Relationship between Freezing Tolerance and Leaf Growth during Acclimation in Winter Wheat
Abstract
:1. Introduction
2. Materials and Methods
2.1. Plant Material, Experimental Set-Up and Phenotyping Procedures
2.2. Meteorological Conditions
2.3. Freezing Tolerance Test under Controlled Environment
2.4. Statistical Analysis
3. Results
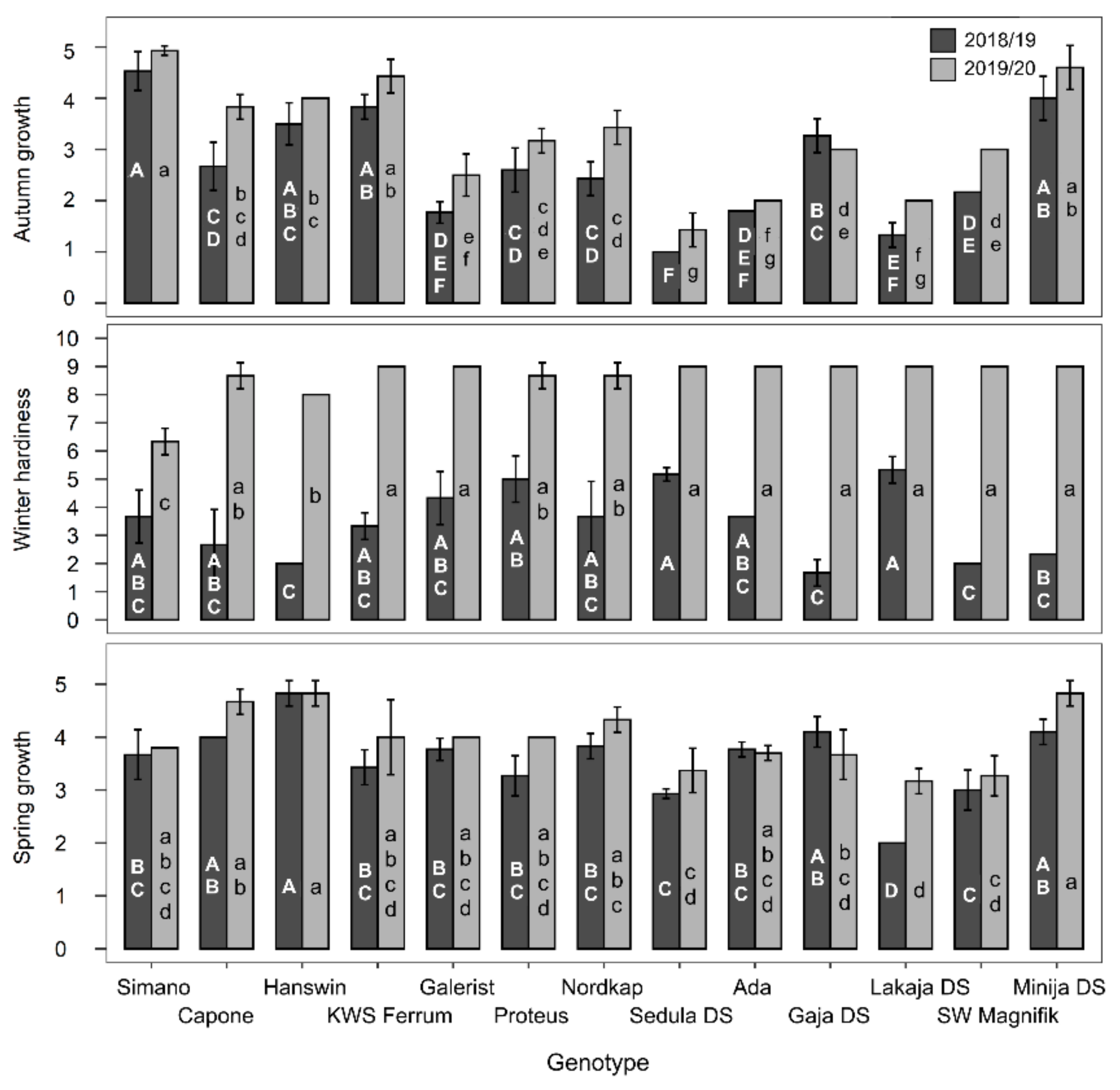
3.1. Growth during Acclimation and Winter Hardiness under Field Conditions
3.2. Leaf Elongation Measurements
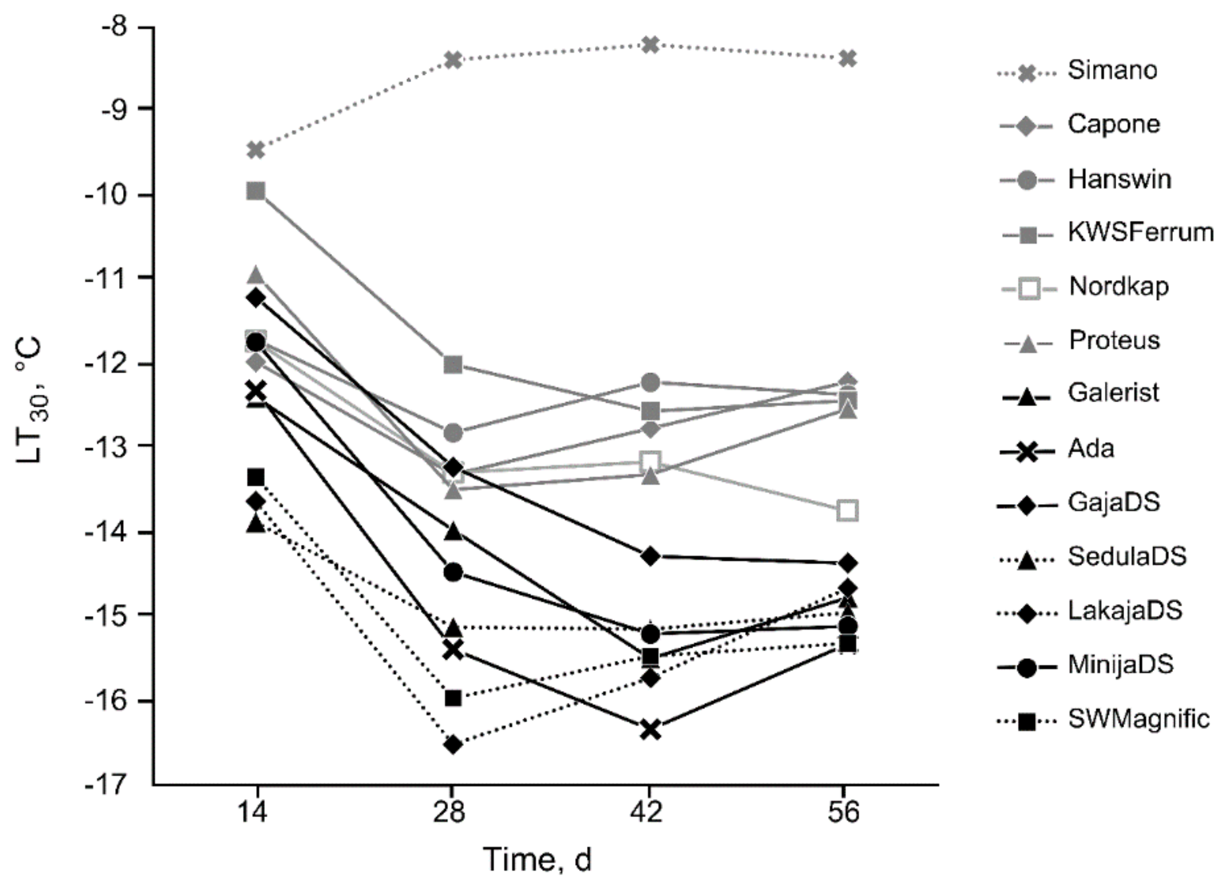
3.3. Freezing Tolerance Test
4. Discussion
Supplementary Materials
Author Contributions
Funding
Institutional Review Board Statement
Informed Consent Statement
Data Availability Statement
Acknowledgments
Conflicts of Interest
References
- Meier, H.E.M.; Kniebusch, M.; Dieterich, C.; Gröger, M.; Zorita, E.; Elmgren, R.; Myrberg, K.; Ahola, M.; Bartosova, A.; Bonsdorff, E.; et al. Climate Change in the Baltic Sea Region: A Summary. Earth Syst. Dyn. Discuss. 2022, 13, 457–593. [Google Scholar] [CrossRef]
- Uleberg, E.; Hanssen-Bauer, I.; van Oort, B.; Dalmannsdottir, S. Impact of climate change on agriculture in Northern Norway and potential strategies for adaptation. Clim. Change 2014, 122, 27–39. [Google Scholar] [CrossRef]
- Wiréhn, L. Nordic agriculture under climate change: A systematic review of challenges, opportunities and adaptation strategies for crop production. Land Use Policy 2018, 77, 63–74. [Google Scholar] [CrossRef]
- Xin, Z.; Browse, J. Cold comfort farm: The acclimation of plants to freezing temperatures. Plant Cell Environ. 2000, 23, 893–902. [Google Scholar] [CrossRef]
- Larsen, A. Breeding winter hardy grasses. Euphytica 1994, 77, 231–237. [Google Scholar] [CrossRef]
- Helgadóttir, Á.; Aavola, R.; Isolahti, M.; Marum, P.; Persson, C.; Aleliūnas, A.; Brazauskas, G.; Krisjánsdóttir, T.A.; Asp, T.; Rognli, O.A. Adaptability and phenotypic stability of Lolium perenne L. cultivars of diverse origin grown at the margin of the species distribution. J. Agron. Crop. Sci. 2018, 204, 493–504. [Google Scholar] [CrossRef]
- Shi, Y.; Ding, Y.; Yang, S. Molecular Regulation of CBF Signaling in Cold Acclimation. Trends Plant Sci. 2018, 23, 623–637. [Google Scholar] [CrossRef]
