Water Accounting and Productivity Analysis to Improve Water Savings of Nile River Basin, East Africa: From Accountability to Sustainability
Abstract
:1. Introduction
2. Materials and Methods
2.1. Study Area
2.2. Datasets
2.2.1. WaPOR Dataset
2.2.2. Climate Data
2.2.3. GRACE Dataset
2.2.4. Land Cover Pattern Data
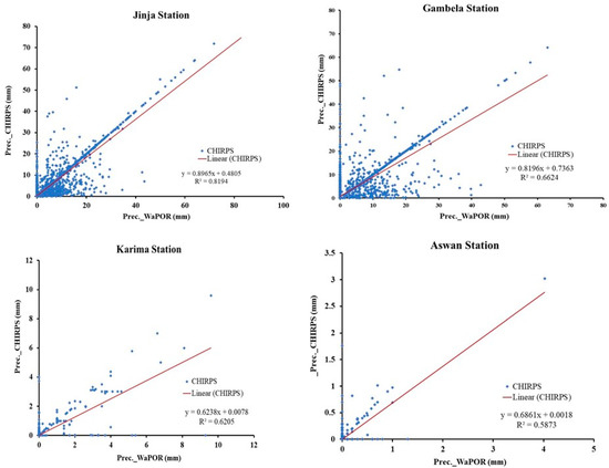
2.2.5. Data Validation
2.3. Methods
2.3.1. Description of Models
ETLook Model
AquaCrop Model
2.3.2. Hydrometeorological Trend Analysis
2.3.3. Climatic Water Deficit (CWD) Calculation
2.3.4. Water Balance Assessments
2.3.5. Water Accounting (WA) Approach
2.3.6. Crop Water Productivity and Water Use Efficiency Characterizations
3. Results
3.1. Long-Term Temporal Variability and Trends in Climatic Factors in the NRB
3.2. Estimation of Water Balance (WB) and Climatic Water Deficit (CWD) within the NRB
3.3. Seasonal Water Productivity and Yield of Major Crops
3.4. Correlation between Water Use Efficiency (WUE) and Crop Water Productivity (CWP) for Major Crops
3.5. Water Accounting and Saving Potential Analysis
4. Discussion
4.1. Variability and Trends in Hydro-Meteorological Factors
4.2. Water Balance and Climate Water Deficit
4.3. Situation of CWP and WUE under the Crop Yield
4.4. Water Accountings and Savings Potentialities
4.5. Limitations of the Study
4.6. Policy Implications and Future Directions
5. Conclusions
Author Contributions
Funding
Institutional Review Board Statement
Informed Consent Statement
Data Availability Statement
Acknowledgments
Conflicts of Interest
Appendix A
| Country | Station Name | Latitude | Longitude | Elevation | Time Recorded |
|---|---|---|---|---|---|
| ° N | ° E | m asl | Year | ||
| Uganda | Jinja | 0.45 | 33.15 | 1138.51 | 2009–2020 |
| Gambela | Ethiopia | 8.25 | 34.57 | 463.75 | 2009–2020 |
| Karima | Sudan | 18.55 | 31.85 | 308 | 2009–2020 |
| Aswan | Egypt | 23.97 | 32.78 | 463.75 | 2009–2020 |
References
- Kummu, M.; Guillaume, J.H.A.; de Moel, H.; Eisner, S.; Flörke, M.; Porkka, M.; Siebert, S.; Veldkamp, T.I.E.; Ward, P.J. The world’s road to water scarcity: Shortage and stress in the 20th century and pathways towards sustainability. Sci. Rep. 2016, 6, 38495. [Google Scholar] [CrossRef] [PubMed] [Green Version]
- Boretti, A.; Rosa, L. Reassessing the projections of the World Water Development Report. NPJ Clean Water 2019, 2, 15. [Google Scholar] [CrossRef]
- Mishra, B.K.; Kumar, P.; Saraswat, C.; Chakraborty, S.; Gautam, A. Water Security in a Changing Environment: Concept, Challenges and Solutions. Water 2021, 13, 490. [Google Scholar] [CrossRef]
- Alsharhan, A.S.; Rizk, Z.E. Challenges Facing Water Resources. In Water Resources and Integrated Management of the United Arab Emirates; Springer International Publishing: Cham, Switzerland, 2020; pp. 501–529. [Google Scholar]
- Oyebande, L. Water problems in Africa—How can the sciences help? Hydrol. Sci. J. 2001, 46, 947–962. [Google Scholar] [CrossRef] [Green Version]
- Searchinger, T.; Waite, R.; Hanson, C.; Ranganathan, J.; Dumas, P.; Matthews, E.; Klirs, C. Creating a Sustainable Food Future: A Menu of Solutions to Feed Nearly 10 Billion People by 2050; Final Report; WRI: Washington, DC, USA, 2019. [Google Scholar]
- UN. World Population Prospects: The 2015 Revision: Key Findings and Advance Table; United Nations: New York, NY, USA, 2015. [Google Scholar]
- Hirwa, H.; Zhang, Q.; Qiao, Y.; Peng, Y.; Leng, P.; Tian, C.; Khasanov, S.; Li, F.; Kayiranga, A.; Muhirwa, F.; et al. Insights on Water and Climate Change in the Greater Horn of Africa: Connecting Virtual Water and Water-Energy-Food-Biodiversity-Health Nexus. Sustainability 2021, 13, 6483. [Google Scholar] [CrossRef]
