by pinoxaden. Proc. Natl. Acad. Sci. USA 2010, 107, 22072–22077. [Google Scholar] [CrossRef]
- Fernandez-Moreno, P.; Alcántara-de la Cruz, R.; Smeda, R.J.; De Prado, R. Differential resistance mechanisms to Glyphosate result in fitness cost for Lolium perenne and L. multiflorum. Front. Plant Sci. 2017, 8, 1796. [Google Scholar] [CrossRef]
- Vila-Aiub, M.M.; Neve, P.; Powles, S.B. Fitness costs associated with evolved herbicide resistance genes in plants. New Phytol. 2009, 184, 751–767. [Google Scholar] [CrossRef]
- Shergill, L.S.; Boutsalis, P.; Preston, C.; Gill, G.S. Fitness costs associated with 1781 and 2041 ACCase-mutant alleles conferring resistance to herbicides in Hordeum glaucum Steud. Crop Prot. 2016, 87, 60–67. [Google Scholar] [CrossRef]
- Travlos, I.S. Competition between ACCase-inhibitor resistant and susceptible sterile wild oat (Avena sterilis) biotypes. Weed Sci. 2013, 61, 26–31. [Google Scholar] [CrossRef]
- Keshtkar, E.; Mathiassen, S.K.; Kudsk, P. No vegetative and fecundity fitness cost associated with acetyl-coenzyme A carboxylase non-target-site resistance in a Black-grass (Alopecurus myosuroides Huds.) population. Front. Plant Sci. 2017, 8, 2011–2017. [Google Scholar] [CrossRef]
- Cousens, R.D.; Fournier-Level, A. Herbicide resistance costs: What are we actually measuring and why? Pest Manag. Sci. 2018, 74, 1539–1546. [Google Scholar] [CrossRef] [PubMed]
- Darmency, H.; Menchari, Y.; Le Corre, V.; Délye, C. Fitness cost due to herbicide resistance may trigger genetic background evolution. Evolution 2015, 69, 271–278. [Google Scholar] [CrossRef]
- Li, M.; Yu, Q.; Han, H.; Vila-Aiub, M.; Powles, S.B. ALS herbicide resistance mutations in Raphanus raphanistrum: Evaluation of pleiotropic effects on vegetative growth and ALS activity. Pest Manag. Sci. 2013, 69, 689–695. [Google Scholar] [CrossRef]
- Kumar, V.; Jha, P. Differences in germination, growth, and fecundity characteristics of dicamba-fluroxypyr-resistant and susceptible Kochia Scoparia. PLoS ONE 2016, 11, e0161533. [Google Scholar] [CrossRef][Green Version]
- Keshtkar, E.; Abdolshahi, R.; Sasanfar, H.; Zand, E.; Beffa, R.; Dayan, F. Assessing fitness costs from a herbicide-resistance management perspective: A review and insight. Weed Sci. 2019, 67, 137–148. [Google Scholar] [CrossRef]
- Gherekhloo, J.; Oveisi, M.; Zand, E.; De Prado, R. A review of herbicide resistance in Iran. Weed Sci. 2016, 64, 551–561. [Google Scholar] [CrossRef]
- Golmohammadzadeh, S.; Gherekhloo, J.; Rojano-Delgado, A.M.; Osuna-Ruíz, M.D.; Kamkar, B.; Ghaderi-Far, F.; De Prado, R. The first case of short-spiked canarygrass (Phalaris brachystachys) with cross-resistance to ACCase-inhibiting herbicides in Iran. Agronomy 2019, 9, 377. [Google Scholar] [CrossRef]
- Golmohammadzadeh, S.; Rojano-Delgado, A.M.; Vázquez-García, J.G.; Romano, Y.; Osuna, M.D.; Gherekhloo, J.; De Prado, R. Cross-resistance mechanisms to ACCase-inhibiting herbicides in short-spike canarygrass (Phalaris brachystachys). Plant Physiol. Biochem. 2020, 15, 681–688. [Google Scholar] [CrossRef]
- Ghanizadeh, H.; Harington, K.C. Fitness costs associated with multiple resistance to dicamba and atrazine in Chenopodium Album. Planta 2019, 249, 787–797. [Google Scholar] [CrossRef] [PubMed]
- Yin, X.; Goudriaan, J.; Lantinga, E.A.; Vos, J.; Spiertz, H.J. A flexible sigmoid function of determinate growth. Ann. Bot. 2003, 91, 361–371. [Google Scholar] [CrossRef] [PubMed]
- Simonyan, K.J.; Yiljep, Y.D.; Oyatoyan, O.B.; Bawa, G.S. Effect of moisture content on some physical properties of Lablab purpureus (L.) sweet seeds. Agric. Eng. Int. CIGR J. 2009, 5, 1279–1293. [Google Scholar]