- Thomashow, M.F. Plant Cold Acclimation: Freezing Tolerance Genes and Regulatory Mechanisms. Annu. Rev. Plant Physiol. Plant Mol. Biol. 1999, 50, 571–599. [Google Scholar] [CrossRef] [Green Version]
- Ding, Y.; Shi, Y.; Yang, S. Advances and challenges in uncovering cold tolerance regulatory mechanisms in plants. New Phytol. 2019, 222, 1690–1704. [Google Scholar] [CrossRef] [Green Version]
- Levitt, J. Responses of Plants to Environmental Stresses (Physiological Ecology): Chilling, Freezing, and High Temperature Stresses, 2nd ed.; Academic Press: London, UK, 1980; p. 607. [Google Scholar]
- Aleliūnas, A.; Jaškūnė, K.; Statkevičiūtė, G.; Vaitkevičiūtė, G.; Brazauskas, G.; Armonienė, R. Transcriptome changes triggered by a short-term low temperature stress in winter wheat. Zemdirbyste 2020, 107, 329–336. [Google Scholar] [CrossRef]
- Fowler, D.B.; Limin, A.E. Interactions among factors regulating phenological development and acclimation rate determine low-temperature tolerance in wheat. Ann. Bot. 2004, 94, 717–724. [Google Scholar] [CrossRef] [Green Version]
- Ohno, R.; Takumi, S.; Nakamura, C. Expression of a cold-responsive LT-Cor gene and development of freezing tolerance during cold acclimation in wheat (Triticum aestivum L.). J. Exp. Bot. 2001, 52, 2367–2374. [Google Scholar] [CrossRef] [Green Version]
- Abeynayake, S.W.; Etzerodt, T.P.; Jonavičienė, K.; Byrne, S.; Asp, T.; Boelt, B. Fructan metabolism and changes in fructan composition during cold acclimation in perennial ryegrass. Front. Plant Sci. 2015, 6, 329. [Google Scholar] [CrossRef] [Green Version]
- Jonavičienė, K.; Abeynayake, S.; Brazauskas, G.; Asp, T. Validation of candidate genes expression profiles during cold acclimation and freezing in perennial ryegrass. In Quantitative Traits Breeding for Multifunctional Grasslands and Turf; Sokolović, D., Huyghe, C., Radović, J., Eds.; Springer Science and Business Media: Berlin/Heidelberg, Germany, 2014; pp. 273–278. ISBN 9789401790444. [Google Scholar]
- Rapacz, M. The effects of day and night temperatures during early growth of winter oilseed rape (Brassica napus L. var. oleifera cv. Górczański) seedlings on their morphology and cold acclimation responses. Acta Physiol. Plant. 1998, 20, 67–72. [Google Scholar] [CrossRef]
