Next Article in Journal
Unraveling the Genetic Architecture for Low Temperature Germinability-Related Traits in Rice Using Genome-Wide Association Study
Next Article in Special Issue
In Memory of the Father of Hybrid Rice
Previous Article in Journal
Effects of Salinity-Stress on Seed Germination and Growth Physiology of Quinclorac-Resistant Echinochloa crus-galli (L.) Beauv
Previous Article in Special Issue
Genetic Association between Blast Resistance and Yield Traits in Rice Detected Using a High-Density Bin Map
 
 
Font Type:
Arial Georgia Verdana
Font Size:
Aa Aa Aa
Line Spacing:
Column Width:
Background:
Article

Optimizing Irrigation and Nitrogen Management to Increase Yield and Nitrogen Recovery Efficiency in Double-Cropping Rice

1
Key Laboratory of Ministry of Education for Crop Physiology and Molecular Biology, Changsha 410128, China
2
Southern Grain and Oil Crops Collaborative Innovation Center, Changsha 410128, China
3
Agriculture and Rural Bureau of Huaihua City, Huaihua 418099, China
4
Agriculture and Rural Bureau of Heshan District, Yiyang 413000, China
*
Authors to whom correspondence should be addressed.
These authors contributed equally to this work.
Agronomy 2022, 12(5), 1190; https://doi.org/10.3390/agronomy12051190
Submission received: 14 April 2022 / Revised: 9 May 2022 / Accepted: 13 May 2022 / Published: 16 May 2022
(This article belongs to the Special Issue In Memory of Professor Longping Yuan, the Father of Hybrid Rice)

Abstract

:
Water and nitrogen are the key factors affecting the yield and nitrogen recovery efficiency of double-cropping rice, but information about optimizing nitrogen fertilizer and irrigation management to achieve high yield is still limited. The purpose was to study the effects of different nitrogen application rates (D1, D2, D3, D4 (0, 112.5, 150.0, and 187.5 kg ha−1 for early-season rice and 0, 135, 180, and 225 kg ha−1 for late-season rice)) and irrigation conditions (G1, Alternate wetting and drying irrigation, G2, flooding irrigation) on rice yield and nitrogen recovery efficiency. Field experiments were carried out in the early and late seasons of the subtropical environment in Heshan County, Hunan Province, China in 2018 and 2019. The results showed that the yield was increased by the comprehensive action of reasonable irrigation mode and nitrogen management. Under G1D4 and G1D3 treatments, the maximum grain yield of early-season rice was 7.42 t ha−1, which was 0.8~35.9% higher than other treatments, and that of late-season rice was 8.20 t ha−1, which was 13.3~67.0% higher than other treatments. The increase of yield in G1D4 and G1D3 treatments was due to the increase in dry matter accumulation, effective Panicles number, and Spikelets per panicle, whose increase was due to an increase in photosynthesis and nitrate reductase activity. Compared with other treatments, late-season rice G1D3 treatment achieved a higher yield with less nitrogen fertilizer, while early-season rice G1D4 treatment achieved the highest yield, but the nitrogen recovery efficiency decreased. We should focus on more effective nitrogen fertilizer and irrigation management to further improve the yield potential of double-cropping rice.

1. Introduction

Rice is one of the most important staple crops around the world. China has the largest rice planting area as well as rice yield in the world, but the demand for rice is still increasing [1,2]. Double-cropping rice is widely planted in the middle and lower Yangtze River in China and other subtropical areas in Asia, which improves the multiple cropping index and greatly promotes the global rice supply [3,4]. Due to the sharp increase in production costs and low grain yield, the area of double-cropping rice in China has greatly decreased in the last decade. The local government encourages the planting of double-cropping rice. Therefore, it is necessary to have a suitable cultivation mode to increase the grain yield of double-cropping rice [5,6].
Rice is a crop that consumes a lot of water, approximately 2~3 times compared with other cereal crops [7]. In traditional agriculture, the waste of freshwater resources is very intolerable, and less than half of the water can be used and consumed by rice [8]. Therefore, it is necessary to seek water-conserving irrigation technology to improve water utilization rate, ensure the sustainability of irrigation, alleviate the contradiction between the supply and demand of water resources, and ensure the normal growth and development of rice [9,10,11]. While water-conserving irrigation technology can minimize environmental consequences, such as Alternate wetting and drying irrigation, it is a more useful system for reducing the methane emission which is a main GHG gas [12,13,14].
Nitrogen fertilizer is also the main limiting factor, besides water, affecting the growth and development of rice [15]. Since increasing the amount of chemical fertilizer hasn’t always been viewed as a key factor to improve crop yield, China has become the largest consumer of nitrogen fertilizer in the world [16]. Excessive nitrogen application rate and low nitrogen recovery efficiency not only increase production cost and reduce nitrogen productivity [17], resulting in a waste of nitrogen fertilizer resources [18], but it will cause rice unfavorable delayed senescence, diminish rice flavor profile characteristics and other qualities [19], and lead to a series of environmental problems such as the deterioration of the farmland soil environment [20] and a decline in soil microbial diversity [21].
It is worth noting that water and nitrogen fertilizer are interrelated and play a coupling role in crop growth. The positive interaction of water and nitrogen can improve the growth and final yield of rice by coordinating the source-sink relationship [22,23]. Reasonable water and fertilizer management can promote the growth of the rice root system [24], control the number of ineffective tillers [25], and improve the late leaf area index [26], which is beneficial to the improvement of photosynthetic efficiency [27]. Moreover, it can increase the accumulation of aboveground total dry weight [28], promote the absorption and utilization of nitrogen [29], and improve the yield components. As a result, it is conducive to obtaining a higher yield [30].
The middle and lower Yangtze River are important double-cropping rice planting regions, which constitute the most intensive rice-farming region of China and one of the most important rice production regions in the world [31,32]. After investigation, we found that rice growers in the middle and lower Yangtze River have a tradition of planting rice under flood conditions and applying too much fertilization [33,34]. In order to find out the effects of water-nitrogen interaction on the yield and the nitrogen recovery efficiency of double-cropping rice in the middle and lower Yangtze River basin, this study sets up four nitrogen fertilizer application rates and two irrigation methods, so as to provide a scientific basis for rice production, water-conserving irrigation and soil fertility improvement in the double-cropping rice planting region in the middle and lower Yangtze River basin.

2. Materials and Methods

2.1. Climatic Condition

There was little difference in seasonal daily solar radiation and average daily minimum and maximum temperatures between 2018 and 2019 (Table 1). The radiation and temperature displayed an increasing trend in the early season, but a decreasing trend in the late season from transplanting to maturity stage. The opposite was true in the late-season rice from flowering to maturity stage. A higher average temperature and seasonal average daily solar radiation were observed in 2018 than in 2019 in the early-season rice from flowering to maturity stage and in the late-season rice from transplanting to panicle initiation stage. There was adequate rainfall in 2018 and 2019, but it was clearly more concentrated during the early-season rice (Table 1).