- Niinemets, U. A review of light interception in plant stands from leaf to canopy in different plant functional types and in species with varying shade tolerance. Ecol. Res. 2010, 25, 693–714. [Google Scholar] [CrossRef]
- Weraduwage, S.M.; Chen, J.; Anozie, F.C.; Morales, A.; Weise, S.E.; Sharkey, T.D. The relationship between leaf area growth and biomass accumulation in Arabidopsis thaliana. Front. Plant Sci. 2015, 6, 167–178. [Google Scholar] [CrossRef]
- Henckes, J.R.; Chechin, J.; Schemitz, M.F.; Piasecki, C.; Vargas, L.; Agostinetto, D. Fitness cost and competitive ability of ryegrass susceptible and with multiple resistance to glyphosate, iodosulfuron-methyl, and pyroxsulam. Planta Daninha 2019, 37, e019197532. [Google Scholar] [CrossRef]
- Cechin, J.; Vargas, L.; Agostinetto, D.; Zimmer, V.; Pertile, M.; Dal Magro, T. Fitness costs of susceptible and resistant radish biotypes to ALS-inhibitor herbicides. Comun. Sci. 2017, 8, 281–286. [Google Scholar] [CrossRef]
- Zhang, P.; Hefting, M.M.; Soons, M.B.; Kowalchuk, G.A.; Rees, M.; Hector, A.; Turnbull, L.A.; Zhou, X.; Guo, Z.; Chu, C.; et al. Fast and furious: Early differences in growth rate drive short-term plant dominance and exclusion under eutrophication. Ecol. Evol. 2020, 10, 10116–10129. [Google Scholar] [CrossRef]
- Lowry, C.J.; Smith, R.G. Weed control through crop plant manipulations. In Non-Chemical Weed Control, 1st ed.; Jabran, K., Chauhan, B.S., Eds.; Academic Press: London, UK, 2018; pp. 73–96. [Google Scholar]
- Koelewijn, H.P. Rapid change in relative growth rate between the vegetative and reproductive stage of the life cycle in Plantago coronopus. New Phytol. 2004, 163, 67–76. [Google Scholar] [CrossRef]
- Vila-Aiub, M.M.; Neve, P.; Steadman, K.J.; Powles, S.B. Ecological fitness of a multiple herbicide-resistant Lolium rigidum population: Dynamics of seed germination and seedling emergence of resistant and susceptible phenotypes. J. Appl. Ecol. 2005, 42, 288–298. [Google Scholar] [CrossRef]
- Sabet Zangeneh, H.; Mohammadust Chamanabad, H.R.; Zand, E.; Asghari, A.; Alamisaeid, K.; Travlos, I.S.; Alebrahim, M.T. Study of fitness cost in three rigid ryegrass populations susceptible and resistant to Acetyl-CoA Carboxylase Inhibiting herbicides. Front. Ecol. Evol. 2016, 4, 142. [Google Scholar] [CrossRef][Green Version]
- Park, K.W.; Mallory-Smith, C.A.; Ball, D.A.; Mueller-Warrant, G.W. Ecological fitness of acetolactate synthase inhibitor-resistant and -susceptible downy brome (Bromus tectorum) biotypes. Weed Sci. 2004, 52, 768–773. [Google Scholar] [CrossRef]
- Menchari, Y.; Chauvel, B.; Darmency, H.; D’elye, C. Fitness costs associated with three mutant acetylcoenzyme a carboxylase alleles endowing herbicide resistance in black-grass Alopecurus myosuroides. J. Appl. Ecol. 2008, 45, 939–947. [Google Scholar] [CrossRef]
- Matzarfi, M.; Gerson, O.; Rubin, B.; Peleg, Z. Different mutations endowing resistance to Acetyl-CoA Carboxylase inhibitors results in changes in ecological fitness of Lolium rigidum populations. Front. Plant Sci. 2017, 8, 1078–1083. [Google Scholar] [CrossRef]
- Vila-Aiub, M.M.; Yu, Q.; Han, H.; Powles, S.B. Effect of herbicide resistance endowing Ile-1781-Leu and Asp-2078-Gly ACCase gene mutations on ACCase kinetics and growth traits in Lolium rigidum. J. Exp. Bot. 2015, 66, 4711–4718. [Google Scholar] [CrossRef] [PubMed]
- Hassanpour-Bourkheili, S.; Gherekhloo, J.; Kamkar, B.; Ramezanpour, S.S. Comparing fitness cost associated with haloxyfop-R-methyl ester resistance in winter wild oat biotypes. Planta Daninha 2020, 38, e020213759. [Google Scholar] [CrossRef]