- Rapacz, M.; Ergon, Å.; Höglind, M.; Jørgensen, M.; Jurczyk, B.; Østrem, L.; Rognli, O.A.; Tronsmo, A.M. Overwintering of herbaceous plants in a changing climate. Still more questions than answers. Plant Sci. 2014, 225, 34–44. [Google Scholar] [CrossRef]
- Fowler, D.B.; Limin, A.E.; Ritchie, J.T. Low-temperature tolerance in cereals: Model and genetic interpretation. Crop Sci. 1999, 39, 626–633. [Google Scholar] [CrossRef]
- Liu, L.; Ji, H.; An, J.; Shi, K.; Ma, J.; Liu, B.; Tang, L.; Cao, W.; Zhu, Y. Response of biomass accumulation in wheat to low-temperature stress at jointing and booting stages. Environ. Exp. Bot. 2019, 157, 46–57. [Google Scholar] [CrossRef]
- Bergjord, A.K.; Bonesmo, H.; Skjelvåg, A.O. Modelling the course of frost tolerance in winter wheat: I. Model development. Eur. J. Agron. 2008, 28, 321–330. [Google Scholar] [CrossRef]
- Østrem, L.; Rapacz, M.; Larsen, A.; Dalmannsdottir, S.; Jørgensen, M. Influences of growth cessation and photoacclimation on winter survival of non-native Lolium–Festuca grasses in high-latitude regions. Environ. Exp. Bot. 2015, 111, 21–31. [Google Scholar] [CrossRef] [Green Version]
- Nagelmüller, S.; Kirchgessner, N.; Yates, S.; Hiltpold, M.; Walter, A. Leaf Length Tracker: A novel approach to analyse leaf elongation close to the thermal limit of growth in the field. J. Exp. Bot. 2016, 67, 1897–1906. [Google Scholar] [CrossRef] [Green Version]
- Sadok, W.; Naudin, P.; Boussuge, B.; Muller, B.; Welcker, C.; Tardieu, F. Leaf growth rate per unit thermal time follows QTL-dependent daily patterns in hundreds of maize lines under naturally fluctuating conditions. Plant Cell Environ. 2007, 30, 135–146. [Google Scholar] [CrossRef]
- Yates, S.; Jaškūnė, K.; Liebisch, F.; Nagelmüller, S.; Kirchgessner, N.; Kölliker, R.; Walter, A.; Brazauskas, G.; Studer, B. Phenotyping a Dynamic Trait: Leaf Growth of Perennial Ryegrass under Water Limiting Conditions. Front. Plant Sci. 2019, 10, 1–9. [Google Scholar] [CrossRef]
- Körner, C. Paradigm shift in plant growth control. Curr. Opin. Plant Biol. 2015, 25, 107–114. [Google Scholar] [CrossRef]
- Voorend, W.; Lootens, P.; Nelissen, H.; Roldán-Ruiz, I.; Inzé, D.; Muylle, H. LEAF-E: A tool to analyze grass leaf growth using function fitting. Plant Methods 2014, 10, 37. [Google Scholar] [CrossRef] [Green Version]
