Effects on Germination and Plantlet Development of Sesame (Sesamum indicum L.) and Bean (Phaseolus vulgaris L.) Seeds with Chitosan Coatings
Abstract
:1. Introduction
2. Materials and Methods
- (a)
- Treatment preparation
- (b)
- Seed coatings
2.1. Scanning Electron Micrograph
2.2. Physiological Evaluation
2.2.1. Seed Germination, Germination Speed and Vigor Index
2.2.2. Plantlet Evaluation
3. Results
3.1. Micrographs of Chitosan-Coated Seeds
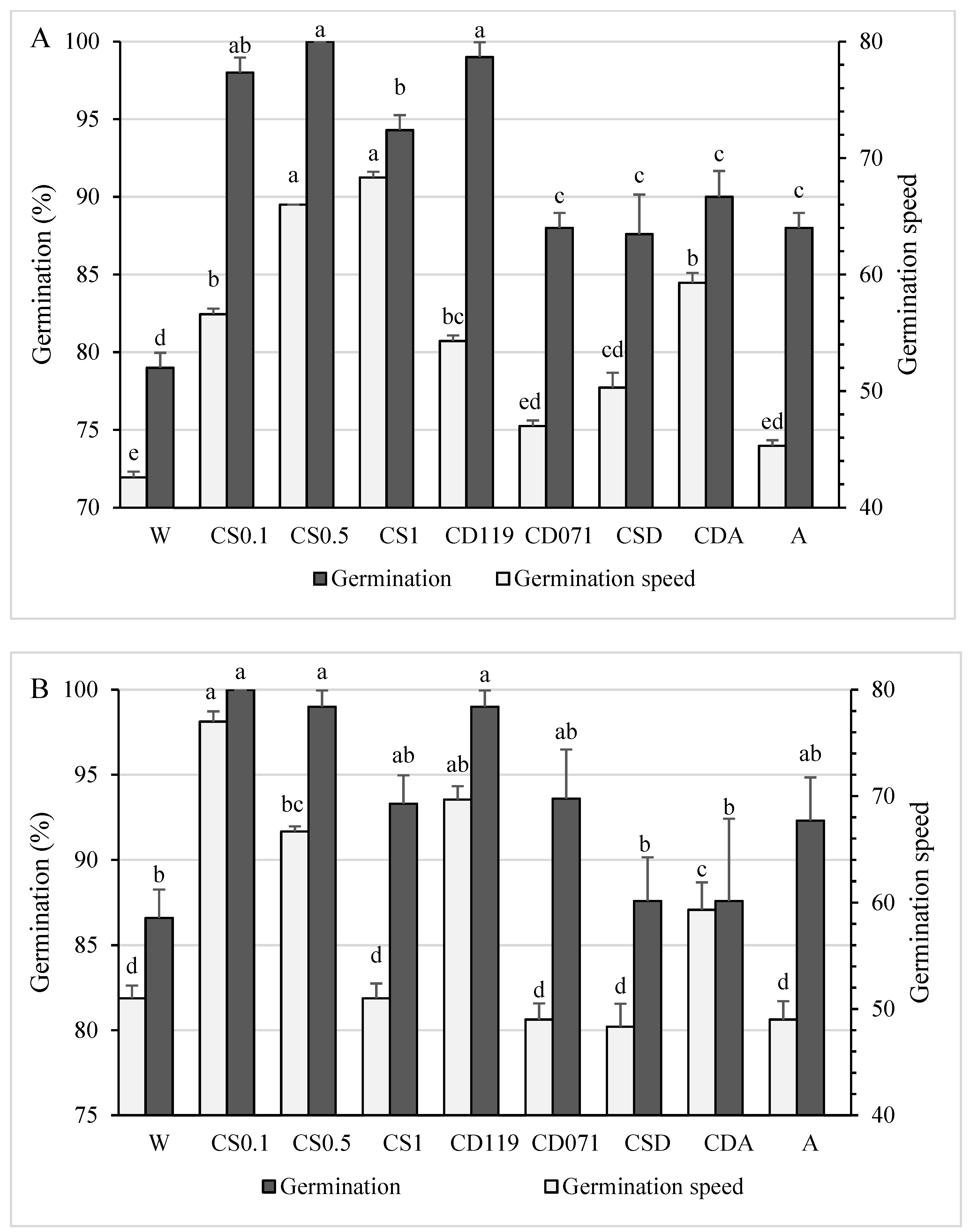
3.2. Germination Capacity and Germination Speed
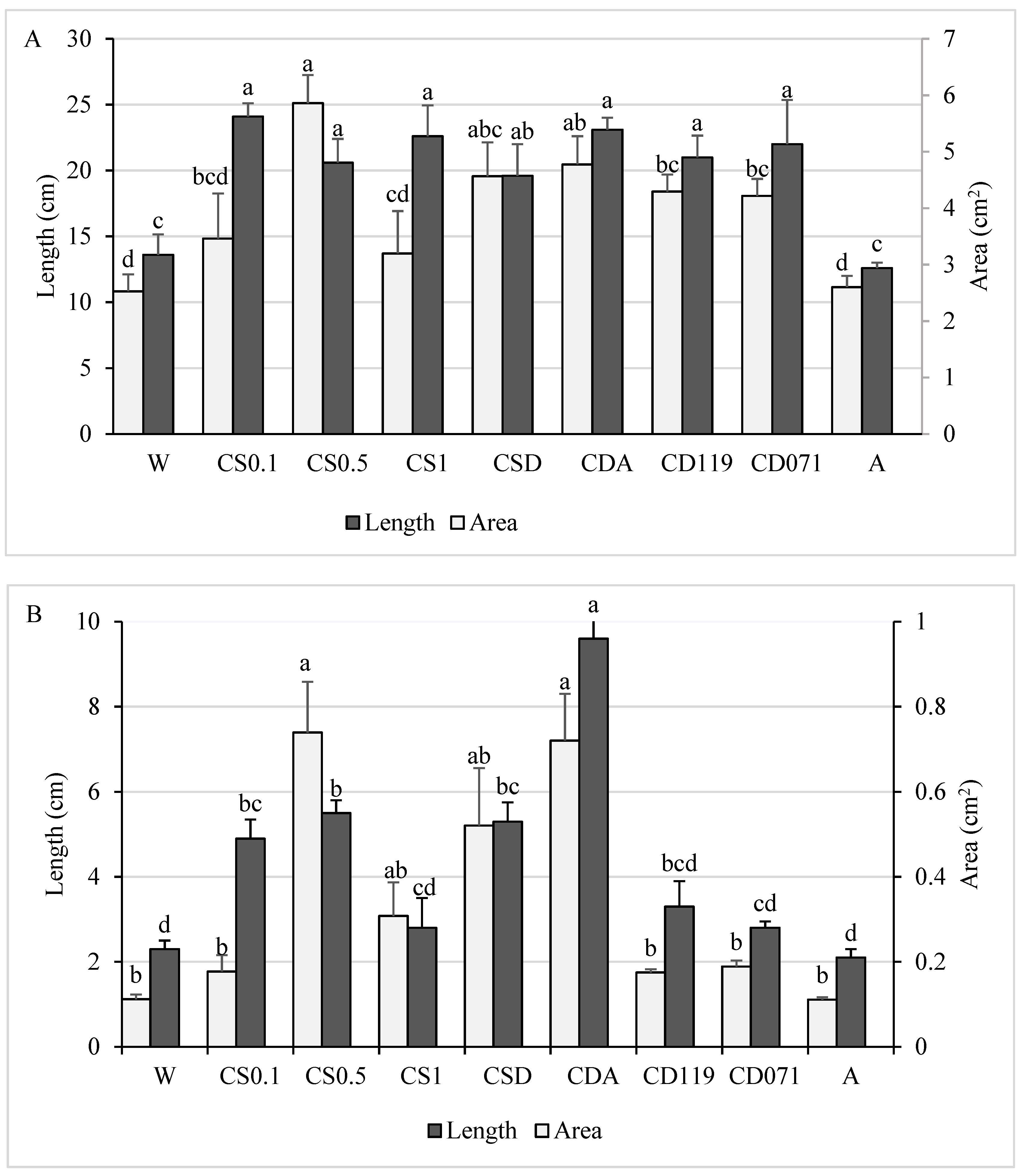
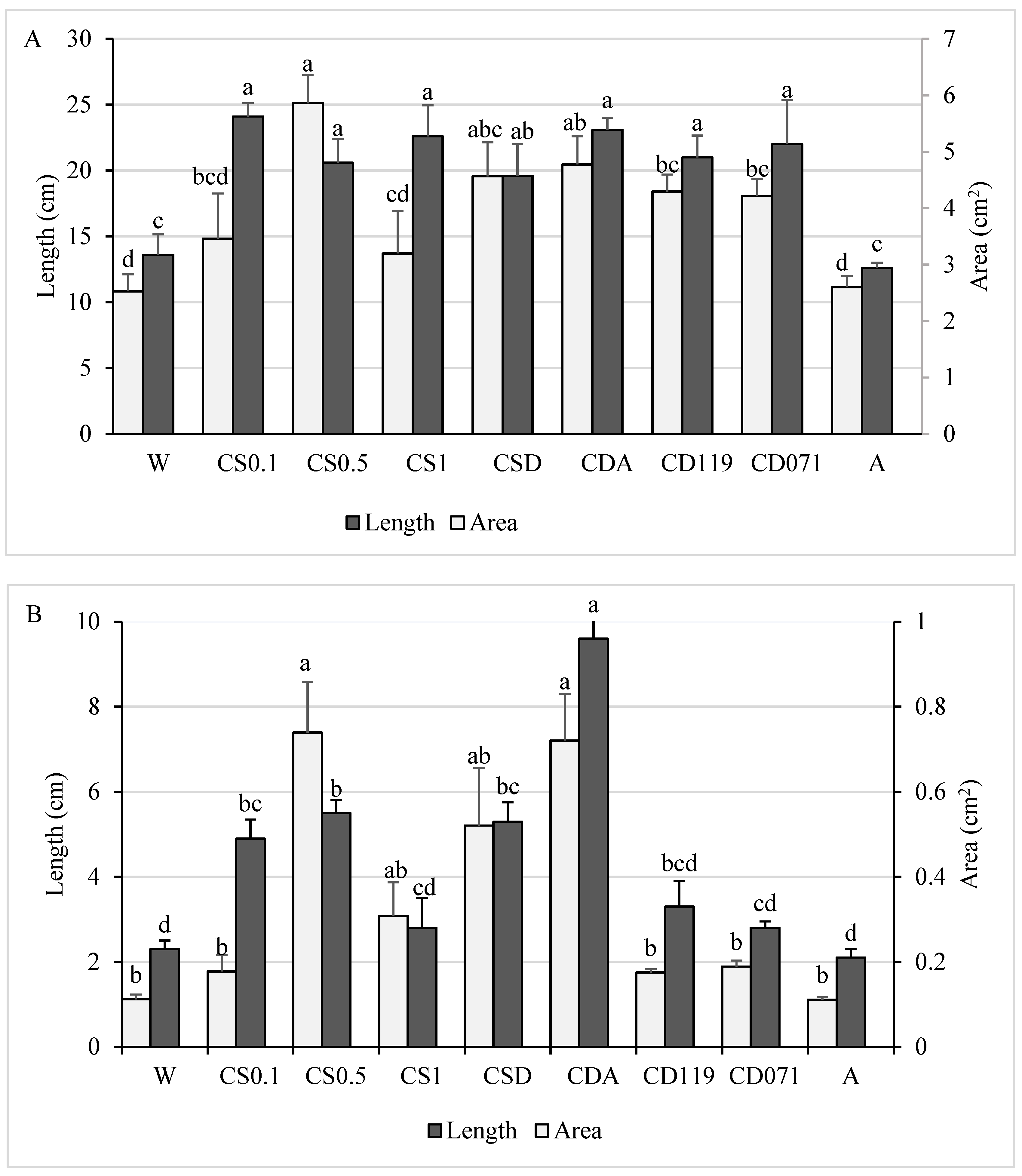
3.3. Root and Stem Growth and Vigor Index
4. Discussion
4.1. Scanning Electron Microscopy (SEM) of Seeds Coated with Chitosan
4.2. Germination and Germination Speed
4.3. Root and Stem Development of Plantlets and Vigor Index
5. Conclusions
Author Contributions
Funding
Institutional Review Board Statement
Informed Consent Statement
Data Availability Statement
Acknowledgments
Conflicts of Interest
References
- Oh, J.W.; Chun, S.C.; Chandrasekaran, M. Preparation and in vitro characterization of chitosan nanoparticles and their broad-spectrum antifungal action compared to antibacterial activities against phytopathogens of tomato. Agronomy 2019, 9, 21. [Google Scholar] [CrossRef] [Green Version]
- Iriti, M.; Varoni, E.M. Chitosan-elicited plant innate immunity: Focus on antiviral activity. In Research Progress in Oligosaccharins; Yin, H., Du, Y., Eds.; Springer: New York, NY, USA, 2016; pp. 65–81. [Google Scholar] [CrossRef]