2.2. Experiment Design and Plant Materials

The experiment was conducted in 2018 and 2019 in a farmer’s field located in Zhongtang Village (29°31′ N, 110°33′ E, 12 m altitude), Bijiashan Township, Heshan County, Hunan Province, China. Each year, rice was grown in double-cropping rice planting mode with early-season rice from March to July and late-season rice from June to November. The soil has the following properties: pH 5.1, 29.7 g kg−1 organic matter, 2.7 g kg−1 total nitrogen (N), 38.3 mg kg−1 Olsen phosphorus (P), and 301.8 mg kg−1 exchangeable potassium (K). The soil test was based on samples taken from the upper 20 cm of the soil before the application of basal fertilizers in 2018. Varieties used in this experiment were Zhuliangyou819 for the early-season rice and Hyou518 for the late-season rice; they are both widely grown for double-season rice in the middle and lower Yangtze River.
A split plot design was adopted in the experiment, with water treatment in the main area and fertilization level in the sub-area, with a total of 8 treatments included in the experiment. Three repeats were set up and arranged according to the design of the split plots, with a total of 24 split plots with an area of 20 m2. The transplanting density of the early-season rice was 16.7 cm × 20 cm, and that of the late-season rice was 16.7 cm × 26.7 cm. The treatment in the main area of the experiment was divided into two water treatments: Alternate wetting and drying irrigation (in the process of rice growth, keeping the water layer for a period of time, naturally drying until the soil is not seriously cracked, then irrigating, drying, and then circulating) and G2 flooding irrigation (keeping shallow water 2–3 cm during the whole growth period). Four different fertilization levels, D1, D2, D3, and D4 were applied in the secondary treatments (Table 2), which were 0, 112.5, 150.0, and 187.5 kg ha−1, respectively, for early-season rice and 0, 135, 180, and 225 kg ha−1 for late-season rice, and the application ratio of base fertilizer, tiller fertilizer, and panicle fertilizer was 5:3:2. They were applied 1–2 days before transplanting, 10 days after transplanting, and at the beginning of young panicle differentiation, respectively. Phosphorus and potassium fertilizer were evenly applied in each treatment with P2O5 90 kg ha−1 and K2O 180 kg ha−1. All phosphate fertilizer was used as the base fertilizer, and the proportion of potassium fertilizer used as the base fertilizer and tillering fertilizer is 50%, respectively. Separate irrigation was carried out in all experiment plots, and the ridge was covered with plastic film to prevent the channeling of water and fertilizer. Weeds, insects, and diseases were timely prevented and controlled as required to avoid yield loss.

2.3. Measurements

2.3.1. Total Dry Weight, Nitrogen Uptake and Use Efficiency

Sowing, transplanting, panicle initiation, flowering, and maturity dates were recorded for determining the crop growth stage. Twelve hills were sampled from each plot with an interval of 7–15 days during the growing stage to measure stem number and aboveground total dry weight (TDW). Plants were separated into green leaves, stems, and panicles, which were obtained from sampling points of each test plot, put into paper envelopes, and marked with plot names and numbers, then the leaf samples were placed into an oven at 105 °C for 30 min and dried at 80 °C to constant weight.
Then, the dried plants were crushed by a crusher (China, LG-50), and 0.5 g of leaf powder was weighed by an electronic analysis balance (Germany, Sartorius GL124-1SCN 1/10000). Finally, the total nitrogen content of rice leaves was measured by H2SO4-H2O2 digestion method and then by a continuous flow injection analyzer (Netherlands, SKALAR SAN++). Nitrogen dry matter production efficiency (NDE), nitrogen grain production efficiency (NGE), nitrogen harvest index (NHI), agronomic nitrogen use efficiency (AE), nitrogen recovery efficiency (NRE), partial factor productivity of applied fertilizer nitrogen (PFP), and physiological nitrogen use efficiency (PE) were calculated according to Meng et al. [35].

2.3.2. Yield and Yield Components

At the maturity stage, grain yields were measured by collecting 5 m2 plant samples at the center of each plot. Grains were separated from the rachis, filled and unfilled grains were separated, and the total weight of filled grains was determined. Filled grains were dried in an oven at 70 °C to a constant weight, and grain yield was calculated at 14% moisture content. Plant samples were taken to determine the yield components (panicles number, spikelets per panicle, 1000-grain weight, and spikelet filling) from 12 hills (0.48 m2) adjacent to the harvest area.

2.3.3. Photosynthesis Characteristic

The net photosynthesis rate, transpiration rate, intercellular CO2 concentration, and stomatal conductance of the top fully-expanded leaves of the main stem and root activity were determined at heading and grain filling stages. Five leaves were used for each treatment. Li-6400 gas exchange analyzer was used for these measurements from 10:00–11:00 am when photosynthetic active radiation above the canopy was 1200 mmol m−2 s−1.

2.3.4. Nitrate Reductase

The activity of nitrate reductase (NR) in fresh leaves of plant cultivar was measured according to the method of Yang [36]. Three samples from each treatment group were tested in each replicate experiment. Leaves (0.5 g) were homogenized with 4 mL of 0.1 mol L−1 HEPES-KOH, 3% (w/v) PVP, 1 mmol L−1 EDTA, and 7 mmol L−1 Cys, all at pH 7.5. The assay mixture contained 50 mmol L−1 HEPES-KOH, 100 mmol L−1 NADH, and 5 mmol L−1 KNO3 with 2 mmol L−1 EDTA or 6 mmol L−1 MgCl2, all at pH 7.5. The assay volume was 2 mL. NR activity was measured in crude extracts by determining NO2 formation by the addition of 1% sulfanilamide and 0.2% N-(1-naphtyl)-ethylene-diamine dihydrochloride in 3 mol L−1 HCl. The activity state is defined as NR assayed in the presence of Mg2+ (and 14-3-3 proteins) based on the percentage of NR activity measured in the presence of EDTA, and it reflects the enzyme amount that is in the nonphosphorylated active form. Assays were performed at 25 °C.

2.4. Data Analysis

Data were analyzed following the analysis of variance (SAS Version 9.1.2) and means of irrigation and nitrogen management treatments were compared based on the least significant difference test (LSD) with a 0.05, probability.

