Border Effect on Ratoon Crop Yield in a Mechanized Rice Ratooning System
Abstract
:1. Introduction
2. Materials and Methods
3. Results
3.1. Weather Conditions
3.2. Effects of Harvest Method of the Main Crop on Yield of the Ratoon Crop
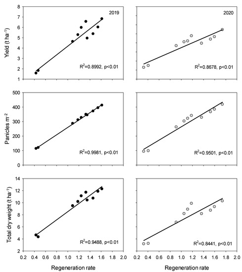
3.3. Agronomic Mechanism of Yield Difference of Ratoon Crop between the Two Harvest Methods of the Main Crop
4. Discussion
5. Conclusions
Author Contributions
Funding
Institutional Review Board Statement
Informed Consent Statement
Data Availability Statement
Acknowledgments
Conflicts of Interest
References
- Chen, J.N.; Zhang, R.C.; Cao, F.B.; Yin, X.H.; Liang, T.F.; Huang, M.; Zou, Y.B. Critical yield factors for achieving high grain yield in early-season rice grown under mechanical transplanting conditions. Phyton-Int. J. Exp. Bot. 2020, 89, 1043–1057. [Google Scholar] [CrossRef]
- Sun, W.; Huang, Y. Global warming over the period 1961–2008 did not increase high-temperature stress but did reduce low-temperature stress in irrigated rice across China. Agric. For. Meteorol. 2011, 151, 1193–1201. [Google Scholar] [CrossRef]
- Zhang, S.; Tao, F.L.; Zhang, Z. Changes in extreme temperatures and their impacts on rice yields in southern China from 1981 to 2009. Field Crops Res. 2016, 189, 43–50. [Google Scholar] [CrossRef] [Green Version]
- Zhu, D.F.; Chen, H.Z.; Xu, Y.C.; Zhang, Y.P. The limiting factors of mechanization in double cropping rice production in China and development countermeasures. China Rice 2013, 19, 1–4, (In Chinese with English Abstract). [Google Scholar] [CrossRef]
- Yuan, S.; Cassman, K.G.; Huang, J.L.; Peng, S.B.; Grassini, P. Can ratoon cropping improve resource use effciencies and profitability of rice in central China? Field Crops Res. 2019, 234, 66–72. [Google Scholar] [CrossRef]
- Jones, D.B. Rice ratoon response to main crop harvest cutting height. Agron. J. 1993, 85, 1139–1142. [Google Scholar] [CrossRef]
- Shen, X.; Zhang, L.; Zhang, J.B. Ratoon rice production in central China: Environmental sustainability and food production. Sci. Total Environ. 2020, 764, 142850. [Google Scholar] [CrossRef] [PubMed]
- Xu, F.X.; Xiong, H.; Zhang, L.; Zhu, Y.C.; Jiang, P.; Guo, X.Y.; Liu, M. Progress in research of yield formation of ratooning rice and its high-yielding key regulation technologies. Sci. Agric. Sin. 2015, 48, 1702–1717, (In Chinese with English Abstract). [Google Scholar] [CrossRef]
- Lin, Q.; Wang, Y.H.; Lin, Q.; Zhou, F.M.; Zhang, J.F. Yield formation and key screening indicators ratooning rice under simplified cultivation. J. Northwest Agric. For. Univ. 2020, 48, 38–47, (In Chinese with English Abstract). [Google Scholar] [CrossRef]
- Chen, Q.; He, A.B.; Wang, W.Q.; Peng, S.B.; Huang, J.L.; Cui, K.H.; Nie, L.X. Comparisons of regeneration rate and yields performance between inbred and hybrid rice cultivars in a direct seeding rice-ratoon rice system in central China. Field Crops Res. 2018, 223, 164–170. [Google Scholar] [CrossRef]