- Merino, D.; Mansilla, A.Y.; Casalongué, C.A.; Alvarez, V.A. Preparation, characterization, and in vitro testing of nanoclay antimicrobial activities and elicitor capacity. J. Agric. Food Chem. 2018, 66, 3101–3109. [Google Scholar] [CrossRef] [PubMed]
- Symonds, B.L.; Lindsay, C.I.; Thomson, N.R.; Khutoryanskiy, V.V. Chitosan as a rainfastness adjuvant for agrochemicals. RSC Adv. 2016, 6, 102206. [Google Scholar] [CrossRef] [Green Version]
- De Oliveira, J.L.; Ramos Campos, E.V.; Pereira, A.E.; Nunes, L.E.; Da Silva, C.C.L.; Pasquoto, T.; Lima, R.; Smaniotto, G.; Polanczky, R.A.; Fraceto, L.F. Geraniol encapsulated in chitosan/gum arabic nanoparticles: A promising system for pest management in sustainable agriculture. J. Agric. Food Chem. 2018, 66, 5325–5334. [Google Scholar] [CrossRef] [PubMed]
- Xu, C.; Mou, B. Chitosan as Soil Amendment Affects Lettuce Growth, Photochemical Efficiency, and Gas Exchange. HortTechnol. Hortte 2018, 28, 476–480. [Google Scholar] [CrossRef] [Green Version]
- Hidangmayum, A.; Dwivedi, P.; Katiyar, D.; Hemantaranjan, A. Application of chitosan on plant responses with special reference to abiotic stress. Physiol. Mol. Biol. Plants 2019, 25, 313–326. [Google Scholar] [CrossRef] [PubMed]
- Chakraborty, M.; Hasanuzzaman, M.; Rahman, M.; Khan, M.A.R.; Bhowmik, P.; Mahmud, N.U.; Tanveer, M.; Islam, T. Mechanism of Plant Growth Promotion and Disease Suppression by Chitosan Biopolymer. Agriculture 2020, 10, 624. [Google Scholar] [CrossRef]