- Du, L.; Qu, M.; Jiang, X.; Li, X.; Ju, Q.; Lu, X.; Wang, J. Fitness costs associated with acetyl-coenzyme A carboxylase mutations endowing herbicide resistance in American sloughgrass (Beckmannia syzigachne Steud.). Ecol. Evol. 2019, 9, 2220–2230. [Google Scholar] [CrossRef]


| Traits | Population | Parameters 1 | R2 | p-Value * | ||
|---|---|---|---|---|---|---|
| Amax | b | t50 | ||||
| Plant height | R | 181.4 ± 6.5 a | 4.7 ± 1.7 a | 138.3 ± 2.9 a | 0.97 | <0.0001 |
| S | 135.2 ± 6.9 b | 6.13 ± 1.8 b | 134.0 ± 7.7 b | 0.99 | <0.0001 | |
| Leaf number per plant | R | 37.9 ± 2.5 a | 5.11 ± 1.0 a | 110.1 ± 4.2 a | 0.99 | <0.0001 |
| S | 24.8 ± 1.0 b | 8.3 ± 1.4 b | 91.3 ± 2.5 b | 0.99 | <0.0001 | |
| Number of tillers per plant | R | 6.6 ± 0.4 a | 6.8 ± 0.8 a | 110.2 ± 3.7 a | 0.99 | <0.0001 |
| S | 3.73 ± 0.1 b | 4.8 ± 0.1 b | 79.9 ± 1.1 b | 0.98 | <0.0001 | |
| Dry weight | R | 2848.2 ± 52.1 a | 9.7 ± 1.9 a | 147.4 ± 6.0 a | 0.99 | <0.0001 |
| S | 1425.9 ± 39.8 b | 7.8 ± 1.7 b | 126.0 ± 2.9 b | 0.99 | <0.0001 | |
| LAI | R | 3.2 ± 0.6 a | 7.5 ± 0.2 a | 102.7 ± 1.6 a | 0.98 | <0.0001 |
| S | 2.3 ± 0.1 b | 2.5 ± 1.2 b | 92.8 ± 2.6 b | 0.98 | <0.0001 | |
| LAR | R | 0.07 ± 0.01 a | 4.1 ± 0.6 a | 66.2 ± 1.1 a | 0.98 | <0.0001 |
| S | 0.07 ± 0.02 a | 4.0 ± 0.2 a | 65.7 ± 2.8 a | 0.98 | <0.0001 | |
| Trait | Population | Parameters 1 | R2 | p-Value * | |||
|---|---|---|---|---|---|---|---|
| Amax | Tb | Tc | Tp | ||||
| NAR | R | 0.33 ± 0.66 a | 59.5 ± 1.3 a | 204.3 ± 0.7 a | 138.1 ± 2.0 a | 0.97 | <0.0001 |
| S | 0.22 ± 0.28 b | 49.1 ± 1.4 b | 193.5 ± 1.2 b | 124.2 ± 2.9 b | 0.99 | <0.0001 | |
| PGR | R | 32.4 ± 2.4 a | 69.2 ± 2.5 a | 205.8 ± 1.4 a | 149.1 ± 2.8 a | 0.99 | <0.0001 |
| S | 18.4 ± 2.41 b | 57.8 ± 2.4 b | 196.6 ± 2.6 b | 139.2 ± 1.2 b | 0.99 | <0.0001 | |
| Population | Spikes per Plant | Spike Length (cm) | Seeds per Plant | 1000-Seed Weight (g) | Seed Area (mm2) |
|---|---|---|---|---|---|
| R | 6.0 ± 0.1 a | 8.4 ± 0.1 a | 1276 ± 17 a | 3.2 ± 0.4 a | 11.9 ± 0.5 a |
| S | 3.8 ± 0.1 b | 5.5 ± 0.6 b | 751 ± 21 b | 3.3 ± 0.2 a | 11.3 ± 0.6 a |
Publisher’s Note: MDPI stays neutral with regard to jurisdictional claims in published maps and institutional affiliations. |
© 2022 by the authors. Licensee MDPI, Basel, Switzerland. This article is an open access article distributed under the terms and conditions of the Creative Commons Attribution (CC BY) license (https://creativecommons.org/licenses/by/4.0/).
Share and Cite
Golmohammadzadeh, S.; Gherekhloo, J.; Osuna, M.D.; Ghaderi-Far, F.; Kamkar, B.; Alcántara-de la Cruz, R.; De Prado, R. Physiological Fitness Associated to ACCase Target-Site Resistance Enhances Growth and Reproduction in Phalaris brachystachys. Agronomy 2022, 12, 1206. https://doi.org/10.3390/agronomy12051206
Golmohammadzadeh S, Gherekhloo J, Osuna MD, Ghaderi-Far F, Kamkar B, Alcántara-de la Cruz R, De Prado R. Physiological Fitness Associated to ACCase Target-Site Resistance Enhances Growth and Reproduction in Phalaris brachystachys. Agronomy. 2022; 12(5):1206. https://doi.org/10.3390/agronomy12051206
Chicago/Turabian StyleGolmohammadzadeh, Sajedeh, Javid Gherekhloo, María Dolores Osuna, Farshid Ghaderi-Far, Behnam Kamkar, Ricardo Alcántara-de la Cruz, and Rafael De Prado. 2022. "Physiological Fitness Associated to ACCase Target-Site Resistance Enhances Growth and Reproduction in Phalaris brachystachys" Agronomy 12, no. 5: 1206. https://doi.org/10.3390/agronomy12051206
APA StyleGolmohammadzadeh, S., Gherekhloo, J., Osuna, M. D., Ghaderi-Far, F., Kamkar, B., Alcántara-de la Cruz, R., & De Prado, R. (2022). Physiological Fitness Associated to ACCase Target-Site Resistance Enhances Growth and Reproduction in Phalaris brachystachys. Agronomy, 12(5), 1206. https://doi.org/10.3390/agronomy12051206