- Hunter, M.C.; Smith, R.G.; Schipanski, M.E.; Atwood, L.W.; Mortensen, D.A. Agriculture in 2050: Recalibrating Targets for Sustainable Intensification. BioScience 2017, 67, 386–391. [Google Scholar] [CrossRef] [Green Version]
- Molden, D.; Oweis, T.; Steduto, P.; Bindraban, P.; Hanjra, M.A.; Kijne, J. Improving agricultural water productivity: Between optimism and caution. Agric. Water Manag. 2010, 97, 528–535. [Google Scholar] [CrossRef]
- Kang, Y.; Khan, S.; Ma, X. Climate change impacts on crop yield, crop water productivity and food security—A review. Prog. Nat. Sci. 2009, 19, 1665–1674. [Google Scholar] [CrossRef]
- Momblanch, A.; Papadimitriou, L.; Jain, S.K.; Kulkarni, A.; Ojha, C.S.P.; Adeloye, A.J.; Holman, I.P. Untangling the water-food-energy-environment nexus for global change adaptation in a complex Himalayan water resource system. Sci. Total Environ. 2019, 655, 35–47. [Google Scholar] [CrossRef]
- Digna, R.F.; Mohamed, Y.A.; van der Zaag, P.; Uhlenbrook, S.; Corzo, G.A. Nile River Basin modelling for water resources management—A literature review. Int. J. River Basin Manag. 2017, 15, 39–52. [Google Scholar] [CrossRef]
- UNEP-WCMC. Global Drylands: A UN System-Wide Response; United Nations Environment Management Group: Nairobi, Kenya, 2011. [Google Scholar]
- Fadong, L.; Peifang, L.; Qiuying, Z.; Shuai, S.; Yunfeng, Q.; Congke, G.; Qian, Z.; Liang, W.; Balehegn, M.; Mojo, D.; et al. Understanding Agriculture Production and Food Security in Ethiopia from the Perspective of China. J. Resour. Ecol. 2018, 9, 237–249. [Google Scholar]
- Siam, M.S.; Eltahir, E.A.B. Climate change enhances interannual variability of the Nile river flow. Nat. Clim. Chang. 2017, 7, 350–354. [Google Scholar] [CrossRef]
- Bender, M.V. Water Management in East Africa. In Oxford Research Encyclopedia of African History; Oxford University Press: Oxford, UK, 2019. [Google Scholar]
- Dirwai, T.L.; Kanda, E.K.; Senzanje, A.; Busari, T.I. Water resource management: IWRM strategies for improved water management. A systematic review of case studies of East, West and Southern Africa. PLoS ONE 2021, 16, e0236903. [Google Scholar] [CrossRef] [PubMed]
- Wheeler, K.G.; Basheer, M.; Mekonnen, Z.T.; Eltoum, S.O.; Mersha, A.; Abdo, G.M.; Zagona, E.A.; Hall, J.W.; Dadson, S.J. Cooperative filling approaches for the grand Ethiopian renaissance dam. Water Int. 2016, 41, 611–634. [Google Scholar] [CrossRef]
- Simonit, S.; Perrings, C. Sustainability and the value of the ‘regulating’ services: Wetlands and water quality in Lake Victoria. Ecol. Econ. 2011, 70, 1189–1199. [Google Scholar] [CrossRef]
- Swallow, B.M.; Sang, J.K.; Nyabenge, M.; Bundotich, D.K.; Duraiappah, A.K.; Yatich, T.B. Tradeoffs, synergies and traps among ecosystem services in the Lake Victoria basin of East Africa. Environ. Sci. Policy 2009, 12, 504–519. [Google Scholar] [CrossRef]
- Ruthenberg, H. Agricultural Development in Tanganyika; Springer: Berlin/Heidelberg, Germany, 2013; Volume 2. [Google Scholar]
- Teshome, B.W. Transboundary Water Cooperation in Africa: The Case of the Nile Basin Initiative (NBI). Altern. Turk. J. Int. Relat. 2008, 7, 34–43. [Google Scholar]
- Petrov, T.E. The Grand Ethiopian Renaissance Dam: Risk of Interstate Conflict on the Nile; Naval Postgraduate School: Monterey, CA, USA, 2018. [Google Scholar]
- Ndunda, E. Kenya: States to Sign Nile Accord Next Month; Standard, AllAfrica: Washington, DC, USA, 2006; Available online: https://allafrica.com/stories/200611201862.html (accessed on 18 January 2022).