- Vigneshwaran, S.; Sirajudheen, P.; Nikitha, M.; Ramkumar, K.; Meenakshi, S. Facile synthesis of sulfur-doped chitosan/biochar derived from tapioca peel for the removal of organic dyes: Isotherm, kinetics and mechanisms. J. Mol. Liq. 2021, 326, 115303. [Google Scholar] [CrossRef]
- Picos-Corrales, L.A.; Sarmiento-Sánchez, J.I.; Ruelas-Leyva, J.P.; Crini, G.; Hermosillo-Ochoa, E.; Gutiérrez-Montes, J.A. Eco-friendly approach towards treating raw agricultural wastewater and river water through flocculation using Chitosan and bean straw flour as bioflocculants. ACS Omega 2020, 5, 3943–3951. [Google Scholar] [CrossRef]
- Chen, C.; Nie, Z.; Wan, C.; Chen, J. Preservation of Xinyu Tangerines with an Edible Coating Using Ficus hirta Vahl. Fruits Extract-Incorporated Chitosan. Biomolecules 2019, 9, 46. [Google Scholar] [CrossRef] [Green Version]
- Lan, W.; Wang, W.; Yu, Z.; Qin, Y.; Luan, J.; Li, X. Enhanced germination of barley (Hordeum vulgare L.) using chitooligosaccharide as an elicitor in seed priming to improve malt quality. Biotechnol. Lett. 2016, 38, 1935–1940. [Google Scholar] [CrossRef] [PubMed]
- Saharan, V.; Pal, A. Chitosan Based Nanomaterials in Plant Growth and Protection; Springer: New Delhi, India, 2016; pp. 33–41. [Google Scholar] [CrossRef]
- Peña-Datoli, M.; Hidalgo-Moreno, C.M.; González-Hernández, V.; Alcántar-González, E.; Etchevers-Barra, J. Maize (Zea mays L.) seed coating with chitosan and sodium alginate and its effect on root. Agrociencia 2016, 50, 1091–1106. [Google Scholar]