- Wang, W.Q.; He, A.B.; Jiang, G.L.; Sun, H.J.; Jiang, M.; Man, J.G.; Ling, X.X.; Cui, K.H.; Huang, J.L.; Peng, S.B.; et al. Ratoon rice technology: A green and resource-efficient way for rice production. Adv. Agron. 2020, 159, 135–167. [Google Scholar] [CrossRef]
- Zheng, C.; Wang, Y.C.; Yuan, S.; Xiao, S.; Peng, S.B. Heavy soil drying during mid-to-late grain filling stage of the main crop to reduce yield loss of the ratoon crop in a mechanized rice ratooning system. Crop J. 2021, in press. [Google Scholar] [CrossRef]
- Xiao, S. Effect of Mechanical Harvesting of Main Crop on the Grain Yield and Quality of Ratoon Crop in Ratooned Rice. Master’s Thesis, Huazhong Agricultural University, Wuhan, China, 2018. (In Chinese with English Abstract). [Google Scholar]
- Yi, Q.S. Discussion on the integration of agricultural machinery and agronomy in the production of regenerative rice. J. Hubei Agric. Mech. 2016, 5, 51–52, (In Chinese with English Abstract). [Google Scholar] [CrossRef]
- Wang, K.; Zhou, H.Y.; Wang, B.J.; Jian, Z.P.; Wang, F.; Huang, J.L.; Nie, L.Y.; Cui, K.H.; Peng, S.B. Quantification of border effect on grain yield measurement of hybrid rice. Field Crops Res. 2013, 141, 47–54. [Google Scholar] [CrossRef]
- Zhou, Y.J.; Li, X.X.; Cao, J.; Li, Y.; Huang, J.L.; Peng, S.B. High nitrogen input reduces yield loss from low temperature during the seedling stage in early-season rice. Field Crops Res. 2018, 228, 68–75. [Google Scholar] [CrossRef]
- Chen, X.F.; Li, H.L.; Liu, M.H.; Yu, J.J.; Zhang, X.Y.; Liu, Z.X.; Peng, Y.F. Stubble Righting Increases the Grain Yield of Ratooning Rice After the Mechanical Harvest of Primary Rice. J. Plant Growth Regul. 2021, 40, 1–11. [Google Scholar] [CrossRef]
- Wang, S.M.; Zhang, C.H.; Hu, L.; Hu, P.X.; Zhang, Q.X.; Wang, Y.; Zeng, K.; Yang, L. Effects of different harvesting methods in main crop on growth and yield of regenerated rice. Hubei Agric. Sci. 2018, 57, 31–34, (In Chinese with English Abstract). [Google Scholar] [CrossRef]
- He, A.B.; Wang, W.Q.; Jiang, G.L.; Sun, H.J.; Jiang, M.; Man, J.G.; Peng, S.B.; Nie, L.X. Source-sink regulation and its effects on the regeneration ability of ratoon rice. Field Crops Res. 2019, 236, 155–164. [Google Scholar] [CrossRef]
- Ying, J.F.; Peng, S.B.; He, Q.R.; Yang, H.; Yang, C.D.; Visperas, R.M.; Cassman, K.G. Comparison of high-yield rice in tropical and subtropical environments. I. Determinants of grain and dry matter yields. Field Crops Res. 1998, 57, 71–84. [Google Scholar] [CrossRef]
- Fei, C.; Xu, Q.; Xu, Z.J.; Chen, W.F. Effect of rice breeding process on improvement of yield and quality in China. Rice Sci. 2020, 27, 363–367. [Google Scholar] [CrossRef]
- Yuan, P.R.; Sun, C.Q.; Yang, C.D.; Zhou, N.; Ying, J.F.; Peng, S.B.; Wang, X.K. Analysis on grain yield and yield components of the 15 t hm–2 high yielding Indica rice (Oryza sativa L.) in Yunnan. Acta Agron. Sin. 2000, 26, 756–762, (In Chinese with English Abstract). [Google Scholar] [CrossRef]