- Ligate, F.; Ijumulana, J.; Ahmad, A.; Kimambo, V.; Irunde, R.; Mtamba, J.O.; Mtalo, F.; Bhattacharya, P. Groundwater resources in the East African Rift Valley: Understanding the geogenic contamination and water quality challenges in Tanzania. Sci. Afr. 2021, 13, e00831. [Google Scholar] [CrossRef]
- Mellor, J.E.; Watkins, D.W.; Mihelcic, J.R. Rural water usage in East Africa: Does collection effort really impact basic access? Waterlines 2012, 31, 215–225. [Google Scholar] [CrossRef] [Green Version]
- Hope, R.; Thomson, P.; Koehler, J.; Foster, T. Rethinking the economics of rural water in Africa. Oxf. Rev. Econ. Policy 2020, 36, 171–190. [Google Scholar] [CrossRef] [Green Version]
- Thompson, J.; Porras, I.T.; Wood, E.; Tumwine, J.K.; Mujwahuzi, M.R.; Katui-Katua, M.; Johnstone, N. Waiting at the tap: Changes in urban water use in East Africa over three decades. Environ. Urban. 2000, 12, 37–52. [Google Scholar] [CrossRef]
- Conway, D.; Allison, E.; Felstead, R.; Goulden, M. Rainfall variability in East Africa: Implications for natural resources management and livelihoods. Philos. Trans. R. Soc. A Math. Phys. Eng. Sci. 2005, 363, 49–54. [Google Scholar] [CrossRef] [PubMed]
- Kimaro, J. A Review on Managing Agroecosystems for Improved Water Use Efficiency in the Face of Changing Climate in Tanzania. Adv. Meteorol. 2019, 2019, 9178136. [Google Scholar] [CrossRef] [Green Version]
- Mo, F.; Wang, J.-Y.; Li, F.-M.; Nguluu, S.N.; Ren, H.-X.; Zhou, H.; Zhang, J.; Kariuki, C.W.; Gicheru, P.; Kavagi, L.; et al. Yield-phenology relations and water use efficiency of maize (Zea mays L.) in ridge-furrow mulching system in semiarid east African Plateau. Sci. Rep. 2017, 7, 3260. [Google Scholar] [CrossRef] [PubMed] [Green Version]
- Hengsdijk, H.; Smit, A.A.M.F.R.; Conijn, J.G.; Rutgers, B.; Biemans, H. Agricultural Crop Potentials and Water Use in East Africa; Plant Research International, Business Unit Agrosystems Research: Wageningen, The Netherlands, 2014. [Google Scholar]
- Chukalla, A.D.; Mul, M.L.; van der Zaag, P.; van Halsema, G.; Mubaya, E.; Muchanga, E.; den Besten, N.; Karimi, P. A Framework for Irrigation Performance Assessment Using WaPOR data: The case of a Sugarcane Estate in Mozambique. Hydrol. Earth Syst. Sci. Discuss. 2021, preprint. [Google Scholar] [CrossRef]
- Jha, A.K.; Malla, R.; Sharma, M.; Panthi, J.; Lakhankar, T.; Krakauer, N.Y.; Pradhanang, S.M.; Dahal, P.; Shrestha, M.L. Impact of Irrigation Method on Water Use Efficiency and Productivity of Fodder Crops in Nepal. Climate 2016, 4, 4. [Google Scholar] [CrossRef] [Green Version]
- Hong, N.B.; Yabe, M. Improvement in irrigation water use efficiency: A strategy for climate change adaptation and sustainable development of Vietnamese tea production. Environ. Dev. Sustain. 2017, 19, 1247–1263. [Google Scholar] [CrossRef]
- Pawlak, K.; Kołodziejczak, M. The Role of Agriculture in Ensuring Food Security in Developing Countries: Considerations in the Context of the Problem of Sustainable Food Production. Sustainability 2020, 12, 5488. [Google Scholar] [CrossRef]
- Eldardiry, H.; Hossain, F. Understanding reservoir operating rules in the transboundary nile river basin using macroscale hydrologic modeling with satellite measurements. J. Hydrometeorol. 2019, 20, 2253–2269. [Google Scholar] [CrossRef]
- Akurut, M.; Willems, P.; Niwagaba, C.B. Potential Impacts of Climate Change on Precipitation over Lake Victoria, East Africa, in the 21st Century. Water 2014, 6, 2634–2659. [Google Scholar] [CrossRef] [Green Version]
- Senay, G.B.; Velpuri, N.M.; Bohms, S.; Demissie, Y.; Gebremichael, M. Understanding the hydrologic sources and sinks in the Nile Basin using multisource climate and remote sensing data sets. Water Resour. Res. 2014, 50, 8625–8650. [Google Scholar] [CrossRef]
- Ainsworth, R.; Cowx, I.G.; Funge-Smith, S. A Review of Major River Basins and Large Lakes Relevant to Inland Fisheries; FAO Fisheries and Aquaculture Circular, No. 1170; FAO: Rome, Italy, 2021. [Google Scholar] [CrossRef]