- Ruiz-de-La-Cruz, G.; Aguirre-Mancilla, C.L.; Godínez-Garrido, N.A.; Osornio-Flores, N.M.; Torres-Castillo, J.A. Chitosan mixed with beneficial fungal conidia or fungicide for bean (Phaseolus vulgaris L.) seed coating. Interciencia 2017, 42, 307–312. [Google Scholar]
- Iglesias, M.J.; Colman, S.L.; Terrile, M.C.; Paris, R.; Martín-Saldaña, S.; Chevalier, A.A.; Álvarez, V.A.; Casalongué, C.A. Enhanced Properties of Chitosan Microparticles over Bulk Chitosan on the Modulation of the Auxin Signaling Pathway with Beneficial Impacts on Root Architecture in Plants. J. Agric. Food Chem. 2019, 67, 6911–6920. [Google Scholar] [CrossRef] [PubMed]
- Hameed, A.; Sheikh, M.A.; Hameed, A.; Farooq, T.; Basra, S.M.A.; Jamil, A. Chitosan seed priming improves seed germination and seedling growth in wheat (Triticum aestivum L.) under osmotic stress induced by polyethylene glycol. Philipp. Agric. Scientist. 2014, 97, 294–299. [Google Scholar]
- Abdel-Aziz, H. Effect of Priming with Chitosan Nanoparticles on Germination, Seedling Growth and Antioxidant Enzymes of Broad Beans. Catrina 2019, 18, 81–86. [Google Scholar] [CrossRef]
- Stanley-Raja, V.; Senthil-Nathan, S.; Chanthini, K.M.P.; Sivanesh, H.; Ramasubramanian, R.; Karthi, S.; Shyam-Sundar, N.; Vasantha-Srinivasan, P.; Kalaivani, K. Biological activity of chitosan inducing resistance efficiency of rice (Oryza sativa L.) after treatment with fungal based chitosan. Sci. Rep. 2021, 11, 1–15. [Google Scholar] [CrossRef]
- Manjunatha, G.; Roopa, K.; Prashanth, G.N.; Shekar Shetty, H. Chitosan enhances disease resistance in pearl millet against downy mildew caused by Sclerospora graminicola and defence-related enzyme activation. Pest. Manag. Sci. 2008, 64, 1250–1257. [Google Scholar] [CrossRef]
