Seed Coating with Triflumezopyrim Induces the Rice Plant’s Defense and Inhibits the Brown Planthopper’s Feeding Behavior
Abstract
:1. Introduction
2. Materials and Methods
2.1. Insects Rearing, Seed Treatment, and Insecticide Application
2.2. Determination of Germination and Seedling Emergence Rates
2.3. LC-MS/MS Method for the Determination of TFM in the Rice Plant Stem
2.4. Determination of Oxalic Acid, Flavonoids, Phenolic Compounds, and Callose Content
2.5. Quantification of Sucrose
2.6. Feeding Behavior of BPH Female Adults
2.7. Field Surveys and Control Efficiency Analysis
2.8. Statistical Analyses
3. Results
3.1. Effects of TFM as Seed Coating Treatment on Germination and Seedling Emergence Rates
3.2. TFM Residual Dynamic of Rice Plant Stem Grown via Seed Coated with TFM
3.3. TFM as Seed Coating Treatment Affects Rice Plant’s Resistance and Nutrition
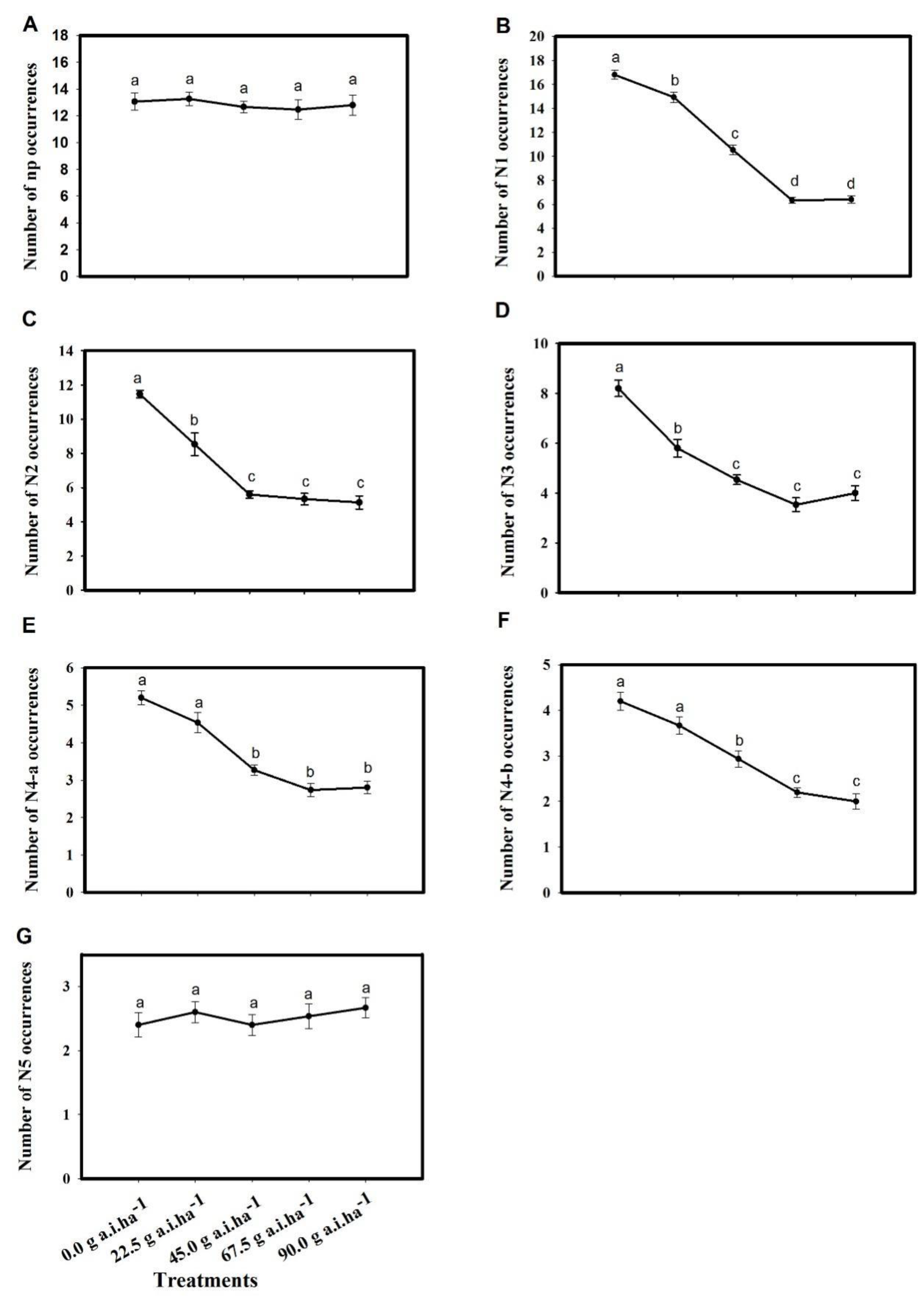
3.4. TFM as Seed Coating Treatment Affects BPH Female Feeding Behavior
3.5. TFM as Seed Coating Treatment Affects the BPH Population in the Mechanically Transplanted Rice Fields
4. Discussion
5. Conclusions
Supplementary Materials
Author Contributions
Funding
Data Availability Statement
Conflicts of Interest
References
- Hu, G.; Lu, F.; Zhai, B.-P.; Lu, M.-H.; Liu, W.-C.; Zhu, F.; Wu, X.-W.; Chen, G.-H.; Zhang, X.-X. Outbreaks of the brown planthopper Nilaparvata lugens (Stål) in the Yangtze River Delta: Immigration or local reproduction? PLoS ONE 2014, 9, e88973. [Google Scholar] [CrossRef] [PubMed]
- Du, B.; Zhang, W.; Liu, B.; Hu, J.; Wei, Z.; Shi, Z.; He, R.; Zhu, L.; Chen, R.; Han, B.; et al. Identification and characterization of Bph14, a gene conferring resistance to brown planthopper in rice. Proc. Natl. Acad. Sci. USA 2009, 106, 22163–22168. [Google Scholar] [CrossRef] [PubMed] [Green Version]
- Cabauatan, P.Q.; Cabunagan, R.C.; Choi, I.R. Rice viruses transmitted by the brown planthopper Nilaparvata lugens Stål. In Planthoppers: New threats to the sustainability of intensive rice production systems in Asia; International Rice Research Institute: Los Baños, Philippines, 2009; pp. 357–368. [Google Scholar]
- Fahad, S.; Nie, L.; Hussain, S.; Khan, F.; Khan, F.A.; Saud, S.; Muhammad, H.; Li, L.; Liu, X.; Tabassum, A. Rice pest management and biological control. In Sustainable Agriculture Reviews; Springer: Berlin, Germany, 2015; pp. 85–106. [Google Scholar]
- Wang, Y.; Chen, J.; Zhu, Y.C.; Ma, C.; Huang, Y.; Shen, J. Susceptibility to neonicotinoids and risk of resistance development in the brown planthopper, Nilaparvata lugens (Stål) (Homoptera: Delphacidae). Pest. Manag. Sci. 2008, 64, 1278–1284. [Google Scholar] [CrossRef] [PubMed]