- Barnes, J. The future of the Nile: Climate change, land use, infrastructure management, and treaty negotiations in a transboundary river basin. WIREs Clim. Chang. 2017, 8, e449. [Google Scholar] [CrossRef]
- Verdin, K. Hydrologic Derivatives for Modeling and Applications (HDMA) Database: US Geological Survey Data Release; US Geological Survey: Reston, VA, USA, 2017. [CrossRef]
- Awulachew, S.B. The Nile River Basin: Water, Agriculture, Governance and Livelihoods; Routledge: London, UK, 2012. [Google Scholar]
- Bouraoui, F.; Grizzetti, B.; Aloe, A. Estimation of water fluxes into the Mediterranean Sea. J. Geophys. Res. Atmos. 2010, 115, 1–12. [Google Scholar] [CrossRef]
- Tate, E.L.; Sene, K.J.; Sutcliffe, J.V. A water balance study of the upper White Nile basin flows in the late nineteenth century. Hydrol. Sci. J. 2001, 46, 301–318. [Google Scholar] [CrossRef] [Green Version]
- Dile, Y.T.; Tekleab, S.; Ayana, E.K.; Gebrehiwot, S.G.; Worqlul, A.W.; Bayabil, H.K.; Yimam, Y.T.; Tilahun, S.A.; Daggupati, P.; Karlberg, L. Advances in water resources research in the Upper Blue Nile basin and the way forward: A review. J. Hydrol. 2018, 560, 407–423. [Google Scholar] [CrossRef]
- Coffel, E.D.; Keith, B.; Lesk, C.; Horton, R.M.; Bower, E.; Lee, J.; Mankin, J.S. Future Hot and Dry Years Worsen Nile Basin Water Scarcity Despite Projected Precipitation Increases. Earth’s Future 2019, 7, 967–977. [Google Scholar] [CrossRef] [Green Version]
- Camberlin, P. Climate of Eastern Africa. In Oxford Research Encyclopedia of Climate Science; Oxford University Press: Oxford, UK, 2018. [Google Scholar] [CrossRef]
- MacDonald, A.; Calow, R. Developing groundwater for secure rural water supplies in Africa. Desalination 2009, 248, 546–556. [Google Scholar] [CrossRef] [Green Version]
- Powell, O.; Fensham, R. The history and fate of the Nubian Sandstone Aquifer springs in the oasis depressions of the Western Desert, Egypt. Hydrogeol. J. 2016, 24, 395–406. [Google Scholar] [CrossRef]
- Bravard, J.-P.; Mostafa, A.; Garcier, R.; Tallet, G.; Ballet, P.; Chevalier, Y.; Tronchère, H. Rise and Fall of an Egyptian Oasis: Artesian Flow, Irrigation Soils, and Historical Agricultural Development in El-Deir, Kharga Depression, Western Desert of Egypt. Geoarchaeology 2016, 31, 467–486. [Google Scholar] [CrossRef]
- Mancosu, N.; Snyder, R.L.; Kyriakakis, G.; Spano, D. Water Scarcity and Future Challenges for Food Production. Water 2015, 7, 975–992. [Google Scholar] [CrossRef]
- Bucknall, J. Making the Most of Scarcity: Accountability for Better Water Management Results in the Middle East and North Africa; MENA Development Report; World Bank: Washington, DC, USA, 2007. [Google Scholar] [CrossRef]
- FAO. WaPOR Database Methodology: Version 2 Release, April 2020; FAO: Rome, Itay, 2020. [Google Scholar] [CrossRef]
- FAO. WaPOR, FAO’s Portal to Monitor Water Productivity through Open Access of Remotely Sensed Derived Data; FAO: Rome, Italy, 2020. [Google Scholar]
- FAO. WaPOR V2 Quality Assessment–Technical Report on the Data Quality of the WaPOR FAO Database Version 2; Food and Agriculture Organization of the United Nations: Rome, Italy, 2020; p. 89. [Google Scholar]
- Blatchford, M.; Mannaerts, C.M.; Zeng, Y.; Nouri, H.; Karimi, P. Influence of Spatial Resolution on Remote Sensing-Based Irrigation Performance Assessment Using WaPOR Data. Remote Sens. 2020, 12, 2949. [Google Scholar] [CrossRef]
- NBI. Nile Basin: Water Resources Atlas; Nile Basin Initiative Secretariat (Nile-SEC): Entebbe, Uganda, 2017. [Google Scholar]
- Dinku, T.; Funk, C.; Peterson, P.; Maidment, R.; Tadesse, T.; Gadain, H.; Ceccato, P. Validation of the CHIRPS satellite rainfall estimates over eastern Africa. Q. J. R. Meteorol. Soc. 2018, 144, 292–312. [Google Scholar] [CrossRef] [Green Version]
- Li, B.; Rodell, M.; Kumar, S.; Beaudoing, H.K.; Getirana, A.; Zaitchik, B.F.; de Goncalves, L.G.; Cossetin, C.; Bhanja, S.; Mukherjee, A.; et al. Global GRACE Data Assimilation for Groundwater and Drought Monitoring: Advances and Challenges. Water Resour. Res. 2019, 55, 7564–7586. [Google Scholar] [CrossRef] [Green Version]