- Godínez-Garrido, N.A.; Ramírez-Pimentel, J.G.; Covarrubias-Prieto, J.; Cervantes-Ortiz, F.; Pérez-López, A.; Aguirre-Mancilla, C.L. Chitosan coating on bean and maize seeds: Release of agrochemical fungicide and post-storage condition. J. Seed Sci. 2021, 43, e202143036. [Google Scholar] [CrossRef]
- Ziani, K.; Ursúa, B.; Maté, J.I. Application of bioactive coatings based on chitosan for artichoke seed protection. Crop Prot. 2010, 29, 853–859. [Google Scholar] [CrossRef]
- Zeng, D.; Luo, X.; Tu, R. Application of bioactive coatings based on chitosan for soybean seed protection. Int. J. Carbohydr. Chem. 2012, 2012. [Google Scholar] [CrossRef]
- De Gregorio, P.R.; Michavila, G.; Ricciardi Muller, L.; de Souza Borges, C.; Pomares, M.F.; Saccol de Sá, E.L.; Pereira, C.; Vincent, P.A. Beneficial rhizobacteria immobilized in nanofibers for potential application as soybean seed bioinoculants. PLoS ONE 2017, 12, e0176930. [Google Scholar] [CrossRef] [PubMed] [Green Version]
- Krishnamoorthy, V.; Rajiv, S. Tailoring electrospun polymer blend carriers for nutrient delivery in seed coating for sustainable agriculture. J. Clean. Prod. 2018, 177, 69–78. [Google Scholar] [CrossRef]
- Yuan, Y.; Chesnutt, B.M.; Haggard, W.O.; Bumgardner, J.D. Deacetylation of chitosan: Material characterization and in vitro evaluation via albumin adsorption and pre-osteoblastic cell cultures. Materials 2011, 4, 1399–1416. [Google Scholar] [CrossRef] [Green Version]