- Shiraki, S.; Cho, T.M.; Htay, K.M.; Yamaoka, K. Effects of the Double-Cutting Method for Ratooning Rice in the SALIBU System under Different Soil Moisture Conditions on Grain Yield and Regeneration Rate. Agronomy 2020, 10, 1621. [Google Scholar] [CrossRef]
- Shiraki, S.; Cho, T.M.; Matsuno, Y.; Shinogi, Y. Evapotranspiration and crop coefficient of ratoon rice crop determined by water depth observation and bayesian inference. Agronomy 2021, 11, 1573. [Google Scholar] [CrossRef]
- Yoshida, S. Fundamentals of Rice Crop Science; IRRI: Los Baños, Philippines, 1981; p. 61. [Google Scholar]
- Jiang, P.; Xu, F.X.; Zhang, L.; Liu, M.; Xiong, H.; Guo, X.Y.; Zhu, Y.C.; Zhou, X.B. Impact of tillage and crop establishment methods on rice yields in a rice-ratoon rice cropping system in Southwest China. Sci. Rep. 2021, 11, 18421. [Google Scholar] [CrossRef] [PubMed]
- Wang, Y.C. Effect of Nitrogen Management on Yield Formation of Ratoon Rice and the Related Mechanism. Master’s Thesis, Huazhong Agricultural University, Wuhan, China, 2019. (In Chinese with English Abstract). [Google Scholar] [CrossRef]
- Wang, Y.C.; Zheng, C.; Xiao, S.; Sun, Y.T.; Huang, J.L.; Peng, S.B. Agronomic responses of ratoon rice to nitrogen management in central China. Field Crops Res. 2019, 241, 107569. [Google Scholar] [CrossRef]
- Xu, F.X.; Zhang, L.; Zhou, X.B.; Guo, X.Y.; Zhu, Y.C.; Liu, M.; Xiong, H.; Jiang, P. The ratoon rice system with high yield and high efficiency in China: Progress, trend of theory and technology. Field Crops Res. 2021, 272, 71–75. [Google Scholar] [CrossRef]
- Fu, J.W.; Zhang, G.Z.; Xie, G. Development of double-channel feeding harvester for ratoon rice. Trans. CSAE 2020, 36, 11–20, (In Chinese with English Abstract). [Google Scholar] [CrossRef]
- Zeng, S.; Huang, D.P.; Yang, W.W.; Liu, W.J.; Wen, Z.Q.; Zeng, L. Design and test of the chassis of triangular crawler reclaiming rice harvester. J. Jilin Univ. 2021, in press (In Chinese with English Abstract). [Google Scholar] [CrossRef]





| Year | Average Daily Mean Temperature (°C) | Average Daily Solar Radiation (MJ m−2 d−1) | Total Precipitation (mm) | |||
|---|---|---|---|---|---|---|
| Main Season | Ratoon Season | Main Season | Ratoon Season | Main Season | Ratoon Season | |
| 2019 | 24.9 | 20.8 | 16.2 | 14.0 | 664.4 | 14.9 |
| 2020 | 25.5 | 19.8 | 13.1 | 11.4 | 1059.8 | 459.5 |
| Year | Cultivar | HM | Yield (t ha−1) | Yield Loss (%) | Panicles m−2 | Spikelets Panicle−1 | Spikelets m−2 (×103) | Grain Filling (%) | Grain Weight (mg) | Total Dry Weight (t ha−1) | Harvest Index (%) |
|---|---|---|---|---|---|---|---|---|---|---|---|
| 2019 | FLYX1 | MEH | 4.38 b | 17.0 | 253.0 b | 81.7 a | 20.7 b | 79.2 b | 23.7 a | 8.59 b | 44.2 a |
| MAH | 5.28 a | - | 311.5 a | 74.3 b | 23.2 a | 83.9 a | 23.9 a | 10.18 a | 45.6 a | ||
| QLY2118 | MEH | 4.58 b | 14.7 | 297.9 b | 84.5 a | 25.2 a | 80.0 a | 21.1 a | 9.04 b | 45.9 a | |
| MAH | 5.37 a | 372.1 a | 78.5 b | 29.2 a | 84.3 a | 21.0 a | 10.73 a | 48.2 a | |||