- Biancamaria, S.; Mballo, M.; Le Moigne, P.; Sanchez-Perez, J.-M.; Espitalier-Noël, G.; Grusson, Y.; Cakir, R.; Häfliger, V.; Barathieu, F.; Trasmonte, M.; et al. Total water storage variability from GRACE mission and hydrological models for a 50,000 km2 temperate watershed: The Garonne River basin (France). J. Hydrol. Reg. Stud. 2019, 24, 100609. [Google Scholar] [CrossRef]
- Di Gregorio, A. Land Cover Classification System: Classification Concepts. Software Version 3; FAO: Rome, Italy, 2016. [Google Scholar]
- Ahlqvist, O. In search of classification that supports the dynamics of science: The FAO Land Cover Classification System and proposed modifications. Environ. Plan. B Plan. Des. 2008, 35, 169–186. [Google Scholar] [CrossRef] [Green Version]
- Huntington, J.L.; Hegewisch, K.C.; Daudert, B.; Morton, C.G.; Abatzoglou, J.T.; McEvoy, D.J.; Erickson, T. Climate Engine: Cloud Computing and Visualization of Climate and Remote Sensing Data for Advanced Natural Resource Monitoring and Process Understanding. Bull. Am. Meteorol. Soc. 2017, 98, 2397–2410. [Google Scholar] [CrossRef]
- Bastiaanssen, W.; Cheema, M.; Immerzeel, W.; Miltenburg, I.; Pelgrum, H. Surface energy balance and actual evapotranspiration of the transboundary Indus Basin estimated from satellite measurements and the ETLook model. Water Resour. Res. 2012, 48, W115112. [Google Scholar] [CrossRef] [Green Version]
- Monteith, J.L. Evaporation and environment. In Symposia of the Society for Experimental Biology; Cambridge University Press (CUP): Cambridge, UK, 1965; Volume 19, pp. 205–234. [Google Scholar]
- Foster, T.; Brozović, N.; Butler, A.; Neale, C.; Raes, D.; Steduto, P.; Fereres, E.; Hsiao, T.C. AquaCrop-OS: An open-source version of FAO’s crop water productivity model. Agric. Water Manag. 2017, 181, 18–22. [Google Scholar] [CrossRef]
- Vanuytrecht, E.; Raes, D.; Steduto, P.; Hsiao, T.C.; Fereres, E.; Heng, L.K.; Garcia Vila, M.; Mejias Moreno, P. AquaCrop: FAO’s crop water productivity and yield response model. Environ. Model. Softw. 2014, 62, 351–360. [Google Scholar] [CrossRef]
- Steduto, P.; Hsiao, T.C.; Fereres, E.; Raes, D. Crop Yield Response to Water; Food and Agriculture Organization of the United Nations: Rome, Italy, 2012; Volume 1028. [Google Scholar]
- Mann, H.B. Nonparametric Tests against Trend. Econometrica 1945, 13, 245–259. [Google Scholar] [CrossRef]
- Kendall, M.G. Rank Correlation Methods; Griffin: London, UK, 1948. [Google Scholar]
- Ahn, K.-H.; Merwade, V. Quantifying the relative impact of climate and human activities on streamflow. J. Hydrol. 2014, 515, 257–266. [Google Scholar] [CrossRef]
- Sen, P.K. Estimates of the regression coefficient based on Kendall’s tau. J. Am. Stat. Assoc. 1968, 63, 1379–1389. [Google Scholar] [CrossRef]
- Lutz, J.A.; van Wagtendonk, J.W.; Franklin, J.F.; Williams, J. Climatic water deficit, tree species ranges, and climate change in Yosemite National Park. J. Biogeogr. 2010, 37, 936–950. [Google Scholar] [CrossRef]
- Thapa, B.R.; Ishidaira, H.; Pandey, V.P.; Shakya, N.M. A multi-model approach for analyzing water balance dynamics in Kathmandu Valley, Nepal. J. Hydrol. Reg. Stud. 2017, 9, 149–162. [Google Scholar] [CrossRef]
- Molden, D.; Sakthivadivel, R. Water accounting to assess use and productivity of water. Int. J. Water Resour. Dev. 1999, 15, 55–71. [Google Scholar] [CrossRef]
- Batchelor, C.; Hoogeveen, J.; Faurès, J.-M.; Peiser, L. Water Accounting and Auditing: A Sourcebook; FAO Water Reports, No. 43; FAO: Rome, Itay, 2016. [Google Scholar]
- Jägermeyr, J.; Gerten, D.; Heinke, J.; Schaphoff, S.; Kummu, M.; Lucht, W. Water savings potentials of irrigation systems: Global simulation of processes and linkages. Hydrol. Earth Syst. Sci. 2015, 19, 3073–3091. [Google Scholar] [CrossRef] [Green Version]
- Onyutha, C. Statistical analyses of potential evapotranspiration changes over the period 1930–2012 in the Nile River riparian countries. Agric. For. Meteorol. 2016, 226–227, 80–95. [Google Scholar] [CrossRef]