3. Results

3.1. Effect of Nitrogen Application and Irrigation Method on Yield

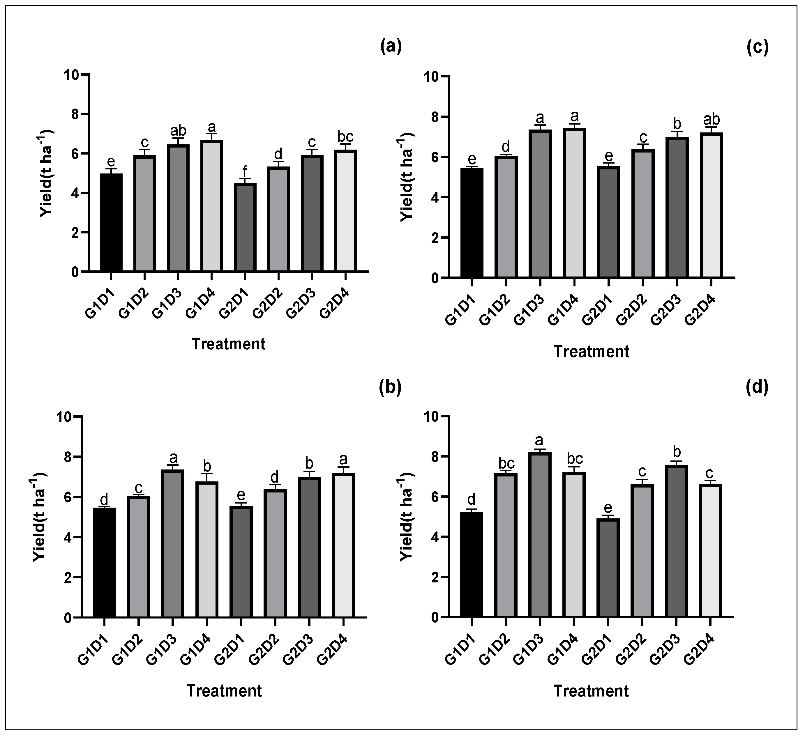
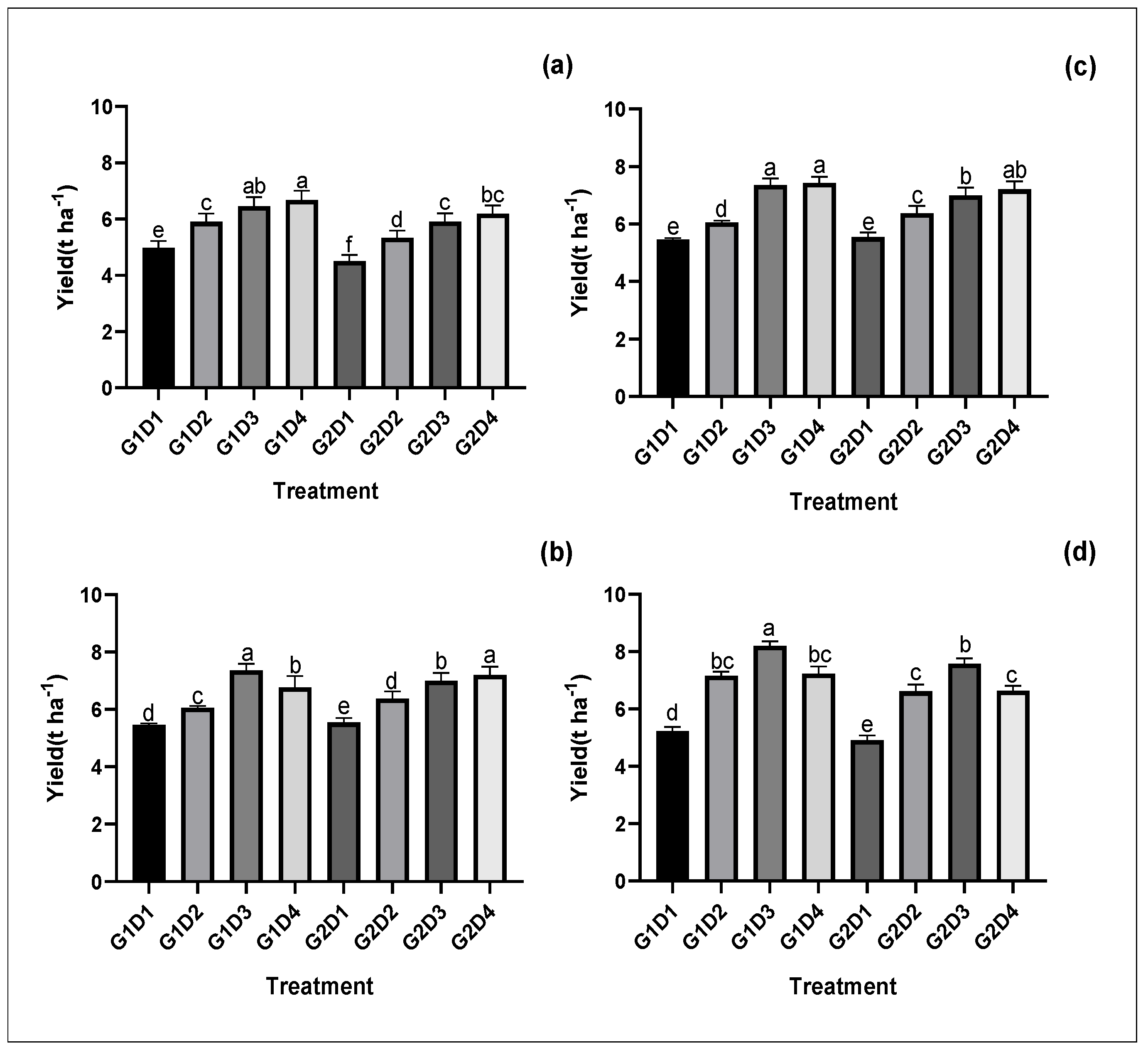
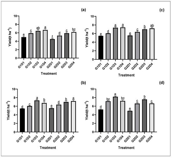
Irrigation and nitrogen management had a significant effect on grain yield in both seasons in the two years (Figure 1). The yield of early-season rice treated with G1D4 was the highest in 2018 and 2019, which was 6.68 t ha−1 in 2018, 3.3~34.2% higher than that of other treatments. In 2019, it was 7.42 t ha−1, which was 0.06~1.19 t ha−1 higher than other treatments. The yield of late-season rice with G1D3 treatment was the highest in 2018 and 2019, which was 7.16 t ha−1 and 8.20 t ha−1, respectively, 63.7~67.0% higher than that in G2D1. There was a huge and stable difference in grain yield between 2018 and 2019.

3.2. Effect of Nitrogen Application and Irrigation Method on Yield Components

The higher yield of early-season rice G1D4 and late-season rice G1D3 than that of other treatments is due to their larger sink capacity (Table 3). In 2018 and 2019, the effective panicle number of early-season rice G1D4 treatment was 2.2~15.9%, 2.9~13.4% higher than other treatments, and the grain number per panicle was 4.4~33.0%, 4.4~22.1% higher than that of other treatments, respectively. In 2018 and 2019, the effective panicle number of late-season rice G1D3 treatment was 3.5~24.8% and 5.0~23.6% higher than other treatments, and the grain number per panicle was 4.0~14.7%, 3.6~13.3% higher than other treatments, respectively. In two-year double-cropping rice., there were few differences in grain filling rate and 1000-grain weight pairs among different treatments.

3.3. Effect of Nitrogen Application and Irrigation Method on Total Dry Matter Weight

The difference in yield among various treatments is caused by the difference in aboveground total dry weight (Figure 2). Different treatments were significantly higher in 2018 than in 2019, and late-season rice was higher than early-season rice because there was more aboveground total dry weight. Various treatments increased continuously from tillering stage to grain filling stage, which indicated that the biomass accumulation before grain filling stage played an important role in rice yield formation. The average aboveground total dry weight of early-season rice and late-season rice in G1D4 treatment was 2275.32 g m−2 and 2485.17 g m−2, respectively, and it was significantly higher than that of other treatments, which also was the reason for the yield advantage of late-season rice in 2018 and 2019.

3.4. Effect of Nitrogen Application and Irrigation Method on Photosynthetic Characteristics

The higher yield of early-season rice G1D4 and late-season rice G1D3 than that of other treatments is due to the increase of leaf transpiration rate, the regulation of stomatal opening and closing, the enhancement of CO2 assimilation capacity and photosynthetic rate, which is an important physiological basis for the two treatments to have strong advantages of higher yield and stronger storage capacity (Figure 3). On average, the net photosynthetic rate of G1D4 treatment was 0.1~36.8%, 1.7~40.6% higher than that of other treatments at full heading stage and grain filling stage, respectively. The net photosynthetic rate of late-season rice treated with G1D4 was 14.0~33.0% higher than that of other treatments at full heading stage. At grain filling stage, the net photosynthetic rate of late-season rice treated with G1D3 was 0.1~42.8% higher than that of other treatments. The results indicated that reasonable water and fertilizer management was beneficial to improving the net photosynthetic rate, transpiration rate, and stomatal conductance of rice leaves in the middle and late growth stage, while the changing trend of intercellular CO2 concentration among different treatments was opposite to net photosynthetic rate.

3.5. Effect of Nitrogen Application and Irrigation Method on Nitrate Reductase Activity

The improvement of the yield of early-season rice G1D4 and late-season rice G1D3 compared to other treatments was due to the increase of nitrate reductase activity, and the promotion of nitrogen absorption and utilization by rice (Figure 4). At tillering stage, booting stage, full heading stage and grain filling stage, the nitrate reductase activity of early-season rice treated with G1D4 was 2.0~56.2%, 13.2~100.4%, 0.3~54.6%, 0.7~28.1% higher than that of other treatments respectively. The nitrate reductase activity of late-season rice treated with G1D4 at tillering stage, booting stage, full heading stage, and grain filling stage was 27.4~66.2%, 27.3~74.3%, 0.9~25.5%, 6.0~17.7% higher than that of other treatments respectively.