- ISTA. International Rules for Seed Testing; International Seed Testing Association: Zurich, Switzerland, 2004; 243p. [Google Scholar]
- Maguire, J.D. Speed of Germination—Aid in selection and evaluation for seedling emergence and vigor. Crop Sci. 1962, 2, 176–177. [Google Scholar] [CrossRef]
- Qiu, Y.; Amirkhani, M.; Mayton, H.; Chen, Z.; Taylor, A.G. Biostimulant seed coating treatments to improve cover crop germination and seedling growth. Agronomy 2020, 10, 154. [Google Scholar] [CrossRef] [Green Version]
- Tian, F.; Chen, W.; Cai’E, W.; Kou, X.; Fan, G.; Li, T.; Wu, Z. Preservation of Ginkgo biloba seeds by coating with chitosan/nano-TiO2 and chitosan/nano-SiO2 films. Int. J. Biol. Macromol. 2019, 126, 917–925. [Google Scholar] [CrossRef]
- Lian, H.; Peng, Y.; Shi, J.; Wang, Q. Effect of emulsifier hydrophilic-lipophilic balance (HLB) on the release of thyme essential oil from chitosan films. Food Hydrocoll. 2019, 97, 105213. [Google Scholar] [CrossRef]
- Foster, L.J.R.; Ho, S.; Hook, J.; Basuki, M.; Marçal, H. Chitosan as a biomaterial: Influence of degree of deacetylation on its physiochemical, material and biological properties. PLoS ONE 2015, 10, e0135153. [Google Scholar] [CrossRef] [Green Version]
- Hameed, A.; Sheikh, M.A.; Hameed, A.; Farooq, T.; Basra, S.M.A.; Jamil, A. Chitosan priming enhances the seed germination, antioxidants, hydrolytic enzymes, soluble proteins and sugars in wheat seeds. Agrochimica 2013, 57, 97–110. Available online: https://www.cabdirect.org/cabdirect/abstract/20133352106 (accessed on 2 August 2021).