- Zhang, Y.X.; Zhu, Z.F.; Lu, X.L.; Li, X.; Ge, L.Q.; Fang, J.C.; Wu, J.C. Effects of two pesticides, TZP and JGM, on reproduction of three planthopper species, Nilaparvata lugens Stål, Sogatella furcifera Horvath, and Laodelphax striatella Fallén. Pestic. Biochem. Physiol. 2014, 115, 53–57. [Google Scholar] [CrossRef]
- Zhang, X.; Xu, Q.; Lu, W.; Liu, F. Sublethal effects of four synthetic insecticides on the generalist predator Cyrtorhinus lividipennis. J. Pest. Sci. 2015, 88, 383–392. [Google Scholar] [CrossRef]
- He, Y.; Chen, L.; Chen, J.; Zhang, J.; Chen, L.; Shen, J.; Zhu, Y.C. Electrical penetration graph evidence that pymetrozine toxicity to the rice brown planthopper is by inhibition of phloem feeding. Pest. Manag. Sci. 2010, 67, 483–491. [Google Scholar] [CrossRef]
- Kang, M.A.; Seo, M.J.; Hwang, I.C.; Jang, C.; Park, H.J. Insecticidal activity and feeding behavior of the green peach aphid, Myzus persicae, after treatment with nano types of pyrifluquinazon. J. Asia-Pacif. Entomol. 2012, 15, 533–541. [Google Scholar] [CrossRef]
- Ge, L.Q.; Wu, J.C.; Zhao, K.F.; Chen, Y.; Yang, G.Q. Induction of Nlvg and suppression of Nljhe gene expression in Nilaparvata lugens (Stål) (Hemiptera: Delphacidae) adult females and males exposed to two insecticides. Pestic. Biochem. Physiol. 2010, 98, 269–278. [Google Scholar] [CrossRef]
- Zhu, Z.F.; Cheng, J.; Lu, X.L.; Li, X.; Ge, L.Q.; Fang, J.C.; Wu, J.C. Comparisons of topical and spray applications of two pesticides, triazophos and jinggangmycin, on the protein content in the ovaries and fat bodies of the brown planthopper Nilaparvata lugens Stål (Hemiptera: Delphacidae). Pestic. Biochem. Physiol. 2014, 114, 97–101. [Google Scholar] [CrossRef]
- Wu, J.C.; Xu, J.X.; Yuan, S.Z.; Liu, J.L.; Jiang, Y.H.; Xu, J.F. Pesticide-induced susceptibility of rice to brown planthopper Nilaparvata lugens. Entomol. Exp. Appl. 2001, 100, 119–126. [Google Scholar] [CrossRef] [Green Version]
- Haynes, K.F. Sublethal effects of neurotoxic insecticides on insect behavior. Annu. Rev. Entomol. 1988, 33, 149–168. [Google Scholar] [CrossRef] [PubMed]
- Ge, L.-Q.; Wang, L.-P.; Zhao, K.-F.; Wu, J.-C.; Huang, L.-J. Mating pair combinations of insecticide-treated male and female Nilaparvata lugens Stål (Hemiptera: Delphacidae) planthoppers influence protein content in the male accessory glands (MAGs) and vitellin content in both fat bodies and ovaries of adult females. Pestic. Biochem. Physiol. 2010, 98, 279–288. [Google Scholar] [CrossRef]