3.6. Effect of Nitrogen Application and Irrigation Method on Nitrogen Uptake and Use Efficiency

Compared with other treatments, G1D4 and G1D4 had lower NDE, NGE, NHI, AE, NRE, PFP, PE. Nitrogen harvest index of different treatments ranged from 53.2% to 80.1%, which indicated that most of the nitrogen absorbed by rice was used for grain formation. Overall, there was a relatively small difference between the two seasons in 2018 and 2019 in NUE-related traits (Table 4).

4. Discussion

Among many factors that affect rice growth, water and nitrogen are two of the most important factors that determine rice yield, and also the most frequently controlled and most influential environmental factors for crop growth [37]. Nitrogen fertilizer application rate, water irrigation, and their interaction are important factors affecting rice yield and nitrogen recovery efficiency [38]. In order to provide more data about suitable water and nitrogen management in double-cropping rice production in the middle and lower Yangtze River, we studied the effects of water and nitrogen management on yield and its composition, dry matter accumulation, photosynthesis, nitrate reductase activity, and nitrogen recovery efficiency of double-cropping rice.
We found that early-season rice G1D4 treatment and late-season rice G1D3 treatment had higher effective panicle number, grain number per panicle, and yield, which was consistent with the finding of Wang et al. [29]. Reasonable water and nitrogen management can ensure higher tiller number of rice, and also ensure panicle formation rate, which leads to an increase in grain number per panicle and yield [39]. This is because reasonable water and nitrogen management increases the effective accumulation of nitrogen in various organs of the rice [40], improves the photosynthetic rate of leaves [41], enhances the enzymes related to nitrogen metabolism in leaves, such as NR [42], promotes the development of rice roots [43], the accumulation of dry matter above ground [44], and the transportation of mineral nutrients and photosynthates from vegetative organs to grains [45], so as to improve the yield.
We found that the aboveground total dry weight of early-season rice in G1D4 treatment and late-season rice in G1D3 treatment was higher. This may be caused by reasonable water and nitrogen management which can effectively control the occurrence of ineffective tillers, promote root growth, ensure the formation of a high-yield population, and play a role in expanding “sink” and increasing “source” to a certain extent [28]. Due to water stress or nitrogen stress, unreasonable water, and nitrogen treatments create difficulty in forming enough effective panicles which lead to the reduction of “sink” capacity. Excessive tillers are ineffective due to flooding irrigation and hindered population growth and adverse effects on dry matter accumulation. The advantages of dry matter production in aboveground parts of early-season rice G1D4 and late-season rice G1D3 treatments is an important characteristic of their higher yield [46,47].
We found that early-season rice G1D4 treatment and late-season rice G1D3 treatment had better photosynthesis, because reasonable water and nitrogen management acted on the growth of vegetative organs, promoting the increase of rhizome and leaf area, and prolonged leaf senescence. It can accelerate the transpiration rate of leaves, regulate the opening and closing of stomata, promote the carboxylation efficiency of mesophyll cells, improve the CO2 assimilation rate, significantly improve the photosynthetic rate of flag leaves in the late growth stage of rice, and prolong the photosynthetic function period and light cutting time of leaves. This is an important physiological basis for high-yield treatment with a strong yield and storage capacity advantage [48].
NR plays a regulatory and rate-limiting role in the process of nitrogen metabolism in rice, and its activity affects nitrogen utilization and central regulation in rice [49]. We found that NR activity of early-season rice G1D4 treatment and late-season rice G1D3 treatment was higher, which should be reasonable water and nitrogen management to promote nitrogen metabolism, contribute to the transformation and absorption of nitrate nitrogen, maintain a certain nitrogen content in leaves, make leaves grow normally and play a better role in photosynthetic function, thus promoting plant growth and yield formation [27,50,51].
An appropriate water-nitrogen coupling model can not only improve rice yield and nitrogen use efficiency but also affect the accumulation and distribution of dry matter and nitrogen in rice aboveground parts. It has a positive effect on improving the accumulation of dry matter and nitrogen in rice and plays the role of “transferring water with fertilizer” or “transferring fertilizer with water” [52]. Early-season rice G1D4 treatment had the highest yield, which indicated that with the increase of nitrogen application rate, rice yield increased and nitrogen use efficiency decreased, but late-season rice G1D4 treatment had a lower yield than G1D3 treatment, which indicated that nitrogen accumulation increased with the nitrogen application rate. The spatial competition of rice plants for nitrogen content creates a threshold for nitrogen absorption. Excessive nitrogen absorption by plants will not increase the dry matter quality of rice continuously but will lead to rice yield reduction [25,53,54].
As for why early-season rice and late-season rice needed different water and nitrogen management methods, the reason is that early-season rice had a lot of rainfall, which leads to nitrogen loss, while late-season rice needed more irrigation water, which can utilize nitrogen better.
We found that most of the traits tested in 2018 and 2019 were affected by the environment. Fortunately, the two-year results showed a consistent trend under different nitrogen application rates and irrigation conditions. In order to better understand the effects of water and nitrogen management on grain yield and nitrogen use efficiency, it is necessary to use more rice varieties in different ecological regions with different soils and climates to further study these traits.

5. Conclusions

Through the comprehensive effect of reasonable irrigation mode and nitrogen management, the yield is improved. Under G1D4 treatment and G1D3 treatment, the maximum grain yield of early-season rice and late-season rice was 7.42 t ha−1 and 8.20 t ha−1, respectively. The increase in grain yield is due to the increase of nitrate reductase activity, leaf photosynthesis, accumulation of dry matter, effective panicle number, and grain number per panicle in G1D4 treatment rice G1D3 treatment. Compared with other treatments, late-season rice G1D3 treatment achieves a higher yield with less nitrogen fertilizer, while early-season rice G1D4 treatment had the highest yield, but the nitrogen recovery efficiency decreased. Therefore, a more effective water and nitrogen management mode for early-season rice should be considered in future research.

Author Contributions

X.W., Z.Y. and H.Z. conceived the project. H.Z., T.Z., A.S. and W.T. designed and conducted the computational and statistical analyses. H.Z. and C.Z. wrote the manuscript. H.Z. and T.Z. designed the experiments, and X.H. and A.S. conducted the experiments. All authors have read and agreed to the published version of the manuscript.

Funding

This research was funded by the National Key R&D Program of China (2017YFD0301501, 2018YFD0301005).

Institutional Review Board Statement

Not applicable.

Informed Consent Statement

Not applicable.

Data Availability Statement

Not applicable.

Acknowledgments

First: we thank Min Huang and Zhonghua Zhou for important suggestions on this article. We thank those who value food for prompting us to have the confidence to concentrate on carrying out this study and writing this paper.

Conflicts of Interest

The authors declare no competing interests.