- Tabari, H.; Taye, M.T.; Willems, P. Statistical assessment of precipitation trends in the upper Blue Nile River basin. Stoch. Environ. Res. Risk Assess. 2015, 29, 1751–1761. [Google Scholar] [CrossRef]
- Alemu, H.; Kaptué, A.T.; Senay, G.B.; Wimberly, M.C.; Henebry, G.M. Evapotranspiration in the Nile Basin: Identifying Dynamics and Drivers, 2002–2011. Water 2015, 7, 4914–4931. [Google Scholar] [CrossRef]
- Samy, A.; Ibrahim, M.G.; Mahmod, W.E.; Fujii, M.; Eltawil, A.; Daoud, W. Statistical Assessment of Rainfall Characteristics in Upper Blue Nile Basin over the Period from 1953 to 2014. Water 2019, 11, 468. [Google Scholar] [CrossRef] [Green Version]
- Mueller, B.; Seneviratne, S.I.; Jimenez, C.; Corti, T.; Hirschi, M.; Balsamo, G.; Ciais, P.; Dirmeyer, P.; Fisher, J.B.; Guo, Z.; et al. Evaluation of global observations-based evapotranspiration datasets and IPCC AR4 simulations. Geophys. Res. Lett. 2011, 38, L06402. [Google Scholar] [CrossRef] [Green Version]
- Allam, M.M.; Jain Figueroa, A.; McLaughlin, D.B.; Eltahir, E.A. Estimation of evaporation over the upper b lue n ile basin by combining observations from satellites and river flow gauges. Water Resour. Res. 2016, 52, 644–659. [Google Scholar] [CrossRef] [Green Version]
- Hasler, N.; Avissar, R. What controls evapotranspiration in the Amazon basin? J. Hydrometeorol. 2007, 8, 380–395. [Google Scholar] [CrossRef]
- Marshall, M.; Funk, C.; Michaelsen, J. Examining evapotranspiration trends in Africa. Clim. Dyn. 2012, 38, 1849–1865. [Google Scholar] [CrossRef]
- Hilhorst, B. Information Products for Nile Basin Water Resources Management. In Synthesis Report; FAO: Rome, Itay, 2011. [Google Scholar]
- Nooni, I.K.; Wang, G.; Hagan, D.F.T.; Lu, J.; Ullah, W.; Li, S. Evapotranspiration and its Components in the Nile River Basin Based on Long-Term Satellite Assimilation Product. Water 2019, 11, 1400. [Google Scholar] [CrossRef] [Green Version]
- Biazin, B.; Wondatir, S.; Tilahun, G.; Asaro, N.; Amede, T. Using AquaCrop as a Decision-Support Tool for Small-Scale Irrigation Systems Was Dictated by the Institutional and Market Incentives in Ethiopia. Front. Water 2021, 3, 664127. [Google Scholar] [CrossRef]
- Ramankutty, N.; Evan, A.T.; Monfreda, C.; Foley, J.A. Farming the planet: 1. Geographic distribution of global agricultural lands in the year 2000. Glob. Biogeochem. Cycles 2008, 22. [Google Scholar] [CrossRef]
- Monfreda, C.; Ramankutty, N.; Foley, J.A. Farming the planet: 2. Geographic distribution of crop areas, yields, physiological types, and net primary production in the year 2000. Glob. Biogeochem. Cycles 2008, 22, GB1003. [Google Scholar] [CrossRef]
- Morita. Chapter 5-Past trends in water productivity at the global and regional scale. In Current Directions in Water Scarcity Research; Kumar, M.D., Ed.; Elsevier: Amsterdam, The Netherlands, 2021; Volume 3, pp. 99–118. [Google Scholar]
- Erkossa, T.; Awulachew, S.B.; Aster, D. Soil fertility effect on water productivity of maize in the upper blue nile basin, Ethiopia. Agric. Sci. 2011, 2, 238. [Google Scholar] [CrossRef] [Green Version]
- Qin, W.; Hu, C.; Oenema, O. Soil mulching significantly enhances yields and water and nitrogen use efficiencies of maize and wheat: A meta-analysis. Sci. Rep. 2015, 5, 16210. [Google Scholar] [CrossRef]
- Silungwe, F.R.; Graef, F.; Bellingrath-Kimura, S.D.; Tumbo, S.D.; Kahimba, F.C.; Lana, M.A. Crop Upgrading Strategies and Modelling for Rainfed Cereals in a Semi-Arid Climate—A Review. Water 2018, 10, 356. [Google Scholar] [CrossRef] [Green Version]
- Rockström, J.; Barron, J. Water productivity in rainfed systems: Overview of challenges and analysis of opportunities in water scarcity prone savannahs. Irrig. Sci. 2007, 25, 299–311. [Google Scholar] [CrossRef]
- Abd-Elbaky, M.; Jin, S. Hydrological mass variations in the Nile River Basin from GRACE and hydrological models. Geod. Geodyn. 2019, 10, 430–438. [Google Scholar] [CrossRef]
- Awange, J.L.; Forootan, E.; Kuhn, M.; Kusche, J.; Heck, B. Water storage changes and climate variability within the Nile Basin between 2002 and 2011. Adv. Water Resour. 2014, 73, 1–15. [Google Scholar] [CrossRef] [Green Version]