- Cordova, D.; Benner, E.A.; Schroeder, M.E.; Holyoke Jr., C.W.; Zhang, W.; Pahutski, T.F.; Leighty, R.M.; Vincent, D.R.; Hamm, J.C. Mode of action of triflumezopyrim: A novel mesoionic insecticide which inhibits the nicotinic acetylcholine receptor. Insect Biochem. Mol. Biol. 2016, 74, 32–41. [Google Scholar] [CrossRef] [PubMed]
- Divekar, P.A.; Narayana, S.; Divekar, B.A.; Kumar, R.; Gadratagi, B.G.; Ray, A.; Singh, A.K.; Rani, V.; Singh, V.; Singh, A.K.; et al. Plant secondary metabolites as defense tools against herbivores for sustainable crop protection. Int. J. Mol. Sci. 2022, 23, 2690. [Google Scholar] [CrossRef] [PubMed]
- Holyoke Jr., C.W.; Cordova, D.; Zhang, W.; Barry, J.D.; Leighty, R.M.; Dietrich, R.F.; Rauh, J.J.; Pahutski Jr., T.F.; Lahm, G.P.; Tong, M.-H.T.; et al. Mesoionic insecticides: A novel class of insecticides that modulate nicotinic acetylcholine receptors. Pest Manag. 2017, 73, 796–806. [Google Scholar] [CrossRef]
- Liu, C.; Hao, F.; Hu, J.; Zhang, W.; Wan, L.; Zhu, L.; Tang, H.; He, G. Revealing different systems responses to brown planthopper infestation for pest susceptible and resistant rice plants with the combined metabonomic and gene-expression analysis. J. Proteome Res. 2010, 9, 6774–6785. [Google Scholar] [CrossRef]
- Wu, Q.; Zhang, G.; Chen, Y.; Yu, J.L.; Zhou, Y.K.; Shu, Z.L.; Ge, L.Q. Seed dressing with triflumezopyrim controls brown planthopper populations by inhibiting feeding behavior, fecundity and enhancing rice plant resistance. Pest. Manag. Sci. 2021, 77, 2870–2886. [Google Scholar] [CrossRef]
- Guruprasad, G.S.; Pramesh, D.; Reddy, B.G.M.; Mahantashivayogayya, K.; Ibrahim, M.; Pampapathy, G. Triflumezopyrim (DPX-RAB55) A novel promising insecticide insecticide for the management of planthoppers in paddy. J. Exp. Zool. India 2016, 19, 955–961. [Google Scholar]
- Holyoke, C.W.; Zhang, W.; Pahutski, T.F.; Lahm, G.P.; Tong, M.-H.T.; Cordova, D.; Schroeder, M.E.; Benner, E.A.; Rauh, J.J.; Dietrich, R.F.; et al. Triflumezopyrim: Discovery and Optimization of a Mesoionic Insecticide for Rice. In Discovery and Synthesis of Crop Protection Products; ACS Symposium Series: Wachingtonm, DC, USA, 2015; pp. 365–378. [Google Scholar]
- Zhu, J.; Li, Y.; Jiang, H.; Liu, C.; Lu, W.; Dai, W.; Xu, J.; Liu, F. Selective toxicity of the mesoionic insecticide, triflumezopyrim, to rice planthoppers and beneficial arthropods. Ecotoxicology 2018, 27, 411–419. [Google Scholar] [CrossRef]
- Preetha, G.; Stanley, J.; Suresh, S.; Samiyappan. Risk assessment of insecticides used in rice on miridbug, Cyrtorhinus lividipennis Reuter, the important predator of brown planthopper, Nilaparvata lugens (Stål). Chemosphere 2010, 80, 498–503. [Google Scholar] [CrossRef]