- Østrem, L.; Rapacz, M.; Larsen, A.; Marum, P.; Rognli, O.A. Chlorophyll a Fluorescence and Freezing Tests as Selection Methods for Growth Cessation and Increased Winter Survival in ×Festulolium. Front. Plant Sci. 2018, 9, 1200. [Google Scholar] [CrossRef]
- Rapacz, M.; Markowski, A. Winter Hardiness, Frost Resistance and Vernalization Requirement of European Winter Oilseed Rape (Brassica napus var. oleifera) Cultivars within the Last 20 Years. J. Agron. Crop Sci. 1999, 183, 243–253. [Google Scholar] [CrossRef]
- Dalmannsdóttir, S.; Rapacz, M.; Jørgensen, M.; Østrem, L.; Larsen, A.; Rødven, R.; Rognli, O.A. Temperature Before Cold Acclimation Affects Cold Tolerance and Photoacclimation in Timothy (Phleum pratense L.), Perennial Ryegrass (Lolium perenne L.) and Red Clover (Trifolium pratense L.). J. Agron. Crop. Sci. 2015, 202, 320–330. [Google Scholar] [CrossRef]
- Hanslin, H.M.; Mortensen, L.M. Autumn growth and cold hardening of winter wheat under simulated climate change. Acta Agric. Scand. Sect. B Soil Plant Sci. 2010, 60, 437–449. [Google Scholar] [CrossRef]
- Davies, N.; Carena, M.J.; Rolston, P. Adapting forages to climate changes and lower environmental footprint. Agron. New Zealand 2020, 50, 1–13. [Google Scholar]
- Grieder, C.; Hund, A.; Walter, A. Image based phenotyping during winter: A powerful tool to assess wheat genetic variation in growth response to temperature. Funct. Plant Biol. 2015, 42, 387–396. [Google Scholar] [CrossRef]
- Metzger, M.J.; Shkaruba, A.D.; Jongman, R.H.G.; Bunce, R.G.H. Descriptions of the European Environmental Zones and Strata; Alterra: Wageningen, The Netherlands, 2012. [Google Scholar]
- Thorsen, S.M.; Höglind, M. Assessing winter survival of forage grasses in Norway under future climate scenarios by simulating potential frost tolerance in combination with simple agroclimatic indices. Agric. For. Meteorol. 2010, 150, 1272–1282. [Google Scholar] [CrossRef]
- Bélanger, G.; Rochette, P.; Castonguay, Y.; Bootsma, A.; Mongrain, D.; Ryan, D.A.J. Climate Change and Winter Survival of Perennial Forage Crops in Eastern Canada. Agron. J. 2002, 94, 1120–1130. [Google Scholar] [CrossRef]
- R Core Team. R: A Language and Environment for Statistical Computing; R Foundation for Statistical Computing: Vienna, Austria, 2021; Available online: https://www.R-project.org/ (accessed on 18 February 2022).