- Shamsudduha, M.; Taylor, R.G.; Jones, D.; Longuevergne, L.; Owor, M.; Tindimugaya, C. Recent changes in terrestrial water storage in the Upper Nile Basin: An evaluation of commonly used gridded GRACE products. Hydrol. Earth Syst. Sci. 2017, 21, 4533–4549. [Google Scholar] [CrossRef] [Green Version]
- Yue, S.; Pilon, P. A comparison of the power of the t test, Mann-Kendall and bootstrap tests for trend detection/Une comparaison de la puissance des tests t de Student, de Mann-Kendall et du bootstrap pour la détection de tendance. Hydrol. Sci. J. 2004, 49, 21–37. [Google Scholar] [CrossRef]
- Adeboye, O.B.; Schultz, B.; Adeboye, A.P.; Adekalu, K.O.; Osunbitan, J.A. Application of the AquaCrop model in decision support for optimization of nitrogen fertilizer and water productivity of soybeans. Inf. Process. Agric. 2021, 8, 419–436. [Google Scholar] [CrossRef]
- Woldai, T. The status of Earth Observation (EO) & Geo-Information Sciences in Africa–trends and challenges. Geo-Spat. Inf. Sci. 2020, 23, 107–123. [Google Scholar] [CrossRef]
- Smith, W.K.; Dannenberg, M.P.; Yan, D.; Herrmann, S.; Barnes, M.L.; Barron-Gafford, G.A.; Biederman, J.A.; Ferrenberg, S.; Fox, A.M.; Hudson, A.; et al. Remote sensing of dryland ecosystem structure and function: Progress, challenges, and opportunities. Remote Sens. Environ. 2019, 233, 111401. [Google Scholar] [CrossRef]
- Skoulikaris, C. Transboundary Cooperation through Water Related EU Directives’ Implementation Process. The Case of Shared Waters between Bulgaria and Greece. Water Resour. Manag. 2021, 35, 4977–4993. [Google Scholar] [CrossRef]











| No | Sub-Basin | Area |
|---|---|---|
| km2 | ||
| 1 | Equatorial Lake Basin | 394,147.06 |
| 2 | Upper White Nile | 234,680.83 |
| 3 | Bahr-el-Ghazal | 584,199.81 |
| 4 | Baro-Akobo-Pibor-Sobat | 206,418.15 |
| 5 | Lower White Nile | 256,040.61 |
| 6 | Blue Nile | 298,382.84 |
| 7 | Tekeze-Atibara-Setite | 221,685.09 |
| 8 | Main Nile upstream of Dongola | 389,105.60 |
| 9 | Main Nile downstream of Dongola | 443,570.58 |
| Total area | 3,028,230.55 | |
| Area (km2) | Area (km2) | Area Change | |||||||||||||
|---|---|---|---|---|---|---|---|---|---|---|---|---|---|---|---|
| 2009 | 2020 | 2009–2020 | |||||||||||||
| Country | PMP | CP | AG | FL | OL | PMP | CP | AG | FL | OL | PMP | CP | AG | FL | OL |
| BUR | 483 | 1350 | 193.9 | 1867 | 507.1 | 483 | 1550 | 279.6 | 2033 | 255.4 | 0 | 200 | 85.7 | 166 | −251.7 |
| DRC | 50 | 2630 | 143,899 | 25,600 | 57,206 | 50 | 2580 | 127,256.6 | 31,500 | 67,948.4 | 0 | −50 | −16,642.4 | 5900 | 10,742.4 |
| EGY | 0 | 3671 | 59.2 | 3291 | 96,194.8 | 0 | 3836 | 45 | 3836 | 95,664.1 | 0 | 165 | −14.2 | 545 | −530.7 |
| ERT | 6900 | 692 | 1118.5 | 7530 | 1451.5 | 6900 | 692 | 1058.4 | 7592 | 3467.4 | 0 | 0 | −60.1 | 62 | 2015.9 |
| ETH | 20,000 | 15,683 | 18,528.5 | 30,662 | 50,809.5 | 20,000 | 17,903 | 17,141.5 | 37,903 | 57,811.6 | 0 | 2220 | −1387 | 7241 | 7002.1 |
| KEN | 21,300 | 6020 | 3961.2 | 26,671 | 26,281.8 | 21,300 | 6330 | 3611.1 | 27,630 | 25,672.9 | 0 | 310 | −350.1 | 959 | −608.9 |
| RWA | 430 | 1373.9 | 287 | 1670 | 510 | 410 | 1401.7 | 275 | 1811.7 | 380.3 | −20 | 27.8 | −12 | 141.7 | −129.7 |
| SSD | 25,773.2 | 2618.9 | 7157 | 28,251 | 27,784.9 | 25,773.2 | 2477.7 | 7157 | 28,251 | 27,784.9 | 0 | −141.2 | 0 | 0 | 0 |
| SUD | 48,195 | 19,991.2 | 18,531.7 | 68,186.2 | 98,205.5 | 48,195 | 19,991 | 18,531.7 | 68,186 | 98,205.5 | 0 | 0 | 0 | 0 | 0 |
| TZN | 24,000 | 13,450 | 53,670 | 34,000 | 4306.1 | 24,000 | 15,650 | 46,214 | 39,650 | 2716 | 0 | 2200 | −7456 | 5650 | −1590.1 |
| UGA | 5315 | 8950 | 3163 | 12,512 | 910 | 5315 | 9100 | 2379.2 | 14,415 | 3257.9 | 0 | 150 | −783.8 | 1903 | 2347.9 |
| MK Test | Sen’s Slope Estimate | |||||
|---|---|---|---|---|---|---|
| Parameters | Time Series | n | Test Z | Significant Trends | Q | B |
| P | 2009–2020 | 12 | 1.85 | + | 8.117 | 661.23 |
| ET | 2009–2020 | 12 | −2.81 | ** | −11.030 | 2518.06 |