- Usha Rani, P.; Jyothsna, Y. Biochemical and enzymatic changes in rice plants as a mechanism of defense. Acta Physiol. Plant. 2010, 32, 695–701. [Google Scholar] [CrossRef]
- Nuyttens, D.; Devarrewaere, W.; Verboven, P.; Foque, D. Pesticide-laden dust emission and drift from treated seeds during seed drilling: A review. Pest. Manage. Sci. 2013, 69, 564–575. [Google Scholar] [CrossRef] [PubMed]
- Rashid, M.M.; Jahan, M.; Islam, K.S. Impact of nitrogen, phosphorus and potassium on brown planthopper and tolerance of its host rice plants. Rice Sci. 2016, 23, 119–131. [Google Scholar] [CrossRef] [Green Version]
- Lank, S.K.; Ottea, J.A.; Davis, J.A.; Hernandez, A.B.; Stouta, M.J. Systemic effects of thiamethoxam and chlorantraniliprole seed treatments on adult Lissorhoptrus oryzophilus (Coleoptera: Curculionidae) in rice. Pest Manag. Sci. 2013, 69, 250–256. [Google Scholar] [CrossRef]
- Xu, P.; Shu, R.; Gong, P.; Li, W.; Wan, H.; Li, J. Sublethal and transgenerational effects of triflumezopyrim on the biological traits of the brown planthopper, Nilaparvata lugens (Stål) (Hemiptera: Delphacidae). Crop Protect. 2019, 117, 63–68. [Google Scholar] [CrossRef]
- Hummel, N.A.; Mészáros, A.; Ring, D.R.; Beuzelin, J.M.; Stout, M.J. Evaluation of seed treatment insecticides for management of the rice water weevil, Lissorhoptrus oryzophilus Kuschel (Coleoptera: Curculionidae), in commercial rice fields in Louisiana. Crop. Protect. 2014, 65, 37–42. [Google Scholar] [CrossRef]
- Zhang, Y.C.; Feng, Z.R.; Zhang, S.; Pei, X.G.; Zeng, B.; Zheng, C.; Gao, C.F.; Yu, X.Y. Baseline determination, susceptibility monitoring and risk assessment to triflumezopyrim in Nilaparvata lugens (Stal). Pestic. Biochem. Physiol. 2020, 167, 104608. [Google Scholar] [CrossRef]
- Gorim, L.; Asch, F. Effects of composition and share of seed coatings on the mobilization efficiency of cereal seeds during germination. J. Agron. Crop Sci. 2012, 198, 81–91. [Google Scholar] [CrossRef]
- Yu, J.; Zhang, G.; Miao, K.; Zhao, L.; Yang, H.; Fang, J.; Guo, H.; Zhuang, Y.; Yao, K.; Shu, Z. Control efficiency of Cnaphalocrocis medinalis by rice seed treatment with chlorantraniliprole and its safety evaluation. Chin. J. Pestic. Sci. 2019, 21, 300–308. [Google Scholar] [CrossRef]
- Peng, J.H.; Liao, L.P.; Nie, S.Q.; Liang, J.; Fu, Q.M.; Wu, D.X.; Xu, W.J. Analysis of triflumezopyrim residues in rice, soil and field water. Agrochemicals 2018, 57, 50–53. [Google Scholar] [CrossRef]
- Fan, T.; Chen, X.; Xu, Z.; Liu, L.; Shen, D.; Dong, S.; Zhang, Q. Uptake and translocation of triflumezopyrim in rice plants. J. Agric. Food Chem. 2020, 68, 7086–7092. [Google Scholar] [CrossRef] [PubMed]