| 2020 | FLYX1 | MEH | 3.24 b | 21.0 | 239.1 b | 75.3 a | 18.0 b | 66.0 b | 23.2 a | 6.61 b | 41.1 a |
| MAH | 4.10 a | - | 303.1 a | 65.0 b | 19.7 a | 76.2 a | 23.1 a | 8.18 a | 42.4 a | ||
| QLY2118 | MEH | 3.62 b | 17.5 | 285.3 b | 78.1 a | 22.4 b | 70.4 b | 20.4 a | 7.08 b | 43.7 a | |
| MAH | 4.39 a | - | 367.3 a | 68.5 b | 25.2 a | 75.8 a | 20.5 a | 8.73 a | 44.8 a | ||
| Analysis of variance | |||||||||||
| Year (Y) | ** | ns | * | * | ** | ** | ** | ** | |||
| Cultivar (C) | ** | ** | * | ** | ns | ** | * | * | |||
| HM (M) | ** | ** | ** | ** | ** | ns | ** | ns | |||
| Y × C | * | ns | ns | ns | ns | ns | ns | ns | |||
| Y × M | ns | ns | ns | ns | * | ns | ns | ns | |||
| C × M | ns | ns | ns | ns | ns | ns | ns | ns | |||
| Y × C × M | ns | ns | ns | ns | ns | ns | ns | ns | |||
| Year | Cultivar | Row | Yield (t ha−1) | Panicles m−2 | Spikelets Panicle−1 | Spikelets m−2 (×103) | Grain Filling (%) | Grain Weight (mg) | Total Dry Weight (t ha−1) | Harvest Index (%) |
|---|---|---|---|---|---|---|---|---|---|---|
| 2019 | FLYX1 | RZ | 1.57 b | 113.6 b | 93.5 a | 10.6 b | 68.2 b | 23.2 b | 4.08 b | 41.2 b |
| MAH | 5.28 a | 311.5 a | 74.3 b | 23.2 a | 83.9 a | 23.9 a | 10.18 a | 45.6 a | ||
| QLY2118 | RZ | 1.82 b | 120.3 b | 95.4 a | 11.6 b | 69.3 b | 20.5 b | 3.90 b | 41.8 b | |
| MAH | 5.37 a | 372.1 a | 78.5 b | 29.2 a | 84.3 a | 21.0 a | 10.73 a | 48.2 a | ||
| 2020 | FLYX1 | RZ | 1.29 b | 94.0 b | 86.8 a | 8.2 b | 53.4 b | 22.7 b | 2.63 b | 37.6 b |
| MAH | 4.10 a | 303.1 a | 65.0 b | 19.7 a | 76.2 a | 23.1 a | 8.18 a | 42.4 a | ||
| QLY2118 | RZ | 1.49 b | 98.2 b | 89.8 a | 8.9 b | 59.1 b | 20.1 a | 2.69 b | 39.0 b | |
| MAH | 4.39 a | 367.3 a | 68.5 b | 25.2 a | 75.8 a | 20.5 a | 8.73 a | 44.8 a | ||
| Analysis of variance | ||||||||||
| Year (Y) | * | ns | ns | ns | * | * | ** | ** | ||
| Cultivar (C) | ** | ** | * | ** | ns | ** | * | * | ||
| Row (R) | ** | ** | ** | ** | ** | ** | ** | ** | ||
| Y × C | ns | ns | ns | ns | ns | ns | ns | ns | ||
| Y × R | ** | ns | ns | ns | * | ns | ns | ns | ||
| C × R | ns | ** | ns | ** | ns | ns | ns | ns | ||
| Y × C × R | ns | ns | ns | ns | ns | ns | ns | ns | ||
| Year | Cultivar | Row | Yield (t ha−1) | Border Effect (%) | Panicles m−2 | Spikelets Panicle−1 | Spikelets m−2 (×103) | Grain Filling (%) | Grain Weight (mg) |
|---|---|---|---|---|---|---|---|---|---|
| 2019 | FLYX1 | R1 | 6.56 a | 24.2 | 349.3 a | 75.6 a | 26.4 a | 84.6 a | 24.1 a |
| R2 | 5.98 b | 13.3 | 327.4 ab | 76.6 a | 25.1 ab | 85.1 a | 23.9 a | ||
| R3 | 4.63 d | −12.3 | 286.7 c | 74.2 a | 21.3 c | 83.7 a | 24.0 a | ||
| MAH | 5.28 c | - | 311.5 b | 74.3 a | 23.1 bc | 83.9 a | 23.9 a | ||
| QLY2118 | R1 | 6.82 a | 27.0 | 412.7 a | 79.2 a | 32.7 a | 85.2 a | 21.2 ab | |
| R2 | 6.02 b | 12.1 | 394.6 ab | 78.6 a | 31.0 ab | 85.6 a | 21.4 a | ||
| R3 | 4.95 c | −7.8 | 345.1 c | 80.1 a | 27.6 c | 84.9 a | 21.3 ab | ||
| MAH | 5.37 c | - | 372.1 bc | 78.5 a | 29.2 bc | 84.3 a | 21.0 b | ||