- Bates, D.; Mächler, M.; Bolker, B.; Walker, S. Fitting Linear Mixed-Effects Models Using lme4. J. Stat. Softw. 2015, 67, 1–48. [Google Scholar] [CrossRef]
- De Mendiburu, F.; Yaseen, M. Agricolae: Statistical Procedures for Agricultural Research; R Package Version 1.4.0; R Foundation for Statistical Computing: Vienna, Austria, 2020; Available online: https://cran.r-project.org/package=agricolae (accessed on 18 February 2022).
- Ripley, B.; Venables, B.; Bates, D.M.; Hornik, K.; Gebhardt, A.; Firth, D.; Ripley, M.B. Package ‘MASS’. CRAN Repos. 2013, 538, 113–120. [Google Scholar]
- Walter, A.; Scharr, H.; Gilmer, F.; Zierer, R.; Nagel, K.A.; Ernst, M.; Wiese, A.; Virnich, O.; Christ, M.M.; Uhlig, B.; et al. Dynamics of seedling growth acclimation towards altered light conditions can be quantified via GROWSCREEN: A setup and procedure designed for rapid optical phenotyping of different plant species. New Phytol. 2007, 174, 447–455. [Google Scholar] [CrossRef]
- Rajendran, K.; Tester, M.; Roy, S.J. Quantifying the three main components of salinity tolerance in cereals. Plant Cell Environ. 2009, 32, 237–249. [Google Scholar] [CrossRef]
- Jaškūnė, K.; Aleliūnas, A.; Statkevičiūtė, G.; Kemešytė, V.; Studer, B.; Yates, S. Genome-Wide Association Study to Identify Candidate Loci for Biomass Formation Under Water Deficit in Perennial Ryegrass. Front. Plant Sci. 2020, 11, 570204. [Google Scholar] [CrossRef]
- Jonavičienė, K.; Yates, S.; Nagelmüller, S.; Liebisch, F.; Kirchgessner, N.; Walter, A.; Brazauskas, G.; Studer, B. Real time growth analysis of perennial ryegrass. In Breeding in a World of Scarcity; Springer: Berlin/Heidelberg, Germany, 2016; pp. 105–110. [Google Scholar]
- Kronenberg, L.; Yates, S.; Boer, M.P.; Kirchgessner, N.; Walter, A.; Hund, A. Temperature response of wheat affects final height and the timing of stem elongation under field conditions. J. Exp. Bot. 2020, 72, 700–717. [Google Scholar] [CrossRef]
- Seefeldt, S.; Kidwell, K.; Waller, J. Base growth temperatures, germination rates and growth response of contemporary spring wheat (Triticum aestivum L.) cultivars from the US Pacific Northwest. Field. Crop. Res. 2002, 75, 47–52. [Google Scholar] [CrossRef]
- Parent, B.; Tardieu, F. Temperature responses of developmental processes have not been affected by breeding in different ecological areas for 17 crop species. New Phytol. 2012, 194, 760–774. [Google Scholar] [CrossRef]
- Limin, A.E.; Fowler, D.B. Developmental traits affecting low-temperature tolerance response in near-isogenic lines for the vernalization locus Vrn-A1 in wheat (Triticum aestivum L. em Thell). Ann. Bot. 2002, 89, 579–585. [Google Scholar] [CrossRef] [Green Version]
- Michel, S.; Löschenberger, F.; Hellinger, J.; Strasser, V.; Ametz, C.; Pachler, B.; Sparry, E.; Bürstmayr, H. Improving and Maintaining Winter Hardiness and Frost Tolerance in Bread Wheat by Genomic Selection. Front. Plant Sci. 2019, 10, 1–11. [Google Scholar] [CrossRef]