References

  1. Yuan, S.; Linquist, B.A.; Wilson, L.T.; Cassman, K.G.; Stuart, A.M.; Pede, V.; Miro, B.; Saito, K.; Agustiani, N.; Aristya, V.E.; et al. Sustainable intensification for a larger global rice bowl. Nat. Commun. 2021, 12, 7163. [Google Scholar] [CrossRef] [PubMed]
  2. Normile, D. Reinventing rice to feed the world. Science 2008, 322, 375. [Google Scholar] [CrossRef] [PubMed]
  3. Wu, W.; Nie, L.X.; Liao, Y.C.; Shah, F.; Cui, K.H.; Wang, Q.; Lian, Y.; Huang, J.L. Toward yield improvement of early-season rice: Other options under double rice-cropping system in central China. Eur. J. Agron. 2013, 45, 75–86. [Google Scholar] [CrossRef]
  4. Hu, Z.; Liu, Y.; Huang, L.Y.; Peng, S.B.; Nie, L.X.; Cui, K.H.; Huang, J.L.; Wang, F. Premature heading and yield losses caused by prolonged seedling age in double-season rice. Field Crops Res. 2015, 183, 147–155. [Google Scholar] [CrossRef]
  5. Wang, D.P.; Huang, J.L.; Nie, L.X.; Wang, F.; Ling, X.X.; Cui, K.H.; Li, Y.; Peng, S.B. Integrated crop management practices for maximizing grain yield of double-season rice. Sci. Rep. 2017, 7, 38982. [Google Scholar] [CrossRef]
  6. Huang, M. The decreasing area of hybrid rice production in China: Causes and potential effects on Chinese rice self-sufficiency. Food Secur. 2022, 14, 267–272. [Google Scholar] [CrossRef]
  7. Luo, W.Q.; Chen, M.T.; Kang, Y.H.; Li, W.P.; Li, D.; Cui, Y.L.; Khan, S.; Luo, Y.F. Analysis of crop water requirements and irrigation demands for rice: Implications for increasing effective rainfall. Agric. Water Manag. 2022, 260, 107285. [Google Scholar] [CrossRef]
  8. Li, H.M.; Li, M.X. Sub-group formation and the adoption of the alternate wetting and drying irrigation method for rice in China. Agric. Water Manag. 2010, 97, 700–706. [Google Scholar] [CrossRef]
  9. Ahmad, M.J.; Choi, K.S. Climate-Induced Perspective Variations in Irrigation Schedules and Design Water Requirements for the Rice-Wheat System. Agronomy 2021, 11, 2006. [Google Scholar] [CrossRef]
  10. Gautam, N.K.; Sarkar, S. Estimating Crop Water Requirements and Assessing Irrigation Water Distribution Cost for Rice Production Using a Pipe Network. Pol. J. Environ. Stud. 2018, 27, 1071–1083. [Google Scholar] [CrossRef]
  11. Mandal, S.; Choudhury, B.U.; Satpati, L.N. Monsoon variability, crop water requirement, and crop planning for kharif rice in Sagar Island, India. Int. J. Biometeorol. 2015, 59, 1891–1903. [Google Scholar] [CrossRef]
  12. Nalley, L.; Linquist, B.; Kovacs, K.; Anders, M. The Economic Viability of Alternative Wetting and Drying Irrigation in Arkansas Rice Production. Agron. J. 2015, 107, 579–587. [Google Scholar] [CrossRef] [Green Version]
  13. Faiz-ul Islam, S.; Sander, B.O.; Quilty, J.R.; de Neergaard, A.; van Groenigen, J.W.; Jensen, L.S. Mitigation of greenhouse gas emissions and reduced irrigation water use in rice production through water-saving irrigation scheduling, reduced tillage and fertiliser application strategies. Sci. Total Environ. 2020, 739, 140215. [Google Scholar] [CrossRef] [PubMed]
  14. Fertitta-Roberts, C.; Oikawa, P.Y.; Jenerette, G.D. Evaluating the GHG mitigation-potential of alternate wetting and drying in rice through life cycle assessment. Sci. Total Environ. 2019, 653, 1343–1353. [Google Scholar] [CrossRef] [PubMed]
  15. Huang, M.; Jiang, P.; Shan, S.; Gao, W.; Ma, G.; Zou, Y.; Uphoff, N.; Yuan, L. Higher yields of hybrid rice do not depend on nitrogen fertilization under moderate to high soil fertility conditions. Rice 2017, 10, 43. [Google Scholar] [CrossRef] [Green Version]
  16. Chen, Y.T.; Peng, J.; Wang, J.; Fu, P.H.; Hou, Y.; Zhang, C.D.; Fahad, S.; Peng, S.B.; Cui, K.H.; Nie, L.X.; et al. Crop management based on multi-split topdressing enhances grain yield and nitrogen use efficiency in irrigated rice in China. Field Crops Res. 2015, 184, 50–57. [Google Scholar] [CrossRef]
  17. Nkebiwe, P.M.; Weinmann, M.; Bar-Tal, A.; Muller, T. Fertilizer placement to improve crop nutrient acquisition and yield: A review and meta-analysis. Field Crops Res. 2016, 196, 389–401. [Google Scholar] [CrossRef]
  18. Huang, M.; Liu, Y.; Cao, F.B.; Chen, J.N. Residual Effects of Nitrogen Application for Six Consecutive Crop Seasons on Soil Nitrogen Mineralization and the Succeeding Crop Yield in a Rice Paddy. J. Soil Sci. Plant. Nutr. 2022, 22, 1052–1059. [Google Scholar] [CrossRef]
  19. Huang, M.; Shan, S.; Chen, J.; Cao, F.; Jiang, L.; Zou, Y. Comparison on Grain Quality Between Super Hybrid and Popular Inbred Rice Cultivars under Two Nitrogen Management Practices. In Advances in International Rice Research; IntechOpen: London, UK, 2017. [Google Scholar]
  20. Jiang, W.J.; Huang, W.C.; Liang, H.; Wu, Y.L.; Shi, X.R.; Fu, J.; Wang, Q.H.; Hu, K.L.; Chen, L.; Liu, H.B.; et al. Is rice field a nitrogen source or sink for the environment? Environ. Pollut. 2021, 283, 117122. [Google Scholar] [CrossRef]
  21. Li, X.F.; Dou, F.G.; Guo, J.Q.; Velarca, M.V.; Chen, K.; Gentry, T.; McNear, D. Soil microbial community responses to nitrogen application in organic and conventional rice production. Soil Sci. Soc. Am. J. 2020, 84, 1885–1897. [Google Scholar] [CrossRef]
  22. Hameed, F.; Xu, J.Z.; Rahim, S.F.; Wei, Q.; Khalil, A.U.R.; Liao, Q. Optimizing Nitrogen Options for Improving Nitrogen Use Efficiency of Rice under Different Water Regimes. Agronomy 2019, 9, 39. [Google Scholar] [CrossRef] [Green Version]
  23. Santiago-Arenas, R.; Dhakal, S.; Ullah, H.; Agarwal, A.; Datta, A. Seeding, nitrogen and irrigation management optimize rice water and nitrogen use efficiency. Nutr. Cycl. Agroecosyst. 2021, 120, 325–341. [Google Scholar] [CrossRef]
  24. Xu, G.W.; Jiang, M.M.; Lu, D.K.; Wang, H.Z.; Chen, M.C. Nitrogen forms affect the root characteristic, photosynthesis, grain yield, and nitrogen use efficiency of rice under different irrigation regimes. Crops Sci. 2020, 60, 2594–2610. [Google Scholar] [CrossRef]
  25. Sang, H.H.; Jiao, X.Y.; Wang, S.F.; Guo, W.H.; Salahou, M.K.; Liu, K.H. Effects of micro-nano bubble aerated irrigation and nitrogen fertilizer level on tillering, nitrogen uptake and utilization of early-season rice. Plant Soil Environ. 2018, 64, 297–302. [Google Scholar]
  26. Xu, G.W.; Zhao, X.H.; Jiang, M.M.; Lu, D.K.; Chen, M.C. Nitrogen forms and irrigation regimes interact to affect rice yield by regulating the source and sink characteristics. Agron. J. 2021, 113, 4022–4036. [Google Scholar] [CrossRef]
  27. Zheng, E.N.; Yang, H.; Zhang, Z.X. Influence of different nitrogen forms application on rice photosynthesis: Fluorescence with water-saving irrigation in black soil region of Songnen Plain, Northeast China. Paddy Water Environ. 2018, 16, 795–804. [Google Scholar]
  28. Ye, Y.S.; Liang, X.Q.; Chen, Y.X.; Liu, J.; Gu, J.T.; Guo, R.; Li, L. Alternate wetting and drying irrigation and controlled-release nitrogen fertilizer in late-season rice. Effects on dry matter accumulation, yield, water and nitrogen use. Field Crops Res. 2013, 144, 212–224. [Google Scholar] [CrossRef]
  29. Wang, Z.Q.; Zhang, W.Y.; Beebout, S.S.; Zhang, H.; Liu, L.J.; Yang, J.C.; Zhang, J.H. Grain yield, water and nitrogen use efficiencies of rice as influenced by irrigation regimes and their interaction with nitrogen rates. Field Crops Res. 2016, 193, 54–69. [Google Scholar] [CrossRef]
  30. Balabandian, A.; Ashouri, M.; Doroudian, H.R.; Sadeghi, S.M.; Rezaei, M. Effect of Irrigation Interval and Biological and Nitrogen Fertilizers on Grain Yield and Yield Components of Rice Cultivars. Rom. Agric. Res. 2021, 38, 193–201. [Google Scholar]