- Shen, Y.; Jin, L.; Xiao, P.; Lu, Y.; Bao, J. Total phenolics, flavonoids, antioxidant capacity in rice grain and their relations to grain color, size and weight. J. Cereal Sci. 2009, 49, 106–111. [Google Scholar] [CrossRef]
- Jones, D.; Blancaflor, E.; Kochian, L.; Gilroy, S.J. Spatial coordination of aluminium uptake, production of reactive oxygen species, callose production and wall rigidification in maize roots. Plant Cell Environ. 2006, 29, 1309–1318. [Google Scholar] [CrossRef] [PubMed]
- Xu, H.; He, X.; Zheng, X.; Yang, Y.; Tian, J.; Lu, Z. Southern rice black-streaked dwarf virus (SRBSDV) directly affects the feeding and reproduction behavior of its vector, Sogatella furcifera (Horváth) (Hemiptera: Delphacidae). Virol. J. 2014, 11, 1–6. [Google Scholar] [CrossRef] [Green Version]
- Zhang, G.; Yu, J.; Shu, Z.; Fang, J.; Wu, J.; Yao, K. Control effects on rice planthopper and safety evaluation of natural enemies by seed dressing with 10% triflumezopyrim SC. J. South. Agric. 2019, 50, 2695–2702. [Google Scholar] [CrossRef]
- Jahn, G.C.; Litsinger, J.A.; Chen, Y.; Barrion, A.T. 15 Integrated Pest Management of Rice: Ecological Concepts; Cabi: Wallingford, UK, 2006. [Google Scholar]
- Cheng, Y.; Shi, Z.-P.; Jiang, L.-B.; Ge, L.-Q.; Wu, J.-C.; Jahn, G.C. Possible connection between imidacloprid-induced changes in rice gene transcription profiles and susceptibility to the brown plant hopper Nilaparvata lugens Stål (Hemiptera: Delphacidae). Pestic. Biochem. Physiol. 2012, 102, 213–219. [Google Scholar] [CrossRef] [Green Version]
- Chanprasert, W.; Myint, T.; Srikul, S.; Wongsri, O.J.J.o.O.P.R. Effects of neonicotinoid and method of breaking dormancy on seed germination and seedling vigour of oil palm (Elaeis guineensis Jacq. ). 2012, 24, 227–234. [Google Scholar]
- Taylor, A.G.; Eckenrode, C.J.; Straub, R.W. Seed coating technologies and treatments for onion: Challenges and progress. Hortscience A Publ. Am. Soc. Hortic. Sci. 2001, 36. [Google Scholar] [CrossRef] [Green Version]
- Ghaffar, M.B.A.; Pritchard, J.; Ford-Lloyd, B. Brown planthopper (N. Lugens Stål) feeding behaviour on rice germplasm as an indicator of resistance. PLoS ONE 2011, 6, e22137. [Google Scholar] [CrossRef]
- Rani, P.U.; Pratyusha, S. Role of castor plant phenolics on performance of its two herbivores and their impact on egg para-sitoid behaviour. Biol. Control. 2014, 59, 513–524. [Google Scholar] [CrossRef]
- Luczynski, A.; Isman, M.B.; Raworth, D.A. Strawberry foliar phenolics and their relationship to development of the twospotted spider mite. J. Econ. Entomol. 1990, 2, 557–563. [Google Scholar] [CrossRef]