- Mahfoozi, S.; Limin, A.E.; Ahakpaz, F.; Roustaii, M.; Ketata, H.; Fowler, D.B. Regulation of low-temperature tolerance in barley under field conditions in northwest Iran. Can. J. Plant Sci. 2005, 85, 587–592. [Google Scholar] [CrossRef]
- Sieber, A.-N.; Würschum, T.; Longin, C.F.H. Evaluation of a semi-controlled test as a selection tool for frost tolerance in durum wheat (Triticum durum). Plant Breed. 2014, 133, 465–469. [Google Scholar] [CrossRef]
- Skinner, D.Z.; Garland-Campbell, K.A. The relationship of LT50 to prolonged freezing survival in winter wheat. Can. J. Plant Sci. 2008, 88, 885–889. [Google Scholar] [CrossRef] [Green Version]







| Cultivar | Country of Origin | IntLER-T | SlpLER-T (mm.h−1. °C) | Tb (°C) | R2 |
|---|---|---|---|---|---|
| Ada | Lithuania | −0.016 | 0.042 | 0.4 | 0.695 |
| Capone | Germany | −0.051 | 0.058 | 0.9 | 0.696 |
| KWS Ferrum | Germany | −0.054 | 0.063 | 0.9 | 0.787 |
| Gaja DS | Lithuania | −0.028 | 0.052 | 0.5 | 0.438 |
| Galerist | Germany | −0.021 | 0.046 | 0.5 | 0.754 |
| Hanswin | Switzerland | −0.064 | 0.061 | 1.1 | 0.715 |
| Lakaja DS | Lithuania | −0.007 | 0.037 | 0.2 | 0.748 |
| SW Magnifik | Sweden | −0.026 | 0.045 | 0.6 | 0.765 |
| Minija DS | Lithuania | −0.053 | 0.061 | 0.9 | 0.768 |
| Nordkap | Germany | −0.040 | 0.051 | 0.8 | 0.642 |
| Proteus | France | −0.024 | 0.048 | 0.5 | 0.674 |
| Sedula DS | Lithuania | −0.017 | 0.036 | 0.5 | 0.763 |
| Simano | Switzerland | −0.068 | 0.060 | 1.1 | 0.750 |
Publisher’s Note: MDPI stays neutral with regard to jurisdictional claims in published maps and institutional affiliations. |
© 2022 by the authors. Licensee MDPI, Basel, Switzerland. This article is an open access article distributed under the terms and conditions of the Creative Commons Attribution (CC BY) license (https://creativecommons.org/licenses/by/4.0/).
Share and Cite
Jaškūnė, K.; Armonienė, R.; Liatukas, Ž.; Statkevičiūtė, G.; Cesevičienė, J.; Brazauskas, G. Relationship between Freezing Tolerance and Leaf Growth during Acclimation in Winter Wheat. Agronomy 2022, 12, 859. https://doi.org/10.3390/agronomy12040859
Jaškūnė K, Armonienė R, Liatukas Ž, Statkevičiūtė G, Cesevičienė J, Brazauskas G. Relationship between Freezing Tolerance and Leaf Growth during Acclimation in Winter Wheat. Agronomy. 2022; 12(4):859. https://doi.org/10.3390/agronomy12040859
Chicago/Turabian StyleJaškūnė, Kristina, Rita Armonienė, Žilvinas Liatukas, Gražina Statkevičiūtė, Jurgita Cesevičienė, and Gintaras Brazauskas. 2022. "Relationship between Freezing Tolerance and Leaf Growth during Acclimation in Winter Wheat" Agronomy 12, no. 4: 859. https://doi.org/10.3390/agronomy12040859
APA StyleJaškūnė, K., Armonienė, R., Liatukas, Ž., Statkevičiūtė, G., Cesevičienė, J., & Brazauskas, G. (2022). Relationship between Freezing Tolerance and Leaf Growth during Acclimation in Winter Wheat. Agronomy, 12(4), 859. https://doi.org/10.3390/agronomy12040859