- Lizárraga-Paulín, E.G.; Miranda-Castro, S.P.; Moreno-Martínez, E.; Lara-Sagahón, A.V.; Torres-Pacheco, I. Maize seed coatings and seedling sprayings with chitosan and hydrogen peroxide: Their influence on some phenological and biochemical behaviors. J. Zhejiang Univ. Sci. 2013, 14, 87–96. [Google Scholar] [CrossRef] [PubMed] [Green Version]
- Torres-Castillo, J.A.; Sinagawa-García, S.R.; Lara-Villalón, M.; Martínez-Ávila, G.C.G.; Mora-Olivo, A.; Reyes-Soria, F.A. Evaluation of biochemical components from Pterophylla beltrani (Bolivar & Bolivar) (Orthoptera: Tettigoniidae): A forest pest from Northeastern Mexico. Southwest. Entomol. 2015, 40, 741–751. [Google Scholar] [CrossRef]
- Udhaya-Nandhini, D.; Somasundaram, E. Lipo-Chito Oligosaccharides Enhances Germination Tolerance of Maize to Salinity Stress. Int. J. Curr. Microbiol. App. Sci. 2017, 6, 437–443. [Google Scholar] [CrossRef] [Green Version]
- Li, R.; He, J.; Xie, H.; Wang, W.; Bose, S.K.; Sun, Y.; Hu, J.; Yin, H. Effects of chitosan nanoparticles on seed germination and seedling growth of wheat (Triticum aestivum L.). Int. J. Biol. Macromol. 2019, 126, 91–100. [Google Scholar] [CrossRef]
- de Barros, A.F.; Pimentel, L.D.; Araujo, E.F.; de Macedo, L.R.; Martinez, H.E.P.; Batista, V.A.P.; da Paixão, M.Q. Super absorbent polymer application in seeds and planting furrow: It will be a new opportunity for rainfed agriculture. Semin. Ciênc. Agrár. 2017, 38, 1703–1714. [Google Scholar] [CrossRef] [Green Version]
- Singh, G.; Bhuker, A.; Mor, V.S.; Panghal, V.P.S. Seed Quality Enhancement through Priming in Onion (Allium cepa). Seed Res. J. 2018, 45, 1–3. [Google Scholar]
- Tovar, G.I.; Briceño, S.; Suarez, J.; Flores, S.; González, G. Biogenic synthesis of iron oxide nanoparticles using Moringa oleifera and chitosan and its evaluation on corn germination. Environ. Nanotechnol. Monit. Manag. 2020, 14, 100350. [Google Scholar] [CrossRef]
- Samarah, N.H.; AL-Quraan, N.A.; Massad, R.S.; Welbaum, G.E. Treatment of bell pepper (Capsicum annuum L.) seeds with chitosan increases chitinase and glucanase activities and enhances emergence in a standard cold test. Sci. Hortic. 2020, 269, 109393. [Google Scholar] [CrossRef]
- Orzali, L.; Corsi, B.; Forni, C.; Riccioni, L. Chitosan in agriculture: A new challenge for managing plant disease. In Biological Activities and Application of Marine Polysaccharides; Shalaby, E.A., Ed.; IntechOpen: London, UK, 2017; pp. 87–96. [Google Scholar] [CrossRef] [Green Version]
- Acharya, P.; Jayaprakasha, G.K.; Crosby, K.M.; Jifon, J.L.; Patil, B.S. Nanoparticle-mediated seed priming improves germination, growth, yield, and quality of watermelons (Citrullus lanatus) at multi-locations in Texas. Sci. Rep. 2020, 10, 1–16. [Google Scholar] [CrossRef] [Green Version]
- Accinelli, C.; Abbas, H.K.; Shier, W.T. A bioplastic-based seed coating improves seedling growth and reduces production of coated seed dust. J. Crop Improv. 2018, 32, 318–330. [Google Scholar] [CrossRef]
- Amirkhani, M.; Netravali, A.N.; Huang, W.; Taylor, A.G. Investigation of Soy Protein–based Biostimulant Seed Coating for Broccoli Seedling and Plant Growth Enhancement. HortScience 2016, 51, 1121–1126. [Google Scholar] [CrossRef] [Green Version]