- Korth, K.L.; Doege, S.J.; Park, S.-H.; Goggin, F.L.; Wang, Q.; Gomez, S.K.; Liu, G.; Jia, L.; Nakata, P.A. Medicago truncatula mutants demonstrate the role of plant calcium oxalate crystals as an effective defense against chewing insects. Plant Physiol. 2006, 141, 188–195. [Google Scholar] [CrossRef] [PubMed] [Green Version]
- Yoshihara, T.; Sogawa, K.; Pathak, M.D.; Juliano, B.O.; Sakamura, S. Oxalic acid as a sucking inhibitor of the brown planthopper in rice (Delphacidae, Homoptera). Entomol. Exp. Appl. 1980, 27, 149–155. [Google Scholar] [CrossRef]
- Maleck, K.; Dietrich, R.A. Defense on multiple fronts: How do plants cope with diverse enemies? Trends Plant Sci. 1999, 4, 215–219. [Google Scholar] [CrossRef]
- Van der Fits, L.; Memelink, J.J. ORCA3, a jasmonate-responsive transcriptional regulator of plant primary and secondary metabolism. Science 2000, 289, 295–297. [Google Scholar] [CrossRef]
- Borevitz, J.O.; Xia, Y.; Blount, J.; Dixon, R.A.; Lamb, C. Activation tagging identifies a conserved MYB regulator of phenylpropanoid biosynthesis. Plant Cell 2000, 12, 2383–2393. [Google Scholar] [CrossRef] [Green Version]
- Johnson, E.T.; Dowd, P.F. Differentially enhanced insect resistance, at a cost, in Arabidopsis thaliana constitutively expressing a transcription factor of defensive metabolites. J. Agric. Food Chem. 2004, 52, 5135–5138. [Google Scholar] [CrossRef]
- Cheynier, V.; Comte, G.; Davies, K.M.; Lattanzio, V.; Martens, S.J. Plant phenolics: Recent advances on their biosynthesis, genetics, and ecophysiology. Plant Physiol. Biochem. 2013, 72, 1–20. [Google Scholar] [CrossRef]
- Luna, E.; Pastor, V.; Robert, J.; Flors, V.; Mauch-Mani, B.; Ton, J. Callose deposition: A multifaceted plant defense response. Mol. Plant Microbe Interact. 2011, 24, 183–193. [Google Scholar] [CrossRef] [Green Version]
- Hao, P.; Liu, C.; Wang, Y.; Chen, R.; Tang, M.; Du, B.; Zhu, L.; He, G. Herbivore-induced callose deposition on the sieve plates of rice: An important mechanism for host resistance. Plant Physiol. 2008, 146, 1810–1820. [Google Scholar] [CrossRef] [Green Version]
- Maag, D.; Erb, M.; Köllner, T.G.; Gershenzon, J. Defensive weapons and defense signals in plants: Some metabolites serve both roles. Bioessays 2015, 37, 167–174. [Google Scholar] [CrossRef] [PubMed]
- Nisbet, A.J.; Woodford, J.A.T.; Strang, R.H.C. The effects of azadirachtin on the acquisition and inoculation of potato leafroll virus by Myzus persicae. Crop Protect. 1996, 15, 9–14. [Google Scholar] [CrossRef]
- Polston, J.E.; Sherwood, T. Pymetrozine interferes with transmission of tomato yellow leaf curl virus by the whitefly Bemisia tabaci. Phytoparasitica 2003, 31, 490–498. [Google Scholar] [CrossRef]