| 2020 | FLYX1 | R1 | 4.77 a | 16.3 | 341.2 a | 69.5 ab | 23.7 a | 74.9 a | 23.6 a |
| R2 | 4.20 bc | 2.4 | 321.6 ab | 71.0 a | 22.8 a | 72.1 ab | 23.4 ab | ||
| R3 | 3.68 c | −10.2 | 262.3 c | 66.3 ab | 17.4 c | 70.2 b | 23.2 b | ||
| MAH | 4.10 bc | - | 303.1 b | 65.0 b | 19.7 b | 76.2 a | 23.1 b | ||
| QLY2118 | R1 | 5.45 a | 24.1 | 418.5 a | 72.1 a | 30.2 a | 76.5 a | 20.7 a | |
| R2 | 4.67 b | 6.4 | 384.3 ab | 72.6 a | 27.9 b | 75.5 a | 20.5 ab | ||
| R3 | 3.95 c | −10.0 | 328.5 c | 71.9 a | 23.6 c | 76.8 a | 20.4 b | ||
| MAH | 4.39 bc | - | 367.3 bc | 68.5 a | 25.2 c | 75.8 a | 20.5 ab | ||
| Analysis of variance | |||||||||
| Year (Y) | ** | ns | * | * | ** | ** | |||
| Cultivar (C) | ** | ** | ** | ** | ns | ** | |||
| Row (R) | ** | ** | ns | ** | ns | ** | |||
| Y × C | ns | ns | ns | ns | ns | ns | |||
| Y × R | ** | ns | ns | ns | ns | ns | |||
| C × R | ns | ns | ns | ns | ns | ns | |||
| Y × C × R | ns | ns | ns | ns | ns | ns | |||
| Year | Cultivar | Row | Total Dry Weight (t ha−1) | Harvest Index (%) |
|---|---|---|---|---|
| 2019 | FLYX1 | R1 | 11.70 a | 46.0 a |
| R2 | 11.11 a | 45.9 a | ||
| R3 | 9.48 c | 45.1 a | ||
| MAH | 10.18 b | 45.6 a | ||
| QLY2118 | R1 | 12.27 a | 48.1 a | |
| R2 | 11.86 a | 47.9 a | ||
| R3 | 10.41 b | 48.0 a | ||
| MAH | 10.73 b | 48.2 a | ||
| 2020 | FLYX1 | R1 | 9.86 a | 42.5 a |
| R2 | 8.90 b | 43.3 a | ||
| R3 | 6.74 c | 42.0 a | ||
| MAH | 8.18 b | 42.4 a | ||
| QLY2118 | R1 | 10.28 a | 46.5 a | |
| R2 | 9.33 b | 46.3 a | ||
| R3 | 8.17 c | 45.3 a | ||
| MAH | 8.73 bc | 44.8 a | ||
| Analysis of variance | ||||
| Year (Y) | ** | ** | ||
| Cultivar ® | ** | ** | ||
| R®(R) | ** | ns | ||
| Y × C | ns | ns | ||
| Y × R | ns | ns | ||
| C × R | ns | ns | ||
| Y × C × R | ns | ns | ||
Publisher’s Note: MDPI stays neutral with regard to jurisdictional claims in published maps and institutional affiliations. |
© 2022 by the authors. Licensee MDPI, Basel, Switzerland. This article is an open access article distributed under the terms and conditions of the Creative Commons Attribution (CC BY) license (https://creativecommons.org/licenses/by/4.0/).
Share and Cite
Zhou, Y.; Zheng, C.; Chen, G.; Hu, R.; Ji, Y.; Xu, Y.; Wu, W. Border Effect on Ratoon Crop Yield in a Mechanized Rice Ratooning System. Agronomy 2022, 12, 262. https://doi.org/10.3390/agronomy12020262
Zhou Y, Zheng C, Chen G, Hu R, Ji Y, Xu Y, Wu W. Border Effect on Ratoon Crop Yield in a Mechanized Rice Ratooning System. Agronomy. 2022; 12(2):262. https://doi.org/10.3390/agronomy12020262
Chicago/Turabian StyleZhou, Yongjin, Chang Zheng, Gang Chen, Run Hu, Yalan Ji, Youzun Xu, and Wenge Wu. 2022. "Border Effect on Ratoon Crop Yield in a Mechanized Rice Ratooning System" Agronomy 12, no. 2: 262. https://doi.org/10.3390/agronomy12020262
APA StyleZhou, Y., Zheng, C., Chen, G., Hu, R., Ji, Y., Xu, Y., & Wu, W. (2022). Border Effect on Ratoon Crop Yield in a Mechanized Rice Ratooning System. Agronomy, 12(2), 262. https://doi.org/10.3390/agronomy12020262