- Joshi, A.; Kaur, S.; Dharamvir, K.; Nayyar, H.; Verma, G. Multi-walled carbon nanotubes applied through seed-priming influence early germination, root hair, growth and yield of bread wheat (Triticum aestivum L.). J. Sci. Food Agric. 2018, 98, 3148–3160. [Google Scholar] [CrossRef] [PubMed]
- Chamnanmanoontham, N.; Pongprayoon, W.; Pichayangkura, R.; Roytrakul, S.; Chadchawan, S. Chitosan enhances rice seedling growth via gene expression network between nucleus and chloroplast. Plant Growth Regul. 2015, 75, 101–114. [Google Scholar] [CrossRef]
- Sathiyabama, M.; Manikandan, A. Application of Copper-Chitosan Nanoparticles Stimulate Growth and Induce Resistance in Finger Millet (Eleusine coracana Gaertn.) Plants against Blast Disease. J. Agric. Sci. 2018, 66, 1784–1790. [Google Scholar] [CrossRef]




| Crop | Treatment | SL | PL | VI | |||
|---|---|---|---|---|---|---|---|
| Bean | W | 23.3 | b | 38 | b | 32.3 | c |
| CS0.1 | 28.9 | a | 53.5 | a | 51.2 | a | |
| CS0.5 | 26.3 | a | 56.1 | a | 55.5 | a | |
| CS1 | 29.1 | a | 54.4 | a | 52.0 | a | |
| CSD | 30.1 | a | 50.7 | a | 42.6 | b | |
| CDA | 30.4 | a | 55.6 | a | 51.2 | a | |
| CD119 | 29.8 | a | 53.8 | a | 53.8 | a | |
| CD071 | 26.3 | a | 48.7 | a | 43.3 | b | |
| A | 16.2 | b | 30.2 | b | 25.7 | d | |
| Sesame | W | 2.7 | d | 5.1 | d | 4.3 | e |
| CS01 | 4.8 | ab | 9.8 | cb | 9.4 | bc | |
| CS05 | 4.6 | abc | 9.7 | cb | 9.6 | bc | |
| CS1 | 4.1 | abc | 7 | cbd | 6.7 | cd | |
| CSD | 4.9 | ab | 10.2 | b | 8.6 | bcd | |
| CDA | 5.4 | a | 14.8 | a | 13.6 | a | |
| CD119 | 4.8 | ab | 8.1 | cbd | 8.1 | bcd | |
| CD071 | 3.7 | cd | 6.5 | cd | 5.8 | cd | |
| A | 2.5 | d | 4.7 | d | 4.0 | e | |
Publisher’s Note: MDPI stays neutral with regard to jurisdictional claims in published maps and institutional affiliations. |
© 2022 by the authors. Licensee MDPI, Basel, Switzerland. This article is an open access article distributed under the terms and conditions of the Creative Commons Attribution (CC BY) license (https://creativecommons.org/licenses/by/4.0/).
Share and Cite
Godínez-Garrido, N.A.; Torres-Castillo, J.A.; Ramírez-Pimentel, J.G.; Covarrubias-Prieto, J.; Cervantes-Ortiz, F.; Aguirre-Mancilla, C.L. Effects on Germination and Plantlet Development of Sesame (Sesamum indicum L.) and Bean (Phaseolus vulgaris L.) Seeds with Chitosan Coatings. Agronomy 2022, 12, 666. https://doi.org/10.3390/agronomy12030666
Godínez-Garrido NA, Torres-Castillo JA, Ramírez-Pimentel JG, Covarrubias-Prieto J, Cervantes-Ortiz F, Aguirre-Mancilla CL. Effects on Germination and Plantlet Development of Sesame (Sesamum indicum L.) and Bean (Phaseolus vulgaris L.) Seeds with Chitosan Coatings. Agronomy. 2022; 12(3):666. https://doi.org/10.3390/agronomy12030666
Chicago/Turabian StyleGodínez-Garrido, Nancy A., Jorge A. Torres-Castillo, Juan G. Ramírez-Pimentel, Jorge Covarrubias-Prieto, Francisco Cervantes-Ortiz, and Cesar L. Aguirre-Mancilla. 2022. "Effects on Germination and Plantlet Development of Sesame (Sesamum indicum L.) and Bean (Phaseolus vulgaris L.) Seeds with Chitosan Coatings" Agronomy 12, no. 3: 666. https://doi.org/10.3390/agronomy12030666
APA StyleGodínez-Garrido, N. A., Torres-Castillo, J. A., Ramírez-Pimentel, J. G., Covarrubias-Prieto, J., Cervantes-Ortiz, F., & Aguirre-Mancilla, C. L. (2022). Effects on Germination and Plantlet Development of Sesame (Sesamum indicum L.) and Bean (Phaseolus vulgaris L.) Seeds with Chitosan Coatings. Agronomy, 12(3), 666. https://doi.org/10.3390/agronomy12030666