  31. Pan, B.H.; Zheng, Y.; Shen, R.Q.; Ye, T.; Zhao, W.Z.; Dong, J.; Ma, H.Q.; Yuan, W.P. High Resolution Distribution Dataset of Double-Season Paddy Rice in China. Remote Sens. 2021, 13, 4609. [Google Scholar] [CrossRef]
  32. Zhang, L.; Li, S.; Tan, F.Y.; Guo, A.H.; Huo, Z.G. Potential agro-thermal resources dynamic for double-season rice cultivation across China under greenhouse gas emission scenarios. Theor. Appl. Climatol. 2021, 144, 67–75. [Google Scholar] [CrossRef]
  33. Liu, S.W.; Zhang, L.; Jiang, J.Y.; Chen, N.N.; Yang, X.M.; Xiong, Z.Q.; Zou, J.W. Methane and nitrous oxide emissions from rice seedling nurseries under flooding and moist irrigation regimes in Southeast China. Sci. Total Environ. 2012, 426, 166–171. [Google Scholar] [CrossRef] [PubMed]
  34. Hu, Y.M.; Wang, L.; Chen, F.X.; Ren, X.N.; Tan, Z.X. Soil carbon sequestration efficiency under continuous paddy rice cultivation and excessive nitrogen fertilization in South China. Soil Till. Res. 2021, 213, 105108. [Google Scholar] [CrossRef]
  35. Meng, T.Y.; Zhang, X.B.; Ge, J.L.; Chen, X.; Zhu, G.L.; Chen, Y.L.; Zhou, G.S.; Wei, H.H.; Dai, Q.G. Improvements in grain yield and nutrient utilization efficiency of japonica inbred rice released since the 1980s in eastern China. Field Crops Res. 2022, 277, 108427. [Google Scholar] [CrossRef]
  36. Yang, G.D.; Hu, Z.Y.; Hao, Z.Y.; Li, J.H.; Wang, Q.; Meng, X.X.; Zhou, Y.F.; Huang, R.D. Effect of Nitrogen on the Metabolic Enzyme Activity of Leaves, Protein Content and Yield of Sorghum (Sorghum Bicolor [L.] Moench) in Northern China. Appl. Ecol. Environ. Res. 2021, 19, 3467–3479. [Google Scholar] [CrossRef]
  37. Zhang, W.Y.; Yu, J.X.; Xu, Y.J.; Wang, Z.Q.; Liu, L.J.; Zhang, H.; Gu, J.F.; Zhang, J.H.; Yang, J.C. Alternate wetting and drying irrigation combined with the proportion of polymer-coated urea and conventional urea rates increases grain yield, water and nitrogen use efficiencies in rice. Field Crops Res. 2021, 268, 108165. [Google Scholar] [CrossRef]
  38. Cabangon, R.J.; Castillo, E.G.; Tuong, T.P. Chlorophyll meter-based nitrogen management of rice grown under alternate wetting and drying irrigation. Field Crops Res. 2011, 121, 136–146. [Google Scholar] [CrossRef]
  39. Yao, F.X.; Huang, J.L.; Cui, K.H.; Nie, L.X.; Xiang, J.; Liu, X.J.; Wu, W.; Chen, M.X.; Peng, S.B. Agronomic performance of high-yielding rice variety grown under alternate wetting and drying irrigation. Field Crops Res. 2012, 126, 16–22. [Google Scholar] [CrossRef]
  40. Islam, S.M.M.; Gaihre, Y.K.; Biswas, J.C.; Jahan, M.S.; Singh, U.; Adhikary, S.K.; Satter, M.A.; Saleque, M.A. Different nitrogen rates and methods of application for dry season rice cultivation with alternate wetting and drying irrigation: Fate of nitrogen and grain yield. Agric. Water Manag. 2018, 196, 144–153. [Google Scholar] [CrossRef]
  41. Zhang, Z.; Zhang, Y.L.; Shi, Y.; Yu, Z.W. Optimized split nitrogen fertilizer increase photosynthesis, grain yield, nitrogen use efficiency and water use efficiency under water-saving irrigation. Sci. Rep. 2020, 10, 20310. [Google Scholar] [CrossRef]
  42. Zhong, C.; Cao, X.C.; Bai, Z.G.; Zhang, J.H.; Zhu, L.F.; Huang, J.L.; Jin, Q.Y. Nitrogen metabolism correlates with the acclimation of photosynthesis to short-term water stress in rice (Oryza sativa L.). Plant. Physiol. Biochem. 2018, 125, 52–62. [Google Scholar] [CrossRef] [PubMed]
  43. Xu, G.W.; Lu, D.K.; Wang, H.Z.; Li, Y.J. Morphological and physiological traits of rice roots and their relationships to yield and nitrogen utilization as influenced by irrigation regime and nitrogen rate. Agric. Water Manag. 2018, 203, 385–394. [Google Scholar] [CrossRef]
  44. Bhuiyan, M.K.A.; Bhuiya, S.U.; Saleque, M.A.; Khatun, A. Nitrogen application in direct wet-seeded rice under alternate wetting and drying irrigation condition: Effects on grain yield, dry matter production, nitrogen uptake and nitrogen use efficiencies. J. Plant. Nutr. 2017, 40, 2477–2493. [Google Scholar] [CrossRef]
  45. Sun, Y.J.; Yan, F.J.; Sun, Y.Y.; Xu, H.; Guo, X.; Yang, Z.Y.; Yin, Y.Z.; Guo, C.C.; Ma, J. Effects of different water regimes and nitrogen application strategies on grain filling characteristics and grain yield in hybrid rice. Arch. Agron. Soil Sci. 2018, 64, 1152–1171. [Google Scholar] [CrossRef]
  46. Sun, Y.J.; Ma, J.; Sun, Y.Y.; Xu, H.; Yang, Z.Y.; Liu, S.J.; Jia, X.W.; Zheng, H.Z. The effects of different water and nitrogen managements on yield and nitrogen use efficiency in hybrid rice of China. Field Crops Res. 2012, 127, 85–98. [Google Scholar] [CrossRef]
  47. Aziz, O.; Bin, L.; Imtiaz, M.; Chen, J.; He, Y.; Lin, L.; Ali, S.; Riaz, M.; Mehmood, S.; Rizwan, M.; et al. Irrigation methods affect water productivity, grain yield, and growth responses of rice at different levels of nitrogen. J. Soil Water Conserv. 2018, 73, 329–336. [Google Scholar] [CrossRef]
  48. He, H.B.; Yang, R.; Jia, B.; Chen, L.; Fan, H.; Cui, J.; Yang, D.; Li, M.L.; Ma, F.Y. Rice Photosynthetic Productivity and PSII Photochemistry under Nonflooded Irrigation. Sci. World J. 2014, 2014, 839658. [Google Scholar] [CrossRef]
  49. Nguyen, T.T.N.; Wallace, H.M.; Xu, C.Y.; Xu, Z.H.; Farrar, M.B.; Joseph, S.; Van Zwieten, L.; Bai, S.H. Short-term effects of organo-mineral biochar and organic fertilisers on nitrogen cycling, plant photosynthesis, and nitrogen use efficiency. J. Soil Sediment. 2017, 17, 2763–2774. [Google Scholar] [CrossRef]
  50. Vu, D.H.; Stuerz, S.; Asch, F. Nutrient uptake and assimilation under varying day and night root zone temperatures in lowland rice. J. Plant Nutr. Soil Sci. 2020, 183, 602–614. [Google Scholar] [CrossRef]
  51. Jafarikouhini, N.; Kazemeini, S.A.; Sinclair, T.R. Sweet corn nitrogen accumulation, leaf photosynthesis rate, and radiation use efficiency under variable nitrogen fertility and irrigation. Field Crops Res. 2020, 257, 107913. [Google Scholar] [CrossRef]
  52. Pan, J.F.; Liu, Y.Z.; Zhong, X.H.; Lampayan, R.M.; Singleton, G.R.; Huang, N.R.; Liang, K.M.; Peng, B.L.; Tian, K. Grain yield, water productivity and nitrogen use efficiency of rice under different water management and fertilizer-N inputs in South China. Agric. Water Manag. 2017, 184, 191–200. [Google Scholar] [CrossRef]
  53. Goyal, V.; Singh, A.K.; Mishra, A.K.; Parihar, S.S. Integrated effect of water regimes and nitrogen levels on productivity of transplanted rice (Oryza sativa) and wheat (Triticum aestivum) under rice-wheat cropping system: Field and simulation study. Indian J. Agric. Sci. 2018, 88, 54–62. [Google Scholar]
  54. Wang, Z.Q.; Gu, D.J.; Beebout, S.S.; Zhang, H.; Liu, L.J.; Yang, J.C.; Zhang, J.H. Effect of irrigation regime on grain yield, water productivity, and methane emissions in dry direct-seeded rice grown in raised beds with wheat straw incorporation. Crops J. 2018, 6, 495–508. [Google Scholar] [CrossRef]
Figure 1. Grain yield in early (a) and late (b) seasons in 2018, and in early (c) and late (d) seasons in 2019. Different lowercase letters denote statistical differences between treatments of each season according to LSD test (0.05). (n = 5, standard error of five replications).
Figure 1. Grain yield in early (a) and late (b) seasons in 2018, and in early (c) and late (d) seasons in 2019. Different lowercase letters denote statistical differences between treatments of each season according to LSD test (0.05). (n = 5, standard error of five replications).
Agronomy 12 01190 g001