- Karley, A.J.; Douglas, A.E.; Parker, W.E. Amino acid composition and nutritional quality of potato leaf phloem sap for aphids. J. Exp. Biol. 2002, 205, 3009–3018. [Google Scholar] [CrossRef]
- Lu, J.; Li, J.; Ju, H.; Liu, X.; Erb, M.; Wang, X.; Lou, Y. Contrasting Effects of Ethylene Biosynthesis on Induced Plant Resistance against a Chewing and a Piercing-Sucking Herbivore in Rice. Mol. Plant 2014, 7, 1670–1682. [Google Scholar] [CrossRef] [Green Version]






| TFM Concentrations (g a.i. ha−1) | Control Efficiency (%) | |||||||
|---|---|---|---|---|---|---|---|---|
| Days After Sowing | ||||||||
| 61 d | 69 d | 82 d | 90 d | 101 d | 110 d | 121 d | 130 d | |
| 22.5 | 100 ± 0.0a | 99.2 ± 0.6a | 98.2 ± 1.2a | 99.0 ± 0.5a | 97.2 ± 0.6b | 76.2 ± 1.7b | 94.2 ± 2.2a | 92.1 ± 1.9b |
| 45 | 99.6 ± 0.5a | 99.4 ± 0.6a | 99.8 ± 0.2a | 99.6 ± 0.3a | 100 ± 0.0a | 100 ± 0.0a | 94.3 ± 3.7a | 98.5 ± 0.7a |
| 67.5 | 100 ± 0.0a | 99.9 ± 0.1a | 100 ± 0.0a | 99.6 ± 0.3a | 99.2 ± 0.8ab | 98.9 ± 1.1a | 93.4 ± 5.3a | 97.7 ± 1.1ab |
| 90 | 99.2 ± 0.5a | 99.4 ± 0.4a | 99.8 ± 0.2a | 99.6 ± 0.3a | 99.4 ± 0.4a | 100 ± 0.0a | 96.5 ± 1.8a | 97.1 ± 2.1ab |
Publisher’s Note: MDPI stays neutral with regard to jurisdictional claims in published maps and institutional affiliations. |
© 2022 by the authors. Licensee MDPI, Basel, Switzerland. This article is an open access article distributed under the terms and conditions of the Creative Commons Attribution (CC BY) license (https://creativecommons.org/licenses/by/4.0/).
Share and Cite
Xi, C.; Ahmad, S.; Yu, J.; Zhang, J.; Chen, Y.; Zhang, G.; Zhu, H.; Ge, L.; Yu, X.; Shu, Z. Seed Coating with Triflumezopyrim Induces the Rice Plant’s Defense and Inhibits the Brown Planthopper’s Feeding Behavior. Agronomy 2022, 12, 1202. https://doi.org/10.3390/agronomy12051202
Xi C, Ahmad S, Yu J, Zhang J, Chen Y, Zhang G, Zhu H, Ge L, Yu X, Shu Z. Seed Coating with Triflumezopyrim Induces the Rice Plant’s Defense and Inhibits the Brown Planthopper’s Feeding Behavior. Agronomy. 2022; 12(5):1202. https://doi.org/10.3390/agronomy12051202
Chicago/Turabian StyleXi, Chanyuan, Sheraz Ahmad, Julong Yu, Jieyu Zhang, Yu Chen, Guo Zhang, Haowen Zhu, Linquan Ge, Xiangyang Yu, and Zhaolin Shu. 2022. "Seed Coating with Triflumezopyrim Induces the Rice Plant’s Defense and Inhibits the Brown Planthopper’s Feeding Behavior" Agronomy 12, no. 5: 1202. https://doi.org/10.3390/agronomy12051202
APA StyleXi, C., Ahmad, S., Yu, J., Zhang, J., Chen, Y., Zhang, G., Zhu, H., Ge, L., Yu, X., & Shu, Z. (2022). Seed Coating with Triflumezopyrim Induces the Rice Plant’s Defense and Inhibits the Brown Planthopper’s Feeding Behavior. Agronomy, 12(5), 1202. https://doi.org/10.3390/agronomy12051202