| T | 2009–2020 | 12 | 1.71 | + | 2.424 | 488.60 |
| E | 2009–2020 | 12 | −0.07 | −0.111 | 210.63 | |
| I | 2009–2020 | 12 | 2.54 | * | 0.872 | 34.84 |
| ETIa | 2009–2020 | 12 | 1.99 | * | 3.473 | 728.87 |
| 2009–2020 | ||||||||||||||||||||
|---|---|---|---|---|---|---|---|---|---|---|---|---|---|---|---|---|---|---|---|---|
| Wheat | Rice | Sorghum | Maize | Soybean | ||||||||||||||||
| Country | ET | Y | CWP | WUE | ET | Y | CWP | WUE | ET | Y | CWP | WUE | ET | Y | CWP | WUE | ET | Y | CWP | WUE |
| mm | ton·ha−1 | kg·m−3 | kg·m−3 | mm | ton·ha−1 | kg·m−3 | kg·m−3 | mm | ton· ha−1 | kg·m−3 | kg·m−3 | mm | ton·ha−1 | kg·m−3 | kg·m−3 | mm | ton·ha−1 | kg·m−3 | kg·m−3 | |
| BUR | 430.20 | 9.81 | 8.18 | 2.91 | 105.7 | 6.4 | 8.22 | 1.8 | 343.5 | 8.1 | 5.77 | 2.01 | 320 | 8.4 | 6.96 | 1.82 | 6.1 | 6.5 | 2.70 | |
| DRC | 521.2 | 8.9 | 6.5 | 2.09 | 597.9 | 6.63 | 4.31 | 1.2 | 737.7 | 4.8 | 3.5 | 2.39 | 428.2 | 4.4 | 2.74 | 3.81 | 1279.1 | 7.76 | 6.3 | 2.27 |
| EGY | 508.2 | 6.72 | 6.5 | 2.09 | 774.4 | 8.67 | 4.85 | 1.21 | 691.9 | 7.8 | 8.4 | 1.84 | 571.1 | 7.9 | 5.9 | 1.82 | 1083 | 3.01 | 1.85 | 0.47 |
| ERT | 1480.4 | 1.69 | 1.67 | 0.10 | 1550 | 0.29 | 3.40 | 0.05 | 1414.1 | 2.3 | 3.22 | 0.81 | 1068.9 | 1.5 | 3.31 | 0.42 | 1480.4 | 0.81 | 1.78 | 0.47 |
| ETH | 687.8 | 2.5 | 4.92 | 1.31 | 597.9 | 3.17 | 4.31 | 1.2 | 343.5 | 4.47 | 5.77 | 2.01 | 428.2 | 3.00 | 12.74 | 3.81 | 1068 | 2.4 | 1.85 | 0.47 |
| KEN | 796.5 | 11.03 | 4.16 | 1.36 | 743 | 7.21 | 4.8 | 1.21 | 974.3 | 11.9 | 4.1 | 1.67 | 753.6 | 5.1 | 3.45 | 1.07 | 296.8 | 3.9 | 6.36 | 2.27 |
| RWA | 518.8 | 6.52 | 6.76 | 1.70 | 670 | 8.09 | 7.41 | 1.44 | 694 | 10.08 | 7.51 | 2.3 | 493.1 | 9.4 | 6.8 | 2.13 | 345.2 | 6.01 | 7.31 | 1.88 |
| SSD | 1779.8 | 1.69 | 1.6 | 0.1 | 756.3 | 0.29 | 3.4 | 0.05 | 1141.1 | 2.3 | 3.22 | 0.8 | 1141.1 | 1.5 | 3.31 | 0.42 | 1068.9 | 0.81 | 1.78 | 0.47 |
| SUD | 521.2 | 6.5 | 6.5 | 2.09 | 0 | 5.12 | 2.1 | 0.5 | 1068.9 | 1.7 | 3.4 | 0.44 | 1190.5 | 3.7 | 5.3 | 1.0 | 1430.9 | 1.85 | 2.4 | 0.47 |
| UGA | 712.2 | 11.10 | 5.65 | 1.82 | 449.1 | 5.72 | 5.45 | 1.56 | 566.2 | 11.8 | 7.32 | 2.3 | 428.2 | 14.4 | 12.74 | 3.81 | 359.8 | 5.69 | 5.25 | 1.76 |
| TZN | 687.8 | 6.00 | 4.92 | 1.31 | 795.5 | 10.2 | 4.3 | 1.59 | 694 | 10.9 | 6.59 | 1.84 | 707.9 | 12.8 | 6.03 | 2.40 | 743.9 | 8.85 | 3.4 | 1.07 |
Publisher’s Note: MDPI stays neutral with regard to jurisdictional claims in published maps and institutional affiliations. |
© 2022 by the authors. Licensee MDPI, Basel, Switzerland. This article is an open access article distributed under the terms and conditions of the Creative Commons Attribution (CC BY) license (https://creativecommons.org/licenses/by/4.0/).
Share and Cite
Hirwa, H.; Zhang, Q.; Li, F.; Qiao, Y.; Measho, S.; Muhirwa, F.; Xu, N.; Tian, C.; Cheng, H.; Chen, G.; et al. Water Accounting and Productivity Analysis to Improve Water Savings of Nile River Basin, East Africa: From Accountability to Sustainability. Agronomy 2022, 12, 818. https://doi.org/10.3390/agronomy12040818
Hirwa H, Zhang Q, Li F, Qiao Y, Measho S, Muhirwa F, Xu N, Tian C, Cheng H, Chen G, et al. Water Accounting and Productivity Analysis to Improve Water Savings of Nile River Basin, East Africa: From Accountability to Sustainability. Agronomy. 2022; 12(4):818. https://doi.org/10.3390/agronomy12040818
Chicago/Turabian StyleHirwa, Hubert, Qiuying Zhang, Fadong Li, Yunfeng Qiao, Simon Measho, Fabien Muhirwa, Ning Xu, Chao Tian, Hefa Cheng, Gang Chen, and et al. 2022. "Water Accounting and Productivity Analysis to Improve Water Savings of Nile River Basin, East Africa: From Accountability to Sustainability" Agronomy 12, no. 4: 818. https://doi.org/10.3390/agronomy12040818
APA StyleHirwa, H., Zhang, Q., Li, F., Qiao, Y., Measho, S., Muhirwa, F., Xu, N., Tian, C., Cheng, H., Chen, G., Ngwijabagabo, H., Turyasingura, B., & Itangishaka, A. C. (2022). Water Accounting and Productivity Analysis to Improve Water Savings of Nile River Basin, East Africa: From Accountability to Sustainability. Agronomy, 12(4), 818. https://doi.org/10.3390/agronomy12040818