Figure 2. Total dry weight in different growth stages in early (a) and late (b) seasons in 2018, and in early (c) and late (d) seasons in 2019. TS, tillering stage; BS, booting stage; HS, heading stage; GS, grain filling stage; MS, mature stage.
Figure 2. Total dry weight in different growth stages in early (a) and late (b) seasons in 2018, and in early (c) and late (d) seasons in 2019. TS, tillering stage; BS, booting stage; HS, heading stage; GS, grain filling stage; MS, mature stage.
Agronomy 12 01190 g002
Figure 3. Net photosynthesis rates(Pn) in different growth stages in early (1a) and late (1b) seasons in 2018, and in early (1c) and late (1d) seasons in 2019, transpiration rate(Tr) in different growth stages in early (2a) and late (2b) seasons in 2018, and in early (2c) and late (2d) seasons in 2019, intercellular CO2 concentration (Ci) in different growth stages in early (3a) and late (3b) seasons in 2018, and in early (3c) and late (3d) seasons in 2019, and stomatal conductance(gs) in different growth stages in early (4a) and late (4b) seasons in 2018, and in early (4c) and late (4d) seasons in 2019. HS, heading stage; GS, grain filling stage. Different lowercase letters denote statistical differences between treatments according to LSD test (0.05).
Figure 3. Net photosynthesis rates(Pn) in different growth stages in early (1a) and late (1b) seasons in 2018, and in early (1c) and late (1d) seasons in 2019, transpiration rate(Tr) in different growth stages in early (2a) and late (2b) seasons in 2018, and in early (2c) and late (2d) seasons in 2019, intercellular CO2 concentration (Ci) in different growth stages in early (3a) and late (3b) seasons in 2018, and in early (3c) and late (3d) seasons in 2019, and stomatal conductance(gs) in different growth stages in early (4a) and late (4b) seasons in 2018, and in early (4c) and late (4d) seasons in 2019. HS, heading stage; GS, grain filling stage. Different lowercase letters denote statistical differences between treatments according to LSD test (0.05).
Agronomy 12 01190 g003
Figure 4. Nitrate reductase activity in different growth stages in early (a) and late (b) seasons in 2018, and in early (c) and late (d) seasons in 2019. TS, tillering stage; BS, booting stage; HS, heading stage; GS, grain filling stage.
Figure 4. Nitrate reductase activity in different growth stages in early (a) and late (b) seasons in 2018, and in early (c) and late (d) seasons in 2019. TS, tillering stage; BS, booting stage; HS, heading stage; GS, grain filling stage.
Agronomy 12 01190 g004
Table 1. The climate conditions by crop growth stages for the early- and late-season rice in 2018 and 2019.
Table 1. The climate conditions by crop growth stages for the early- and late-season rice in 2018 and 2019.
Year SeasonMin TMax TRADADR
Transplanting to Panicle initiation
2018Early18.2 26.7 14.2 5.9
Late27.3 36.1 21.0 1.2
2019Early16.6 26.3 15.0 6.8
Late24.6 31.9 14.0 1.4
Panicle initiation to Flowering
2018Early22.7 30.3 16.3 8.6
Late23.1 31.3 15.6 0.8
2019Early22.8 30.7 15.3 10.2
Late23.1 31.7 13.6 0.5
Flowering to Maturity
2018Early25.7 32.5 15.2 9.2
Late14.1 25.8 11.6 2.2
2019Early24.1 30.3 12.6 11.0
Late17.2 27.2 12.4 3.6
Transplanting to Maturity
2018Early22.2 29.8 15.2 7.9
Late21.5 31.1 16.0 1.4
2019Early21.1 29.1 14.3 9.3
Late21.6 30.3 13.3 1.8
Average daily minimum temperature (Min T, °C), average daily maximum temperature (Max T, °C), average daily solar radiation (RAD, MJ m−2 day−1), and average daily rainfall (ADR, mm day−1) for each growing period.
Table 2. Application amount of early-season rice and late-season rice treated with nitrogen (kg ha−2).
Table 2. Application amount of early-season rice and late-season rice treated with nitrogen (kg ha−2).
TreatmentESRLSR
D100
D2112.5135
D3150.0180
D4187.5225
ESR represents early-season rice, and LSR represents late-season rice.
Table 3. Effect of nitrogen application and irrigation method on yield components.
Table 3. Effect of nitrogen application and irrigation method on yield components.
Year aSeasonTreatmentPanicles Number (×104 ha−1)Spikelets per PanicleSpikelet Filling (%)1000-Grain Weight (g)
2018EarlyG1D1231.3 bcd117.8 de78.5 a27.1 a
G1D2242.8 abc125.0 c81.3 a27.7 a
G1D3258.6 a134.2 b78.8 a27.9 a
G1D4251.1 ab140.1 a77.7 a28.0 a
G2D1221.4 d105.3 f79.0 a27.1 a
G2D2229.8 cd112.5 e80.6 a27.6 a
G2D3243.4 abc121.8 cd78.4 a27.4 a
G2D4248.8 abc125.4 c77.2 a27.9 a
LateG1D1241.1 bcd165.3 f77.8 ab26.2 bc
G1D2251.7 abc174.2 de78.3 a26.9 ab
G1D3269.3 a187.9 a76.8 ab26.3 bc
G1D4260.2 ab180.7 bc75.9 ab26.0 bc
G2D1215.8 e163.8 f76.3 ab26.0 bc
G2D2224.9 de171.3 e74.6 ab26.6 abc
G2D3244.2 bcd182.9 ab74.3 ab27.7 a
G2D4233.2 cde177.0 cd74.0 b25.3 c
2019EarlyG1D1257.4 de110.1 c77.4 a27.9 a
G1D2223.2 e114.3 bc79.4 a28.2 a
G1D3281.1 ab123.3 a76.6 a28.0 a
G1D4289.3 a119.0 ab76.2 a28.0 a
G2D1249.7 de108.8 c76.4 a27.8 a
G2D2261.0 cd111.9 c77.7 a28.1 a
G2D3271.2 abc118.9 ab80.3 a28.0 a
G2D4283.2 ab113.0 bc76.3 a28.2 a
LateG1D1279.2 de124.6 ef81.0 a26.4 ab
G1D2320.1 b132.2 cd82.8 a26.7 ab
G1D3330.6 a141.9 b82.0 a27.1 ab
G1D4314.8 ab148.1 a81.5 a26.0 ab
G2D1267.4 e121.2 f80.2 a26.4 ab
G2D2309.0 bc127.8 de80.2 a25.9 b
G2D3305.2 bc136.2 c79.1 a26.8 ab
G2D4292.5 d142.8 ab78.9 a26.4 ab
a Within a column for each season and year, means followed by the same letters are not significantly different according to LSD (0.05).
Table 4. Effect of nitrogen application and irrigation method on nitrogen uptake and use efficiency.
Table 4. Effect of nitrogen application and irrigation method on nitrogen uptake and use efficiency.
Year SeasonTreatmentNDENGENHIAENREPFPPE
(kg kg−1)(kg kg−1)(%)(kg kg−1)%(kg kg−1)(kg kg−1)
2018earlyG1D1161.5 a96.6 a77.3 a
G1D2120.2 c77.3 b70.2 b13.9 a41.6 c60.8 a31.59 a
G1D3108.7 d65.2 d64.5 c9.5 b51.7 a49.3 b24.33 b
G1D490.1 e58.9 e56.7 de7.6 c43.7 c41.2 c19.18 c
G2D1151.5 b93.2 a76.4 a
G2D2117.6 c72.5 c69.9 b13.3 a46.5 b59.5 a30.62 a
G2D3106.7 d65.1 d61.8 cd10.1 b49.1 a50.4 b25.16 b
G2D491.3 e54.8 f55.1 e6.8 c44.5 bc38.8 c18.95 c
lateG1D1142.6 a86.7 a75.6 a
G1D2110.3 b73.5 b68.3 b19.8 a42.3 c68.3 a35.22 a
G1D3100.9 c63.3 c61.7 c15.3 b49.7 a52.9 b31.14 b
G1D496.6 d56.9 d53.3 d12.9 c42.942.4 c26.15 c
G2D1139.6 a84.2 a75.3 a
G2D2116.4 b73.2 b66.6 b20.6 a44.3 bc67.6 a36.19 a
G2D3103.2 c66.6 c60.7 c16.8 b46.5 b52.8 b30.19 b
G2D494.8 d57.4 d53.2 d13.3 c41 c40.1 c27.71 c
2019earlyG1D1163.9 a90.4 a80.1 a
G1D2110.3 c78.1 c72.6 b18.3 a39.2 bc60.8 a40.66 a
G1D397.1 d62.2 e66.3 c14.9 b45.6 a49.3 b38.59 a
G1D482.3 e56.9 f60.1 d12.7 c41.3 b41.2 c30.63 c
G2D1148.4 b85.6 b80.8 a
G2D2107.6 c70.5 d73.5 b19.5 a36.7 c59.5 a35.68 b
G2D396.7 c58.3 f65.8 c15.3 b47.1 a50.4 b33.27 b
G2D479.6 e57.8 f59.5 d12.9 c41.5 b38.8 c28.71 c
lateG1D1138.7 a84.9 a79.6 a
G1D2102.3 b70.7 b73.3 b19.8 a35.6 c68.3 a45.33 a
G1D396.5 c58.8 c63.7 d15.3 b42.3 a52.9 b40.19 b
G1D478.4 d52.1 d55.3 e12.9 c38.7 b42.4 c34.26 c
G2D1135.1 a83.6 a76.3 ab
G2D2105.2 b68.3 b68.9 c20.6 a40.3 ab67.6 a46.27 a
G2D393.3 c56.2 c63.1 d16.8 b42.5 a52.8 b39.67 b
G2D478.8 d54.5 d56.4 e13.3 c40.2 ab40.1 c35.16 c
Within a column for each season and year, means followed by the same letters are not significantly different according to LSD (0.05). NDE, nitrogen dry matter production efficiency; NGE, nitrogen grain production efficiency; NHI, nitrogen harvest index; AE, agronomic nitrogen use efficiency; NRE, nitrogen recovery efficiency; PFP, partial factor productivity of applied fertilizer nitrogen; PE, physiological nitrogen use efficiency.
Publisher’s Note: MDPI stays neutral with regard to jurisdictional claims in published maps and institutional affiliations.

Share and Cite

MDPI and ACS Style

Zhu, H.; Zhang, T.; Zhang, C.; He, X.; Shi, A.; Tan, W.; Yi, Z.; Wang, X. Optimizing Irrigation and Nitrogen Management to Increase Yield and Nitrogen Recovery Efficiency in Double-Cropping Rice. Agronomy 2022, 12, 1190. https://doi.org/10.3390/agronomy12051190

AMA Style

Zhu H, Zhang T, Zhang C, He X, Shi A, Tan W, Yi Z, Wang X. Optimizing Irrigation and Nitrogen Management to Increase Yield and Nitrogen Recovery Efficiency in Double-Cropping Rice. Agronomy. 2022; 12(5):1190. https://doi.org/10.3390/agronomy12051190

Chicago/Turabian Style

Zhu, Haijun, Ting Zhang, Chunlan Zhang, Xiaoe He, Ailong Shi, Weijian Tan, Zhenxie Yi, and Xuehua Wang. 2022. "Optimizing Irrigation and Nitrogen Management to Increase Yield and Nitrogen Recovery Efficiency in Double-Cropping Rice" Agronomy 12, no. 5: 1190. https://doi.org/10.3390/agronomy12051190

APA Style

Zhu, H., Zhang, T., Zhang, C., He, X., Shi, A., Tan, W., Yi, Z., & Wang, X. (2022). Optimizing Irrigation and Nitrogen Management to Increase Yield and Nitrogen Recovery Efficiency in Double-Cropping Rice. Agronomy, 12(5), 1190. https://doi.org/10.3390/agronomy12051190

Note that from the first issue of 2016, this journal uses article numbers instead of page numbers. See further details here.

Article Metrics

Back to TopTop